Measuring the Cohesive Law in Mode I Loading of Eucalyptus globulus
Abstract
1. Introduction
2. Materials and Methods
2.1. Raw Material
2.2. Compliance-Based Beam Method (CBBM)
2.3. Double Cantilever Beam (DCB) Test Coupled with Digital Image Correlation
3. Results and Discussion
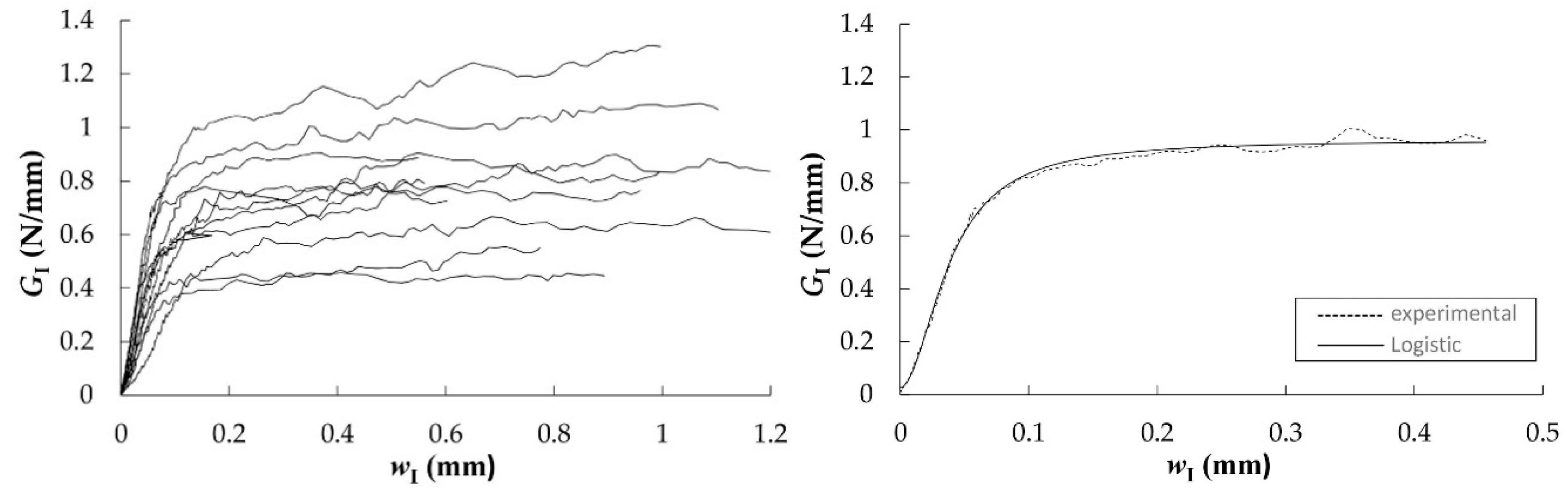
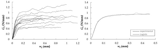
3.1. Resistance Curve from CBBM
3.2. Cohesive Law
4. Conclusions
Author Contributions
Funding
Conflicts of Interest
References
- Lara-Bocanegra, A.J.; Majano-Majano, A.; Crespo, J.; Guaita, M. Finger-jointed Eucalyptus globulus with 1C-PUR adhesive for high performance engineered laminated products. Constr. Build. Mater. 2017, 135, 529–537. [Google Scholar] [CrossRef]
- Lara-Bocanegra, A.J.; Majano-Majano, A.; Arriaga, F.; Guaita, M. Long-term bending stress relaxation in timber laths for the structural design of lattice shells. Constr. Build. Mater. 2018, 193, 565–575. [Google Scholar] [CrossRef]
- LIGNUM-Nuevos Usos y Sistemas para la Madera Sólida de Eucalyptus globulus, ITC-20133059. FEDER Innterconecta Program. 2013.
- XILOGRACILE-Tecnificación de la Cadena de Valor para el Desarrollo de Productos de altas Solicitaciones Técnicas con Madera de Eucalipto, ITC-20151124. FEDER Innterconecta Program. 2015.
- De Moura, F.S.F.; Dourado, N. Wood Fracture Characterization, 1st ed.; CRC Press Taylor & Francis Group: Boca Raton, FL, USA, 2018; ISBN 9780815364719. [Google Scholar]
- Odounga, B.; Moutou Pitti, R.; Toussaint, E.; Grédiac, M. Mode I fracture of tropical woods using grid method. Theor. Appl. Fract. Mech. 2018, 95, 1–17. [Google Scholar] [CrossRef]
- EN 1995-1-1:2016. Eurocode 5: Design of Timber Structures. Part 1-1: General. Common Rules and Rules for Buildings; The Spanish Association for Standardization and Certification (AENOR): Madrid, Spain, 2016. [Google Scholar]
- Van der Put, T.A.C.M.; Leijten, A.J.M. Evaluation of perpendicular to grain failure of beams caused by concentrated loads of joints. In Proceedings of the International Council for Research and Innovation in Building and Construction, Delft, The Netherlands, 28–30 August 2000. [Google Scholar]
- Jensen, J.L.; Girhammar, U.A.; Quenneville, P.; Källsner, B. Splitting of beams loaded perpendicular to grain by connections-simple fracture mechanics models. In Proceedings of the World Conference on Timber Engineering (WCTE), Auckland, New Zeland, 15–19 July 2012. [Google Scholar]
- Caldeira, T.V.P.; Dourado, N.; de Jesus, A.M.P.; de Moura, M.F.S.F.; Morais, J.J.L. Quasi-static behavior of momento-carrying steel-wood doweled joints. Constr. Build. Mater. 2014, 53, 439–447. [Google Scholar] [CrossRef]
- Santos, C.L.; Morais, J.J.L.; de Jesus, A.M.P. Mechanical behaviour of wood T-joints. experimental and numerical investigation. Frattura ed Integrità Strutturale 2015, 31, 23–37. [Google Scholar] [CrossRef]
- De Moura, M.F.S.F.; Silva, M.A.L.; de Morais, A.B.; Morais, J.J.L. Equivalent crack based mode II fracture characterization of wood. Eng. Fract. Mech. 2006, 73, 978–993. [Google Scholar] [CrossRef]
- Barenblatt, G.I. The Mathematical Theory of Equilibrium Cracks in Brittle Fracture. Adv. Appl. Mech. 1962, 7, 55–129. [Google Scholar] [CrossRef]
- Dugdale, D. Yielding of steel sheets containing slits. J. Mech. Phys. Solids 1960, 8, 100–104. [Google Scholar] [CrossRef]
- Boström, L. The stress-displacement relation of wood perpendicular to the grain. Part 1. Experimental determination of the stress-strain relation. Wood Sci. Technol. 1994, 28, 309–317. [Google Scholar] [CrossRef]
- Blal, N.; Daridon, L.; Monerie, Y.; Pagano, S. Artificial compliance inherent to the intrinsic cohesive zone models: Criteria and application to planar meses. Int. J. Fract. 2012, 178, 71–83. [Google Scholar] [CrossRef]
- Wang, Y.; Waisman, H. Progressive delamination analysis of composite materials using XFEM and a discrete damage model. Comput. Mech. 2015, 55, 1–26. [Google Scholar] [CrossRef]
- Pereira, F.A.M.; de Moura, M.F.S.F.; Dourado, N.; Morais, J.J.L.; Xavier, J.; Dias, M.I.R. Direct and inverse methods applied to the determination of mode I cohesive law of bovine cortical bone using the DCB test. Int. J. Solids Struct. 2017, 128, 210–220. [Google Scholar] [CrossRef]
- Dourado, N.; Morel, S.; de Moura, M.; Valentin, G.; Morais, J. Comparison of fracture properties of two wood species through cohesive crack simulations. Compos. Part A Appl. Sci. Manuf. 2008, 39, 415–427. [Google Scholar] [CrossRef]
- De Moura, M.F.S.F.; Morais, J.J.L.; Dourado, N. A new data reduction scheme for mode I wood fracture characterization using the double cantilever beam test. Eng. Fract. Mech. 2008, 75, 3852–3865. [Google Scholar] [CrossRef]
- Volokh, K.Y. Comparison between cohesive zone models. Int. J. Numer. Methods Biol. 2004, 845–856. [Google Scholar] [CrossRef]
- Fernberg, S.P.; Berglund, L.A. Bridging law and toughness characterization of CSM and SMC composites. Compos. Sci. Technol. 2001, 61, 2445–2454. [Google Scholar] [CrossRef]
- EN 408:2011. Timber Structures—Structural Timber and Glued Laminated Timber—Determination of Some Physical and Mechanical Properties; The Spanish Association for Standardization and Certification (AENOR): Madrid, Spain, 2011. [Google Scholar]
- Crespo, J.; Aira, J.R.; Vázquez, C.; Guaita, M. Comparative analysis of the elastic constants measured via conventional, ultrasound, and 3-D Digital Image Correlation methods in Eucalyptus globulus. Bioresources 2017, 12, 3728–3743. [Google Scholar] [CrossRef]
- Xavier, J.; Morais, J.; Dourado, N.; de Moura, M.F.S.F. Measurement of Mode I and mode II fracture properties of wood-bonded joints. J. Adhes. Sci. Technol. 2011, 25, 2881–2895. [Google Scholar] [CrossRef]
- Xavier, J.; Oliveira, M.; Monteiro, P.; Morais, J.J.L.; de Moura, M.F.S.F. Direct evaluation of cohesive law in Mode I of Pinus pinaster by Digital Image Correlation. Exp. Mech. 2014, 54, 829–840. [Google Scholar] [CrossRef]
- Williams, J. The fracture mechanics of delamination tests. J. Strain Anal. 1989, 24, 207–214. [Google Scholar] [CrossRef]
- Irwin, G.R.; Kies, J.A. Critical energy rate analysis of fracture strength. Weld Res. Suppl. 1952, 33, 193–198. [Google Scholar]
- Xavier, J.; Oliveira, M.; Morais, J.J.L.; de Moura, M.F.S.F. Determining mode II cohesive law of Pinus pinaster by combining the end-notched flexure test with digital image correlation. Constr. Build. Mater. 2014, 71, 109–115. [Google Scholar] [CrossRef]
- Silva, F.G.A.; Morais, J.J.L.; Dourado, N.; Xavier, J.; Pereira, F.A.M.; de Moura, M.F.S.F. Determination of cohesive laws in wood bonded joints under mode II loading using the ENF test. Int. J. Adhes. Adhes. 2014, 51, 54–61. [Google Scholar] [CrossRef]
- GOM mbH. ARAMIS Commercial Software; ARAMIS 6.0.2; GOM mbH: Braunschweig, Germany, 2007. [Google Scholar]
- Xavier, J.; de Jesus, A.M.P.; Morais, J.J.L.; Pinto, J.M.T. Stereovision measurements on evaluating the modulus of elasticity of wood by compression tests parallel to the grain. Constr. Build. Mater. 2012, 26, 207–215. [Google Scholar] [CrossRef]
- Sousa, A.M.R.; Xavier, J.; Morais, J.J.L.; Filipe, V.M.J.; Vaz, M. Processing discontinuous displacement fields by a spatio-temporal derivative technique. Opt. Laser Eng. 2011, 49, 1402–1412. [Google Scholar] [CrossRef]
- Xavier, J.; Sousa, A.M.R.; Morais, J.J.L.; Filipe, V.M.J.; Vaz, M. Measuring displacement fields by cross-correlation and a differential technique: Experimental validation. Opt. Eng. 2012, 51, 043602. [Google Scholar] [CrossRef]
- Withers, P.J. Fracture mechanics by three-dimensional crack-tip synchrotron X-ray microscopy. Philos. Trand. R. Soc. A 2015, 373, 2036. [Google Scholar] [CrossRef]
- Wu, X.; Schlangen, E.; van der Zwaag, S. Linking crack tip morphology to tear toughness of hot rolled AA7050 alloys using X-ray computed tomography. Adv. Eng. Mater. 2012, 14, 449–456. [Google Scholar] [CrossRef]
- Tran, H.; Doumalin, P.; Delisee, C.; Dupre, J.C.; Malvestio, J.; Germaneau, A. 3D mechanical analysis of low-density wood-based fiberboards by X-ray microcomputed tomography and Digital Volume Correlation. J. Mater. Sci. 2013, 48, 3198–3212. [Google Scholar] [CrossRef]
- Forsberg, F.; Sjödahl, M.; Mooser, R.; Hack, E.; Wyss, P. Full Three-Dimensional Strain Measurements on Wood Exposed to Three-Point Bending: Analysis by Use of Digital Volume Correlation Applied to Synchrotron Radiation Micro-Computed Tomography Image Data. Strain 2010, 46, 47–60. [Google Scholar] [CrossRef]
- Lachambre, J.; Réthoré, J.; Weck, A.; Buffiere, J.-Y. Extraction of stress intensity factors for 3D small fatigue cracks using digital volume correlation and X-ray tomography. Int. J. Fatigue 2015, 71, 3–10. [Google Scholar] [CrossRef]
- Majano-Majano, A.; Hughes, M.; Fernandez-Cabo, J.L. The fracture toughness and properties of thermally modified beech and ash at different moisture contents. Wood Sci. Technol. 2012, 46, 5–21. [Google Scholar] [CrossRef]










| Board Ref | ρ (kg/m3) | EL (MPa) |
|---|---|---|
| 140 | 781 | 19,863 |
| 144 | 765 | 19,234 |
| 161 | 867 | 19,658 |
| 176 | 779 | 19,359 |
| 189 | 748 | 19,114 |
| 192 | 815 | 20,612 |
| mean | 793 | 19,640 |
| SD | 43 | 551 |
| CoV (%) | 5.4 | 2.8 |
| CCD Camera | Settings |
|---|---|
| Model | Baumer Optronic FWX20 (8 bits, 1624 × 1236 pixels, 4.4 μm/pixel) |
| Shutter time | 0.7 ms |
| Acquisition frequency | 1 Hz |
| Lens | |
| Model | Opto Engineering Telecentric lens TC 23 36 |
| Magnification | 0.243 ± 3% |
| Field of view (1/1.8″) | 29.3 × 22.1 mm2 |
| Working distance | 103.5 ± 3 mm |
| Working F-number | f/8 |
| Field depth | 11 mm |
| Conversion factor | 0.018 mm/pixel |
| Lighting | Raylux 25 white-light LED |
| DIC measurements | |
| Subset size | 15 × 15 pixel2 (0.270 × 0.270 mm2) |
| Subset step | 13 × 13 pixel2 (0.234 × 0.234 mm2) |
| Resolution | 1–2 × 10−2 pixel (0.18 × 0.36 μm) |
| Specimen Ref | Ef (MPa) | Pmax (N) | C0 (mm/N) | GI,Pmax (N/mm) | GIc (N/mm) |
|---|---|---|---|---|---|
| 140-1-RL | 14,250 | 191.70 | 0.042 | 1.07 | 1.01 |
| 144-1-RL | 15,203 | 173.00 | 0.040 | 0.81 | 0.84 |
| 144-2-RL | 13,254 | 123.08 | 0.048 | 0.52 | 0.48 |
| 161-1-RL | 12,266 | 172.35 | 0.047 | 0.97 | 0.95 |
| 161-3-RL | 14,593 | 176.29 | 0.039 | 0.85 | 0.85 |
| 176-1-RL | 14,557 | 151.70 | 0.042 | 0.65 | 0.61 |
| 176-2-RL | 12,335 | 156.59 | 0.049 | 0.82 | 0.76 |
| 176-3-RL | 11,577 | 183.95 | 0.048 | 1.10 | 1.02 |
| 189-1-RL | 15,087 | 168.16 | 0.039 | 0.75 | 0.70 |
| 189-2-RL | 12,293 | 177.06 | 0.045 | 0.95 | 0.92 |
| 192-1-RL | 16,707 | 162.01 | 0.038 | 0.65 | 0.63 |
| 192-2-RL | 14,399 | 147.76 | 0.044 | 0.70 | 0.65 |
| 192-3-RL | 16,103 | 153.99 | 0.038 | 0.56 | 0.57 |
| Mean | 14,048 | 164.43 | 0.043 | 0.80 | 0.77 |
| SD | 1590 | 18.03 | 0.004 | 0.19 | 0.18 |
| CoV (%) | 11 | 11 | 10 | 23 | 23 |
| Specimen Ref | Ef (MPa) | Pmax (N) | C0 (mm/N) | GI,Pmax (N/mm) | GIc (N/mm) |
|---|---|---|---|---|---|
| 140-1-TL | 14,491 | 182.31 | 0.046 | 1.03 | 0.96 |
| 140-2-TL | 11,295 | 157.74 | 0.055 | 0.94 | 0.89 |
| 144-1-TL | 14,080 | 154.80 | 0.049 | 0.75 | 0.72 |
| 161-1-TL | 12,742 | 188.28 | 0.049 | 1.28 | 1.09 |
| 176-1-TL | 12,466 | 146.01 | 0.054 | 0.84 | 0.82 |
| 176-2-TL | 13,516 | 160.37 | 0.049 | 0.93 | 0.84 |
| 176-3-TL | 12,103 | 147.33 | 0.053 | 0.81 | 0.78 |
| 189-1-TL | 12,482 | 162.12 | 0.050 | 0.85 | 0.84 |
| 189-2-TL | 14,087 | 160.69 | 0.046 | 0.77 | 0.76 |
| 192-1-TL | 15,538 | 126.49 | 0.044 | 0.45 | 0.47 |
| 192-2-TL | 14,421 | 139.78 | 0.048 | 0.61 | 0.62 |
| 192-3-TL | 13,220 | 114.81 | 0.050 | 0.47 | 0.44 |
| Mean | 13,370 | 153.39 | 0.049 | 0.81 | 0.77 |
| SD | 1207 | 20.76 | 0.003 | 0.23 | 0.19 |
| CoV (%) | 9 | 14 | 7 | 29 | 24 |
| Ref | A1 (N/mm) | A2 (N/mm) | p (-) | wI0 (mm) | Glaw,I (N/mm) | σIu (MPa) | wIu (mm) |
|---|---|---|---|---|---|---|---|
| 140-1-RL | 0.044 | 1.04 | 2.93 | 0.030 | 1.00 | 26.94 | 0.024 |
| 144-1-RL | 0.039 | 0.82 | 2.80 | 0.019 | 0.78 | 32.21 | 0.015 |
| 144-2-RL | 0.024 | 0.49 | 2.30 | 0.023 | 0.46 | 14.21 | 0.015 |
| 161-1-RL | 0.029 | 0.93 | 2.20 | 0.023 | 0.91 | 27.19 | 0.014 |
| 161-3-RL | 0.016 | 0.78 | 2.02 | 0.020 | 0.75 | 25.39 | 0.011 |
| 176-1-RL | 0.026 | 0.67 | 2.46 | 0.018 | 0.64 | 26.35 | 0.013 |
| 176-2-RL | 0.010 | 0.78 | 1.42 | 0.026 | 0.76 | 18.00 | 0.008 |
| 176-3-RL | 0.025 | 1.10 | 1.58 | 0.074 | 1.05 | 8.86 | 0.029 |
| 189-1-RL | 0.019 | 0.73 | 2.29 | 0.051 | 0.70 | 9.79 | 0.034 |
| 189-2-RL | 0.028 | 0.97 | 1.72 | 0.044 | 0.92 | 13.11 | 0.020 |
| 192-1-RL | 0.024 | 0.63 | 2.37 | 0.016 | 0.61 | 27.41 | 0.011 |
| 192-2-RL | 0.043 | 0.66 | 3.60 | 0.019 | 0.62 | 32.11 | 0.016 |
| 192-3-RL | 0.035 | 0.58 | 2.69 | 0.012 | 0.55 | 34.78 | 0.009 |
| Mean | 0.028 | 0.78 | 2.34 | 0.029 | 0.75 | 22.80 | 0.017 |
| SD | 0.010 | 0.18 | 0.59 | 0.018 | 0.18 | 8.90 | 0.008 |
| CoV (%) | 37 | 23 | 25 | 61 | 24 | 39 | 47 |
| Ref | A1 (N/mm) | A2 (N/mm) | p (-) | wI0 (mm) | Glaw,I (N/mm) | σI,u (MPa) | wIu (mm) |
|---|---|---|---|---|---|---|---|
| 140-1-TL | 0.027 | 0.96 | 1.93 | 0.038 | 0.93 | 15.65 | 0.021 |
| 140-2-TL | 0.012 | 0.94 | 1.83 | 0.056 | 0.92 | 10.31 | 0.029 |
| 144-1-TL | 0.016 | 0.80 | 2.25 | 0.034 | 0.78 | 15.86 | 0.022 |
| 161-1-TL | 0.023 | 1.16 | 1.92 | 0.056 | 1.13 | 12.92 | 0.031 |
| 176-1-TL | 0.013 | 0.64 | 1.74 | 0.031 | 0.61 | 12.33 | 0.015 |
| 176-2-TL | 0.007 | 0.73 | 1.73 | 0.043 | 0.70 | 10.31 | 0.020 |
| 176-3-TL | 0.025 | 0.80 | 1.97 | 0.074 | 0.76 | 6.77 | 0.042 |
| 189-1-TL | 0.015 | 0.87 | 1.70 | 0.063 | 0.85 | 8.35 | 0.029 |
| 189-2-TL | 0.028 | 0.79 | 2.07 | 0.061 | 0.76 | 8.28 | 0.037 |
| 192-1-TL | 0.023 | 0.45 | 2.26 | 0.036 | 0.43 | 8.35 | 0.024 |
| 192-2-TL | 0.011 | 0.61 | 1.98 | 0.080 | 0.58 | 4.83 | 0.045 |
| 192-3-TL | 0.007 | 0.42 | 2.26 | 0.042 | 0.41 | 6.78 | 0.027 |
| Mean | 0.017 | 0.76 | 1.97 | 0.051 | 0.74 | 10.06 | 0.028 |
| SD | 0.008 | 0.21 | 0.21 | 0.016 | 0.21 | 3.52 | 0.009 |
| CoV (%) | 44 | 28 | 10 | 32 | 28 | 35 | 32 |
© 2018 by the authors. Licensee MDPI, Basel, Switzerland. This article is an open access article distributed under the terms and conditions of the Creative Commons Attribution (CC BY) license (http://creativecommons.org/licenses/by/4.0/).
Share and Cite
Majano-Majano, A.; Lara-Bocanegra, A.J.; Xavier, J.; Morais, J. Measuring the Cohesive Law in Mode I Loading of Eucalyptus globulus. Materials 2019, 12, 23. https://doi.org/10.3390/ma12010023
Majano-Majano A, Lara-Bocanegra AJ, Xavier J, Morais J. Measuring the Cohesive Law in Mode I Loading of Eucalyptus globulus. Materials. 2019; 12(1):23. https://doi.org/10.3390/ma12010023
Chicago/Turabian StyleMajano-Majano, Almudena, Antonio José Lara-Bocanegra, José Xavier, and José Morais. 2019. "Measuring the Cohesive Law in Mode I Loading of Eucalyptus globulus" Materials 12, no. 1: 23. https://doi.org/10.3390/ma12010023
APA StyleMajano-Majano, A., Lara-Bocanegra, A. J., Xavier, J., & Morais, J. (2019). Measuring the Cohesive Law in Mode I Loading of Eucalyptus globulus. Materials, 12(1), 23. https://doi.org/10.3390/ma12010023

