Study on Epoxy Resin Toughened by Epoxidized Hydroxy-Terminated Polybutadiene
Abstract
:1. Introduction
2. Experimental
2.1. Materials
2.2. Preparation of EHTPB Modified Epoxy Resin
2.2.1. Preparation Principle
2.2.2. Preparation Procedure
2.3. Characterization and Analysis
2.3.1. FTIR Analysis
2.3.2. Curing Kinetics Analysis
2.3.3. Mechanical Properties
2.3.4. SEM Measurement
2.3.5. Thermal Property
2.3.6. DMA
2.3.7. Crosslink Density
3. Results and Discussion
3.1. FTIR Analysis
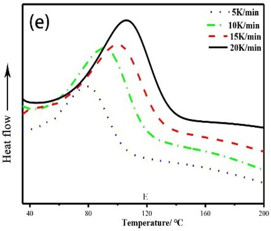
3.2. Curing Kinetics Analysis
3.3. Mechanical Properties Analysis
3.4. SEM Analysis
3.5. Thermal Analysis
3.6. DMA Analysis
3.7. Crosslink Density Analysis
4. Conclusions
Author Contributions
Funding
Acknowledgments
Conflicts of Interest
References
- Kayaba, K.; Tabata, A.; Otsu, T.; Tsuji, Y.; Oura, A. Epoxy resin compositions and semiconductor devices. U.S. Patent US20050090044A1, 28 April 2005. [Google Scholar]
- Honda, S.; Sawamura, Y.; Tanaka, M.; Kayaba, K.; Teshiba, T. Semiconductor device-encapsulating epoxy resin composition. U.S. Patent US5360837A, 1 November 1994. [Google Scholar]
- Kim, M.G.; Han, S.; Cheon, H.S. Epoxy Resin Composition for Encapsulating Semiconductor Device and Semiconductor Device Encapsulated Using the Same. U.S. Patent US20140179834A1, 26 April 2014. [Google Scholar]
- Lapique, F.; Redford, K. Curing effects on viscosity and mechanical properties of a commercial epoxy resin adhesive. Int. J. Adhes. Adhes. 2002, 22, 337–346. [Google Scholar] [CrossRef]
- Furuno, R.; Takatuji, Y.; Kubo, K.; Haruyama, T. Improvement of the adhesive strength of the leadframe and epoxy resin by forming organic molecules-metal composite interface. Electr. Commun. Jpn. 2017, 100, 67–71. [Google Scholar] [CrossRef]
- Abdullah, M.; Gholamian, F.; Zarei, A.R. Noncrystalline binder based composite propellant. ISRN Aerosp. Eng. 2013, 2013. [Google Scholar] [CrossRef]
- Toldy, A.; Szolnoki, B.; Marosi, G. Flame retardancy of fibre-reinforced epoxy resin composites for aerospace applications. Polym. Degrad. Stab. 2011, 96, 371–376. [Google Scholar] [CrossRef]
- Terenzi, A.; Natali, M.; Petrucci, R.; Rallini, M.; Peponi, L.; Beaumont, M.; Eletskii, A.; Knizhnik, A.; Potapkin, B.; Kenny, J.M. Analysis and simulation of the electrical properties of CNTs/Epoxy nanocomposites for high performance composite matrices. Polym. Compos. 2017, 38, 105–115. [Google Scholar] [CrossRef]
- Barbosa, A.Q.; Silva, L.F.M.D.; Abenojar, J.; Figueiredo, M.; Öchsner, A. Toughness of a brittle epoxy resin reinforced with micro cork particles: Effect of size, amount and surface treatment. Compos. Part. B Eng. 2017, 114, 299–310. [Google Scholar] [CrossRef]
- Kargarzadeh, H.; Ahmad, I.; Abdullah, I. Mechanical Properties of Epoxy–Rubber Blends; Springer International Publishing: Basel, Switzerland, 2015. [Google Scholar]
- Srivastava, K.; Rathore, A.K.; Srivastava, D. Studies on the structural changes during curing of epoxy and its blend with CTBN. Spectrochim. Acta. A 2017, 188, 99–105. [Google Scholar] [CrossRef] [PubMed]
- Chikhi, N.; Fellahi, S.; Bakar, M. Modification of epoxy resin using reactive liquid (ATBN) rubber. Eur. Polym. J. 2002, 38, 251–264. [Google Scholar] [CrossRef]
- Wang, C.; Li, H.; Zhang, H.; Wang, H.; Liu, L.; Xu, Z.; Liu, P.; Peng, Z. Influence of Addition of Hydroxyl-terminated Liquid Nitrile Rubber on Dielectric Properties and Relaxation Behavior of Epoxy Resin. IEEE Trans. Dielectr. Electr. Insul. 2016, 23, 2258–2269. [Google Scholar] [CrossRef]
- Fakhar, A.; Salehi, M.S.; Keivani, M.; Abadyan, M. Comprehensive study on using VTBN reactive oligomer for rubber toughening of epoxy resin and composite. Polym-Plast. Technol. 2016, 55, 343–355. [Google Scholar] [CrossRef]
- Robinette, E.J.; Ziaee, S.; Palmese, G.R. Toughening of vinyl ester resin using butadiene-acrylonitrile rubber modifiers. Polymer 2004, 45, 6143–6154. [Google Scholar] [CrossRef]
- Zhou, W.; Cai, J. Mechanical and dielectric properties of epoxy resin modified using reactive liquid rubber (HTPB). J. Appl. Polym. Sci. 2012, 124, 4346–4351. [Google Scholar] [CrossRef]
- Barra, G.; Vertuccio, L.; Vietri, U.; Naddeo, C.; Hadavinia, H.; Guadagno, L. Toughening of epoxy adhesives by combined interaction of carbon nanotubes and silsesquioxanes. Materials 2017, 10, 1131. [Google Scholar] [CrossRef] [PubMed]
- Vertuccio, L.; Guadagno, L.; Spinelli, G.; Russo, S.; Iannuzzo, G. Effect of carbon nanotube and functionalized liquid rubber on mechanical and electrical properties of epoxy adhesives for aircraft structures. Compos. Part. B Eng. 2017, 129, 1–10. [Google Scholar] [CrossRef]
- Latha, P.B.; Adhinarayanan, K.; Ramaswamy, R. Epoxidized hydroxy-terminated polybutadiene—Synthesis, characterization and toughening studies. Int. J. Adhes. Adhes. 1994, 14, 57–61. [Google Scholar] [CrossRef]
- Bagheri, R.; Marouf, B.T.; Pearson, R.A. Rubber-toughened epoxies: A critical review. Polym. Rev. 2009, 49, 201–225. [Google Scholar] [CrossRef]
- Armarego, W.L.F. Purification of Laboratory Chemicals, 3rd ed.; Butterworth-Heinemann: Oxford, UK, 2017. [Google Scholar]
- Kissinger, H.E. Variation of peak temperature with heating rate in differential thermal analysis. J. Res. Natl. Bur. Stan. 1956, 57, 217–221. [Google Scholar] [CrossRef]
- Ozawa, T. A new method of analyzing thermogravimetric data. Bull. Chem. Soc. Jpn. 1965, 38, 1881–1886. [Google Scholar] [CrossRef]
- Kaelble, D.H.; Smith, T. Analysis of curing kinetics in polymer composites. J. Polym. Sci. Polym. Lett. Ed. 1974, 12, 473–475. [Google Scholar] [CrossRef]
- Jain, S.R.; Sekkar, V.; Krishnamurthy, V.N. Mechanical and Swelling Properties of HTPB-based Copolyurethane Networks. J. Appl. Polym. Sci. 1993, 48, 1515–1523. [Google Scholar] [CrossRef]
- Flory, P.J. Principle of Polymer Chemistry; Cornell University Press: Ithaca, NY, USA, 1953. [Google Scholar]
- Rabek, J.F. Experimental Method in Polymer Chemistry: Physical Principles and Applications; Wiley: Hoboken, NJ, USA, 1980. [Google Scholar]
- Sarkar, S.; Adhikari, B. Synthesis and characterization of lignin—HTPB copolyurethane. Eur. Polym. J. 2001, 37, 1391–1401. [Google Scholar] [CrossRef]
- Wan, J.; Bu, Z.Y.; Xu, C.J.; Li, B.G.; Fan, H. Learning about novel amine-adduct curing agents for epoxy resins: Butyl-glycidylether-modified poly(propyleneimine) dendrimers. Thermochim. Acta 2011, 519, 72–82. [Google Scholar] [CrossRef]
- Bina, C.K.; Kannan, K.G.; Ninan, K.N. DSC Study on the effect of isocyanates and catalysts on the HTPB cure reaction. J. Therm. Anal. Calorim. 2004, 78, 753–760. [Google Scholar] [CrossRef]
- Guadagno, L.; Naddeo, C.; Raimondo, M.; Barra, G.; Vertuccio, L.; Russo, S.; Lafdi, K.; Tucci, V.; Spinelli, G.; Lamberti, P. Influence of carbon nanoparticles/epoxy matrix interaction on mechanical, electrical and transport properties of structural advanced materials. Nanotechnology 2017, 28, 094001. [Google Scholar] [CrossRef] [PubMed]
- Barton, J.M. The application of differential scanning calorimetry (DSC) to the study of epoxy resin curing reactions. Adv. Polym. Sci. 1985, 72, 111–154. [Google Scholar]
- Costa, H.D.; Soares, V.; Nascimento, R. Modification of epoxy resin: A comparison of different types of elastomer. Polym. Test. 2005, 24, 387–394. [Google Scholar]
- Kinloch, A.J.; Shaw, S.J.; Tod, D.A.; Hunston, D.L. Deformation and fracture behaviour of a rubber-toughened epoxy: 1. Microstructure and fracture studies. Polymer 1983, 24, 1341–1354. [Google Scholar] [CrossRef]
- Nada, A.A.M.A.; Kamel, S.; El-Sakhawy, M. Thermal behaviour and infrared spectroscopy of cellulose carbamates. Polym. Degrad. Stab. 2000, 70, 347–355. [Google Scholar] [CrossRef]
- Liu, Y.L.; Wu, C.S.; Chiu, Y.S.; Ho, W.H. Preparation, thermal properties, and flame retardance of epoxy-silica hybrid resins. J. Polym. Sci. Part A: Polym. Chem. 2010, 41, 2354–2367. [Google Scholar] [CrossRef]
- Zhou, Q.; Jie, S.; Li, B.G. Facile synthesis of novel HTPBs and EHTPBs with high cis -1,4 content and extremely low glass transition temperature. Polymer 2015, 67, 208–215. [Google Scholar] [CrossRef]
- Menard, K.P.; Menard, N.R. Dynamic Mechanical Analysis in the Analysis of Polymers and Rubbers; John Wiley & Sons: New York, NY, USA, 2015. [Google Scholar]
- Chen, J.S.; Ober, C.K.; Poliks, M.D.; Zhang, Y.; Wiesner, U.; Cohen, C. Controlled degradation of epoxy networks: Analysis of crosslink density and glass transition temperature changes in thermally reworkable thermosets. Polymer 2004, 45, 1939–1950. [Google Scholar] [CrossRef]
- Bandyopadhyay, A.; Valavala, P.K.; Clancy, T.C.; Wise, K.E.; Odegard, G.M. Molecular modeling of crosslinked epoxy polymers: The effect of crosslink density on thermomechanical properties. Polymer 2011, 52, 2445–2452. [Google Scholar] [CrossRef]
- Thomas, R.; Ding, Y.; He, Y.; Yang, L.; Moldenaers, P.; Yang, W.; Czigany, T.; Thomas, S. Miscibility, morphology, thermal, and mechanical properties of a dgeba based epoxy resin toughened with a liquid rubber. Polymer 2008, 49, 278–294. [Google Scholar] [CrossRef]
- Abdollahi, H.; Salimi, A.; Barikani, M. Synthesis and architecture study of a reactive polybutadiene polyamine as a toughening agent for epoxy resin. J. Appl. Polym. Sci. 2016, 133. [Google Scholar] [CrossRef]













| w(EHTPB):w(EP) | Ea (kJ/mol) | n | ||
|---|---|---|---|---|
| Ea (Kissinger) | Ea (Ozawa) | Ea (avg) | ||
| 0:100 | 63.43 | 66.40 | 64.92 | 0.93 |
| 5:95 | 49.83 | 53.29 | 51.56 | 0.92 |
| 10:90 | 52.30 | 55.37 | 53.84 | 0.92 |
| 15:85 | 52.87 | 56.14 | 54.51 | 0.92 |
| 20:80 | 52.47 | 55.88 | 54.18 | 0.92 |
| w(EHTPB):w(EP) | T5% (°C) | Tmax (°C) | ||
|---|---|---|---|---|
| Stage 1 | Stage 2 | Stage 3 | ||
| 0:100 | 307 | - | 369 | - |
| 5:95 | 295.5 | - | 364.3 | - |
| 10:90 | 271.7 | 243.7 | 360.1 | - |
| 15:85 | 263.3 | 242.5 | 359.6 | 440.2 |
| 20:80 | 262.2 | 240.1 | 361.6 | 440.7 |
| w(EHTPB):w(EP) | tan δ max | Tg (°C) |
|---|---|---|
| 0:100 | 1.06 | 53.0 |
| 5:95 | 0.98 | 52.2 |
| 10:90 | 0.89 | 51.1 |
| 15:85 | 0.83 | 49.8 |
| 20:80 | 0.78 | 47.2 |
| w(EHTPB):w(EP) | 0:100 | 5:95 | 10:90 | 15:85 | 20:80 |
|---|---|---|---|---|---|
| Mc (g/mol) | 4022 | 4120 | 4300 | 4973 | 5686 |
| νe × 10−4 (mol/cm3) | 2.83 | 2.77 | 2.65 | 2.39 | 2.12 |
| Density (g/cm3) | 1.1389 | 1.1411 | 1.1401 | 1.1875 | 1.2075 |
© 2018 by the authors. Licensee MDPI, Basel, Switzerland. This article is an open access article distributed under the terms and conditions of the Creative Commons Attribution (CC BY) license (http://creativecommons.org/licenses/by/4.0/).
Share and Cite
Ge, Z.; Zhang, W.; Huang, C.; Luo, Y. Study on Epoxy Resin Toughened by Epoxidized Hydroxy-Terminated Polybutadiene. Materials 2018, 11, 932. https://doi.org/10.3390/ma11060932
Ge Z, Zhang W, Huang C, Luo Y. Study on Epoxy Resin Toughened by Epoxidized Hydroxy-Terminated Polybutadiene. Materials. 2018; 11(6):932. https://doi.org/10.3390/ma11060932
Chicago/Turabian StyleGe, Zhen, Wenguo Zhang, Chao Huang, and Yunjun Luo. 2018. "Study on Epoxy Resin Toughened by Epoxidized Hydroxy-Terminated Polybutadiene" Materials 11, no. 6: 932. https://doi.org/10.3390/ma11060932
APA StyleGe, Z., Zhang, W., Huang, C., & Luo, Y. (2018). Study on Epoxy Resin Toughened by Epoxidized Hydroxy-Terminated Polybutadiene. Materials, 11(6), 932. https://doi.org/10.3390/ma11060932

