Next Article in Journal
Layer-By-Layer: The Case for 3D Bioprinting Neurons to Create Patient-Specific Epilepsy Models
Previous Article in Journal
Electrochemical Study of a Hybrid Polymethyl Methacrylate Coating using SiO2 Nanoparticles toward the Mitigation of the Corrosion in Marine Environments
 
 
Font Type:
Arial Georgia Verdana
Font Size:
Aa Aa Aa
Line Spacing:
Column Width:
Background:
Article

Ab Initio Study of Ternary W5Si3 Type TM5Sn2X Compounds (TM = Nb, Ti and X = Al, Si)

by
Ioannis Papadimitriou
,
Claire Utton
and
Panos Tsakiropoulos
*
Department of Materials Science and Engineering, The University of Sheffield, Sir Robert Hadfield Building, Mappin Street, Sheffield S1 3JD, England, UK
*
Author to whom correspondence should be addressed.
Materials 2019, 12(19), 3217; https://doi.org/10.3390/ma12193217
Submission received: 28 August 2019 / Revised: 26 September 2019 / Accepted: 27 September 2019 / Published: 1 October 2019

Abstract

The adhesion of the scale formed on Nb-silicide based alloys at 1473 K improves when Al and Sn are in synergy with Si and Ti. This improvement is observed when there is segregation of Sn in the microstructure below the alloy/scale interface and a layer rich in intermetallics that include TM5Sn2X compounds is formed at the interface. Data for the ternary compounds is scarce. In this paper elastic and thermodynamic properties of the Nb5Sn2Al, Ti5Sn2Si, Ti5Sn2Al and Nb5Sn2Si compounds were studied using the first-principles, pseudopotential plane-wave method based on density functional theory. The enthalpy of formation of the ternary intermetallics was calculated using the quasi-harmonic approximation. The calculations suggest that the Nb5Sn2Si is the stiffest; that the Nb5Sn2Al and Ti5Sn2Si are the most and less ductile phases respectively; and that Nb significantly increases the bulk, shear and elastic moduli of the ternary compound compared with Ti.

1. Introduction

The operation of future aero-engines must conform to strict environmental and performance targets. The latter present a challenge to the aerospace industry, and in order to meet them, the turbine entry temperatures (TET) must increase above ~2100 K. In modern aero-engines the TET does not exceed ~1873 K. Ni-based superalloys, which currently are the materials of choice for airfoil applications in gas turbine engines, operate at homologous temperatures approaching 0.8 and pushing them to even higher temperatures is limited by the melting temperature of Ni. Thus, new materials are required to replace Ni-based superalloys.
New alloys based on refractory metal intermetallic compounds can offer a balance of mechanical and environmental properties [1]. Niobium silicide-based alloys can offer an attractive balance of properties that include oxidation resistance, ballistic resistance, creep, ambient temperature fracture toughness and low and high temperature strength with low density [1]. Their microstructures consist of Nb solid solution and silicide(s) and other intermetallic(s) [2]. The volume fraction of the solid solution critically depends on alloy chemistry and the distribution of phases is dependent on the macrosegregation of Si and other elements. Macrosegregation of solutes can be significant in the cast alloys and depends on alloy chemistry and processing method [3].
The oxidation of Nb-silicide based alloys, which was a matter of concern in the early stages of their development, has improved significantly both in the pest oxidation regime and at high temperatures using different alloying strategies [4]. However, the choice of alloying additions and their concentrations in the alloy is restricted by the need to achieve a balance of ambient, intermediate and high temperature properties [1,2]. Improving the adhesion of the scale formed at high temperatures on alloys that do not pest continues to be a challenge. The motivation for the research presented in this paper was to study the properties of one of the phases that can form in the microstructure of the alloy/scale interface at high temperatures.
Aluminium and Sn improve the oxidation of Nb-silicide based alloys [4,5]. Individually, both elements affect the βNb5Si3 → αNb5Si3 transformation and destabilise the tetragonal (stable) Nb3Si [6,7,8], and in synergy affect the volume fraction of the Nbss, which can increase or descrease depending on other alloying additions. In general, the concentrations of Al and Sn are restricted to low values (≤5%) because of the adverse effect that these two elements have on toughness. The A15–Nb3Sn can be stable in the microstructure of Nb-silicide based alloys depending on the concentration of Sn in the alloy [5]. The impact of each of these two elements on oxidation depends on their concentration and the concentrations of the other elements in the alloy and on the oxidation temperature. Both elements improve the oxidation of Nb-silicide based alloys in the pest regime and Sn is more effective than Al. For example, in isothermal oxidation at 1073 K, the weight gain of the alloy Nb–24Ti–18Si–5Al was higher than that of Nb–24Ti–18Si–5Sn (20.1 and 4.8 mg/cm2, respectively). The latter alloy was also more resistant to pest oxidation below 1173 K. Improvement of the oxidation of Nb-silicide based alloys at higher temperatures depends on the synergy of Al and Sn with the other alloying additions. For example, the alloy Nb–24Ti–18Si–5Al gained more weight at 1473 K compared with Nb–24Ti–18Si based alloys with additions of Al, Cr and Ta. The same was the case for Nb–24Ti–18Si based alloys with Sn, where oxidation at high temperatures was improved in the presence of Al, Cr and other transition metal (TM) and refractory metal (RM) elements [9]. Such alloys had lower parabolic oxidation rate constants and better adhering oxide scale than alloys without Sn.
In Nb-silicide based alloys, the microstructure at the alloy (substrate)/scale interface contains contaminated Nbss (i.e., bcc Nb solid solution with increased solid solubility of oxygen compared with the Nbss in the bulk of the alloy), and tetragonal Nb5Si3 silicides with prototype W5Si3 (tI32, D8m) and/or Cr5B3 (tI32, D8l) and hexagonal Nb5Si3 (hP16, D88, prototype Mn5Si3) [5]. A15 compounds and other intermetallic phases can also be present [2,5]. In the Nb5Si3 silicide, the Si can be substituted by Al and Sn [6,7,10]. A15 compounds can be rich in Al, Ge, Si and/or Sn [10]. The A15–Nb3Si is a metastable phase in the Nb–Si binary system. The Nb5Si3 silicide(s) can be contaminated by oxygen, depending on their composition. The A15 compounds also can be contaminated by oxygen.
A characteristic feature of Sn containing Nb-silicide based alloys after oxidation at 1473 K is the segregation of Sn below the substrate/scale interface, which is thought to be responsible for their improved oxidation resistance at this temperature [5,9]. The surface segregation of Sn becomes stronger as the concentration of Sn in the alloy increases, and in the Sn rich microstructure at the substrate/scale interface Nb3Sn, Nb6Sn5 and Nb5Sn2Si, intermetallics are observed [5,9]. Depending on the concentration of Sn in the alloy, a continuous layer, consisting of some or all of the above intermetallic phases, can form just below the scale. A similar behaviour has not been observed for Al in Nb-silicide based alloys without Sn. However, in alloys where Al and Sn are both present, Al participates in the A15–(Nb,Ti)3(Sn,Al), (Nb,Ti)6(Sn,Al)5 and (Nb,Ti)5Sn2(Si,Al) intermetallics [5,10]. In such alloys, the adhesion of the scale to the substrate is improved.
The deformation behaviour of the microstructure of the substrate below the oxide scale is one of the factors that determines whether the scale will be retained or spalled off. Thus, knowledge of the properties of the aforementioned phases is essential for improving the oxidation of Nb-silicide based alloys. The properties of unalloyed Nb and tetragonal Nb5Si3 silicides were recently studied in [11]. The intermetallic phases in the Nb–Sn binary system were studied in [12] and the stability of A15–Nb3Sn has been compared with other A15 compounds of interest to the development of Nb-silicide based alloys in [10,13]. There is no data on the mechanical properties of W5Si3 type TM5Sn2X compounds. Such data is essential for modelling the deformation of the substrate/scale interface in Nb-silicide based alloys.
The Nb–Sn–Si and Ti–Sn–Si ternary phase diagrams have been reported by Sun et al. [14] and Bulanova et al. [15], respectively. In both ternary systems the existence of a ternary W5Si3 type compound has been reported, those being the Nb5Sn2Si and Ti5Sn2Si for the Nb–Sn–Si and Ti–Sn–Si systems, respectively. The stability of the latter compound was confirmed by Colinet and Tedenac [16]. The first report of the Nb5Sn2Si compound was by Horyn and Lukaszewicz [17]. Pietzka and Schuster [18] prepared several ternary alloys with a T:M:Al ratio of 5:2:1 where T = Ti, Zr, Hf, V, Nb, Ta, Cr, Mo and W, and M = Si, Ge, Sn and Pb. The Nb5Sn2Al and Ti5Sn2Al phases had the same structure. In these phases the T atoms (T = Nb and Ti) occupy the 4b and 16k Wyckoff positions, the Al and Si atoms the 4a positions and the Sn atoms the 8h positions [16,17,18]. Recently the authors reported on the stability of Nb5Sn2Si in an experimental study of alloys of the Nb–Al–Sn system [19]. The crystal structure for the ternary tI32 W5Si3-type phases is shown in Figure 1.
In the binary phase diagrams of the constituent elements of the aforementioned phases, the high temperature βNb5Si3 silicide is the only phase that has the same prototype and crystal structure (tI32, W5Si3-type, D8m) as the ternary TM5Sn2X compounds. The Ti5Sn3 and Ti5Si3 phases have the hP16, Mn5Si3-type and D88 hexagonal structure, and the Al5Ti3 has the tP32 Ga5Ti3-type structure. The TM5Sn2X W5Si3 type phases do not form only below the scale in the alloy/scale interface of oxidised Nb-silicide based alloys [5] but also in their bulk [19].
The present study focused on the TM5Sn2X (TM = Nb, Ti, X = Al, Si) compounds. Density functional theory (DFT) was used to evaluate the stability and elastic properties and heats of formation of the above ternary intermetallic phases. The data presented in this paper will contribute towards improving the adherence of scales formed on Nb-silicide based alloys and the current understanding of the oxidation and phase equilibria of Nb-silicide based alloys at high temperatures.

2. Computational Details

2.1. Methodology

First principles calculations were completed using CASTEP (Cambridge Serial Total Energy Package) code [20,21,22] as outlined in [11]. The exchange correlation energy function was estimated by the generalised gradient approximation (GGA) of the Perdew–Wang functional (PW91) [23]. Ultrasoft pseudopotentials [24] were used for ion core and valence electron interactions. The electronic configurations for Nb, Ti, Sn, Al and Si are, respectively, Nb-4s24p64d45s1, Ti-3s23p63d24s2, Sn-5s25p2, Al-3s23p1 and Si-3s23p2. An energy cut-off of 550 eV was used. Convergence tests showed that it reduced the error in total energy to <1 meV/atom. A Monkhorst–Pack k-point grid of 9 × 9 × 9 for integration over the Brillouin zone was used [25]. Geometry optimisation was performed until the energy change per atom, maximum residual force, maximum atomic displacement and maximum stress were less than 1 × 10−7 eV, 1 × 10−3 eV/Å, 1 × 10−4 Å and 0.001 GPa, respectively [26].

2.2. Finite Displacement (Supercell) Method

Finite displacement (supercell) method was used to obtain the phonon DOS for compounds and elements. This method works by calculating the forces on atoms when perturbing the ionic positions [27,28]. The supercell size used for all compounds was 2 × 2 × 2. Convergence tests of the free energy with respect to the cut-off radius were done to achieve an error less than 1 meV/atom. By using the obtained phonon DOS and the formulae in [29], the vibrational contributions to the enthalpy, entropy, free energy and heat capacity versus temperature, along with the Debye temperature, were obtained using the quasi-harmonic approximations.

2.3. Elastic Properties

The elastic constants were determined as described in [11]. Simply, a strain was applied and the stress was calculated. The unit cell was fixed and only the internal coordinates were optimised. The matrix of the linear elastic constants was reduced depending on the crystal structure of the phases. For a cubic cell the maximum number of strain patterns (sets of distortions) is one, and for tetragonal or hexagonal cells two patterns are sufficient. Six strain steps (varying from −0.003 to 0.003) were used for each pattern to obtain a consistent linear fit of the stress–strain relationship [11].
To evaluate the six independent elastic constants C11, C12, C13, C33, C44 and C66 for the intermetallic phases, twelve geometry optimisations were done and the mechanical stability criteria checked [30]. From the elastic constants the bulk (B), Young’s (E) and shear (G) moduli and Poisson’s ratio (v) were obtained by using the Voigt–Reuss–Hill (VRH) approximation [31,32]. The Debye temperature at low temperatures was determined from elastic constants using the formulae in [33]. A fit of the energies versus the volumes of the strained structures in the third order Birch–Murnaghan equation of state (B–M EOS) [34] was performed to confirm the values of the bulk moduli.

3. Results and Discussion

3.1. Elastic Properties

The calculated lattice parameters are shown in Table 1 where they are compared with the values reported in the literature. There is good agreement, as the mean deviation of all the lattice parameters is about 0.6%. The results for the independent elastic constants (Cij); bulk moduli (B) from elastic constants, according to the Voigt–Reuss–Hill scheme; and bulk moduli and first pressure derivatives of bulk moduli (B) from the B–M EOS for all intermetallic phases and elements of this study, are shown in Table 2. In Table 3 the calculated values of the shear (G) and Young’s (E) moduli are reported. It was confirmed that the mechanical stability criteria [30] were met for all compounds. The elastic constants were in good agreement with the experimental data for the pure elements [35,36]. To the authors’ knowledge no data exists for the ternary intermetallics. Comparing the bulk moduli obtained from the VRH approximation and the B–M EOS fitting of all the phases, it can be seen that they were in good agreement, with the maximum deviation between them being about 7% for the Ti5Sn2Al.
The Nb5Sn2Si phase had the highest values of bulk, shear and Young’s moduli of all the intermetallics, and the Ti5Sn2Al had the lowest. The sequence was the same for all the moduli; they decreased from Nb5Sn2Si, to Nb5Sn2Al, to Ti5Sn2Si, to Ti5Sn2Al. It can be seen that all the moduli were significantly higher when Nb was the transition metal in the ternary phase. Furthermore, the Si-containing phases had slightly higher values of bulk, shear and elastic moduli than those that contained Al.
In a tetragonal phase C11, C12 and C33 correspond to the linear compression resistance along the a, b and c axis. In all cases C11 and C33 are the highest values. This indicates that linear compression along these axes should be lower. The smallest difference between C11 and C33 is for the Nb5Sn2X phases, suggesting that these are less anisotropic than the Ti5Sn2X phases. If these values are compared with the binary βNb5Si3 phase [11], which has the D8m structure, the difference between C11 and C33 is in all cases smaller (between 10 and 30 GPa for ternary phases compared with approximately 60 GPa for βNb5Si3). In beta Nb5Si3, the 8 h and 4a Wyckoff positions are filled with Si atoms, whereas in the ternary phase, the 8h position contains Sn atoms. This suggests that the presence of a large, element such as Sn, in the 8h Wyckoff position reduces the anisotropy of the W5Si3 phase.
To determine whether a material is ductile or brittle, Cauchy pressures (C12–C44 for cubic and C13–C44 and C12–C66 for tetragonal), Pugh’s [40] index of ductility (ratio of shear modulus over bulk modulus (G/B)) and Poisson’s ratio (ν) are taken into account. The values of the aforementioned properties are listed in Table 3. According to Pettifor [41], for metallic bonding, a positive value of Cauchy pressure indicates ductile material and a negative value indicates brittle behaviour. The other two conditions for a compound to be brittle are the G/B ratio to be greater than 0.57 and the ν less than 0.26. Regarding all the aforementioned criteria, the data in Table 3 indicates that the Nb5Sn2Al and Ti5Sn2Si phases are the most and less ductile ones, respectively, amongst the intermetallics of the present study. All the ternary intermetallics are more ductile than the βNb5Si3.

3.2. Enthalpies of Formation

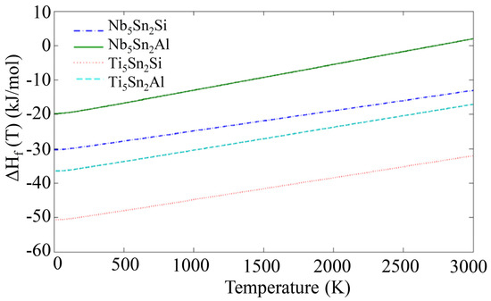
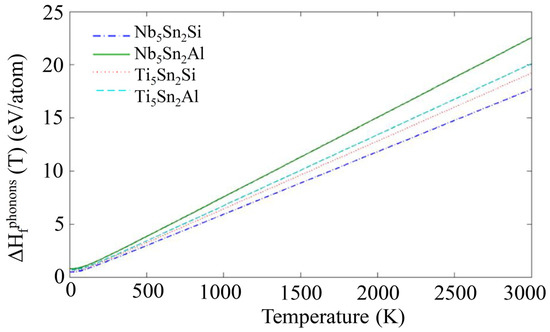
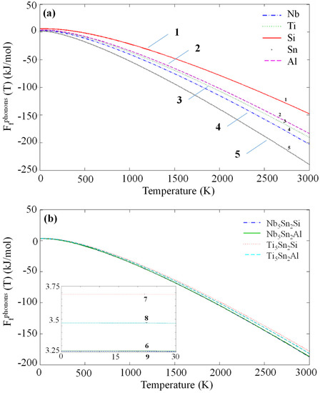
The phonon density of states (DOS) for the compounds and elemental phases can be seen in Figure 2. All the eigenfrequencies were found to be real, hence it was confirmed that the compounds under investigation are mechanically stable. After obtaining the computed phonon, DOS the vibrational contribution to free energies per atom (Fphon (T)) was calculated (see Figure 3). The Fphonon decreased faster in the order: Nb5Sn2Al, Ti5Sn2Si, Ti5Sn2Al and Nb5Sn2Si. After taking Fphonon into account, the phonon contribution to the enthalpy of formation (ΔHfphon (T)) was evaluated (see Figure 4). The ΔHfphon (T) increased faster for Nb5Sn2Al. The differences between the ΔHfphon (T) of the other three intermetallics were very small. In Figure 5 the enthalpy of formation versus temperature of the ternary intermetallic compounds is shown. As the temperature rises, the ΔHf (T) increases more steeply for the Nb5Sn2Al, while the curves of the other three phases show approximately the same slope. The data for the heat of formation at T = 0 K, ( Δ H f 0 ), is summarised in Table 4. The ( Δ H f 0 ) increases from Ti5Sn2Si (−50.655 kJ/mol) to Ti5Sn2Al (−36.471 kJ/mol) to Nb5Sn2Si (−30.296 kJ/mol) to Nb5Sn2Al (−21.516 kJ/mol). Good agreement with available data is shown for Ti5Sn2Si.

3.3. Debye Temperatures

The resultant phonon DOSs were also used to calculate the Debye temperature. It should be noted that it is considered more difficult to obtain accurate values using this approach than through the elastic constants (see above), because as a low temperature property, the Debye temperature is determined by low energy phonons; i.e., the acoustic phonons. The lower the temperature, the smaller the part of Brillouin Zone that contributes to thermodynamics. The calculated values (Table 3) were in good agreement with [43,46] and the values calculated from elastic constants in the present study. For the elemental phases both the results from the phonon DOS and the elastic constants were in good agreement with the literature. The Nb5Sn2Si and Nb5Sn2Al phases had the highest and lowest Debye temperatures, respectively.

4. Conclusions

The alloying of Nb-silicide based alloys with Sn increases their oxidation resistance and suppresses pest oxidation, but does not eliminate scale spallation at high temperatures. The synergy of Al and Sn with Si and Ti improves scale adhesion. Oxidation at low and high temperatures is accompanied by the formation of Sn rich areas below the scale at the substrate/scale interface where Sn rich intermetallic phases are formed and Nb5Si3 is also present. The properties of the former, which include TM5Sn2X compounds, are important for the retention or spallation of the scale. In this paper, we focused on the Nb5Sn2Al, Ti5Sn2Si, Ti5Sn2Al and Nb5Sn2Si intermetallics for which data is not available in the literature. The aforementioned compounds and their constituent elements were studied using first-principles calculations. The enthalpy of formation of the intermetallic phases; the elastic constants; bulk (B), shear (G) and Young’s moduli; Poisson’s ratio (ν); and Debye temperature were calculated and are reported for the first time. We used Pugh’s G/B index of ductility, ν and the Cauchy pressures to deduce the ductile or brittle nature of these compounds. Based on our results, the Nb5Sn2Al and Ti5Sn2Si compounds are the most and least ductile phases, respectively, and Nb5Sn2Si is the stiffest and most resistant to deformation. All the ternary intermetallics are more ductile than the βNb5Si3.

Author Contributions

Calculations, I.P., Supervision, C.U. and P.T., Formal analysis, I.P., C.U. and P.T., Draft preparation, I.P., Review, C.U., P.T., Final paper, I.P., C.U. and P.T., Funding, P.T.

Funding

This research was funded by the EPSRC (EP/H500405/1 and EP/L026678/1) and Rolls-Royce Plc.

Acknowledgments

The support of this work by the FP-7 Accelerated Metallurgy project, Rolls-Royce plc, the EPSRC-Rolls-Royce research partnership (EP/H500405/1 and EP/L026678/1) and the University of Sheffield are gratefully acknowledged.

Conflicts of Interest

The authors declare no conflicts of interest.

References

  1. Bewlay, B.P.; Jackson, M.R.; Gigliotti, M.F.X. Niobium silicide high temperature in situ composites. In Intermetallic Compounds: Principles and Practice; Fleischer, R.L., Westbrook, J.H., Eds.; John Wiley: New York, NY, USA, 2001; Volume 3, pp. 541–560. [Google Scholar]
  2. Tsakiropoulos, P. On Nb silicide based alloys: Alloy design and selection. Materials 2018, 11, 844. [Google Scholar] [CrossRef] [PubMed]
  3. Tsakiropoulos, P. On the macrosegregation of silicon in niobium silicide based alloys. Intermetallics 2014, 55, 95–101. [Google Scholar] [CrossRef]
  4. Jackson, M.R.; Bewlay, B.P.; Zhao, J.C. Niobium-Silicide based Composites Resistant to High Temperature Oxidation. US Patent 6,913,655 B2, 5 July 2005. [Google Scholar]
  5. Xu, Z.; Utton, C.; Tsakiropoulos, P. A study of the effect of 2 at.% Sn on the microstructure and isothermal oxidation at 800 and 1200 °C of Nb-24Ti-18Si based alloys with Al and/or Cr additions. Materials 2018, 11, 1826. [Google Scholar] [CrossRef] [PubMed]
  6. Zelenitsas, K.; Tsakiropoulos, P. Study of the role of Al and Cr additions in the microstructure of Nb–Ti–Si in situ composites. Intermetallics 2005, 13, 1079–1095. [Google Scholar] [CrossRef]
  7. Vellios, N.; Tsakiropoulos, P. The role of Sn and Ti additions in the microstructure of Nb-18Si base alloys. Intermetallics 2007, 15, 1518–1528. [Google Scholar] [CrossRef]
  8. Zacharis, E.; Utto, C.; Tsakiropoulos, P. A study of the effects of Hf and Sn on the microstructure, hardness and oxidation of Nb-18Si silicide based alloys without Ti addition. Materials 2018, 11, 2447. [Google Scholar] [CrossRef] [PubMed]
  9. Geng, J.; Tsakiropoulos, P.; Shao, G. A thermo-gravimetric and microstructural study of the oxidation of Nbss/Nb5Si3-based in situ composites with Sn addition. Intermetallics 2007, 15, 270–281. [Google Scholar] [CrossRef]
  10. Tsakiropoulos, P. Alloying and properties of C14-NbCr2 and A15-Nb3X (X = Al, Ge, Si, Sn) in Nb-silicide based alloys. Materials 2018, 11, 395. [Google Scholar] [CrossRef]
  11. Papadimitriou, I.; Utton, C.; Scott, A.; Tsakiropoulos, P. Ab initio study of the intermetallics in Nb-Si binary system. Intermetallics 2014, 54, 125–132. [Google Scholar] [CrossRef]
  12. Papadimitriou, I.; Utton, C.; Tsakiropoulos, P. Ab initio investigation of the intermetallics in the Nb-Sn binary system. Acta Mater. 2015, 86, 23–33. [Google Scholar] [CrossRef]
  13. Papadimitriou, I.; Utton, C.; Scott, A.; Tsakiropoulos, P. Ab initio study of binary and ternary Nb3(X,Y) A15 intermetallic phases (X,Y = Al, Ge, Si, Sn). Metall. Mater. Trans. A 2015, 46, 566–576. [Google Scholar] [CrossRef]
  14. Sun, Z.; Guo, X.; Zhang, C. Thermodynamic modeling of the Nb-rich corner in the Nb-Si-Sn system. Calphad 2012, 36, 82–88. [Google Scholar] [CrossRef]
  15. Bulanova, M.; Tretyachenko, L.; Meleshevich, K.; Saltykov, V.; Vereshchaka, V.; Galadzhyj, O.; Kulak, L.; Firstov, S. Influence of tin on the structure and properties of as-cast Ti-rich Ti–Si alloys. J. Alloy. Compd. 2003, 350, 164–173. [Google Scholar] [CrossRef]
  16. Colinet, C.; Tedenac, J.-C. Structural stability of the - Ti5Sn2Si compound. Calphad 2011, 35, 643–647. [Google Scholar] [CrossRef]
  17. Horyn, R.; Lukaszewicz, K. The crystal structure of Nb5Sn2Si. Bull. Acad. Pol. Sci. Ser. Sci. Chim. 1970, 18, 59–64. [Google Scholar]
  18. Pietzka, M.A.; Schuster, J.C. New ternary aluminides T5M2Al having W5Si3-type structure. J. Alloy. Compd. 1995, 230, L10–L12. [Google Scholar] [CrossRef]
  19. Papadimitriou, I.; Utton, C.; Tsakiropoulos, P. Phase equilibria in the Nb-rich region of Al-Nb-Sn at 900 and 1200 °C. Materials 2019, 12, 2759. [Google Scholar] [CrossRef] [PubMed]
  20. Clark, S.J.; Segall, M.D.; Pickard, C.J.; Hasnip, P.J.; Probert, M.J.; Refson, K.; Payne, M.C. First principles methods using CASTEP. Z. Krist. 2005, 220, 567–570. [Google Scholar] [CrossRef]
  21. Kohn, W.; Sham, L.J. Self-consistent equations including exchange and correlation effects. Phys. Rev. 1965, 140, A1133–A1138. [Google Scholar] [CrossRef]
  22. Payne, M.C.; Teter, M.P.; Allan, D.C.; Arias, T.A.; Joannopoulos, J.D. Iterative minimization techniques for ab initio total-energy calculations: Molecular dynamics and conjugate gradients. Rev. Mod. Phys. 1992, 64, 1045–1097. [Google Scholar] [CrossRef]
  23. Perdew, J.P.; Chevary, J.A.; Vosko, S.H.; Jackson, K.A.; Pederson, M.R.; Singh, D.J.; Fiolhais, C. Atoms, molecules, solids, and surfaces: Applications of the generalized gradient approximation for exchange and correlation. Phys. Rev. B 1992, 46, 6671–6687. [Google Scholar] [CrossRef] [PubMed]
  24. Vanderbilt, D. Soft self-consistent pseudopotentials in a generalized eigenvalue formalism. Phys. Rev. B 1990, 41, 7892–7895. [Google Scholar] [CrossRef] [PubMed]
  25. Monkhorst, H.J.; Pack, J.D. Special points for Brillouin-zone integrations. Phys. Rev. B 1976, 13, 5188–5192. [Google Scholar] [CrossRef]
  26. Pfrommer, B.G.; Cote, M.; Louie, S.G.; Cohen, M.L. Relaxation of crystals with the quasi-Newton method. J. Comput. Phys. 1997, 131, 233–240. [Google Scholar] [CrossRef]
  27. Wang, Y.; Woodward, C.; Zhou, S.H.; Liu, Z.K.; Chen, L.Q. Structural stability of Ni-Mo compounds from first-principles calculations. Scr. Mater. 2005, 52, 17–20. [Google Scholar] [CrossRef]
  28. Montanari, B.; Harrison, N.M. Lattice dynamics of TiO2 rutile: Influence of gradient corrections in density functional calculations. Chem. Phys. Lett. 2002, 364, 528–534. [Google Scholar] [CrossRef]
  29. Baroni, S.; de Gironcoli, S.; Corso, A.D.; Giannozzi, P. Phonons and related crystal properties from density-functional perturbation theory. Rev. Mod. Phys. 2001, 73, 515–562. [Google Scholar] [CrossRef]
  30. Born, M.; Huang, K. Dynamical Theory of Crystal Lattices; Clarendon Press Oxford: Oxford, UK, 1956. [Google Scholar]
  31. Hill, R. The elastic behaviour of a crystalline aggregate. Proc. Phys. Soc. 1952, 65, 349–355. [Google Scholar] [CrossRef]
  32. Reuss, A. Account of the liquid limit of mixed crystals on the basis of the plasticity condition for single crystal. Z. Angew. Math. Mech. 1929, 9, 49–58. [Google Scholar] [CrossRef]
  33. Anderson, O.L. A simplified method for calculating debye temperature from elastic constants. J. Phys. Chem. Solids 1963, 24, 909–917. [Google Scholar] [CrossRef]
  34. Birch, F. Finite elastic strain of cubic crystals. Phys. Rev. 1947, 71, 809–824. [Google Scholar] [CrossRef]
  35. Soderlind, P.; Eriksson, O.; Wills, J.M.; Boring, A.M. Theory of elastic-constants of cubic transition-metals and alloys. Phys. Rev. B 1993, 48, 5844–5851. [Google Scholar] [CrossRef] [PubMed]
  36. Simmons, G.; Wang, H. Single Crystal Elastic Constants and Calculated Aggregate Properties: A Handbook; MIT Press: Cambridge, MA, USA, 1971. [Google Scholar]
  37. Rayne, J.A.; Chandrasekhar, B.S. Elastic Constants of β Tin from 4.2 K to 300 K. Phys. Rev. 1960, 120, 1658–1663. [Google Scholar] [CrossRef]
  38. Papadimitriou, I.; Utton, C.; Tsakiropoulos, P. The impact of Ti and temperature on the stability of Nb5Si3 phases: A first principles study. Sci. Techn. Adv. Mater. 2017, 184, 67–469. [Google Scholar] [CrossRef] [PubMed]
  39. Tromans, D. Elastic anisotropy of HCP metal crystals and polycrystals. Int. J. Res. Rev. Appl. Sci. 2011, 6, 462–483. [Google Scholar]
  40. Pugh, S.F. Relations between the elastic moduli and the plastic properties of polycrystalline pure metals. Philos. Mag. 1954, 45, 823–843. [Google Scholar] [CrossRef]
  41. Pettifor, D.G. Theoretical predictions of structure and related properties of intermetallics. Mater. Sci. Technol. 1992, 8, 345–349. [Google Scholar] [CrossRef]
  42. Kittel, C. Introduction to Solid State Physics, 7th ed.; John Wiley & Sons: New York, NY, USA, 1996. [Google Scholar]
  43. Smithells, C.J. Metal References Book, 5th ed.; Butterworth: London, UK, 1976. [Google Scholar]
  44. Brantley, W.A. Calculated elastic-constants for stress problems associated with semiconductor devices. J. Appl. Phys. 1973, 44, 534–535. [Google Scholar] [CrossRef]
  45. Chen, X.; Zeng, M.; Wang, R.; Mo, Z.; Tang, B.; Peng, L.; Ding, W. First-principles study of (Ti5−xMgx)Si3 phases with the hexagonal D88 structure: Elastic properties and electronic structure. Comput. Mater. Sci. 2012, 54, 287–292. [Google Scholar] [CrossRef]
  46. Chen, Y.; Hammerschmidt, T.; Pettifor, D.G.; Shang, J.-X.; Zhang, Y. Influence of vibrational entropy on structural stability of Nb–Si and Mo–Si systems at elevated temperatures. Acta Mater. 2009, 57, 2657–2664. [Google Scholar] [CrossRef]
Figure 1. Crystal structure of ternary phases with tI32 W5Si3-type. D8m structure.
Figure 1. Crystal structure of ternary phases with tI32 W5Si3-type. D8m structure.
Materials 12 03217 g001
Figure 2. Phonon density of states for Nb, Ti, Sn, Si, Al, Nb5Sn2Si, Ti5Sn2Si, Nb5Sn2Al and Ti5Sn2Al.
Figure 2. Phonon density of states for Nb, Ti, Sn, Si, Al, Nb5Sn2Si, Ti5Sn2Si, Nb5Sn2Al and Ti5Sn2Al.
Materials 12 03217 g002
Figure 3. Calculated phonon contribution to free energies for (1) Si, (2) Al, (3) Ti, (4) Nb, (5) Sn, (6) Nb5Sn2Al, (7) Ti5Sn2Si, (8) Ti5Sn2Al and (9) Nb5Sn2Al.
Figure 3. Calculated phonon contribution to free energies for (1) Si, (2) Al, (3) Ti, (4) Nb, (5) Sn, (6) Nb5Sn2Al, (7) Ti5Sn2Si, (8) Ti5Sn2Al and (9) Nb5Sn2Al.
Materials 12 03217 g003
Figure 4. Calculated phonon contributions to enthalpies of formation for Nb5Sn2Si, Ti5Sn2Si, Nb5Sn2Al and Ti5Sn2Al.
Figure 4. Calculated phonon contributions to enthalpies of formation for Nb5Sn2Si, Ti5Sn2Si, Nb5Sn2Al and Ti5Sn2Al.
Materials 12 03217 g004
Figure 5. Calculated enthalpies of formation for Nb5Sn2Si, Ti5Sn2Si, Nb5Sn2Al and Ti5Sn2Al.
Figure 5. Calculated enthalpies of formation for Nb5Sn2Si, Ti5Sn2Si, Nb5Sn2Al and Ti5Sn2Al.
Materials 12 03217 g005
Table 1. Lattice parameters (Å) of Nb5Sn2Si, Ti5Sn2Si, Nb5Sn2Al and Ti5Sn2Al.
Table 1. Lattice parameters (Å) of Nb5Sn2Si, Ti5Sn2Si, Nb5Sn2Al and Ti5Sn2Al.
PhaseLattice Parameters
ac
Nb5Sn2Si10.6835.145
-10.541 [17]5.138 [17]
Ti5Sn2Si10.5825.05
-10.558 [16]5.03 [16]
Nb5Sn2Al10.7355.203
-10.629 [18]5.216 [18]
Ti5Sn2Al10.6125.184
-10.549 [18]5.242 [18]
Table 2. Elastic constants (Cij) and bulk modulus (B) for Nb, Si, Al, Sn, Ti, Nb5Sn2Si, Ti5Sn2Si, Nb5Sn2Al and Ti5Sn2Al in GPa.
Table 2. Elastic constants (Cij) and bulk modulus (B) for Nb, Si, Al, Sn, Ti, Nb5Sn2Si, Ti5Sn2Si, Nb5Sn2Al and Ti5Sn2Al in GPa.
Element and PhaseVRH ApproximationB–M EOS
C11C12 C13C33C44C66 BBB’
Nb241126.3--26.7-164.5165.14.005
-253 a133 a--31 a----
Si151.257.4--73.1-88.791.24.009
-166 b64 b--79.6 b----
Al107.457.6--30.3-74.276.474.037
-107 b61 b--28 b----
Sn74.25822.281.223.49.951.852.013.703
-72.3 c59.4 c35.8 c88.4 c22 c22.5 c54.9 c--
Ti149.6 d97.5 d79.7 d186.1 d33 d-110.9 d118.4 d4 d
-160 e90 e66 e181 e46.5 e----
Nb5Sn2Si303.5104.498.9313.474.498.7169.4168.85
Ti5Sn2Si214.873.671.1189.651.675.3116.6119.75
Nb5Sn2Al286.59795.7269.662.581.7157.6158.65
Ti5Sn2Al211.575.163.3178.647.369.8111.1118.95
a Reference [35], b [36], c [37], d [38], e [39],
Table 3. Calculated shear modulus (G) and elastic modulus (E) in GPa; Poisson’s ratio (v), Cauchy pressure (C12–C44 for cubic and C13–C44 and C12–C66 for tetragonal) in GPa; G/B ratio and Debye temperature (θD) from elastic constants; and phonon DOS for Nb, Si, Al, Sn, Ti, Nb5Sn2Si, Ti5Sn2Si, Nb5Sn2Al and Ti5Sn2Al.
Table 3. Calculated shear modulus (G) and elastic modulus (E) in GPa; Poisson’s ratio (v), Cauchy pressure (C12–C44 for cubic and C13–C44 and C12–C66 for tetragonal) in GPa; G/B ratio and Debye temperature (θD) from elastic constants; and phonon DOS for Nb, Si, Al, Sn, Ti, Nb5Sn2Si, Ti5Sn2Si, Nb5Sn2Al and Ti5Sn2Al.
Element and PhaseGE-----θD (K)
VRHVRHvC12–C44C13–C44C12–C66G/BPhonon DOSElastic Const.Literature
Nb36.5101.90.39699.6--0.228277268275 a
-37.5 b104.9 b0.397 b-------
Si61.2149.20.216−17.4--0.701647628645 a
-64.1 c155.8 c0.215 c-------
Al2874.70.33427.3--0.377394420428 a
-26.2 b70.6 b0.345 b-------
Sn16.344.30.357-−1.248.10.315254217230 a
-17.7 d48 d0.355 d-------
Ti32.7 e89.3 e0.366 e-19.5 e 0.295 e369 e346 e380 e
Nb5Sn2Si89.7228.70.275-24.55.70.53311327-
Ti5Sn2Si61.8157.60.275-19.5−1.70.53305326-
Nb5Sn2Al77.1198.90.29-33.215.30.489298305-
Ti5Sn2Al58.6149.50.276-165.30.527300320-
a [42], b [43], c [44], d Calculated from [37], e [38,45].
Table 4. Enthalpies of formation at T = 0 K for Nb5Sn2Si, Ti5Sn2Si, Nb5Sn2Al and Ti5Sn2Al.
Table 4. Enthalpies of formation at T = 0 K for Nb5Sn2Si, Ti5Sn2Si, Nb5Sn2Al and Ti5Sn2Al.
IntermetallicEnthalpy of Formation (kJ/mol)
Current StudyLiterature
Nb5Sn2Si−30.296-
Ti5Sn2Si−50.655−50.751 [16]
Nb5Sn2Al−21.516-
Ti5Sn2Al−36.471-

Share and Cite

MDPI and ACS Style

Papadimitriou, I.; Utton, C.; Tsakiropoulos, P. Ab Initio Study of Ternary W5Si3 Type TM5Sn2X Compounds (TM = Nb, Ti and X = Al, Si). Materials 2019, 12, 3217. https://doi.org/10.3390/ma12193217

AMA Style

Papadimitriou I, Utton C, Tsakiropoulos P. Ab Initio Study of Ternary W5Si3 Type TM5Sn2X Compounds (TM = Nb, Ti and X = Al, Si). Materials. 2019; 12(19):3217. https://doi.org/10.3390/ma12193217

Chicago/Turabian Style

Papadimitriou, Ioannis, Claire Utton, and Panos Tsakiropoulos. 2019. "Ab Initio Study of Ternary W5Si3 Type TM5Sn2X Compounds (TM = Nb, Ti and X = Al, Si)" Materials 12, no. 19: 3217. https://doi.org/10.3390/ma12193217

APA Style

Papadimitriou, I., Utton, C., & Tsakiropoulos, P. (2019). Ab Initio Study of Ternary W5Si3 Type TM5Sn2X Compounds (TM = Nb, Ti and X = Al, Si). Materials, 12(19), 3217. https://doi.org/10.3390/ma12193217

Note that from the first issue of 2016, this journal uses article numbers instead of page numbers. See further details here.

Article Metrics

Back to TopTop