π-Bridge Effect on Symmetric Carbazole-Based Small Molecules for Realizing Ultraviolet Fluorescent Emission
Abstract
:1. Introduction
2. Experimental Section
2.1. Characterization and Instrumentation
2.2. Synthesis of Targeting Molecules
2.2.1. Synthesis of 1,4-Bis(9-phenyl-9H-carbazol-3-yl)benzene (CzP-H)
2.2.2. Synthesis of 2,5-bis(9-phenyl-9H-carbazol-3-yl)terephthalonitrile (CzP-CN)
2.2.3. Synthesis of 3,3′-(2,5-dimethyl-1,4-phenylene)bis(9-phenyl-9H-carbazole) (CzP-Me)
2.2.4. Synthesis of 3,3′-(2,5-dimethoxy-1,4-phenylene)bis(9-phenyl-9H-carbazole) (CzP-OMe)
3. Results and Discussion
3.1. Synthesis
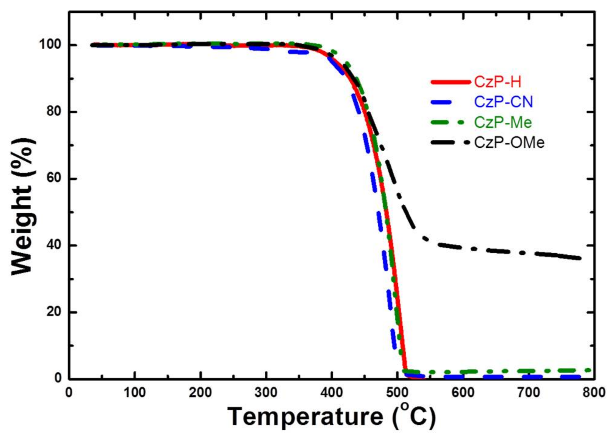
3.2. Thermal Stability
3.3. Theoretical Calculation
3.4. Photophysical Properties
3.5. Electrochemical Properties
4. Conclusions
Supplementary Materials
Acknowledgments
Author Contributions
Conflicts of Interest
References
- Jou, J.-H.; Lin, Y.-P.; Hsu, M.-F.; Wu, M.-H.; Lu, P. High efficiency deep-blue organic light-emitting diode with a blue dye in low-polarity host. Appl. Phys. Lett. 2008, 92, 193314. [Google Scholar] [CrossRef]
- Liang, Y.; Xu, Z.; Xia, J.; Tsai, S.T.; Wu, Y.; Li, G.; Ray, C.; Yu, L. For the bright future-bulk heterojunction polymer solar cells with power conversion efficiency of 7.4%. Adv. Mater. 2010, 22, E135–E138. [Google Scholar] [CrossRef] [PubMed]
- Chen, G.; Sun, S.; Lan, L.; Yang, Y.; Yang, W.; Zhang, B.; Cao, Y. A Solution-Processed and Low Threshold Voltage p-Type Small Molecule Based on Indolocarbazole- and Benzothiophene-Fused Rings. Dyes Pigments 2017, 144, 32–40. [Google Scholar] [CrossRef]
- Yu, G.; Gao, J.; Hummelen, J.C.; Wudl, F.A.; Heeger, A.J. Polymer photovoltaic cells: Enhanced efficiencies via a network of internal donor-acceptor heterojunctions. Science 1995, 270, 1789–1791. [Google Scholar] [CrossRef]
- Tang, C.W.; Vanslyke, S.A. Organic electroluminescent diodes. Appl. Phys. Lett. 1987, 51, 913–915. [Google Scholar] [CrossRef]
- Yang, Z.F.; Xu, B.; He, J.T.; Xue, L.L.; Guo, Q.; Xia, H.J.; Tian, W.J. Solution-processable and thermal-stable triphenylamine-based dendrimers with truxene cores as hole-transporting materials for organic light-emitting devices. Org. Electron. 2009, 10, 954–956. [Google Scholar] [CrossRef]
- Kuwabara, Y.; Ogawa, H.; Inada, H.; Noma, N.; Shirota, Y. Thermally Stable Multilared Organic Electroluminescent Devices Using Novel Starburst Molecules, 4,4′,4″-Tri(N-carbazolyl) riphenylamine (TCTA) and 4,4′,4″-Tris(3-methylphenylphenyl-amino)triphenylamine (m-MTDATA), as Hole-Transport Materials. Adv. Mater. 1994, 69, 677–679. [Google Scholar] [CrossRef]
- Kim, Y.-H.; Shin, D.C.; Kim, S.-H.; Ko, C.-H.; Yu, H.-S.; Chae, Y.-S.; Kwon, S.-K. Novel blue emitting material with high color purity. Adv. Mater. 2001, 13. [Google Scholar] [CrossRef]
- Sasabe, H.; Onuma, N.; Nagai, Y.; Ito, T.; Kido, J. High power efficiency blue-to-green organic light-emitting diodes using isonictinonitrile-based fluorescent emitters. Chem. Asian J. 2017, 12, 648–654. [Google Scholar] [CrossRef] [PubMed]
- Tang, X.; Yao, L.; Liu, H.; Shen, F.; Zhang, S.; Zhang, H.; Lu, P.; Ma, Y. An efficient AIE-active blue-emitting molecule by incorporating multifunctional groups into tetraphenylsilane. Chem. Eur. J. 2014, 20, 7589–7592. [Google Scholar] [CrossRef] [PubMed]
- Endo, J.; Matsumoto, T.; Kido, J. Organic electroluminescent devices with a vacuum-deposited Lewis-acid-doped hole-injecting layer. J. Appl. Phys. 2002, 41, L358–L360. [Google Scholar] [CrossRef]
- Vanslyke, S.A.; Chen, C.H.; Tang, C.W. Organic electroluminescent devices with improved stability. Appl. Phys. Lett. 1996, 69, 2160–2162. [Google Scholar] [CrossRef]
- Kwak, S.W.; Lee, K.M.; Lee, J.E.; Yoo, J.; Yi, Y.; Kwon, H.; Lee, H.; Park, M.H.; Chung, Y. Synthesis and electroluminescence properties of 3-(Trifluoromethyl)phenyl-substituted 9,10-Diarylanthracene derivatives for blue organic light-emitting diodes. J. Mater. Chem. 2011, 21, 1109–1114. [Google Scholar] [CrossRef]
- Liu, F.; Huang, W.; Cao, Y. Facile synthesis of spirocyclic aromatic hydrocarbon derivatives based on o-halobiaryl route and domino reaction for deep-blue organic semiconductors. Org. Lett. 2009, 11, 3850–3853. [Google Scholar] [CrossRef] [PubMed]
- Romain, M.; Quinton, C.; Roisnel, T.; Jacques, E.; Rault-Berthelot, J.; Poriel, C. A Dihydrodinaphthoheptacene. J. Org. Chem. 2018, 83, 1891–1897. [Google Scholar] [CrossRef] [PubMed]
- Yang, Z.; Chi, Z.; Zhou, L.; Zhang, X.; Chen, M.; Xu, B.; Wang, C.; Zhang, Y.; Xu, J. Blue-light-emitting carbazole derivatives with high thermal stability. Opt. Mater. 2009, 32, 398–401. [Google Scholar] [CrossRef]
- Zhao, Z.; Xu, X.; Chen, X.; Wang, X.; Lu, P.; Yu, G.; Liu, Y. Synthesis and characterization of deep blue emitters from starburst carbazole/fluorine compounds. Tetrahedron 2008, 64, 2658–2668. [Google Scholar] [CrossRef]
- Tokito, S.; Tanaka, H.; Okuda, A. High-temperature operation of an electroluminescent device fabricated using a novel triphenylamine derivative. Appl. Phys. Lett. 1996, 69, 878–880. [Google Scholar] [CrossRef]
- Yang, Z.; Chi, Z.; Yu, T.; Yu, T.; Zhang, X.; Chen, M.; Xu, B.; Liu, S.; Zhang, Y.; Xu, J. Triphenylethylene carbazole derivatives as a new class of AIE materials with strong blue light emission and high glass transition temperature. J. Mater. Chem. 2009, 19, 5541–5546. [Google Scholar] [CrossRef]
- Kumchoo, T.; Promarak, V.; Sudyoadsuk, T.; Sukwattanasinitt, M.; Rashatasakhon, P. Dipyrenylcarbazole derivatives for blue organic light-emitting diodes. Chem. Asian J. 2010, 5, 2162–2167. [Google Scholar] [CrossRef] [PubMed]
- Zhang, S.; Yao, L.; Peng, Q.; Li, W.; Pan, Y.; Xiao, R.; Gao, Y.; Gu, C.; Wang, Z.; Lu, P.; et al. Achieving a significantly increased efficiency in nondoped pure blue fluorescent OLED: A quasi-equivalent hybridized excited state. Adv. Funct. Mater. 2015, 25, 1755–1762. [Google Scholar] [CrossRef]
- Wee, K.-R.; Han, W.-S.; Kim, J.-E.; Kim, A.-L.; Kwon, S.; Kang, S.O. Asymmetric anthracene-based blue host materials: Synthesis and electroluminescence properties of 9-(2-naphthyl)-10-arylanthracenes. J. Mater. Chem. 2011, 1115–1123. [Google Scholar] [CrossRef]
- Li, W.; Liu, D.; Shen, F.; Ma, D.; Wang, Z.; Feng, T.; Xu, Y.; Yang, B.; Ma, Y. A twisting donor-acceptor molecule with an intercrossed excited state for highly efficient, deep-blue electroluminescence. Adv. Funct. Mater. 2012, 22, 2797–2803. [Google Scholar] [CrossRef]
- Poriel, C.; Rault-Berthelot, J. Structure-property relationship of 4-substituted-spirobifluorenes as hosts for phosphorescent organic light emitting diodes: An overview. J. Mater. Chem. C 2017, 5, 3869–3897. [Google Scholar] [CrossRef]
- Huang, H.; Fu, Q.; Zhuang, S.; Liu, Y.; Wang, L.; Chen, J.; Ma, D.; Yang, C. Novel deep blue OLED emitters with 1,3,5-Tri(anthracen-10-yl)-benzene-centered starburst oligofluorenes. J. Phys. Chem. C 2011, 115, 4872–4878. [Google Scholar] [CrossRef]
- He, L.; Duan, L.; Qiao, J.; Wang, R.; Wei, P.; Wang, L.; Qiu, Y. Blue-Emitting Cationic Iridium Complexes with 2-(1H-Pyrazol-1-yl)pyridine as the Ancillary Ligand for Efficient Light-Emitting Electrochemical Cells. Adv. Funct. Mater. 2008, 18, 2123–2131. [Google Scholar] [CrossRef]
- Romain, M.; Thiery, S.; Shirinskaya, A.; Declairieux, C.; Tondelier, D.; Geffroy, B.; Jeannin, O.; Rault-Berthelot, J.; Métivier, R.; Poriel, C. ortho-, meta-, and para-Dihydroindenofluorene Derivatives as Host Materials for Phosphorescent OLEDs. Angew. Chem. Int. Ed. 2015, 54, 1176–1180. [Google Scholar] [CrossRef] [PubMed]
- Lai, S.-L.; Tong, Q.-X.; Chan, M.-Y.; Ng, T.-W.; Lo, M.-F.; Lee, S.-T.; Lee, C.-S. Distinct electroluminescent properties of triphenylamine derivatives in blue organic light-emitting devices. J. Mater. Chem. 2011, 21, 1206–1211. [Google Scholar] [CrossRef]
- Niu, F.; Niu, H.; Lian, J.; Zeng, P. Synthesis, Characterization and Application of Starburst 9-Alkyl-1,3,6,8-tetraaryl-carbazole derivatives for organic light-emitting diodes. RSC Adv. 2011, 1, 415–423. [Google Scholar] [CrossRef]
- Yang, Y.; Liang, J.; Hu, L.; Zhang, B.; Yang, W. Synthesis and optical and electrochemical properties of polycyclic aromatic compounds with S,S-dioxide benzothiophene fused seven rings. New J. Chem. 2015, 39, 6513–6521. [Google Scholar] [CrossRef]
- Lee, J.; Chen, H.-F.; Batagoda, T.; Coburn, C.; Djurovich, P.I.; Thompson, M.E.; Forrest, S.R. Deep blue phosphorescent organic light-emitting diodes with very high brightness and efficiency. Nat. Mater. 2016, 13. [Google Scholar] [CrossRef] [PubMed]
- Kawamura, M.; Kawamura, Y.; Mizuki, Y.; Funahashi, M.; Kuma, H.; Hosokawa, C. Highly efficient fluorescent blue OLEDs with efficiency-enhancement layer. SID Int. Symp. Dig. Tech. Pap. 2010, 41, 560–563. [Google Scholar] [CrossRef]
- Liu, C.; Li, Y.; Zhang, Y.; Yang, C.; Wu, H.; Qin, J.; Cao, Y. Bisanthrance-based donor-acceptor-type light-emitting dopants: Highly efficient deep-blue emission in organic light-emitting device. Adv. Funct. Mater. 2014, 24, 2064–2071. [Google Scholar] [CrossRef]
- Liu, C.; Li, Y.; Zhang, Y.; Yang, C.; Wu, H.; Qin, J.; Cao, Y. Solution-processed, undoped, deep-blue organic light-emitting diodes based on starburst oligofluorenes with a planar triphenylamine core. Chem. Eur. J. 2012, 18, 6928–6934. [Google Scholar] [CrossRef] [PubMed]
- Prachumrak, N.; Namuangruk, S.; Keawin, T.; Jungsuttingwong, S.; Sudyoadsuk, T.; Promarak, V. Synthesis and characterization of 9-(Fluren-2-yl)anthrancene derivatives as efficient non-doped blue emitters for organic light-emitting diodes. Eur. J. Org. Chem. 2013, 3825–3834. [Google Scholar] [CrossRef]
- Miwa, T.; Kubo, S.; Shizu, K.; Komino, T.; Adachi, C.; Kaji, H. Blue organic light-emitting diodes realizing external quantum efficiency over 25% using thermally activated delayed fluorescence emitters. Sci. Rep. UK 2017, 7, 284. [Google Scholar] [CrossRef] [PubMed]
- Im, Y.; Byun, S.Y.; Kim, J.H.; Lee, D.R.; Oh, C.S.; Yook, K.S.; Lee, J.Y. Recent progress in high-efficiency blue-light-emitting materials for organic light-emitting diodes. Adv. Funct. Mater. 2017, 27, 1603007. [Google Scholar] [CrossRef]





| Compound | Tm (°C) | Td (°C) |
|---|---|---|
| CzP-H | 239 | 406 |
| CzP-CN | 351 | 403 |
| CzP-Me | 277 | 421 |
| CzP-OMe | 297 | 413 |
| Compound | λabs,DCM (nm) | λabs,film (nm) | λPL,DCM (nm) | λPL,film (nm) | E00 (eV) | Φf (%) |
|---|---|---|---|---|---|---|
| CzP-H | 243, 304 | 212, 308 | 377 | 396 | 3.39 | 71 |
| CzP-CN | 241, 296 | 220, 250, 412 | 465 | 480 | 2.83 | - |
| CzP-Me | 248, 299 | 216, 302 | 369 | 402 | 3.50 | 49 |
| CzP-OMe | 246, 289, 325 | 246, 328, 332 | 388 | 392 | 3.35 | 35 |
| Compound | Eox (V) | EHOMO (eV) | ELUMO (eV) |
|---|---|---|---|
| CzP-H | 0.97 | −5.30 | −1.91 |
| CzP-CN | 1.31 | −5.64 | −2.81 |
| CzP-Me | 1.13 | −5.46 | −1.96 |
| CzP-OMe | 0.91 | −5.24 | −1.89 |
© 2018 by the authors. Licensee MDPI, Basel, Switzerland. This article is an open access article distributed under the terms and conditions of the Creative Commons Attribution (CC BY) license (http://creativecommons.org/licenses/by/4.0/).
Share and Cite
Liu, S.; Lin, P.; Niu, F.; Zeng, P.; Zhang, B. π-Bridge Effect on Symmetric Carbazole-Based Small Molecules for Realizing Ultraviolet Fluorescent Emission. Materials 2018, 11, 617. https://doi.org/10.3390/ma11040617
Liu S, Lin P, Niu F, Zeng P, Zhang B. π-Bridge Effect on Symmetric Carbazole-Based Small Molecules for Realizing Ultraviolet Fluorescent Emission. Materials. 2018; 11(4):617. https://doi.org/10.3390/ma11040617
Chicago/Turabian StyleLiu, Siyang, Pengju Lin, Fangfang Niu, Pengju Zeng, and Bin Zhang. 2018. "π-Bridge Effect on Symmetric Carbazole-Based Small Molecules for Realizing Ultraviolet Fluorescent Emission" Materials 11, no. 4: 617. https://doi.org/10.3390/ma11040617
APA StyleLiu, S., Lin, P., Niu, F., Zeng, P., & Zhang, B. (2018). π-Bridge Effect on Symmetric Carbazole-Based Small Molecules for Realizing Ultraviolet Fluorescent Emission. Materials, 11(4), 617. https://doi.org/10.3390/ma11040617

