TiO2–SrTiO3 Biphase Nanoceramics as Advanced Thermoelectric Materials
Abstract
1. Introduction
2. Oxide Thermoelectrics History
3. Theoretical Aspects of Thermoelectricity
4. Thermoelectricity on Oxides Interfaces
4.1. Oxide Heterointerfaces
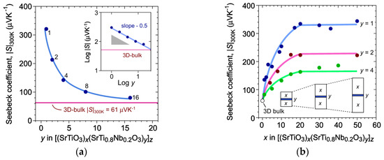
4.2. Thermoelectric Properties of Superlattices and Heterointerfaces Based on SrTiO3 Oxide
5. SrTiO3-based Biphase Ceramics
5.1. Some Experience on Manufacturing of the “Biphase” Thermoelectric Materials
5.2. Quantum Chemical Analysis of TiO2/SrTiO3 Heterointerface Structure
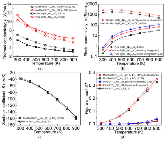
5.3. TiO2–SrTiO3 Biphase Nanoceramics: SPS Approach
6. Summary and Future Prospect
Author Contributions
Funding
Conflicts of Interest
References
- Ohta, H. Thermoelectrics based on metal oxide thin films. In Metal Oxide-Based Thin Film Structures; Elsevier: Amsterdam, The Netherlands, 2018; pp. 441–464. [Google Scholar]
- Jouhara, H.; Khordehgah, N.; Almahmoud, S.; Delpech, B.; Chauhan, A.; Tassou, S.A. Waste heat recovery technologies and applications. Therm. Sci. Eng. Prog. 2018, 6, 268–289. [Google Scholar] [CrossRef]
- Rowe, D. (Ed.) CRC Handbook of Thermoelectrics; CRC Press: New York, NY, USA, 1995; ISBN 978-0-8493-0146-9. [Google Scholar]
- Goldsmid, H.J. Introduction to Thermoelectricity; Springer Series in Materials Science; Springer: Berlin, Heidelberg, 2010; Volume 121, ISBN 978-3-642-00715-6. [Google Scholar]
- Raj, B.; Van de Voorde, M.; Mahajan, Y. (Eds.) Nanotechnology for Energy Sustainability; Wiley-VCH Verlag GmbH & Co. KGaA: Weinheim, Germany, 2017; ISBN 9783527696109. [Google Scholar]
- Abdul Khalid, K.A.; Leong, T.J.; Mohamed, K. Review on thermionic energy converters. IEEE Trans. Electron Devices 2016, 63, 2231–2241. [Google Scholar] [CrossRef]
- Seebeck, T.J. Magnetische Polarisation Der Metalle Und Erze Durch Temperatur-Differenz; Abhandlungen der Königlichen Akademie der Wissenschaften: Berlin, Germany, 1823. [Google Scholar]
- Peltier, J.C.A. Nouvelles expériences sur la caloricité des courants électrique. Ann. Chim. Phys. 1834, 56, 371–386. [Google Scholar]
- Yin, Y.; Tudu, B.; Tiwari, A. Recent advances in oxide thermoelectric materials and modules. Vacuum 2017, 146, 356–374. [Google Scholar] [CrossRef]
- Koumoto, K.; Wang, Y.; Zhang, R.; Kosuga, A.; Funahashi, R. Oxide thermoelectric materials: A nanostructuring approach. Ann. Rev. Mater. Res. 2010, 40, 363–394. [Google Scholar] [CrossRef]
- Koumoto, K.; Funahashi, R.; Guilmeau, E.; Miyazaki, Y.; Weidenkaff, A.; Wang, Y.; Wan, C. Thermoelectric ceramics for energy harvesting. J. Am. Ceram. Soc. 2013, 96, 1–23. [Google Scholar] [CrossRef]
- Ioffe, A.F.; Stil’bans, L.S.; Iordanishvili, E.K.; Stavitskaya, T.S.; Gelbtuch, A.; Vineyard, G. Semiconductor thermoelements and thermoelectric cooling. Phys. Today 1959, 12, 42. [Google Scholar] [CrossRef]
- Tritt, T.M.; Subramanian, M.A. Thermoelectric materials, phenomena, and applications: A bird’s eye view. MRS Bull. 2006, 31, 188–198. [Google Scholar] [CrossRef]
- Snyder, G.J.; Toberer, E.S. Complex thermoelectric materials. Nat. Mater. 2008, 7, 105–114. [Google Scholar] [CrossRef]
- Venkatasubramanian, R.; Siivola, E.; Colpitts, T.; O’Quinn, B. Thin-film thermoelectric devices with high room-temperature figures of merit. Nature 2001, 413, 597–602. [Google Scholar] [CrossRef]
- Zhao, L.-D.; Lo, S.-H.; Zhang, Y.; Sun, H.; Tan, G.; Uher, C.; Wolverton, C.; Dravid, V.P.; Kanatzidis, M.G. Ultralow thermal conductivity and high thermoelectric figure of merit in SnSe crystals. Nature 2014, 508, 373–377. [Google Scholar] [CrossRef] [PubMed]
- Rhyee, J.-S.; Lee, K.H.; Lee, S.M.; Cho, E.; Kim, S.I.; Lee, E.; Kwon, Y.S.; Shim, J.H.; Kotliar, G. Peierls distortion as a route to high thermoelectric performance in In4Se3-δ crystals. Nature 2009, 459, 965–968. [Google Scholar] [CrossRef] [PubMed]
- Snyder, G.J.; Christensen, M.; Nishibori, E.; Caillat, T.; Iversen, B.B. Disordered zinc in Zn4Sb3 with phonon-glass and electron-crystal thermoelectric properties. Nat. Mater. 2004, 3, 458–463. [Google Scholar] [CrossRef] [PubMed]
- Matsuno, J.; Ogawa, N.; Yasuda, K.; Kagawa, F.; Koshibae, W.; Nagaosa, N.; Tokura, Y.; Kawasaki, M. Interface-driven topological Hall effect in SrRuO3-SrIrO3 bilayer. Sci. Adv. 2016, 2, e1600304. [Google Scholar] [CrossRef] [PubMed]
- Zhao, L.-D.; Tan, G.; Hao, S.; He, J.; Pei, Y.; Chi, H.; Wang, H.; Gong, S.; Xu, H.; Dravid, V.P.; et al. Ultrahigh power factor and thermoelectric performance in hole-doped single-crystal SnSe. Science 2016, 351, 141–144. [Google Scholar] [CrossRef]
- Hsu, K.F.; Loo, S.; Guo, F.; Chen, W.; Dyck, J.S.; Uher, C.; Hogan, T.; Polychroniadis, E.K.; Kanatzidis, M.G. Cubic AgPbmSbTe2+m: Bulk thermoelectric materials with high figure of merit. Science 2004, 303, 818–821. [Google Scholar] [CrossRef] [PubMed]
- Chung, D.-Y.; Hogan, T.; Brazis, P.; Rossi-Lane, M.; Kannewurf, C.; Bastea, M.; Uher, C.; Kanatzidis, M.G. CsBi4Te6: A high-performance thermoelectric material for low-temperature applications. Science 2000, 287, 1024–1027. [Google Scholar] [CrossRef]
- Kim, S.I.; Lee, K.H.; Mun, H.A.; Kim, H.S.; Hwang, S.W.; Roh, J.W.; Yang, D.J.; Shin, W.H.; Li, X.S.; Lee, Y.H.; et al. Dense dislocation arrays embedded in grain boundaries for high-performance bulk thermoelectrics. Science 2015, 348, 109–114. [Google Scholar] [CrossRef]
- Romanjek, K.; Vesin, S.; Aixala, L.; Baffie, T.; Bernard-Granger, G.; Dufourcq, J. High-Performance Silicon–Germanium-Based Thermoelectric Modules for Gas Exhaust Energy Scavenging. J. Electron. Mater. 2015, 44, 2192–2202. [Google Scholar] [CrossRef]
- Koumoto, K.; Terasaki, I.; Funahashi, R. Complex oxide materials for potential thermoelectric applications. MRS Bull. 2006, 31, 206–210. [Google Scholar] [CrossRef]
- Szczech, J.R.; Higgins, J.M.; Jin, S. Enhancement of the thermoelectric properties in nanoscale and nanostructured materials. J. Mater. Chem. 2011, 21, 4037–4055. [Google Scholar] [CrossRef]
- Ohta, H.; Kim, S.; Mune, Y.; Mizoguchi, T.; Nomura, K.; Ohta, S.; Nomura, T.; Nakanishi, Y.; Ikuhara, Y.; Hirano, M.; et al. Giant thermoelectric Seebeck coefficient of a two-dimensional electron gas in SrTiO3. Nat. Mater. 2007, 6, 129–134. [Google Scholar] [CrossRef] [PubMed]
- Hogarth, C.A.; Andrews, J.P. XXV. Variation with oxygen pressure of the thermoelectric power of cadmium oxide. London Edinburgh Dublin Philos. Mag. J. Sci. 1949, 40, 273–282. [Google Scholar] [CrossRef]
- Parravano, G. Thermoelectric behavior of nickel oxide. J. Chem. Phys. 1955, 23, 5–10. [Google Scholar] [CrossRef]
- Hutson, A.R. Electronic properties of ZnO. J. Phys. Chem. Solids 1959, 8, 467–472. [Google Scholar] [CrossRef]
- Arvin, M.J. Electrical conductivity and thermoelectric power of indium oxide. J. Phys. Chem. Solids 1962, 23, 1681–1683. [Google Scholar] [CrossRef]
- Frederikse, H.P.R.; Thurber, W.R.; Hosler, W.R. Electronic transport in strontium titanate. Phys. Rev. 1964, 134, A442–A445. [Google Scholar] [CrossRef]
- Thurber, W.R.; Mante, A.J.H. Thermal conductivity and thermoelectric power of rutile (TiO2). Phys. Rev. 1965, 139, A1655–A1665. [Google Scholar] [CrossRef]
- Marley, J.A.; Dockerty, R.C. Electrical properties of stannic oxide single crystals. Phys. Rev. 1965, 140, A304–A310. [Google Scholar] [CrossRef]
- Young, A.P.; Schwartz, C.M. Electrical conductivity and thermoelectric power of Cu2O. J. Phys. Chem. Solids 1969, 30, 249–252. [Google Scholar] [CrossRef]
- Bednorz, J.G.; Müller, K.A. Possible high Tc superconductivity in the Ba-La-Cu-O system. Zeitschrift Phys. B Condens. Matter 1986, 64, 189–193. [Google Scholar] [CrossRef]
- Wu, M.K.; Ashburn, J.R.; Torng, C.J.; Hor, P.H.; Meng, R.L.; Gao, L.; Huang, Z.J.; Wang, Y.Q.; Chu, C.W. Superconductivity at 93 K in a new mixed-phase Y-Ba-Cu-O compound system at ambient pressure. Phys. Rev. Lett. 1987, 58, 908–910. [Google Scholar] [CrossRef] [PubMed]
- Cooper, J.R.; Alavi, B.; Zhou, L.-W.; Beyermann, W.P.; Grüner, G. Thermoelectric power of some high-Tc oxides. Phys. Rev. B 1987, 35, 8794–8796. [Google Scholar] [CrossRef] [PubMed]
- Chen, J.T.; McEwan, C.J.; Wenger, L.E.; Logothetis, E.M. Determination of charge carriers in superconducting La-Ba-Cu-O by thermoelectric measurements. Phys. Rev. B 1987, 35, 7124–7125. [Google Scholar] [CrossRef] [PubMed]
- Lee, S.; Lee, J.; Suh, B.; Moon, S.; Lim, C.; Khim, Z. Thermoelectric power and superconducting properties of Y1Ba2Cu3O7−δ and R1Ba2Cu3O7−δ. Phys. Rev. B 1988, 37, 2285–2288. [Google Scholar] [CrossRef] [PubMed]
- Mitra, N.; Trefny, J.; Yarar, B.; Pine, G.; Sheng, Z.Z.; Hermann, A.M. Thermoelectric power of the Tl-Ca-Ba-Cu-O superconductor. Phys. Rev. B 1988, 38, 7064–7066. [Google Scholar] [CrossRef] [PubMed]
- Ohtaki, M.; Koga, H.; Tokunaga, T.; Eguchi, K.; Arai, H. Electrical transport properties and high-temperature thermoelectric performance of (Ca0.9M0.1)MnO3 (M=Y, La, Ce, Sm, In, Sn, Sb, Pb, Bi). J. Solid State Chem. 1995, 120, 105–111. [Google Scholar] [CrossRef]
- Ohtaki, M.; Tsubota, T.; Eguchi, K.; Arai, H. High-temperature thermoelectric properties of (Zn1−xAlx)O. J. Appl. Phys. 1996, 79, 1816–1818. [Google Scholar] [CrossRef]
- Terasaki, I.; Sasago, Y.; Uchinokura, K. Large thermoelectric power in NaCo2O4 single crystals. Phys. Rev. B 1997, 56, R12685–R12687. [Google Scholar] [CrossRef]
- Masset, A.C.; Michel, C.; Maignan, A.; Hervieu, M.; Toulemonde, O.; Studer, F.; Raveau, B.; Hejtmanek, J. Misfit-layered cobaltite with an anisotropic giant magnetoresistance: Ca3Co4O9. Phys. Rev. B 2000, 62, 166–175. [Google Scholar] [CrossRef]
- Funahashi, R.; Matsubara, I.; Ikuta, H.; Takeuchi, T.; Mizutani, U.; Sodeoka, S. An oxide single crystal with high thermoelectric performance in air. J. Appl. Phys. Jpn. 2000, 39, 1127. [Google Scholar] [CrossRef]
- Okuda, T.; Nakanishi, K.; Miyasaka, S.; Tokura, Y. Large thermoelectric response of metallic perovskites: Sr1−xLaxTiO3 (0 <~ x <~ 0.1). Phys. Rev. B 2001, 63, 113104. [Google Scholar] [CrossRef]
- Ohta, S.; Nomura, T.; Ohta, H.; Koumoto, K. High-temperature carrier transport and thermoelectric properties of heavily La- or Nb-doped SrTiO3 single crystals. J. Appl. Phys. 2005, 97, 034106. [Google Scholar] [CrossRef]
- Ohta, S.; Nomura, T.; Ohta, H.; Hirano, M.; Hosono, H.; Koumoto, K. Large thermoelectric performance of heavily Nb-doped SrTiO3 epitaxial film at high temperature. Appl. Phys. Lett. 2005, 87, 092108. [Google Scholar] [CrossRef]
- Fergus, J.W. Oxide materials for high temperature thermoelectric energy conversion. J. Eur. Ceram. Soc. 2012, 32, 525–540. [Google Scholar] [CrossRef]
- Tritt, T.M. Thermoelectric Materials: Principles, Structure, Properties, and Applications. In Encyclopedia of Materials: Science and Technology; Elsevier: Amsterdam, The Netherlands, 2002; pp. 1–11. [Google Scholar]
- Walia, S.; Balendhran, S.; Nili, H.; Zhuiykov, S.; Rosengarten, G.; Wang, Q.H.; Bhaskaran, M.; Sriram, S.; Strano, M.S.; Kalantar-zadeh, K. Transition metal oxides—Thermoelectric properties. Prog. Mater. Sci. 2013, 58, 1443–1489. [Google Scholar] [CrossRef]
- Keyes, R.W. High-Temperature thermal conductivity of insulating crystals: Relationship to the melting point. Phys. Rev. 1959, 115, 564–567. [Google Scholar] [CrossRef]
- Vavilov, M.G.; Stone, A.D. Failure of the Wiedemann-Franz law in mesoscopic conductors. Phys. Rev. B 2005, 72, 205107. [Google Scholar] [CrossRef]
- Chen, Z.-G.; Han, G.; Yang, L.; Cheng, L.; Zou, J. Nanostructured thermoelectric materials: Current research and future challenge. Prog. Nat. Sci. Mater. Int. 2012, 22, 535–549. [Google Scholar] [CrossRef]
- Tritt, T.M. Thermoelectric phenomena, materials, and applications. Annu. Rev. Mater. Res. 2011, 41, 433–448. [Google Scholar] [CrossRef]
- Muta, H.; Kurosaki, K.; Yamanaka, S. Thermoelectric properties of rare earth doped SrTiO3. J. Alloys Compd. 2003, 350, 292–295. [Google Scholar] [CrossRef]
- Muta, H.; Kurosaki, K.; Yamanaka, S. Thermoelectric properties of doped BaTiO3–SrTiO3 solid solution. J. Alloys Compd. 2004, 368, 22–24. [Google Scholar] [CrossRef]
- Yamamoto, M.; Ohta, H.; Koumoto, K. Thermoelectric phase diagram in a CaTiO3–SrTiO3–BaTiO3 system. Appl. Phys. Lett. 2007, 90, 072101. [Google Scholar] [CrossRef]
- Kato, K.; Yamamoto, M.; Ohta, S.; Muta, H.; Kurosaki, K.; Yamanaka, S.; Iwasaki, H.; Ohta, H.; Koumoto, K. The effect of Eu substitution on thermoelectric properties of SrTi0.8Nb0.2O3. J. Appl. Phys. 2007, 102, 116107. [Google Scholar] [CrossRef]
- Liu, J.; Wang, C.L.; Li, Y.; Su, W.B.; Zhu, Y.H.; Li, J.C.; Mei, L.M. Influence of rare earth doping on thermoelectric properties of SrTiO3 ceramics. J. Appl. Phys. 2013, 114, 223714. [Google Scholar] [CrossRef]
- Kovalevsky, A.V.; Populoh, S.; Patrício, S.G.; Thiel, P.; Ferro, M.C.; Fagg, D.P.; Frade, J.R.; Weidenkaff, A. Design of SrTiO3-based thermoelectrics by tungsten substitution. J. Phys. Chem. C 2015, 119, 4466–4478. [Google Scholar] [CrossRef]
- Cui, Y.; He, J.; Amow, G.; Kleinke, H. Thermoelectric properties of n-type double substituted SrTiO3 bulk materials. Dalt. Trans. 2010, 39, 1031–1035. [Google Scholar] [CrossRef]
- Putri, Y.E.; Said, S.M.; Diantoro, M. Nanoarchitectured titanium complexes for thermal mitigation in thermoelectric materials. Renew. Sustain. Energy Rev. 2019, 101, 346–360. [Google Scholar] [CrossRef]
- Zhou, J.; Liao, B.; Qiu, B.; Huberman, S.; Esfarjani, K.; Dresselhaus, M.S.; Chen, G. Ab initio optimization of phonon drag effect for lower-temperature thermoelectric energy conversion. Proc. Natl. Acad. Sci. USA 2015, 112, 14777–14782. [Google Scholar] [CrossRef]
- Cain, T.A.; Kajdos, A.P.; Stemmer, S. La-doped SrTiO3 films with large cryogenic thermoelectric power factors. Appl. Phys. Lett. 2013, 102, 182101. [Google Scholar] [CrossRef]
- Cutler, M.; Mott, N.F. Observation of anderson localization in an electron gas. Phys. Rev. 1969, 181, 1336–1340. [Google Scholar] [CrossRef]
- Heremans, J.P. Low-dimensional thermoelectricity. Acta Phys. Pol. A 2005, 108, 609–634. [Google Scholar] [CrossRef]
- Zhang, R.; Wang, C.; Li, J.; Koumoto, K. Simulation of thermoelectric performance of bulk SrTiO3 with two-dimensional electron gas grain boundaries. J. Am. Ceram. Soc. 2010, 93, 1677–1681. [Google Scholar]
- Ohtomo, A.; Hwang, H.Y. A high-mobility electron gas at the LaAlO3/SrTiO3 heterointerface. Nature 2004, 427, 423–426. [Google Scholar] [CrossRef] [PubMed]
- Reyren, N.; Thiel, S.; Caviglia, A.D.; Kourkoutis, L.F.; Hammerl, G.; Richter, C.; Schneider, C.W.; Kopp, T.; Ruetschi, A.-S.; Jaccard, D.; et al. Superconducting interfaces between insulating oxides. Science 2007, 317, 1196–1199. [Google Scholar] [CrossRef]
- Pallecchi, I.; Telesio, F.; Marré, D.; Li, D.; Gariglio, S.; Triscone, J.-M.; Filippetti, A. Large phonon-drag enhancement induced by narrow quantum confinement at the LaAlO3/SrTiO3 interface. Phys. Rev. B 2016, 93, 195309. [Google Scholar] [CrossRef]
- Perna, P.; Maccariello, D.; Radovic, M.; Scotti di Uccio, U.; Pallecchi, I.; Codda, M.; Marré, D.; Cantoni, C.; Gazquez, J.; Varela, M.; et al. Conducting interfaces between band insulating oxides: The LaGaO3/SrTiO3 heterostructure. Appl. Phys. Lett. 2010, 97, 152111. [Google Scholar] [CrossRef]
- Stemmer, S.; James, A.S. Two-dimensional electron gases at complex oxide interfaces. Ann. Rev. Mater. Res. 2014, 44, 151–171. [Google Scholar] [CrossRef]
- Cain, T.A.; Moetakef, P.; Jackson, C.A.; Stemmer, S. Modulation doping to control the high-density electron gas at a polar/non-polar oxide interface. Appl. Phys. Lett. 2012, 101, 111604. [Google Scholar] [CrossRef]
- Moetakef, P.; Cain, T.A.; Ouellette, D.G.; Zhang, J.Y.; Klenov, D.O.; Janotti, A.; Van de Walle, C.G.; Rajan, S.; Allen, S.J.; Stemmer, S. Electrostatic carrier doping of GdTiO3/SrTiO3 interfaces. Appl. Phys. Lett. 2011, 99, 232116. [Google Scholar] [CrossRef]
- Moetakef, P.; Jackson, C.A.; Hwang, J.; Balents, L.; Allen, S.J.; Stemmer, S. Toward an artificial Mott insulator: Correlations in confined high-density electron liquids in SrTiO3. Phys. Rev. B 2012, 86, 201102. [Google Scholar] [CrossRef]
- Cain, T.A.; Lee, S.; Moetakef, P.; Balents, L.; Stemmer, S.; James, A.S. Seebeck coefficient of a quantum confined, high-electron-density electron gas in SrTiO3. Appl. Phys. Lett. 2012, 100, 161601. [Google Scholar] [CrossRef]
- Kim, J.S.; Seo, S.S.A.; Chisholm, M.F.; Kremer, R.K.; Habermeier, H.-U.; Keimer, B.; Lee, H.N. Nonlinear Hall effect and multichannel conduction in LaTiO3/SrTiO3 superlattices. Phys. Rev. B 2010, 82, 201407. [Google Scholar] [CrossRef]
- Tsukazaki, A.; Ohtomo, A.; Kita, T.; Ohno, Y.; Ohno, H.; Kawasaki, M. Quantum Hall effect in polar oxide heterostructures. Science 2007, 315, 1388–1391. [Google Scholar] [CrossRef] [PubMed]
- Tsukazaki, A.; Akasaka, S.; Nakahara, K.; Ohno, Y.; Ohno, H.; Maryenko, D.; Ohtomo, A.; Kawasaki, M. Observation of the fractional quantum Hall effect in an oxide. Nat. Mater. 2010, 9, 889–893. [Google Scholar] [CrossRef]
- Schlom, D.G.; Pfeiffer, L.N. Upward mobility rocks! Nat. Mater. 2010, 9, 881–883. [Google Scholar] [CrossRef] [PubMed]
- Kozuka, Y.; Tsukazaki, A.; Maryenko, D.; Falson, J.; Akasaka, S.; Nakahara, K.; Nakamura, S.; Awaji, S.; Ueno, K.; Kawasaki, M. Insulating phase of a two-dimensional electron gas in MgxZn1−xO/ZnO heterostructures below ν = 1/3. Phys. Rev. B 2011, 84, 033304. [Google Scholar] [CrossRef]
- Dingle, R.; Störmer, H.L.; Gossard, A.C.; Wiegmann, W. Electron mobilities in modulation-doped semiconductor heterojunction superlattices. Appl. Phys. Lett. 1978, 33, 665–667. [Google Scholar] [CrossRef]
- Eisenstein, J.P.; Cooper, K.B.; Pfeiffer, L.N.; West, K.W. Insulating and fractional quantum hall states in the first excited landau level. Phys. Rev. Lett. 2002, 88, 076801. [Google Scholar] [CrossRef]
- Umansky, V.; Heiblum, M.; Levinson, Y.; Smet, J.; Nübler, J.; Dolev, M. MBE growth of ultra-low disorder 2DEG with mobility exceeding 35 × 106 cm2/Vs. J. Cryst. Growth 2009, 311, 1658–1661. [Google Scholar] [CrossRef]
- Mimura, T.; Hiyamizu, S.; Fujii, T.; Nanbu, K. A New field-effect transistor with selectively doped GaAs/n-AlxGa1−xAs heterojunctions. Jpn. J. Appl. Phys. 1980, 19, L225–L227. [Google Scholar] [CrossRef]
- Delagebeaudeuf, D.; Linh, N.T. Metal-(n) AlGaAs-GaAs two-dimensional electron gas FET. IEEE Trans. Electron Devices 1982, 29, 955–960. [Google Scholar] [CrossRef]
- Schafranek, R.; Baniecki, J.D.; Ishii, M.; Kotaka, Y.; Yamanka, K.; Kurihara, K. Band offsets at the epitaxial SrTiO3/SrZrO3 (001) heterojunction. J. Phys. D. Appl. Phys. 2012, 45, 055303. [Google Scholar] [CrossRef]
- Janotti, A.; Bjaalie, L.; Gordon, L.; Van de Walle, C.G. Controlling the density of the two-dimensional electron gas at the SrTiO3/LaAlO3 interface. Phys. Rev. B 2012, 86, 241108. [Google Scholar] [CrossRef]
- Berner, G.; Müller, A.; Pfaff, F.; Walde, J.; Richter, C.; Mannhart, J.; Thiess, S.; Gloskovskii, A.; Drube, W.; Sing, M.; et al. Band alignment in LaAlO3/SrTiO3 oxide heterostructures inferred from hard x-ray photoelectron spectroscopy. Phys. Rev. B 2013, 88, 115111. [Google Scholar] [CrossRef]
- Chambers, S.A.; Engelhard, M.H.; Shutthanandan, V.; Zhu, Z.; Droubay, T.C.; Qiao, L.; Sushko, P.V.; Feng, T.; Lee, H.D.; Gustafsson, T.; et al. Instability, intermixing and electronic structure at the epitaxial LaAlO3/SrTiO3 (001) heterojunction. Surf. Sci. Rep. 2010, 65, 317–352. [Google Scholar] [CrossRef]
- Lim, S.-G.; Kriventsov, S.; Jackson, T.N.; Haeni, J.H.; Schlom, D.G.; Balbashov, A.M.; Uecker, R.; Reiche, P.; Freeouf, J.L.; Lucovsky, G. Dielectric functions and optical bandgaps of high-K dielectrics for metal-oxide-semiconductor field-effect transistors by far ultraviolet spectroscopic ellipsometry. J. Appl. Phys. 2002, 91, 4500–4505. [Google Scholar] [CrossRef]
- Lee, Y.S.; Lee, J.S.; Noh, T.W.; Byun, D.Y.; Yoo, K.S.; Yamaura, K.; Takayama-Muromachi, E. Systematic trends in the electronic structure parameters of the 4d transition-metal oxides SrMO3 (M=Zr, Mo, Ru, and Rh). Phys. Rev. B 2003, 67, 113101. [Google Scholar] [CrossRef]
- Qiao, L.; Droubay, T.C.; Kaspar, T.C.; Sushko, P.V.; Chambers, S.A. Cation mixing, band offsets and electric fields at LaAlO3/SrTiO3 (001) heterojunctions with variable La:Al atom ratio. Surf. Sci. 2011, 605, 1381–1387. [Google Scholar] [CrossRef]
- Delugas, P.; Filippetti, A.; Gadaleta, A.; Pallecchi, I.; Marré, D.; Fiorentini, V. Large band offset as driving force of two-dimensional electron confinement: The case of SrTiO3/SrZrO3 interface. Phys. Rev. B 2013, 88, 115304. [Google Scholar] [CrossRef]
- Kajdos, A.P.; Ouellette, D.G.; Cain, T.A.; Stemmer, S. Two-dimensional electron gas in a modulation-doped SrTiO3/Sr(Ti,Zr)O3 heterostructure. Appl. Phys. Lett. 2013, 103, 082120. [Google Scholar] [CrossRef]
- Fujisawa, J.; Eda, T.; Hanaya, M. Comparative study of conduction-band and valence-band edges of TiO2, SrTiO3, and BaTiO3 by ionization potential measurements. Chem. Phys. Lett. 2017, 685, 23–26. [Google Scholar] [CrossRef]
- Shanthi, N.; Sarma, D.D. Electronic structure of electron doped SrTiO3: SrTiO3−δ and Sr1−xLaxTiO3. Phys. Rev. B 1998, 57, 2153–2158. [Google Scholar] [CrossRef]
- Abutaha, A.I.; Kumar, S.R.S.; Li, K.; Dehkordi, A.M.; Tritt, T.M.; Alshareef, H.N. Enhanced thermoelectric figure-of-merit in thermally robust, nanostructured superlattices based on SrTiO3. Chem. Mater. 2015, 27, 2165–2171. [Google Scholar] [CrossRef]
- Mune, Y.; Ohta, H.; Koumoto, K.; Mizoguchi, T.; Ikuhara, Y. Enhanced Seebeck coefficient of quantum-confined electrons in SrTiO3∕SrTi0.8Nb0.2O3 superlattices. Appl. Phys. Lett. 2007, 91, 192105. [Google Scholar] [CrossRef]
- Ohta, H.; Mune, Y.; Koumoto, K.; Mizoguchi, T.; Ikuhara, Y. Critical thickness for giant thermoelectric Seebeck coefficient of 2DEG confined in SrTiO3/SrTi0.8Nb0.2O3 superlattices. Thin Solid Films 2008, 516, 5916–5920. [Google Scholar] [CrossRef]
- Park, N.-H.; Dang, F.; Wan, C.; Seo, W.-S.; Koumoto, K. Self-originating two-step synthesis of core–shell structured La-doped SrTiO3 nanocubes. J. Asian Ceram. Soc. 2013, 1, 35–40. [Google Scholar] [CrossRef]
- Park, N.-H.; Akamatsu, T.; Itoh, T.; Izu, N.; Shin, W. Rapid synthesis and formation mechanism of core-shell-structured La-doped SrTiO3 with a Nb-doped shell. Materials 2015, 8, 3992–4003. [Google Scholar] [CrossRef]
- Wang, Y.; Zhang, X.; Shen, L.; Bao, N.; Wan, C.; Park, N.-H.; Koumoto, K.; Gupta, A. Nb-doped grain boundary induced thermoelectric power factor enhancement in La-doped SrTiO3 nanoceramics. J. Power Sources 2013, 241, 255–258. [Google Scholar] [CrossRef]
- Hays, C.C.; Zhou, J.-S.; Markert, J.T.; Goodenough, J.B. Electronic transition in La1−xSrxTiO3. Phys. Rev. B 1999, 60, 10367–10373. [Google Scholar] [CrossRef]
- Kear, B.H.; Al-Sharab, J.F.; Sadangi, R.K.; Deutsch, S.; Kavukcuoglu, N.B.; Tse, S.D.; Mann, A.; Voronov, O.A.; Nordahl, C.S. On the conversion of bulk polycrystalline Y2O3 into the nanocrystalline state. J. Am. Ceram. Soc. 2011, 94, 1744–1746. [Google Scholar] [CrossRef]
- Guinea, F.; Horovitz, B.; Le Doussal, P. Gauge field induced by ripples in graphene. Phys. Rev. B 2008, 77, 205421. [Google Scholar] [CrossRef]
- Zubkov, M.A.; Volovik, G.E. Emergent gravity in graphene. J. Phys. Conf. Ser. 2015, 607, 012020. [Google Scholar] [CrossRef]
- Li, E.; Wang, N.; He, H.; Chen, H. Improved thermoelectric performances of SrTiO3 ceramic doped with Nb by surface modification of nanosized titania. Nanoscale Res. Lett. 2016, 11, 188. [Google Scholar] [CrossRef] [PubMed]
- Katagiri, K.; Ohno, K.; Masuda, Y.; Koumoto, K. Growth behavior of TiO2 particles via the liquid phase deposition process. J. Ceram. Soc. Jpn. 2007, 115, 831–834. [Google Scholar] [CrossRef][Green Version]
- Klemens, P.G. Thermal conductivity of inhomogeneous materials. Int. J. Thermophys. 1989, 10, 1213–1219. [Google Scholar] [CrossRef]
- El Khal, H.; Cordier, A.; Batis, N.; Siebert, E.; Georges, S.; Steil, M.C. Effect of porosity on the electrical conductivity of LAMOX materials. Solid State Ionics 2017, 304, 75–84. [Google Scholar] [CrossRef]
- Maxwell, J.C. A Treatise on Electricity and Magnetism; Cambridge University Press: Cambridge, UK, 2010; ISBN 9780511709333. [Google Scholar]
- Bird, R.B.; Stewart, W.E.; Lightfoot, E.N. Transport phenomena. AIChE J. 1961, 7, 5J–6J. [Google Scholar]
- Bergman, D.J. The dielectric constant of a composite material—A problem in classical physics. Phys. Rep. 1978, 43, 377–407. [Google Scholar] [CrossRef]
- Bergman, D.J. Rigorous bounds for the complex dielectric constant of a two-component composite. Ann. Phys. 1982, 138, 78–114. [Google Scholar] [CrossRef]
- Carman, P.C. Flow of Gases through Porous Media; Academic Press: New York, NY, USA, 1956. [Google Scholar]
- Ha, T.-J.; Park, H.-H.; Jung, S.-Y.; Yoon, S.-J.; Kim, J.-S.; Jang, H.W. Effect of porosity on the Seebeck coefficient of mesoporous TiO2 thin films. Thin Solid Films 2010, 518, 7196–7198. [Google Scholar] [CrossRef]
- Lee, H.; Vashaee, D.; Wang, D.Z.; Dresselhaus, M.S.; Ren, Z.F.; Chen, G. Effects of nanoscale porosity on thermoelectric properties of SiGe. J. Appl. Phys. 2010, 107, 094308. [Google Scholar] [CrossRef]
- Ohta, S.; Ohta, H.; Koumoto, K. Grain size dependence of thermoelectric performance of Nb-doped SrTiO3 polycrystals. J. Ceram. Soc. Jpn. 2006, 114, 102–105. [Google Scholar] [CrossRef]
- Navrotsky, A.; Kleppa, O.J. Enthalpy of the anatase-rutile transformation. J. Am. Ceram. Soc. 1967, 50, 626. [Google Scholar] [CrossRef]
- Rubenis, K.; Ozoliņš, J.; Pūra, A.; Ločs, J.; Reimanis, M.; Narkevica, I.; Līga, B.-C. The influence of thermal treatment on the properties of TiO2 ceramics obtained by extrusion. Mater. Sci. Appl. Chem. 2012, 25, 71–75. [Google Scholar]
- Zhao, L.; Wang, J.; Gai, Z.; Li, J.; Liu, J.; Wang, J.; Wang, C.; Wang, X. Annealing effects on the structural and dielectric properties of (Nb + In) co-doped rutile TiO2 ceramics. RSC Adv. 2019, 9, 8364–8368. [Google Scholar] [CrossRef]
- D’Amico, N.R.; Cantele, G.; Ninno, D. First principles calculations of the band offset at SrTiO3–TiO2 interfaces. Appl. Phys. Lett. 2012, 101, 141606. [Google Scholar] [CrossRef]
- Chambers, S.A.; Ohsawa, T.; Wang, C.M.; Lyubinetsky, I.; Jaffe, J.E. Band offsets at the epitaxial anatase TiO2/n-SrTiO3(001) interface. Surf. Sci. 2009, 603, 771–780. [Google Scholar] [CrossRef]
- Hasnip, P.J.; Refson, K.; Probert, M.I.J.; Yates, J.R.; Clark, S.J.; Pickard, C.J. Density functional theory in the solid state. Philos. Trans. A Math. Phys. Eng. Sci. 2014, 372, 20130270. [Google Scholar] [CrossRef]
- Pacchioni, G. First principles calculations on oxide-based heterogeneous catalysts and photocatalysts: Problems and advances. Catal. Lett. 2014, 145, 80–94. [Google Scholar] [CrossRef]
- Kohn, W.; Sham, L.J. Self-consistent equations including exchange and correlation effects. Phys. Rev. 1965, 140, A1133–A1138. [Google Scholar] [CrossRef]
- Blöchl, P.E. Projector augmented-wave method. Phys. Rev. B 1994, 50, 17953–17979. [Google Scholar] [CrossRef] [PubMed]
- Kresse, G.; Joubert, D. From ultrasoft pseudopotentials to the projector augmented-wave method. Phys. Rev. B 1999, 59, 1758–1775. [Google Scholar] [CrossRef]
- Vanderbilt, D. Soft self-consistent pseudopotentials in a generalized eigenvalue formalism. Phys. Rev. B 1990, 41, 7892–7895. [Google Scholar] [CrossRef]
- Singh, D.J.; Nordstrom, L. Planewaves, Pseudopotentials and the LAPW Method, 2nd ed.; Springer: New York, NY, USA, 2006; pp. 1–134. [Google Scholar]
- Anisimov, V.I.; Aryasetiawan, F.; Lichtenstein, A.I. First-principles calculations of the electronic structure and spectra of strongly correlated systems: The LDA+U method. J. Phys. Condens. Matter 1997, 9, 767–808. [Google Scholar] [CrossRef]
- Hubbard, J. Electron correlations in narrow energy bands. Proc. R. Soc. London, Ser. A 1965, 276, 238–257. [Google Scholar]
- Dudarev, S.L.; Botton, G.A.; Savrasov, S.Y.; Humphreys, C.J.; Sutton, A.P. Electron-energy-loss spectra and the structural stability of nickel oxide: An LSDA+U study. Phys. Rev. B 1998, 57, 1505–1509. [Google Scholar] [CrossRef]
- Cococcioni, M. The LDA+U Approach: A Simple Hubbard Correction for Correlated Ground States. Correlated Electrons: From Models to Materials Modeling and simulation; Forschungszentrum: Julich, Germany, 2012; pp. 4–33. ISBN 978-3-89336-796-2. [Google Scholar]
- Himmetoglu, B.; Floris, A.; De Gironcoli, S.; Cococcioni, M. Hubbard-corrected DFT energy functionals: The LDA+U description of correlated systems. Int. J. Quantum Chem. 2014, 114, 14–49. [Google Scholar] [CrossRef]
- Liu, X.; Sohlberg, K. Theoretical calculations on layered perovskites: Implications for photocatalysis. Complex Metals 2014, 1, 103–121. [Google Scholar] [CrossRef]
- Becke, A.D. Density-functional thermochemistry. III. The role of exact exchange. J. Chem. Phys. 1993, 98, 5648–5652. [Google Scholar] [CrossRef]
- Stephens, P.J.; Devlin, F.J.; Chabalowski, C.F.; Frisch, M.J. Ab initio calculation of vibrational absorption and circular dichroism spectra using density functional force fields. J. Phys. Chem. 1994, 98, 11623–11627. [Google Scholar] [CrossRef]
- Perdew, J.P.; Burke, K.; Ernzerhof, M. Rationale for mixing exact exchange with density functional approximations. J. Chem. Phys. 1996, 105, 9982–9985. [Google Scholar] [CrossRef]
- Paier, J.; Marsman, M.; Kresse, G. Why does the B3LYP hybrid functional fail for metals? J. Chem. Phys. 2007, 127, 024103. [Google Scholar] [CrossRef] [PubMed]
- Perdew, J.P.; Chevary, J.A.; Vosko, S.H.; Jackson, K.A.; Pederson, M.R.; Singh, D.J.; Fiolhais, C. Atoms, molecules, solids, and surfaces: Applications of the generalized gradient approximation for exchange and correlation. Phys. Rev. B 1992, 46, 6671–6687. [Google Scholar] [CrossRef] [PubMed]
- Wang, Z.; Sun, R.; Chen, C.; Saito, M.; Tsukimoto, S.; Ikuhara, Y. Structural and electronic impact of SrTiO3 substrate on TiO2 thin films. J. Mater. Sci. 2012, 47, 5148–5157. [Google Scholar] [CrossRef]
- Xu, Z.; Salvador, P.; Kitchin, J.R. First-principles investigation of the epitaxial stabilization of oxide polymorphs: TiO2 on (Sr,Ba)TiO3. ACS Appl. Mater. Interfaces 2017, 9, 4106–4118. [Google Scholar] [CrossRef] [PubMed]
- Maheu, C.; Cardenas, L.; Puzenat, E.; Afanasiev, P.; Geantet, C. UPS and UV spectroscopies combined to position the energy levels of TiO2 anatase and rutile nanopowders. Phys. Chem. Chem. Phys. 2018, 20, 25629–25637. [Google Scholar] [CrossRef] [PubMed]
- Selli, D.; Fazio, G.; Di Valentin, C. Modelling realistic TiO2 nanospheres: A benchmark study of SCC-DFTB against hybrid DFT. J. Chem. Phys. 2017, 147, 164701. [Google Scholar] [CrossRef]
- Hedin, L. New method for calculating the one-particle green’s function with application to the electron-gas problem. Phys. Rev. 1965, 139, A796–A823. [Google Scholar] [CrossRef]
- Labat, F.; Baranek, P.; Domain, C.; Minot, C.; Adamo, C. Density functional theory analysis of the structural and electronic properties of TiO2 rutile and anatase polytypes: performances of different exchange-correlation functionals. J. Chem. Phys. 2007, 126, 154703. [Google Scholar] [CrossRef]
- Patrick, C.E.; Giustino, F. GW quasiparticle bandgaps of anatase TiO2 starting from DFT + U. J. Phys. Condens. Matter 2012, 24, 202201. [Google Scholar] [CrossRef] [PubMed]
- Fazio, G.; Ferrighi, L.; Di Valentin, C. Spherical versus faceted anatase TiO2 nanoparticles: A model study of structural and electronic properties. J. Phys. Chem. C 2015, 35, 20735–20746. [Google Scholar] [CrossRef]
- Chiodo, L.; Garcıa-Lastra, J.M.; Iacomino, A.; Ossicini, S.; Zhao, J.; Petek, H.; Rubio, A. Self-energy and excitonic effects in the electronic and optical properties of TiO2 crystalline phases. Phys. Rev. B 2010, 82, 045207. [Google Scholar] [CrossRef]
- Tang, H.; Lévy, F.; Berger, H.; Schmid, P.E. Urbach tail of anatase TiO2. Phys. Rev. B 1995, 52, 7771–7774. [Google Scholar] [CrossRef] [PubMed]
- Bi, F.; Markov, S.; Wang, R.; Kwok, Y.; Zhou, W.; Liu, L.; Zheng, X.; Chen, G.; Yam, C. Enhanced photovoltaic properties induced by ferroelectric domain structures in organometallic halide perovskites. J. Phys. Chem. C 2017, 121, 11151–11158. [Google Scholar] [CrossRef]
- Luschtinetz, R.; Frenzel, J.; Milek, T.; Seifert, G. Adsorption of phosphonic acid at the TiO2 anatase (101) and rutile (110) surfaces. J. Phys. Chem. C 2009, 113, 5730–5740. [Google Scholar] [CrossRef]
- Fox, H.; Newman, K.E.; Schneider, W.F.; Corcelli, S.A. Bulk and surface properties of rutile TiO2 from self-consistent-charge density functional tight binding. J. Chem. Theory Comput. 2010, 6, 499–507. [Google Scholar] [CrossRef] [PubMed]
- Kikuchi, A.; Okinaka, N.; Akiyama, T. A large thermoelectric figure of merit of La-doped SrTiO3 prepared by combustion synthesis with post-spark plasma sintering. Scr. Mater. 2010, 63, 407–410. [Google Scholar] [CrossRef]
- Obara, H.; Yamamoto, A.; Lee, C.-H.; Kobayashi, K.; Matsumoto, A.; Funahashi, R. Thermoelectric properties of Y-doped polycrystalline SrTiO3. Jpn. J. Appl. Phys. 2004, 43, L540–L542. [Google Scholar] [CrossRef]
- Papynov, E.K.; Shichalin, O.O.; Mayorov, V.Y.; Modin, E.B.; Portnyagin, A.S.; Tkachenko, I.A.; Belov, A.A.; Gridasova, E.A.; Tananaev, I.G.; Avramenko, V.A. Spark Plasma Sintering as a high-tech approach in a new generation of synthesis of nanostructured functional ceramics. Nanotechnol. Russ. 2017, 12, 49–61. [Google Scholar] [CrossRef]
- Ito, M.; Matsuda, T. Thermoelectric properties of non-doped and Y-doped SrTiO3 polycrystals synthesized by polymerized complex process and hot pressing. J. Alloys Compd. 2009, 477, 473–477. [Google Scholar] [CrossRef]
- Wang, Y.; Lee, K.H.; Ohta, H.; Koumoto, K. Thermoelectric properties of electron doped SrO(SrTiO3)n (n = 1,2) ceramics. J. Appl. Phys. 2009, 105, 103701. [Google Scholar] [CrossRef]
- Shang, P.-P.; Zhang, B.-P.; Li, J.-F.; Ma, N. Effect of sintering temperature on thermoelectric properties of La-doped SrTiO3 ceramics prepared by sol-gel process and spark plasma sintering. Solid State Sci. 2010, 12, 1341–1346. [Google Scholar] [CrossRef]
- Okinaka, N.; Zhang, L.; Akiyama, T. Thermoelectric properties of rare earth-doped SrTiO3 using combination of combustion synthesis (CS) and spark plasma sintering (SPS). ISIJ Int. 2010, 50, 1300–1304. [Google Scholar] [CrossRef][Green Version]
- Kosyanov, D.Y.; Yavetskiy, R.P.; Tolmachev, A.V.; Vornovskikh, A.A.; Pogodaev, A.V.; Gridasova, E.A.; Shichalin, O.O.; Kaidalova, T.A.; Kuryavyi, V.G. Fabrication of highly-doped Nd3+:YAG transparent ceramics by reactive SPS. Ceram. Int. 2018, 44, 23145–23149. [Google Scholar] [CrossRef]
- Chaim, R.; Marder-Jaeckel, R.; Shen, J.Z. Transparent YAG ceramics by surface softening of nanoparticles in spark plasma sintering. Mater. Sci. Eng. A 2006, 429, 74–78. [Google Scholar] [CrossRef]
- Podowitz, S.R.; Gaumé, R.; Feigelson, R.S. Effect of europium concentration on densification of transparent Eu:Y2O3 scintillator ceramics using hot pressing. J. Am. Ceram. Soc. 2010, 93, 82–88. [Google Scholar] [CrossRef]
- Ma, H.J.; Jung, W.K.; Baek, C.; Kim, D.K. Influence of microstructure control on optical and mechanical properties of infrared transparent Y2O3-MgO nanocomposite. J. Eur. Ceram. Soc. 2017, 37, 4902–4911. [Google Scholar] [CrossRef]
- Xu, M.; Chang, J.; Wang, J.; Wu, C.; Hu, F. Al2O3-YAG:Ce composite ceramics for high-brightness lighting. Opt. Express 2019, 27, 872–885. [Google Scholar] [CrossRef] [PubMed]
- Liu, X.; Qian, X.; Hu, Z.; Chen, X.; Shi, Y.; Zou, J.; Li, J. Al2O3-Ce:GdYAG composite ceramic phosphors for high-power white light-emitting-diode applications. J. Eur. Ceram. Soc. 2019, 39, 2149–2154. [Google Scholar] [CrossRef]
- Dehkordi, A.M. An Experimental Investigation towards Improvement of Thermoelectric Properties of Strontium Titanate Ceramics; ProQuest Dissertations and Theses; Clemson University: Clemson, SC, USA, 2014; Volume 76-02(E), ISBN 9781321220834. [Google Scholar]
- Niwa, E.; Sato, K.; Yashiro, K.; Mizusaki, J. High-temperature gravimetric study on the kinetics of the formation of SrTiO3 by solid state reaction of SrCO3 and TiO2. ECS Trans. 2009, 16, 205–210. [Google Scholar]
- Ebrahimi, M.E.; Allahverdi, M.; Safari, A. Synthesis of high aspect ratio platelet SrTiO3. J. Am. Ceram. Soc. 2005, 88, 2129–2132. [Google Scholar] [CrossRef]
- Maca, K.; Pouchly, V.; Shen, Z. Two-step sintering and spark plasma sintering of Al2O3, ZrO2 and SrTiO3 ceramics. Integr. Ferroelectr. 2010, 99, 114–124. [Google Scholar] [CrossRef]
- Sutharsini, U.; Thanihaichelvan, M.; Singh, R. Sintering of Functional Materials. In Two-Step Sintering of Ceramics; InTechOpen: London, UK, 2018; pp. 4–21. [Google Scholar]
- Qin, M.; Gao, F.; Cizek, J.; Yang, S.; Fan, X.; Zhao, L.; Xu, J.; Dong, G.; Reece, M.; Yan, H. Point defect structure of La-doped SrTiO3 ceramics with colossal permittivity. Acta Mater. 2019, 164, 76–89. [Google Scholar] [CrossRef]
- Federicci, R.; Holé, S.; Popa, A.F.; Brohan, L.; Baptiste, B.; Mercone, S.; Leridon, B. Rb2Ti2O5: Superionic conductor with colossal dielectric constant. Phys. Rev. Mater. 2017, 1, 032001. [Google Scholar] [CrossRef]













| Method | PBE | PBE0 | B3LYP | PBE+U | GW | DFTB | Experiment |
|---|---|---|---|---|---|---|---|
| Band gap, eV | 2.36 [150] | 4.50 [151] | 3.81 [152] | 3.27 [151] | 3.83 [153] | 3.22 [148] | 3.4 [154] |
| Authors | Composition | Sintering Conditions | Pressure | Density | Largest Figure of Merit | Ref. | |
|---|---|---|---|---|---|---|---|
| 1 | H. Obara et al. | 10 at.% Y-doped SrTiO3 | HP @ 1400 °C, 1 h | 100 MPa (Argon) | >97% | ZT = 0.10 at 490 K | [159] |
| 2 | M. Ito and T. Matsuda | SrTiO3 | HP @ 1400 °C, 2 h | 25 MPa (Argon) | 95.8% | ZT~0.092 at 870 K | [161] |
| 10 at.% Y-doped SrTiO3 | 97.2% | ZT = 0.146 at 870 K | |||||
| 3 | Y. Wang et al. | 5 at.% Gd-doped SrO(SrTiO3)2 | HP @ 1450 °C, 1 h | 36 MPa (Argon) | 96–99% | ZT~0.24 at 1000 K | [162] |
| 5 at.% Nb-doped SrO(SrTiO3)2 | ZT = 0.14 at 1000 K | ||||||
| 4 | A. Kikuchi et al. | 8 at.% La-doped SrTiO3 | SPS @ 1300 °C, 5 min | 34 MPa (Vacuum) | 97.7% | ZT = 0.37 at 1045 K | [158] |
| 5 | P.-P. Shang et al. | 8 at.% La-doped SrTiO3 | SPS @ 1200 °C, 5 min | 40 MPa (Vacuum) | 91.6% | ZT = 0.08 at 679 K | [163] |
| 6 | N. Okinaka et al. | 8 at.% La-doped SrTiO3 | SPS @ 1300 °C, 30 min | 34 MPa (Vacuum) | >95% | ZT = 0.22 at 800 K | [164] |
© 2019 by the authors. Licensee MDPI, Basel, Switzerland. This article is an open access article distributed under the terms and conditions of the Creative Commons Attribution (CC BY) license (http://creativecommons.org/licenses/by/4.0/).
Share and Cite
Zavjalov, A.; Tikhonov, S.; Kosyanov, D. TiO2–SrTiO3 Biphase Nanoceramics as Advanced Thermoelectric Materials. Materials 2019, 12, 2895. https://doi.org/10.3390/ma12182895
Zavjalov A, Tikhonov S, Kosyanov D. TiO2–SrTiO3 Biphase Nanoceramics as Advanced Thermoelectric Materials. Materials. 2019; 12(18):2895. https://doi.org/10.3390/ma12182895
Chicago/Turabian StyleZavjalov, Alexey, Sergey Tikhonov, and Denis Kosyanov. 2019. "TiO2–SrTiO3 Biphase Nanoceramics as Advanced Thermoelectric Materials" Materials 12, no. 18: 2895. https://doi.org/10.3390/ma12182895
APA StyleZavjalov, A., Tikhonov, S., & Kosyanov, D. (2019). TiO2–SrTiO3 Biphase Nanoceramics as Advanced Thermoelectric Materials. Materials, 12(18), 2895. https://doi.org/10.3390/ma12182895

