Synthesis and Characterization of Highly Sensitive Hydrogen (H2) Sensing Device Based on Ag Doped SnO2 Nanospheres
Abstract
:1. Introduction
2. Materials and Methods
2.1. Materials
2.2. Synthesis of the Sensing Materials
2.3. Characterization of the Sensing Materials
2.4. Fabrication and Measurements of the Sensing Devices
3. Results and Discussion
3.1. Materials Characterization
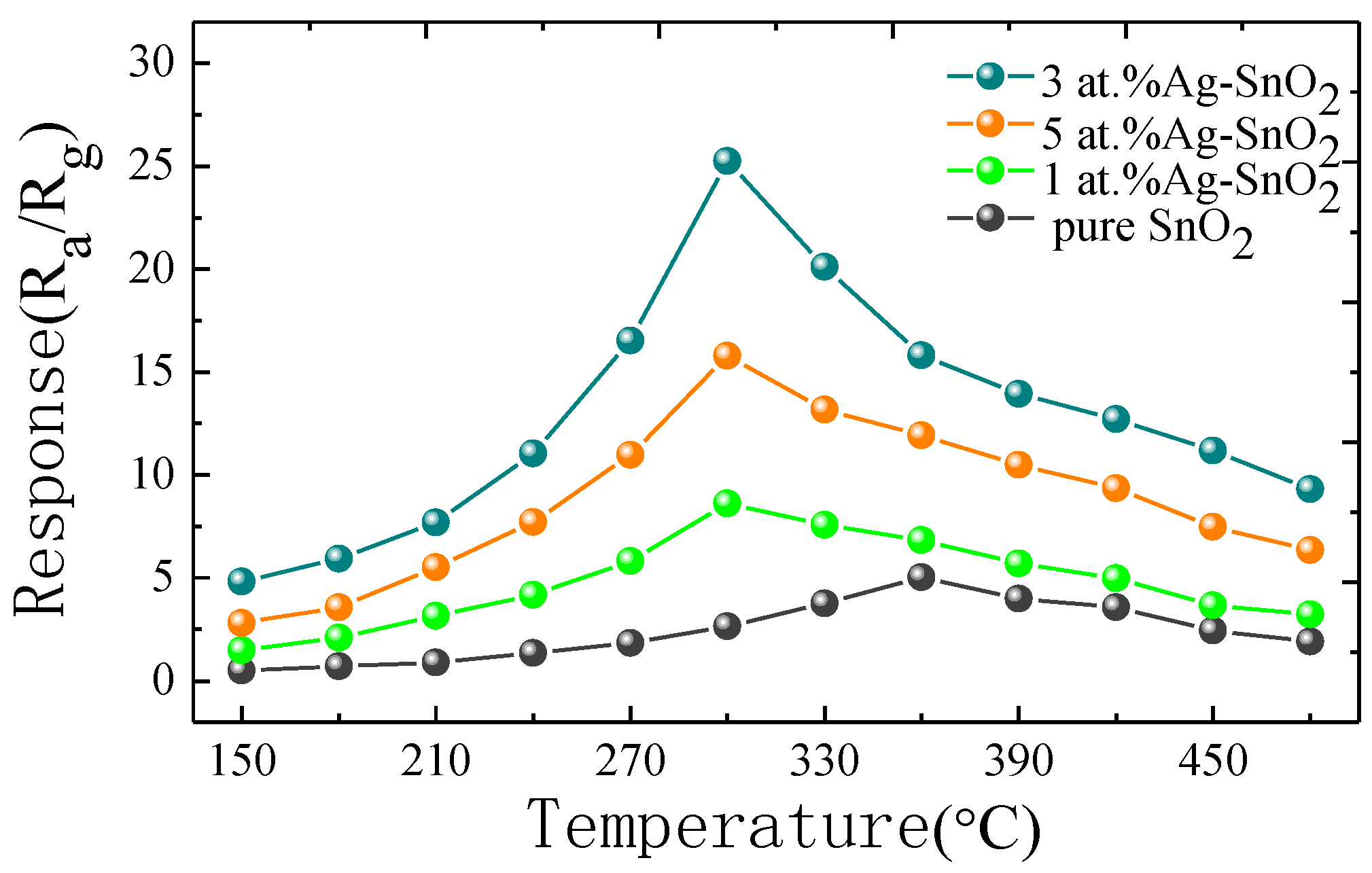
3.2. Hydrogen Gas Sensing Studies
3.3. Hydrogen Sensing Mechanism
4. Conclusions
Acknowledgments
Author Contributions
Conflicts of Interest
References
- Bockris, J.O. Energy: The Solar-Hydrogen Alternative; Halsted Press: New York, NY, USA, 1975; p. 381. [Google Scholar]
- Jensen, S.H.; Peter, H.; Mogensen, M. Hydrogen and synthetic fuel production from renewable energy sources. Int. J. Hydrog. Eng. 2007, 32, 3253–3257. [Google Scholar] [CrossRef]
- Rani, R.A.; Zoolfakar, A.S.; Ou, J.Z.; Field, M.R.; Austin, M.; Kalantar-zadeh, K. Nanoporous Nb2O5 hydrogen gas sensor. Sens. Actuators B 2013, 176, 149–156. [Google Scholar] [CrossRef]
- Zhang, Q.Y.; Zhou, Q.; Yin, X.T.; Liu, H.C.; Xu, L.N.; Tan, W.M.; Tang, C. The effect of PMMA pore-forming on hydrogen sensing properties of porous SnO2 thick film sensor. Sci. Adv. Mater. 2017, 9, 1350–1355. [Google Scholar] [CrossRef]
- Berta, H.; Brett, L.B.; Black, G.; Banach, U. Hydrogen sensors—A review. Sens. Actuators B 2011, 157, 329–352. [Google Scholar]
- Al-Hardan, N.H.; Abdullah, M.J.; Aziz, A.A. Sensing mechanism of hydrogen gas sensor based on RF-sputtered ZnO thin films. Int. J. Hydrog. Eng. 2010, 35, 4428–4434. [Google Scholar] [CrossRef]
- Sumida, S.; Okazaki, S.; Asakura, S.; Nakagawa, H.; Murayama, H.; Hasegawa, T. Distributed hydrogen determination with fiber-optic sensor. Sens. Actuators B 2005, 108, 508–514. [Google Scholar] [CrossRef]
- William, J.B.; Matthew, B.P.; Robert, B.; Carl, R. An overview of hydrogen safety sensors and requirements. Int. J. Hydrog. Eng. 2011, 36, 2462–2470. [Google Scholar]
- Zeng, W.; Liu, T.M.; Liu, D.J.; Han, E.J. Hydrogen sensing and mechanism of M-doped SnO2 (M = Cr3+, Cu2+ and Pd2+) nanocomposite. Sens. Actuators B 2011, 160, 455–462. [Google Scholar] [CrossRef]
- Lide, D.R. CRC Handbook of Chemistry and Physics, 84th ed.; CRC Press: Boca Raton, FL, USA, 2003–2004. [Google Scholar]
- Alfano, B.; Massera, E.; Polichetti, T.; Miglietta, M.L.; Francia, G. Effect of palladium nanoparticle functionalization on the hydrogen gas sensing of graphene based chemi-resistive devices. Sens. Actuators B 2017, 253, 1163–1169. [Google Scholar] [CrossRef]
- Korotcenkov, G.; Han, S.D.; Stetter, J.R. Review of electrochemical hydrogen sensors. Chem. Rev. 2009, 109, 1402–1433. [Google Scholar] [CrossRef] [PubMed]
- Bevenot, X.; Trouillet, A.; Veillas, C.; Gagnaire, H.; Clement, M. Hydrogen leak detection using an optical fibre sensor for aerospace applications. Sens. Actuators B 2000, 67, 57–67. [Google Scholar] [CrossRef]
- Zhang, D.Z.; Jiang, C.X.; Zhang, Y. Room temperature hydrogen gas sensor based on palladium decorated tin oxide/molybdenum disulfide ternary hybrid via hydrothermal route. Sens. Actuators B 2017, 242, 15–24. [Google Scholar] [CrossRef]
- Shimizu, Y.; Hyodo, T.; Ehashira, M. H2 sensing performance of anodically oxidized TiO2 thin films equipped with Pd electrode. Sens. Actuators B 2007, 121, 219–230. [Google Scholar] [CrossRef]
- Zhou, Q.; Ahmad, U.; Mehdi, S.; Aziz, A.; Xu, L.N.; Gui, Y.G.; Ahmed, A.; Rajesh, K.; Baskoutas, S. Fabrication and characterization of highly sensitive and selective sensors based on porous NiO nanodisks. Sens. Actuators B 2018, 259, 604–615. [Google Scholar] [CrossRef]
- Wang, Y.; Zhao, Z.T.; Sun, Y.J.; Li, P.W.; Ji, J.L.; Chen, Y. Fabrication and gas sensing properties of Au-loaded SnO2 composite nanoparticles for highly sensitive hydrogen detection. Sens. Actuators B 2017, 240, 664–673. [Google Scholar] [CrossRef]
- Baek, D.H.; Kim, J. MoS2 gas sensor functionalized by Pd for the detection of hydrogen. Sens. Actuators B 2017, 250, 686–691. [Google Scholar] [CrossRef]
- Xu, L.; Xing, R.; Song, J.; Xu, W.; Song, H. Nanotubes surface engineered by Ag nanoparticles: Synthesis, characterization, and highly enhanced HCHO gas sensing properties. J. Mater. Chem. C 2013, 11, 2174–2182. [Google Scholar] [CrossRef]
- Zhou, Q.; Xu, L.N.; Ahmad, U.; Chen, W.G.; Rajesh, K. Pt nanoparticles decorated SnO2 nanoneedles for efficient CO gas sensing applications. Sens. Actuators B 2018, 256, 656–664. [Google Scholar] [CrossRef]
- Liu, L.; Guo, C.C.; Li, S.C.; Wang, L.Y.; Dong, Q.Y.; Li, W. Improved H2 sensing properties of Co-doped SnO2 nanofibers. Sens. Actuators B 2010, 150, 806–810. [Google Scholar] [CrossRef]
- Bhatnagar, M.; Dhall, S.; Kaushik, V.; Kaushal, A.; Mehta, B.R. Improved selectivity of SnO2:C alloy nanoparticles towards H2 and ethanol reducing gases; role of SnO2:C electronic interaction. Sens. Actuators B 2017, 246, 336–343. [Google Scholar] [CrossRef]
- Wu, R.J.; Lin, D.J.; Yu, M.R.; Chen, M.H.; Lai, H.F. Ag@SnO2 core–shell material for use in fast-response ethanol sensor at room operating temperature. Sens. Actuators B 2013, 178, 185–191. [Google Scholar] [CrossRef]
- Jin, L.F.; Chen, W.G.; Peng, S.Y. Study on gas sensing properties and mechanism of Ag-doped SnO2 gas sensor to H2. In Proceedings of the Electrical Insulation Conference (EIC), Seattle, WA, USA, 7–10 June 2015. [Google Scholar]
- Zhou, Q.; Chen, W.G.; Xu, L.N.; Peng, S.D. Hydrothermal synthesis of various hierarchical ZnO nanostructures and their methane sensing properties. Sensors 2013, 13, 6171–6182. [Google Scholar] [CrossRef] [PubMed]
- Ni, Y.X.; Le, K.; Du, W.J.; Fang, W.J.; Chen, X.; Liu, W.; Wang, Y.N.; Liu, J.R. High response to nitrogen dioxide derived from antimony peroxide modified tin oxide porous nanocomposites serving as gas sensing material. Sens. Actuators B 2017, 247, 216–223. [Google Scholar] [CrossRef]
- Pankaj, S.K.; Pankaj, M.K.; Namita, M.; Kishor, M.S. Synthesis of Ag doped SnO2 thin films for the evaluation of H2S gas sensing properties. Physica B 2017, 524, 90–96. [Google Scholar]
- Wang, Y.D.; Ma, C.L.; Sun, X.D.; Li, H.D. Preparation and characterization of SnO2 nanoparticles with a surfactant-mediated method. Nanotechnology 2002, 13, 565–569. [Google Scholar] [CrossRef]
- Cheng, X.L.; Xu, Y.M.; Gao, S.; Zhao, H.; Huo, L.H. Ag nanoparticles modified TiO2 spherical heterostructures with enhanced gas-sensing performance. Sens. Actuators B 2011, 155, 716–721. [Google Scholar] [CrossRef]
- Li, M.H.; Zhu, H.C.; Wang, B.; Cheng, J.; Yan, W.P.; Xia, S.F.; Tang, Z.A. Ultrasensitive and highly selective detection of methoxy propanol based on Ag-decorated SnO2 hollow nanospheres. Sens. Actuators B 2016, 232, 545–556. [Google Scholar] [CrossRef]
- Chen, Y.P.; Qin, H.W.; Hu, J.F. CO sensing properties and mechanism of Pd doped SnO2 thick-films. Appl. Surf. Sci. 2018, 428, 207–217. [Google Scholar] [CrossRef]
- Chavan, D.; Patil, G.; Kajale, D.; Gaikwad, V.; Khanna, P.; Jain, G. Nano In2O3 Ag-doped thick film: A low-temperature H2S gas sensor. J. Sens. 2011, 8, 824215–824223. [Google Scholar]
- Wei, Y.; Yi, G.Y.; Xu, Y.W.; Zhou, L.X.; Wang, X.D. Synthesis, characterization, and gas-sensing properties of Ag/SnO2/rGO composite by a hydrothermal method. J. Mater. Sci. 2017, 28, 17049–17057. [Google Scholar] [CrossRef]
- Vijay, K.T.; Surender, D. Ordered mesoporous Ag-doped TiO2/SnO2 nanocomposite based highly sensitive and selective VOC sensors. J. Mater. Chem. A 2016, 4, 1033–1043. [Google Scholar]
- Li, H.H.; He, Y.; Jin, P.P.; Cao, Y.; Fan, M.H.; Zou, X.X.; Li, G.D. Highly selective detection of trace hydrogen against CO and CH4 by Ag/Ag2O–SnO2 composite microstructures. Sens. Actuators B 2016, 228, 515–522. [Google Scholar] [CrossRef]
- Matawee, P.; Anurat, W.; Chakrit, S.; Ditsayut, P.; Adisorn, T.; Sukon, P.; Chaikarn, L. Roles of cobalt doping on ethanol-sensing mechanisms of flame-spray-made SnO2 nanoparticles-electrolytically exfoliated graphene interfaces. Appl. Surf. Sci. 2017, 425, 351–366. [Google Scholar]
- Zhou, Q.; Hong, C.X.; Yao, Y.; Ahmed, M.I.; Xu, N.; Rajesh, K.; Sumaia, M.T.; Kim, S.H.; Umar, A. Fabrication and characterization of highly sensitive acetone chemical sensor based on ZnO nanoballs. Materials 2017, 10, 799. [Google Scholar] [CrossRef] [PubMed]
- Shahabuddin, M.; Umar, A.; Tomar, M.; Gupta, V. Custom designed metal anchored SnO2 sensor for H2 detection. Int. J. Hydrog. Eng. 2017, 42, 4597–4609. [Google Scholar] [CrossRef]
- Wang, X.; Qiu, S.; He, C.; Lu, G.; Liu, W.; Liu, J. Synthesis of Au decorated SnO2 mesoporous spheres with enhanced gas sensing performance. RSC Adv. 2013, 3, 19002–19008. [Google Scholar] [CrossRef]
- Wang, L.; Dou, H.; Lou, Z.; Zhang, T. Encapsuled nanoreactors (Au@SnO2): A new sensing material for chemical sensors. Nanoscale 2013, 7, 2686–2691. [Google Scholar] [CrossRef] [PubMed]
- Zhou, Q.; Chen, W.G.; Xu, L.N.; Kumar, R.; Gui, Y.G.; Zhao, Z.Y.; Tang, C.; Zhu, S.P. Highly sensitive carbon monoxide (CO) gas sensors based on Ni and Zn doped SnO2 nanomaterials. Ceram. Int. 2018, 44, 4392–4399. [Google Scholar] [CrossRef]
- Cui, S.; Pu, H.; Mattson, E.C.; Lu, G.; Mao, S.; Weinert, M.; Hirschmugl, C.J.; Gajdardziska, J.M. Highly selective NO2 sensor at room temperature based on nanocomposites of hierarchical nanosphere-like α-Fe2O3 and reduced graphene oxide. Nanoscale 2012, 4, 5887–5894. [Google Scholar] [CrossRef] [PubMed]
- Choi, S.; Katoch, A.; Kim, J.; Kim, S.S. Prominent reducing gas-sensing performances of n-SnO2 nanowires by local creation of p-n heterojunctions by functionalization with p-Cr2O3 nanoparticles. ACS Appl. Mater. Interfaces 2014, 6, 17723–17729. [Google Scholar] [CrossRef] [PubMed]
- Singh, V.N.; Mehta, B.R.; Joshi, R.K.; Kruis, F.E.; Shivaprasad, S.M. Enhanced gas sensing properties of In2O3:Ag composite nanoparticle layers; electronic interaction, size and surface induced effects. Sens. Actuators B 2007, 125, 482–488. [Google Scholar] [CrossRef]
- Zhang, Z.L.; Yin, C.B.; Yang, L.; Jia, W.H.; Zhou, J.J.; Xu, H.H.; Cao, D.H. H2 response characteristics for sol–gel-derived WO3-SnO2 dual-layer thin films. Ceram. Int. 2017, 43, 6693–6699. [Google Scholar] [CrossRef]
- Yin, X.T.; Tao, L. Fabrication and gas sensing properties of Au-loaded SnO2 composite nanoparticles for low concentration hydrogen. J. Alloys Compd. 2017, 727, 254–259. [Google Scholar] [CrossRef]
- Motaung, D.E.; Mhlongo, G.H.; Makgwane, P.R.; Dhonge, B.P.; Cummings, F.R.; Swart, H.C.; Ray, S.S. Ultra-high sensitive and selective H2 gas sensor manifested by interface of n–n heterostructure of CeO2-SnO2 nanoparticles. Sens. Actuators B 2018, 254, 984–995. [Google Scholar] [CrossRef]












| Nanomaterials | (hkl) | 2Theta (°) | FWHM (β) | Crystallite Size (nm) |
|---|---|---|---|---|
| Pure SnO2 | (110) | 26.48 | 2.1 | 3.85 |
| (101) | 33.98 | 1.75 | 4.69 | |
| (211) | 51.78 | 1.9 | 4.60 | |
| 5 at.% Ag-SnO2 | (110) | 26.58 | 2.3 | 3.51 |
| (101) | 33.88 | 1.95 | 4.22 | |
| (211) | 51.88 | 1.95 | 4.48 |
| Sensing Material | Concentration | Temp. (°C) | Response | Response Formula | Response Time (s) | Recoverytime (s) | Ref. |
|---|---|---|---|---|---|---|---|
| Pd-SnO2/MoS2 | 5000 ppm | R.T. | 18% | (Ra − Rg)/Ra × 100% | 30 | 19 | [14] |
| Pt/SnO2 | 500 ppm | 110 | 168 | (Ra − Rg)/Rg | <6 | 57 | [38] |
| WO3-SnO2 | 2000 ppm | 225 | 52.39 | Ra/Rg | 6.6 | - | [45] |
| Au/SnO2 | 5000 ppm | 400 | 50 | Ra/Rg | 25 | 170 | [46] |
| CeO2-SnO2 | 0.5 ppm | 300 | −82 | Ra/Rg | ~50 | ~30 | [47] |
| Ag/SnO2 | 50 μL/L | 300 | 25.25 | Ra/Rg | 10 | 17 | This work |
© 2018 by the authors. Licensee MDPI, Basel, Switzerland. This article is an open access article distributed under the terms and conditions of the Creative Commons Attribution (CC BY) license (http://creativecommons.org/licenses/by/4.0/).
Share and Cite
Lu, Z.; Zhou, Q.; Xu, L.; Gui, Y.; Zhao, Z.; Tang, C.; Chen, W. Synthesis and Characterization of Highly Sensitive Hydrogen (H2) Sensing Device Based on Ag Doped SnO2 Nanospheres. Materials 2018, 11, 492. https://doi.org/10.3390/ma11040492
Lu Z, Zhou Q, Xu L, Gui Y, Zhao Z, Tang C, Chen W. Synthesis and Characterization of Highly Sensitive Hydrogen (H2) Sensing Device Based on Ag Doped SnO2 Nanospheres. Materials. 2018; 11(4):492. https://doi.org/10.3390/ma11040492
Chicago/Turabian StyleLu, Zhaorui, Qu Zhou, Lingna Xu, Yingang Gui, Zhongyong Zhao, Chao Tang, and Weigen Chen. 2018. "Synthesis and Characterization of Highly Sensitive Hydrogen (H2) Sensing Device Based on Ag Doped SnO2 Nanospheres" Materials 11, no. 4: 492. https://doi.org/10.3390/ma11040492
APA StyleLu, Z., Zhou, Q., Xu, L., Gui, Y., Zhao, Z., Tang, C., & Chen, W. (2018). Synthesis and Characterization of Highly Sensitive Hydrogen (H2) Sensing Device Based on Ag Doped SnO2 Nanospheres. Materials, 11(4), 492. https://doi.org/10.3390/ma11040492

