Smart Charging of EVs in Residential Distribution Systems Using the Extended Iterative Method
Abstract
:1. Introduction
2. Smart Charging Models of Electrical Vehicles (EVs)
2.1. Basic Assumptions
- (1)
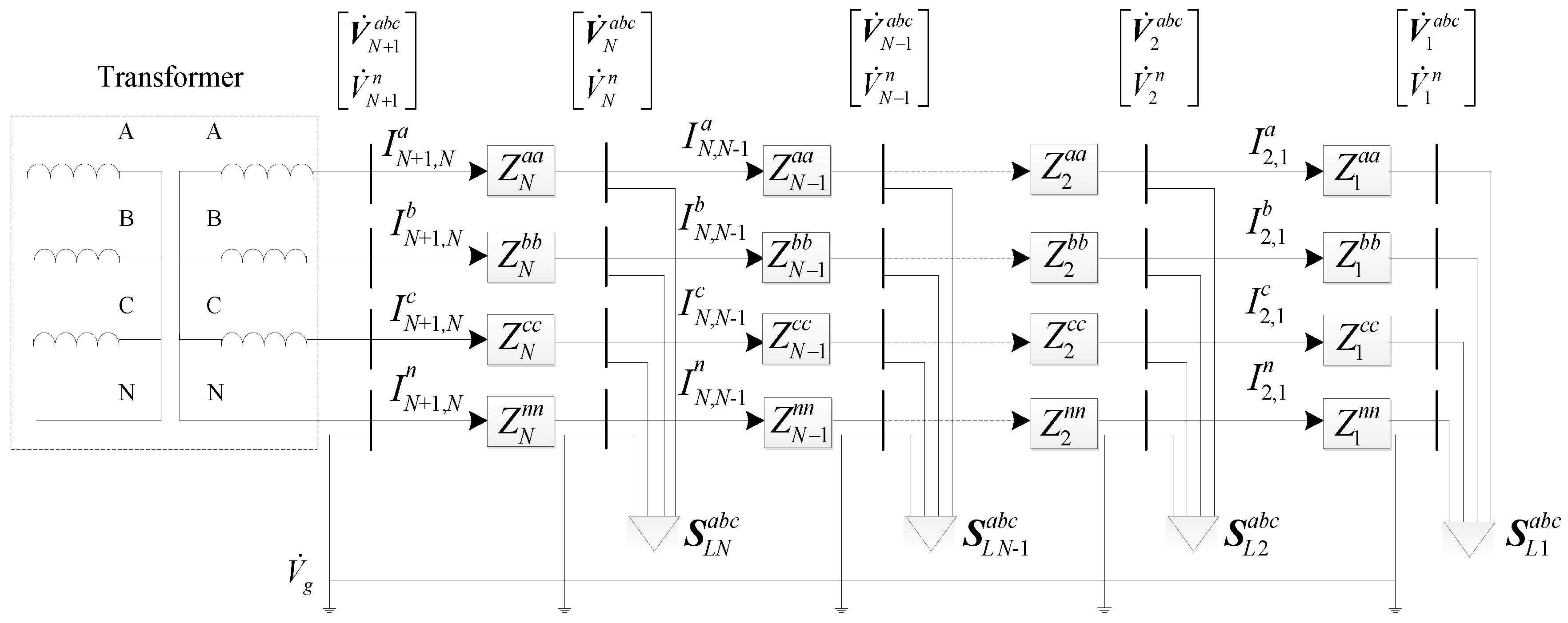
- Under normal circumstances, the distribution system uses the radial operation structure. Thus, it is suitable to represent it with node branch incident matrix. Evidently, the number of nodes in the radial network is one more than that of the branches (the grounded branches are not considered). Suppose the element Aij in the node branch incident matrix A corresponds to the ith node, jth branch, which is directed from node m to n. Then Aij can be represented as:Suppose the vector of currents injected into nodes in α (α = a, b, c) phase (with the power supply node excluded) is represented as , and the vector of currents for the branch of α phase is represented as . Then it has:where N is the total number of nodes of the distribution network excluding the power supply nodes. L is the total number of branches of the distribution network excluding the grounded branches. Thus, can be calculated as:
- (2)
- Suppose the charging location of each EV is fixed. Only the optimization of the charging power is considered while the optimization of the charging location is not considered.
- (3)
- The fluctuation of the external power grid is not taken into account. The capacity of external power grid is assumed to be large enough and the substation bus is taken as the slack node in every optimization period.
- (4)
- It is assumed that the output power of the charger can be adjusted continuously.
2.2. Objective Functions and Constraints
3. Extended Iterative Method
- (P1)
- Using the slack node as the root node, the depth first search (DFS) program is used to calculate the forward node sequence Pre and the parent node sequence Pred.
- (P2)
- At each iteration, using the complex voltage vector of root node, the branch impedance matrix and the branch current complex vector, node sequence Pre, Pred, the predicted voltage of each node per phase at time t related to charging power can successively be calculated as:where and are the three-phase predicted complex voltage vector of node Pre(i) and its parent node Pred(Pre(i)), respectively. and are the impedance matrix and three-phase complex branch current vector between node Pre(i) and its parent node Pred(Pre(i)), respectively.
- (P3)
- The square of the predicted voltage magnitude of each node per phase at each time t is calculated with the complex voltage multiplied by its conjugate. Voltage magnitude can be obtained by root calculation.
- (P4)
- The active and reactive power of the conventional household load for each node per phase at each time t can be calculated by substituting the predicted voltage magnitudes into Equations (21) and (22).
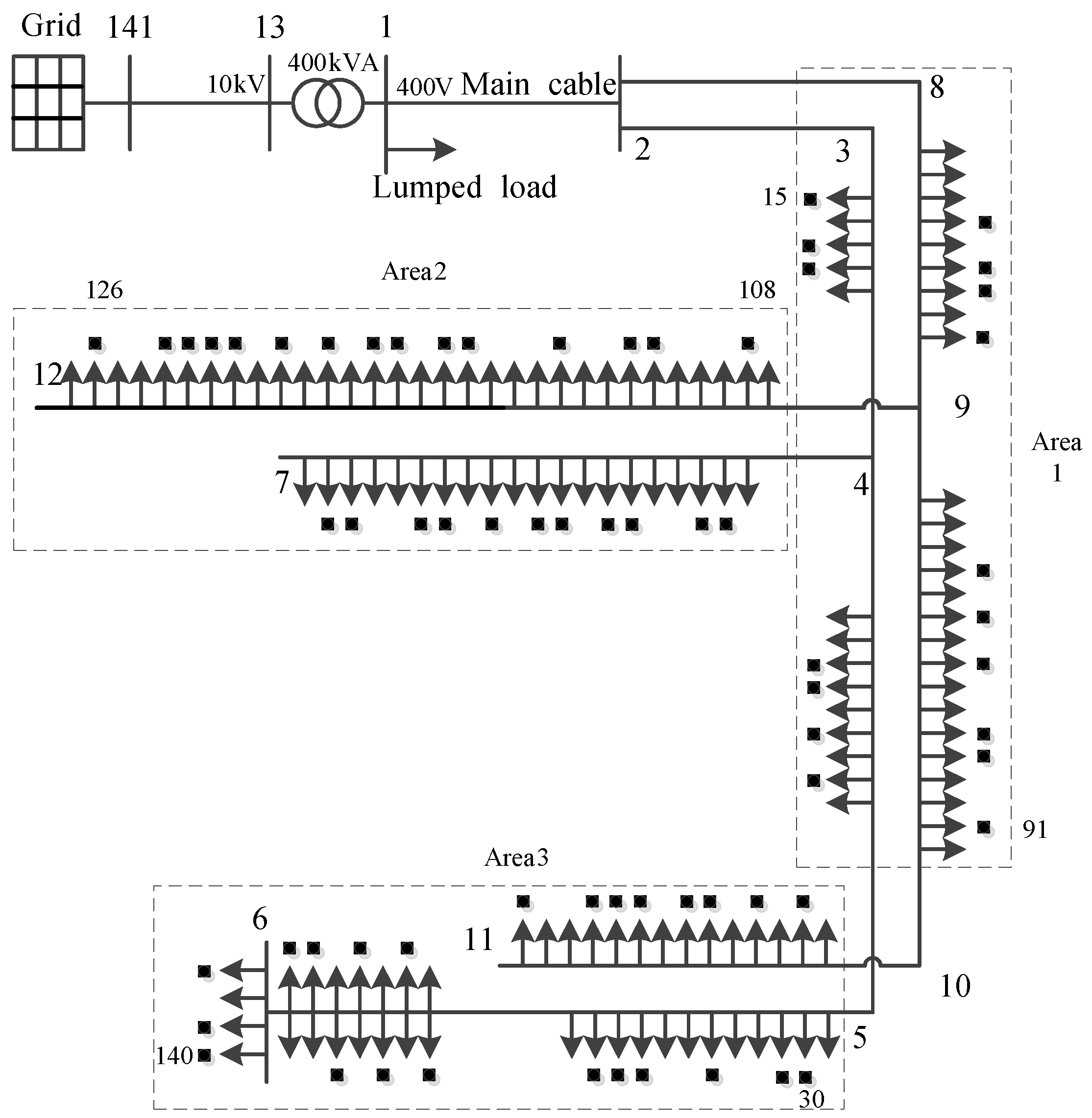
4. Simulation Case Study
4.1. Simulation Case 1
4.2. Simulation Case 2
4.3. Simulation Case 3
4.3.1. Simulation Conditions
- (1)
- All EV owners are willing to participate in coordinated charging and charging power of each EV is fully controllable. Optimization period of time is between 18:00~7:00.
- (2)
- Maximal charging power of each EV is 4 kW. The battery capacity of each EV is 20 kWh. Charging efficiency is 0.98. As for J1, J2, J3, initial SOC of each EV is set to be 0.25, 0.5, and 0.5, respectively.
- (3)
- Each EV adopts single phase charging mode. EVs located at area 1, 2 and 3 are connected to phase A, B, and C, respectively.
- (4)
- The optimization time interval is 1 h.
- (5)
- The upper and lower voltage limit are 1.1 p.u. and 0.9 p.u., respectively.
- (6)
- Node 141 is taken as the slack node, and its voltage is kept constant as 1.05 p.u. The rest of the nodes are taken as PQ nodes.
- (7)
- As for objective J2 and J3, during the optimization periods, the charging price is 0.77, 0.75, 0.70, 0.70, 0.66, 0.60, 0.48, 0.36, 0.34, 0.30, 0.28, 0.27, 0.27, 0.29 Y/kWh, and β is set to be 100.
- (8)
- The model of the conventional household load is assumed to be constant impedance load.
- (9)
- The single phase based power and voltage of the system is 160/3 kVA, kV, and kV, respectively.
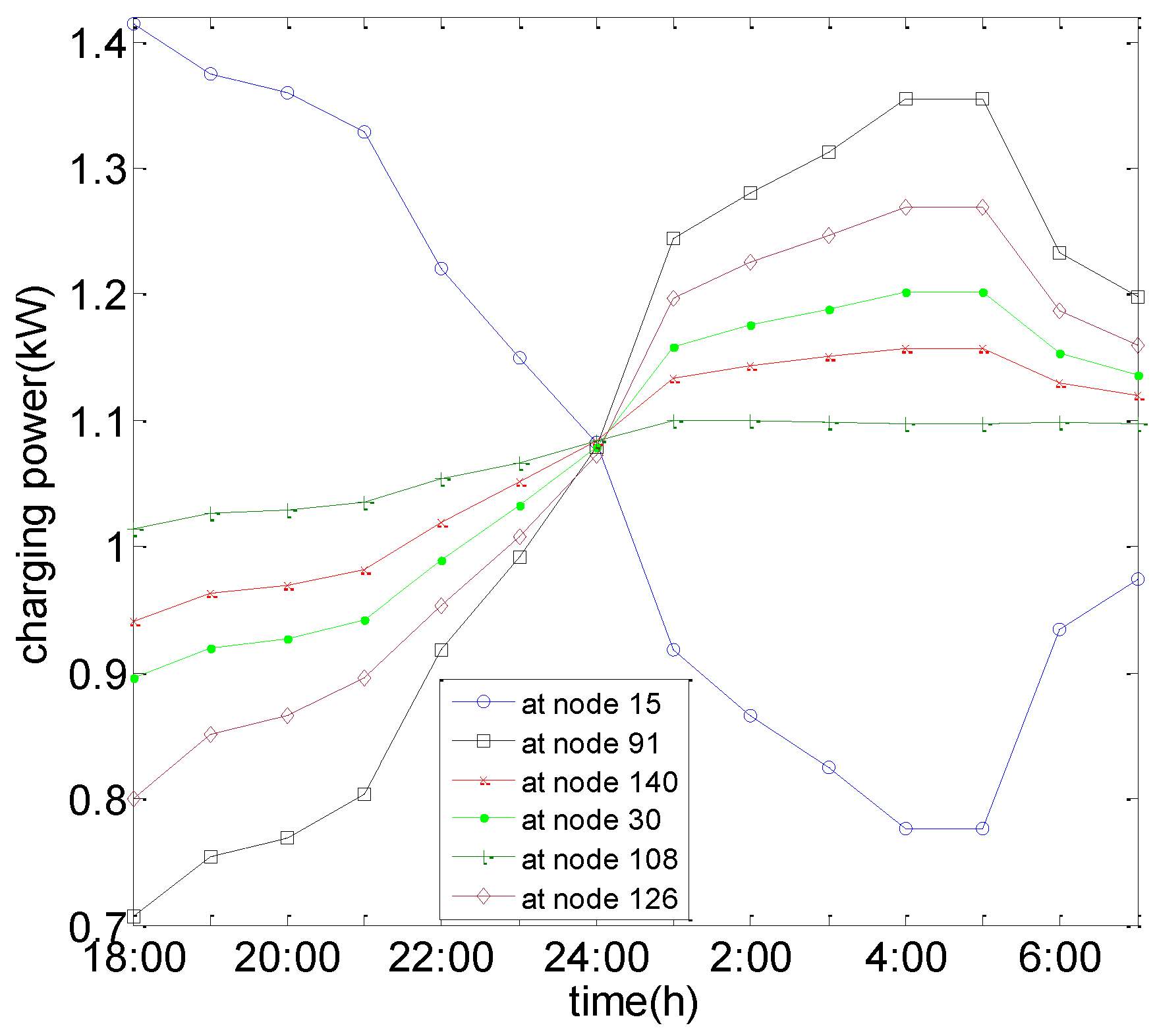
4.3.2. Simulation Results
4.3.3. Comparison with the Selected Method
5. Conclusions
- (1)
- Compared with the optimization results in [15], the developed method had much higher calculation efficiency.
- (2)
- This developed method could avoid the risk of the node voltage exceeding the lower limit, and provided reliable and economic operation of the distribution system when massive numbers of EVs penetrate into the grid.
Acknowledgments
Author Contributions
Conflicts of Interest
Appendix A
| Different Method | PM.0 | PM.1 | f.0 | f.1 | |
|---|---|---|---|---|---|
| 1 | UA/p.u. | 0.9952 | 1.0097 | 0.9943 | 1.0105 |
| UB/p.u. | 0.9983 | 1.0129 | 0.9976 | 1.0136 | |
| UC/p.u. | 0.9974 | 1.0119 | 0.9966 | 1.0126 | |
| 2 | UA/p.u. | 0.9545 | 0.9781 | 0.9530 | 0.9796 |
| UB/p.u. | 0.9623 | 0.9860 | 0.9611 | 0.9873 | |
| UC/p.u. | 0.9607 | 0.9842 | 0.9594 | 0.9856 | |
| 3 | UA/p.u. | 0.9498 | 0.9744 | 0.9482 | 0.9760 |
| UB/p.u. | 0.9582 | 0.9829 | 0.9569 | 0.9842 | |
| UC/p.u. | 0.9565 | 0.9809 | 0.9551 | 0.9824 | |
| 4 | UA/p.u. | 0.9407 | 0.9668 | 0.9386 | 0.9689 |
| UB/p.u. | 0.9466 | 0.9735 | 0.9450 | 0.9750 | |
| UC/p.u. | 0.9451 | 0.9716 | 0.9434 | 0.9732 | |
| 5 | UA/p.u. | 0.9359 | 0.9630 | 0.9336 | 0.9654 |
| UB/p.u. | 0.9448 | 0.9735 | 0.9434 | 0.9749 | |
| UC/p.u. | 0.9327 | 0.9600 | 0.9307 | 0.9619 | |
| 6 | UA/p.u. | 0.9364 | 0.9655 | 0.9342 | 0.9677 |
| UB/p.u. | 0.9434 | 0.9740 | 0.9421 | 0.9754 | |
| UC/p.u. | 0.9083 | 0.9353 | 0.9055 | 0.9381 | |
| 7 | UA/p.u. | 0.9395 | 0.9671 | 0.9375 | 0.9691 |
| UB/p.u. | 0.9280 | 0.9547 | 0.9257 | 0.9569 | |
| UC/p.u. | 0.9453 | 0.9734 | 0.9438 | 0.9749 | |
| 8 | UA/p.u. | 0.9492 | 0.9739 | 0.9476 | 0.9755 |
| UB/p.u. | 0.9577 | 0.9825 | 0.9563 | 0.9837 | |
| UC/p.u. | 0.9561 | 0.9806 | 0.9546 | 0.9820 | |
| 9 | UA/p.u. | 0.9428 | 0.9685 | 0.9408 | 0.9705 |
| UB/p.u. | 0.9493 | 0.9758 | 0.9479 | 0.9771 | |
| UC/p.u. | 0.9481 | 0.9741 | 0.9464 | 0.9757 | |
| 10 | UA/p.u. | 0.9377 | 0.9645 | 0.9354 | 0.9667 |
| UB/p.u. | 0.9474 | 0.9758 | 0.9461 | 0.9771 | |
| UC/p.u. | 0.9349 | 0.9617 | 0.9329 | 0.9638 | |
| 11 | UA/p.u. | 0.9380 | 0.9657 | 0.9359 | 0.9679 |
| UB/p.u. | 0.9466 | 0.9758 | 0.9453 | 0.9770 | |
| UC/p.u. | 0.9244 | 0.9510 | 0.9219 | 0.9535 | |
| 12 | UA/p.u. | 0.9408 | 0.9692 | 0.9389 | 0.9710 |
| UB/p.u. | 0.9150 | 0.9415 | 0.9127 | 0.9438 | |
| UC/p.u. | 0.9486 | 0.9774 | 0.9472 | 0.9789 | |
| 13 | UA/p.u. | 1.0069 | 1.0175 | 1.0062 | 1.0182 |
| UB/p.u. | 1.0096 | 1.0201 | 1.0090 | 1.0207 | |
| UC/p.u. | 1.0087 | 1.0192 | 1.0080 | 1.0198 | |
| PCH3A/p.u. | 0.1023 | 0.0852 | 0.0952 | 0.0923 | |
| PCH4A/p.u. | 0.0830 | 0.1043 | 0.0915 | 0.0960 | |
| PCH5A/p.u. | 0.0832 | 0.1043 | 0.0910 | 0.0965 | |
| PCH8A/p.u. | 0.1000 | 0.0875 | 0.0945 | 0.0928 | |
| PCH9A/p.u. | 0.0834 | 0.1041 | 0.0913 | 0.0962 | |
| PCH10A/p.u. | 0.0831 | 0.1044 | 0.0913 | 0.0962 | |
| PCH7B/p.u. | 0.2208 | 0.2480 | 0.2300 | 0.2387 | |
| PCH12B/p.u. | 0.2223 | 0.2464 | 0.2292 | 0.2395 | |
| PCH6C/p.u. | 0.2212 | 0.2475 | 0.2290 | 0.2398 | |
| PCH11C/p.u. | 0.2208 | 0.2480 | 0.2302 | 0.2385 | |
| J1/p.u. | 6.6278 | 6.6275 | |||
| Calculation time/s | 0.736 | 167 | |||
| Different Method | PM.0 | PM.1 | f.0 | f.1 | |
|---|---|---|---|---|---|
| 1 | UA/p.u. | 0.9963 | 1.0064 | 0.9957 | 1.0070 |
| UB/p.u. | 0.9955 | 1.0105 | 0.9980 | 1.0110 | |
| UC/p.u. | 0.9978 | 1.0092 | 0.9972 | 1.0097 | |
| 2 | UA/p.u. | 0.9570 | 0.9717 | 0.9559 | 0.9727 |
| UB/p.u. | 0.9627 | 0.9819 | 0.9618 | 0.9829 | |
| UC/p.u. | 0.9613 | 0.9795 | 0.9603 | 0.9805 | |
| 3 | UA/p.u. | 0.9525 | 0.9675 | 0.9514 | 0.9686 |
| UB/p.u. | 0.9587 | 0.9785 | 0.9577 | 0.9795 | |
| UC/p.u. | 0.9571 | 0.9760 | 0.9560 | 0.9771 | |
| 4 | UA/p.u. | 0.9434 | 0.9594 | 0.9420 | 0.9608 |
| UB/p.u. | 0.9476 | 0.9682 | 0.9464 | 0.9694 | |
| UC/p.u. | 0.9457 | 0.9661 | 0.9444 | 0.9673 | |
| 5 | UA/p.u. | 0.9387 | 0.9553 | 0.9372 | 0.9569 |
| UB/p.u. | 0.9455 | 0.9684 | 0.9444 | 0.9695 | |
| UC/p.u. | 0.9338 | 0.9535 | 0.9323 | 0.9550 | |
| 6 | UA/p.u. | 0.9386 | 0.9582 | 0.9372 | 0.9596 |
| UB/p.u. | 0.9437 | 0.9691 | 0.9426 | 0.9701 | |
| UC/p.u. | 0.9108 | 0.9268 | 0.9088 | 0.9289 | |
| 7 | UA/p.u. | 0.9419 | 0.9599 | 0.9406 | 0.9612 |
| UB/p.u. | 0.9307 | 0.9473 | 0.9290 | 0.9490 | |
| UC/p.u. | 0.9454 | 0.9683 | 0.9443 | 0.9694 | |
| 8 | UA/p.u. | 0.9519 | 0.9670 | 0.9508 | 0.9682 |
| UB/p.u. | 0.9581 | 0.9782 | 0.9571 | 0.9792 | |
| UC/p.u. | 0.9568 | 0.9755 | 0.9557 | 0.9767 | |
| 9 | UA/p.u. | 0.9455 | 0.9613 | 0.9442 | 0.9626 |
| UB/p.u. | 0.9498 | 0.9710 | 0.9487 | 0.9721 | |
| UC/p.u. | 0.9491 | 0.9684 | 0.9478 | 0.9697 | |
| 10 | UA/p.u. | 0.9404 | 0.9570 | 0.9389 | 0.9584 |
| UB/p.u. | 0.9475 | 0.9712 | 0.9465 | 0.9723 | |
| UC/p.u. | 0.9368 | 0.9548 | 0.9353 | 0.9563 | |
| 11 | UA/p.u. | 0.9404 | 0.9585 | 0.9390 | 0.9598 |
| UB/p.u. | 0.9465 | 0.9713 | 0.9455 | 0.9723 | |
| UC/p.u. | 0.9272 | 0.9429 | 0.9254 | 0.9448 | |
| 12 | UA/p.u. | 0.9430 | 0.9621 | 0.9418 | 0.9634 |
| UB/p.u. | 0.9176 | 0.9339 | 0.9157 | 0.9357 | |
| UC/p.u. | 0.9489 | 0.9723 | 0.9478 | 0.9734 | |
| 13 | UA/p.u. | 1.0080 | 1.0148 | 1.0076 | 1.0152 |
| UB/p.u. | 1.0100 | 1.0182 | 1.0095 | 1.0187 | |
| UC/p.u. | 1.0092 | 1.0169 | 1.0088 | 1.0174 | |
| PCH3A/p.u. | 0.0856 | 0.1019 | 0.0827 | 0.1048 | |
| PCH4A/p.u. | 0.0742 | 0.1133 | 0.0781 | 0.1094 | |
| PCH5A/p.u. | 0.0738 | 0.1137 | 0.07871 | 0.1088 | |
| PCH8A/p.u. | 0.0851 | 0.1024 | 0.0833 | 0.1042 | |
| PCH9A/p.u. | 0.0744 | 0.1131 | 0.0792 | 0.1083 | |
| PCH10A/p.u. | 0.0736 | 0.11389 | 0.0778 | 0.1097 | |
| PCH7B/p.u. | 0.1942 | 0.2745 | 0.2007 | 0.2681 | |
| PCH12B/p.u. | 0.2039 | 0.2648 | 0.2091 | 0.2596 | |
| PCH6C/p.u. | 0.2027 | 0.2660 | 0.2084 | 0.2604 | |
| PCH11C/p.u. | 0.1951 | 0.2737 | 0.2016 | 0.2671 | |
| J1/p.u. | 6.7695 | 6.7693 | |||
| Calculation time/s | 0.812 | 185 | |||
| Different Method | PM.0 | PM.1 | f.0 | f.1 | |
|---|---|---|---|---|---|
| 1 | UA/p.u. | 0.9976 | 1.0025 | 0.9975 | 1.0026 |
| UB/p.u. | 0.9989 | 1.0077 | 0.9988 | 1.0078 | |
| UC/p.u. | 0.9983 | 1.0060 | 0.9982 | 1.0061 | |
| 2 | UA/p.u. | 0.9599 | 0.9643 | 0.9599 | 0.9643 |
| UB/p.u. | 0.9633 | 0.9771 | 0.9630 | 0.9774 | |
| UC/p.u. | 0.9621 | 0.9740 | 0.9619 | 0.9742 | |
| 3 | UA/p.u. | 0.9556 | 0.9597 | 0.9556 | 0.9597 |
| UB/p.u. | 0.9594 | 0.9734 | 0.9591 | 0.9737 | |
| UC/p.u. | 0.9579 | 0.9703 | 0.9576 | 0.9705 | |
| 4 | UA/p.u. | 0.9467 | 0.9509 | 0.9467 | 0.9509 |
| UB/p.u. | 0.9487 | 0.9621 | 0.9484 | 0.9624 | |
| UC/p.u. | 0.9465 | 0.9596 | 0.9462 | 0.9600 | |
| 5 | UA/p.u. | 0.9420 | 0.9465 | 0.9420 | 0.9465 |
| UB/p.u. | 0.9463 | 0.9624 | 0.9460 | 0.9627 | |
| UC/p.u. | 0.9352 | 0.9460 | 0.9348 | 0.9464 | |
| 6 | UA/p.u. | 0.9413 | 0.9497 | 0.9414 | 0.9496 |
| UB/p.u. | 0.9442 | 0.9632 | 0.9439 | 0.9635 | |
| UC/p.u. | 0.9137 | 0.9169 | 0.9132 | 0.9175 | |
| 7 | UA/p.u. | 0.9448 | 0.9515 | 0.9449 | 0.9515 |
| UB/p.u. | 0.9337 | 0.9389 | 0.9334 | 0.9393 | |
| UC/p.u. | 0.9457 | 0.9622 | 0.9454 | 0.9625 | |
| 8 | UA/p.u. | 0.9551 | 0.9592 | 0.9550 | 0.9592 |
| UB/p.u. | 0.9586 | 0.9731 | 0.9583 | 0.9734 | |
| UC/p.u. | 0.9577 | 0.9697 | 0.9575 | 0.9699 | |
| 9 | UA/p.u. | 0.9487 | 0.9530 | 0.9487 | 0.9530 |
| UB/p.u. | 0.9505 | 0.9655 | 0.9502 | 0.9658 | |
| UC/p.u. | 0.9503 | 0.9618 | 0.9500 | 0.9621 | |
| 10 | UA/p.u. | 0.9436 | 0.9484 | 0.9436 | 0.9484 |
| UB/p.u. | 0.9478 | 0.9659 | 0.9475 | 0.9662 | |
| UC/p.u. | 0.9390 | 0.9467 | 0.9387 | 0.9471 | |
| 11 | UA/p.u. | 0.9432 | 0.9501 | 0.9433 | 0.9501 |
| UB/p.u. | 0.9467 | 0.9660 | 0.9463 | 0.9664 | |
| UC/p.u. | 0.9304 | 0.9336 | 0.9300 | 0.9340 | |
| 12 | UA/p.u. | 0.9457 | 0.9540 | 0.9457 | 0.9540 |
| UB/p.u. | 0.9204 | 0.9252 | 0.9199 | 0.9258 | |
| UC/p.u. | 0.9494 | 0.9662 | 0.9492 | 0.9664 | |
| 13 | UA/p.u. | 1.0094 | 1.0116 | 1.0093 | 1.0117 |
| UB/p.u. | 1.0105 | 1.0160 | 1.0103 | 1.0161 | |
| UC/p.u. | 1.0099 | 1.0143 | 1.0098 | 1.0144 | |
| PCH3A/p.u | 0.0671 | 0.1204 | 0.0682 | 0.1193 | |
| PCH4A/p.u | 0.0650 | 0.1225 | 0.0632 | 0.1243 | |
| PCH5A/p.u | 0.0642 | 0.1233 | 0.0651 | 0.1224 | |
| PCH8A/p.u | 0.0686 | 0.1189 | 0.0701 | 0.1174 | |
| PCH9A/p.u | 0.0653 | 0.1222 | 0.0658 | 0.1217 | |
| PCH10A/p.u | 0.0639 | 0.1236 | 0.0628 | 0.1247 | |
| PCH7B/p.u | 0.1658 | 0.3029 | 0.1667 | 0.3021 | |
| PCH12B/p.u | 0.1841 | 0.2846 | 0.1858 | 0.2829 | |
| PCH6C/p.u | 0.1829 | 0.2859 | 0.1845 | 0.2843 | |
| PCH11C/p.u | 0.1676 | 0.3011 | 0.1687 | 0.3000 | |
| J1/p.u. | 6.9322 | 6.9322 | |||
| Calculation time/s | 0.645 | 131 | |||
References
- Tao, S.; Xiao, X.; Peng, C. Active Smart Distribution Network; China Electric Power Press: Beijing, China, 2012. [Google Scholar]
- Richardson, P.; Flynn, D.; Keane, A. Impact assessment of varying penetrations of electric vehicles on low voltage distribution systems. In Proceedings of the IEEE Power and Energy Society General Meeting, Minneapolis, MN, USA, 25–29 July 2010.
- Edwin, H.; Johan, D.; Ronnie, B. Robust planning methodology for integration of stochastic generators in distribution grids. IET Renew. Power Gener. 2007, 1, 25–32. [Google Scholar]
- Singh, M.; Kumar, P.; Kar, I. Implementation of vehicle to grid infrastructure using fuzzy logic controller. IEEE Trans. Smart Grid 2012, 3, 565–577. [Google Scholar] [CrossRef]
- Singh, M.; Thirugnanam, K.; Kumar, P.; Kar, I. Real-time coordination of electric vehicles to support the grid at the distribution substation level. IEEE Syst. J. 2015, 9, 1000–1010. [Google Scholar] [CrossRef]
- Beaude, O.; He, Y.; Hennebel, M. Introducing decentralized EV charging coordination for the voltage regulation. In Proceedings of the 2013 4th IEEE PES Innovative Smart Grid Technologies Europe (ISGT Europe), Copenhagen, Denmark, 6–9 October 2013.
- Deilami, S.; Masoum, A.S.; Moses, P.S.; Masoum, M.A.S. Real time coordination of plug in electric vehicle charging in smart grids to minimize power losses and improve voltage profile. IEEE Trans. Smart Grid 2011, 3, 456–467. [Google Scholar] [CrossRef]
- Masoum, A.S.; Deilami, S.; Moses, P.S.; Abu-Siada, A. Smart load management of plug-in electric vehicles in distribution and residential networks with charging stations for peak shaving and loss minimization considering voltage regulation. IET Gener. Transm. Distrib. 2011, 5, 877–888. [Google Scholar] [CrossRef]
- Li, H.; Bai, X.; Tan, W.; Dong, W.; Li, N. Application of vehicle to grid to the distribution grid. Proc. CSEE 2012, 32, 22–27. [Google Scholar]
- Sun, J.; Wan, Y.; Zheng, P.; Lin, X. Coordinated charging and discharging strategy for electric vehicles based on demand side management. Trans. China Electro-Tech. Soc. 2014, 29, 64–69. [Google Scholar]
- Zhan, K.; Song, Y.; Hu, Z.; Xu, Z.; Jia, L. Coordination of electric vehicle charging to minimize active power losses. Proc. CSEE 2012, 32, 11–18. [Google Scholar]
- Clement-Nyns, K.; Haesen, E.; Driesen, J. The impact of charging plug in hybrid electric vehicles on a residential distribution grid. IEEE Trans. Power Syst. 2010, 25, 371–380. [Google Scholar] [CrossRef]
- Richardson, P.; Flynn, D.; Keane, A. Optimal charging of electric vehicles in low voltage distribution systems. IEEE Trans. Power Syst. 2012, 27, 268–279. [Google Scholar] [CrossRef]
- Richardson, P.; Flynn, D.; Keane, A. Local versus centralized charging strategies for electric vehicles in low voltage distribution systems. IEEE Trans. Smart Grid 2012, 3, 1020–1028. [Google Scholar] [CrossRef]
- Franco, J.F.; Rider, M.J.; Romero, R. A mixed integer linear programming model for the electric vehicle charging coordination problem in unbalanced electrical distribution systems. IEEE Trans. Smart Grid 2015, 6, 2200–2210. [Google Scholar] [CrossRef]
- He, Y.; Venkatesh, B.; Guan, L. Optimal scheduling for charging and discharging of electric vehicles. IEEE Trans. Smart Grid 2012, 3, 1095–1105. [Google Scholar] [CrossRef]
- Hu, J.; You, S.; Lind, M.; Ostergaard, J. Coordinated charging of electric vehicles for congestion prevention in the distribution grid. IEEE Trans. Smart Grid 2014, 5, 703–711. [Google Scholar] [CrossRef]
- Weckx, S.; Driesen, J. Load balancing with EV chargers and PV inverters in unbalanced distribution grids. IEEE Trans. Sustain. Energy 2015, 6, 635–643. [Google Scholar] [CrossRef]
- Sortomme, E.; Hindi, M.M.; James, S.D.; Pherson, M.; Venkata, S.S. Coordinated charging of plug in hybrid electric vehicles to minimize distribution system losses. IEEE Trans. Smart Grid 2011, 2, 198–205. [Google Scholar] [CrossRef]














| Constant Current Load Model | ||||
| Different Method | PM.0 | PM.1 | f.0 | f.1 |
| /p.u. | 0.9687 | 0.9845 | 0.9696 | 0.9836 |
| /p.u. | 0.9544 | 0.9699 | 0.9552 | 0.9691 |
| /p.u. | 0.9550 | 0.9705 | 0.9558 | 0.9697 |
| /p.u. | 0.7734 | 1.1016 | 0.7475 | 1.1275 |
| /p.u. | 1.1442 | 1.4808 | 1.1203 | 1.5047 |
| /p.u. | 1.3281 | 1.6719 | 1.3068 | 1.6932 |
| /p.u. | 15.2264 | 15.2263 | ||
| Constant impedance load model | ||||
| Different method | PM.0 | PM.1 | f.0 | f.1 |
| /p.u. | 0.9634 | 0.9921 | 0.9652 | 0.9902 |
| /p.u. | 0.9500 | 0.9779 | 0.9516 | 0.9761 |
| /p.u. | 0.9502 | 0.9782 | 0.9519 | 0.9765 |
| /p.u. | 0.9827 | 0.8923 | 0.9277 | 0.9473 |
| /p.u. | 1.3460 | 1.2783 | 1.2954 | 1.3296 |
| /p.u. | 1.5262 | 1.4738 | 1.4793 | 1.5207 |
| /p.u. | 14.9703 | 14.9696 | ||
| Constant power load model | ||||
| Different method | PM.0 | PM.1 | f.0 | f.1 |
| /p.u. | 0.9747 | 0.9762 | 0.9748 | 0.9761 |
| /p.u. | 0.9595 | 0.9610 | 0.9596 | 0.9609 |
| /p.u. | 0.9604 | 0.9619 | 0.9605 | 0.9618 |
| /p.u. | 0.5593 | 1.3157 | 0.5569 | 1.3181 |
| /p.u. | 0.9337 | 1.6913 | 0.9312 | 1.6938 |
| /p.u. | 1.1210 | 1.8790 | 1.1184 | 1.8816 |
| /p.u. | 15.5020 | 15.5020 | ||
| Line | L(m) | |||||
|---|---|---|---|---|---|---|
| MV | 1000 | 20.8 | 4 | 10 | 12 | 1000 |
| 1–2 | 190 | 0.0032 | 0.014 | 0.095 | 0.041 | 510 |
| 2–3 | 27.5 | 0.008 | 0.002 | 0.024 | 0.006 | 368 |
| 3–4 | 85 | 0.024 | 0.006 | 0.073 | 0.018 | 368 |
| 4–5 | 97.5 | 0.028 | 0.007 | 0.084 | 0.021 | 368 |
| 5–6 | 154 | 0.062 | 0.011 | 0.185 | 0.033 | 300 |
| 4–7 | 119 | 0.048 | 0.009 | 0.143 | 0.026 | 300 |
| 2–8 | 32.5 | 0.009 | 0.002 | 0.028 | 0.007 | 368 |
| 8–9 | 59 | 0.017 | 0.004 | 0.051 | 0.013 | 368 |
| 9–10 | 106 | 0.030 | 0.008 | 0.091 | 0.023 | 368 |
| 10–11 | 95 | 0.027 | 0.007 | 0.082 | 0.021 | 368 |
| 9–12 | 217 | 0.087 | 0.016 | 0.261 | 0.047 | 368 |
| Different Methods | Different Models | Objective Function | Minimal Voltage | Calculation Time |
|---|---|---|---|---|
| The proposed method | /p.u. | 49.9163 | 0.9002 | 19 s |
| /Yuan | 1039.6 | 0.9000 | 21 s | |
| /Yuan | 31,331.7 | 0.9000 | 22 s | |
| The method in [15] | /p.u. | 49.9266 | 0.9005 | 723 s |
| /Yuan | 1040.9 | 0.9000 | 746 s | |
| /Yuan | 31,331.9 | 0.9000 | 757 s |
© 2016 by the authors; licensee MDPI, Basel, Switzerland. This article is an open access article distributed under the terms and conditions of the Creative Commons Attribution (CC-BY) license (http://creativecommons.org/licenses/by/4.0/).
Share and Cite
Zhang, J.; Cui, M.; Fang, H.; He, Y. Smart Charging of EVs in Residential Distribution Systems Using the Extended Iterative Method. Energies 2016, 9, 985. https://doi.org/10.3390/en9120985
Zhang J, Cui M, Fang H, He Y. Smart Charging of EVs in Residential Distribution Systems Using the Extended Iterative Method. Energies. 2016; 9(12):985. https://doi.org/10.3390/en9120985
Chicago/Turabian StyleZhang, Jian, Mingjian Cui, Hualiang Fang, and Yigang He. 2016. "Smart Charging of EVs in Residential Distribution Systems Using the Extended Iterative Method" Energies 9, no. 12: 985. https://doi.org/10.3390/en9120985
APA StyleZhang, J., Cui, M., Fang, H., & He, Y. (2016). Smart Charging of EVs in Residential Distribution Systems Using the Extended Iterative Method. Energies, 9(12), 985. https://doi.org/10.3390/en9120985

