Effect of Intrinsic Stress on Structural and Optical Properties of Amorphous Si-Doped SnO2 Thin-Film
Abstract
:1. Introduction
2. Experimental Methods
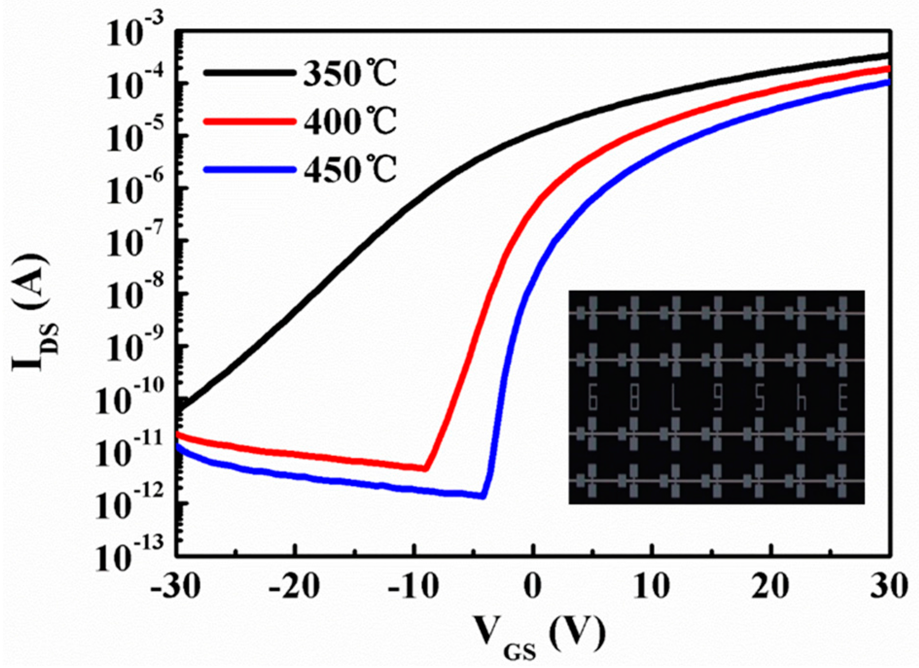
3. Results and Discussion
4. Conclusions
Acknowledgments
Author Contributions
Conflicts of Interest
References
- Nomura, K.; Ohta, H.; Takagi, A.; Kamiya, T.; Hirano, M.; Hosono, H. Room-temperature fabrication of transparent flexible thin-film transistors using amorphous oxide semiconductors. Nature 2004, 432, 488. [Google Scholar] [CrossRef] [PubMed]
- Gao, X.; Lin, L.; Liu, Y.; Huang, X. LTPS TFT process on polyimide substrate for flexible AMOLED. IEEE/OSA J. Disp. Technol. 2015, 11, 666. [Google Scholar] [CrossRef]
- Xiao, P.; Dong, T.; Lan, L.; Lin, Z.; Song, W.; Song, E.; Sun, S.; Li, Y.; Gao, P.; Luo, D.; et al. High-mobility flexible thin-film transistors with a low-temperature zirconium-doped indium oxide channel layer. Phys. Status Solidi 2016, 10, 493–497. [Google Scholar] [CrossRef]
- Gadre, M.J.; Alford, T.L. Highest transmittance and high-mobility amorphous indium gallium zinc oxide films on flexible substrate by room-temperature deposition and post-deposition anneals. Appl. Phys. Lett. 2011, 99, 051901. [Google Scholar] [CrossRef]
- Park, J.S.; Kim, T.W.; Stryakhilev, D.; Lee, J.S.; An, S.G.; Pyo, Y.S.; Lee, D.B.; Mo, Y.G.; Jin, D.U.; Chung, H.K. Flexible full color organic light-emitting diode display on polyimide plastic substrate driven by amorphous indium gallium zinc oxide thin-film transistors. Appl. Phys. Lett. 2009, 95, 013503. [Google Scholar] [CrossRef]
- Iwamatsu, S.; Takechi, K.; Yahagi, T.; Abe, Y.; Tanabe, H.; Kobayashi, S. Fabrication of suspended amorphous indium–gallium–zinc oxide thin-film transistors using bulk micromachining techniques. Jpn. J. Appl. Phys. 2014, 53, 066503. [Google Scholar] [CrossRef]
- Thornton, J.A. Stress-related effects in thin films. Thin Solid Films 1989, 171, 5–31. [Google Scholar] [CrossRef]
- Liu, X.; Cai, W.; Chen, J.; Fang, Z.; Ning, H.; Hu, S.; Tao, R.; Zeng, Y.; Zheng, Z.; Yao, R.; et al. A novel nondestructive testing method for amorphous Si–Sn–O films. J. Phys. D Appl. Phys. 2016, 49, 505102. [Google Scholar] [CrossRef]
- Yang, J.; Yang, Z.; Meng, T.; Han, Y.; Wang, X.; Zhang, Q. Effects of silicon doping on the performance of tin oxide thin film transistors. Phys. Status Solidi A 2015, 213, 1010–1015. [Google Scholar] [CrossRef]
- Yang, J.; Han, Y.; Fu, R.; Zhang, Q. Effects of nitrogen doping on performance of amorphous SnSiO thin film transistor. J. Disp. Technol. 2016. [Google Scholar] [CrossRef]
- Kumar, R.; Khare, N.; Kumar, V.; Bhalla, G.L. Effect of intrinsic stress on the optical properties of nanostructured ZnO thin films grown by rf magnetron sputtering. Appl. Surf. Sci. 2008, 254, 6509–6513. [Google Scholar] [CrossRef]
- Lee, H.W.; Lau, S.P.; Wang, Y.G.; Tay, B.K.; Hng, H.H. Internal stress and surface morphology of zinc oxide thin films deposited by filtered cathodic vacuum arc technique. Thin Solid Films 2004, 458, 15–19. [Google Scholar] [CrossRef]
- Tauc, J.; Grigorovici, R.; Vancu, A. Optical properties and electronic structure of amorphous germanium. Phys. Status Solidi 1966, 15, 627–637. [Google Scholar] [CrossRef]
- Ghosh, R.; Basak, D.; Fujihara, S. Effect of substrate-induced strain on the structural, electrical, and optical properties of polycrystalline ZnO thin films. J. Appl. Phys. 2004, 96, 2689–2692. [Google Scholar] [CrossRef]
- Malek, M.F.; Mamat, M.H.; Musa, M.Z.; Soga, T.; Rahman, S.A.; Alrokayan, S.A.H.; Khan, H.A.; Rusop, M. Metamorphosis of strain/stress on optical band gap energy of ZAO thin films via manipulation of thermal annealing process. J. Lumin. 2015, 160, 165–175. [Google Scholar] [CrossRef]
- Zaynobidinov, S.; Ikramov, R.G.; Jalalov, R.M. Urbach energy and the tails of the density of states in amorphous semiconductors. J. Appl. Spectrosc. 2011, 78, 223–227. [Google Scholar] [CrossRef]
- Kaczmarski, J.; Boll, T.; Borysiewicz, M.A.; Taube, A.; Thuvander, M.; Law, J.Y.; Kamińska, E.; Stiller, K. Controlling In–Ga–Zn–O thin films transport properties through density changes. Thin Solid Films 2016, 608, 57–61. [Google Scholar] [CrossRef]
- Lin, Y.; Xie, J.; Wang, H.; Li, Y.; Chavez, C.; Lee, S.; Foltyn, S.R.; Crooker, S.A.; Burrell, A.K.; McCleskey, T.M.; et al. Green luminescent zinc oxide films prepared by polymer-assisted deposition with rapid thermal process. Thin Solid Films 2005, 492, 101–104. [Google Scholar] [CrossRef]
- Ellmer, K. Resistivity of polycrystalline zinc oxide films: Current status and physical limit. J. Phys. D Appl. Phys. 2001, 34, 3097. [Google Scholar] [CrossRef]
- Kamiya, T.; Nomura, K.; Hosono, H. Present status of amorphous In–Ga–Zn–O thin-film transistors. Sci. Technol. Adv. Mater. 2010, 11, 44305. [Google Scholar] [CrossRef] [PubMed]
- Liu, X.; Ning, H.; Chen, J.; Cai, W.; Hu, S.; Tao, R.; Zeng, Y.; Zheng, Z.; Yao, R.; Xu, M.; et al. High-performance back-channel-etched thin-film transistors with amorphous Si-incorporated SnO2 active layer. Appl. Phys. Lett. 2016, 108, 112106. [Google Scholar] [CrossRef]






| Annealing Temperature (°C) | Carrier Mobility (cm2/Vs) | Carrier Density (cm−3) | Density (g/cm3) | Roughness (nm) |
|---|---|---|---|---|
| As-deposition | 4.70 | 4.09 × 1018 | 5.723 | 0.75 |
| 150 | 5.66 | 7.86 × 1018 | 5.750 | 0.18 |
| 250 | 3.32 | 5.76 × 1019 | 5.822 | 0.19 |
| 350 | 6.62 | 5.43 × 1019 | 6.076 | 0.09 |
| 450 | 6.53 | 1.72 × 1019 | 6.250 | 0.09 |
| Annealing Temperature (°C) | (cm2/Vs) | Von (V) | Ion/Ioff | (V/decade) | (eV−1·cm−2) |
|---|---|---|---|---|---|
| 350 | -- | <−30 | -- | -- | -- |
| 400 | 8.03 | −9 | 4.18 × 107 | 1.41 | 2.28 × 1012 |
| 450 | 6.7 | −4.8 | 7.34 × 107 | 0.625 | 7.96 × 1011 |
© 2017 by the authors. Licensee MDPI, Basel, Switzerland. This article is an open access article distributed under the terms and conditions of the Creative Commons Attribution (CC-BY) license ( http://creativecommons.org/licenses/by/4.0/).
Share and Cite
Ning, H.; Liu, X.; Zhang, H.; Fang, Z.; Cai, W.; Chen, J.; Yao, R.; Xu, M.; Wang, L.; Lan, L.; et al. Effect of Intrinsic Stress on Structural and Optical Properties of Amorphous Si-Doped SnO2 Thin-Film. Materials 2017, 10, 24. https://doi.org/10.3390/ma10010024
Ning H, Liu X, Zhang H, Fang Z, Cai W, Chen J, Yao R, Xu M, Wang L, Lan L, et al. Effect of Intrinsic Stress on Structural and Optical Properties of Amorphous Si-Doped SnO2 Thin-Film. Materials. 2017; 10(1):24. https://doi.org/10.3390/ma10010024
Chicago/Turabian StyleNing, Honglong, Xianzhe Liu, Hongke Zhang, Zhiqiang Fang, Wei Cai, Jianqiu Chen, Rihui Yao, Miao Xu, Lei Wang, Linfeng Lan, and et al. 2017. "Effect of Intrinsic Stress on Structural and Optical Properties of Amorphous Si-Doped SnO2 Thin-Film" Materials 10, no. 1: 24. https://doi.org/10.3390/ma10010024
APA StyleNing, H., Liu, X., Zhang, H., Fang, Z., Cai, W., Chen, J., Yao, R., Xu, M., Wang, L., Lan, L., Peng, J., Wang, X., & Zhang, Z. (2017). Effect of Intrinsic Stress on Structural and Optical Properties of Amorphous Si-Doped SnO2 Thin-Film. Materials, 10(1), 24. https://doi.org/10.3390/ma10010024

