Next Article in Journal
Energy Analysis of a Student-Designed Solar House
Next Article in Special Issue
A Static Voltage Security Region for Centralized Wind Power Integration—Part I: Concept and Method
Previous Article in Journal / Special Issue
Slotted Blades Savonius Wind Turbine Analysis by CFD
 
 
Font Type:
Arial Georgia Verdana
Font Size:
Aa Aa Aa
Line Spacing:
Column Width:
Background:
Article

Effect of Tower Shadow and Wind Shear in a Wind Farm on AC Tie-Line Power Oscillations of Interconnected Power Systems

1
School of Electrical Engineering, Southwest Jiaotong University, Chengdu 610031, China
2
Department of Energy Technology, Aalborg University, Pontoppidanstraede 101, Aalborg DK-9220, Denmark
*
Author to whom correspondence should be addressed.
Energies 2013, 6(12), 6352-6372; https://doi.org/10.3390/en6126352
Submission received: 4 November 2013 / Revised: 27 November 2013 / Accepted: 28 November 2013 / Published: 4 December 2013
(This article belongs to the Special Issue Wind Turbines 2014)

Abstract

:
This paper describes a frequency domain approach for evaluating the impact of tower shadow and wind shear effects (TSWS) on tie-line power oscillations. A simplified frequency domain model of an interconnected power system with a wind farm is developed. The transfer function, which relates the tie-line power variation to the mechanical power variation of a wind turbine, and the expression of the maximum magnitude of tie-line power oscillations are derived to identify the resonant condition and evaluate the potential risk. The effects of the parameters on the resonant magnitude of the tie-line power are also discussed. The frequency domain analysis reveals that TSWS can excite large tie-line power oscillations if the frequency of TSWS approaches the tie-line resonant frequency, especially in the case that the wind farm is integrated into a relatively small grid and the tie-line of the interconnected system is weak. Furthermore, the results of the theoretical analysis are validated through time domain simulations conducted in the two-area four-generator system and the Western Electric Coordinating Council 127 bus system.

1. Introduction

The modern power system is experiencing an unprecedented evolution. On the one hand, large-scale interconnected power systems have emerged in some countries. On the other hand, the installed renewable energy capacity, especially the wind power, has been increasing rapidly to satisfy the growing power demand and the desire for sustainable development.
With the interconnection of large regional grids, tie-line power oscillations happen more frequently than before, which can limit the transmission capacity or even jeopardize the system stability. For instance, in Finland-Sweden-Norway-Denmark system and Western Electric Coordinating Council system (WECC), tie-line power oscillations have resulted in the separation of the interconnected system on some occasions [1]. Normally, tie-line power oscillations are associated with inter-area oscillations which involve two coherent groups of generators swinging against each other. This type of oscillation corresponds to a low frequency oscillation which frequency is in the range of 0.1–2.5 Hz [2].
Previous work has pointed out that cyclic external disturbances can result in a significant response in power systems, when their fundamental frequency is close to the low-frequency oscillation mode (including inter-area mode) of the system [3,4]. These kinds of oscillations are termed forced oscillations. In the past, the forced oscillations didn’t arouse much attention, as they showed little impact on power system stability. However, in recent years, forced oscillation accidents induced by small hydro plants have happened several times in the China Southern Power Grid, which is a typical interconnected grid with low damping inter-area modes [5]. Hence, attention to forced oscillations has been renewed.
Wind power variations can also be considered as an external disturbance to power systems. Power variations produced by wind turbines during continuous operation are mainly caused by wind speed variations, tower shadow effects, wind shear effects, etc. The effects of tower shadow and wind shear (TSWS) produce a periodic reduction in mechanical torque at a frequency called the 3p frequency [6]. The 3p frequency range, due to rotational sampling as each blade passes the tower, tends to coincide with the frequency range associated with inter-area oscillations, so the power variations induced by TSWS might be a source of forced oscillations that can excite system resonance.
The TSWS are referred to as 3p oscillations. The 3p oscillations once aroused great attention from the power quality point of view, as researchers have found that 3p oscillations are one of the main contributors to flicker emissions produced by wind farms. Compared with fixed-speed wind turbines, variable-speed wind turbines have shown better performance in flicker emission [7]. Subsequently, several active or reactive power control methods have been proposed to eliminate flicker, especially for variable-speed wind farms [7,8,9]. However, the effects of power variations due to TSWS are not taken into account in the assessments of power system stability assuming that the mechanical torque for the wind turbine is constant [10]. That is to say, comprehensive understanding of the adverse effects of 3p oscillation is still limited, and it is necessary to reevaluate this phenomenon.
Recently, the power system oscillations induced by TSWS have been discussed. Brownlees et al. [11] have investigated the impact of TSWS from fixed-speed wind farm power oscillations on the Irish Power System based on recorded data analysis. Hu et al. [12] have simulated that the TSWS of a wind farm can induce tie-line power oscillations. However, the above results are preliminary and cannot readily offer qualitative conclusions, so the underlying mechanism needs to be studied further. Besides, it is also important to quantify the magnitude of tie-line power oscillations induced by 3p oscillations and to study the qualitative effects of parameters.
With the aim of evaluating the impact of TSWS on tie-line power oscillations, this paper addresses the issue of integration of a large-scale wind farm into interconnected power systems. In Section 2, Section 3, Section 4, the transfer functions of a wind farm, a simplified two-zone system and a combined system are developed, respectively. Frequency domain analysis is used to identify potentially amplified-response conditions, the worst case and qualitative parametric effects. In Section 5 and Section 6, time-domain simulations are subsequently applied in the two-area four-generator test system and the more realistic WECC 127 bus system to accurately quantify the effect in the worst case. A new horizon is provided to see how and when the TSWS affect power systems stability.

2. Disturbance Source Modeling

Wind turbine models for power system studies have been widely discussed. The fixed-speed wind turbine models mainly include the aerodynamics model, the shaft model, the generator model and pitch control. With the development of wind turbines, the technology has switched from fixed to variable speed. The variable-speed wind turbine models include more models like the converters model and their controller model.
Since the phenomenon of inter-area oscillations is the topic of interest, a simplified wind turbine and system models in the frequency domain are proposed, which only consider the dynamic model in the low frequency oscillations range. However, the complete models of the wind turbine and power systems are adopted in the simulation study to verify the results.

2.1. Aerodynamics Model

Because the electrical behavior of wind turbines is the main topic of interest of the study, a simplified aerodynamic model [13] is used as follows:
Energies 06 06352 i001
where Tm is the mechanical torque, ρ is the air density, R is the wind turbine rotor radius, Veq is the equivalent wind speed, Cp is the aerodynamic efficiency of rotor, λ is the tip speed ratio and θ is the pitch angle of the rotor.
Most studies concerning the stability of power systems with integrated wind power generally neglect the 3p oscillations. Here, a comprehensive model of 3p mechanical torque for a three-blade wind turbine [6] is adopted. Based on this model, the equivalent wind speed can be expressed by three components, as follows:
Energies 06 06352 i002
where VH is the wind speed at hub height, Veqws is the wind shear component, Veqts is the tower shadow component. The latter two components can be represented as:
Energies 06 06352 i003
Energies 06 06352 i004
where α is the empirical wind shear exponent, H is the elevation of rotor hub (m), β is the azimuthal angle of the blade (deg), βb is the azimuthal angle of each blade (deg), a is the tower radius (m), x is the distance from the blade origin to the tower midline (m), and m = 1 + [α(α− 1)]/8 × (R/H)2 is a coefficient of the wind turbine.
Linearizing Equation (1) and substituting for Veq given by Equation (2), it indicates that mechanical torque variations induced by TSWS are also periodic and the magnitude of 3p oscillations varies with different mechanical and operation parameters of wind turbines.
The 3p frequency (f3p) is three times of rotor frequency. For different fixed-speed wind turbines, typically, f3p can be in the range of 0.65 Hz to 1.5 Hz, which is calculated from some typical parameters provided by Siemens and Vestas (Aarhus, Denmark) [11,13], and the magnitude of 3p oscillations power is about 10% of the average power output.
For a variable-speed wind turbine, the f3p of the popular variable-speed wind turbines varies from 0.25 to 0.9 Hz which is calculated from some typical parameters provided by General Electric Co. (GE, Fairfield, CT, USA) and Siemens Wind Power A/S (Brande, Denmark) [13,14]. Taking a GE 2.7 MW variable-speed wind turbine and Siemens 1.3 MW fixed-speed wind turbine as examples, we plot the 3p frequency under different wind speeds, as shown in Figure 1.
Figure 1. 3p Frequency with two types of wind turbine.
Figure 1. 3p Frequency with two types of wind turbine.
Energies 06 06352 g001
Figure 1 shows that the f3p is in the range of interest of low frequency oscillations. This fixed-speed wind turbine has two 3p frequencies for a switch between the two windings and it is easy to form a sustainable oscillations source. When a variable-speed wind turbine operates at its maximum power point tracking (MPPT) range, the f3p is proportional to the wind speed, while the wind speed is above the rated wind speed, the f3p is constant. When the variable-speed wind turbine operates around a fixed wind speed or at mid-high wind speed, the variable-speed wind turbine can also form a forced oscillations source.

2.2. Shaft Model

The wind turbine system has a low resonant frequency due to the softness of the low speed shaft. Thus the dynamics of the shaft model need to be taken into account. The two-mass model representation of the shaft is proper to illustrate the dynamic impact of wind turbines on low frequency oscillations in grids. The linearized form of the shaft two-mass model [13] is:
Energies 06 06352 i005
where Pe is the electric power of the generator, Pm is the mechanical power produced by rotating wind turbine, ω1, ω2 are the speeds of the wind turbine and the generator rotor, ω0 is the rated grid speed, θ is the twist angle in the shaft system, K12 is the shaft stiffness, D12 is the damping coefficient between wind turbine and generator, HW and HG are inertia constants of the wind turbine and generator, the prefix Δ denotes a small deviation.
By taking the Laplace transform of Equation (5), the equations can be written in the frequency domain with the initial conditions of state variable deviations assumed to be zero as:
{ 2 H w s Δ ω 1 ( s ) = Δ P m ( s ) K 12 Δ θ ( s ) D 12 [ Δ ω 1 ( s ) Δ ω 2 ( s ) ] 2 H G s Δ ω 2 ( s ) = K 12 Δ θ ( s ) + D 12 [ Δ ω 1 ( s ) Δ ω 2 ( s ) ] Δ P e ( s ) s Δ θ ( s ) = ω 0 [ Δ ω 1 ( s ) Δ ω 2 ( s ) ]
Since the wind turbine is operating in the speed control mode, Δω2 can be assumed to be zero. The response of electrical power can be derived from Equation (6), as follows:
Energies 06 06352 i006

2.3. Generator Model, Converter Model and Control Strategies

For convenience, a variable-speed wind turbine based on a multi-pole permanent magnet synchronous generator (PMSG) [15] is applied here as an example. We should note that in this study the PMSG only adopts basic control without ancillary controllers to eliminate the 3p oscillations. Neglecting the stator transient, the equations of a PMSG can be expressed by a set of algebraic equations [2].
For the converters, the switch frequency of the power electronic components far exceeds the frequency band of interest, so an average model is used without considering switch dynamics [16].
Normally, variable-speed wind turbines have two control goals, depending on the wind speed. At low-moderate wind speeds, the rotor speed can be adjusted with the wind speed so that the optimal tip speed ratio is maintained for maximum power point tracking (speed control mode). At high wind speeds, the wind turbine maintains the rated output power by adjusting the pitch angle and keeping the rotor speed constant (power limitation mode). The vector-control is used to realize the decoupled control of active power and reactive power. The control strategies used in this study are based on the idea [15] that the generator-side converter controls the rotor speed to maintain the optimal tip speed ratio and minimize the power losses in the generator, while the grid-side converter control DC-link voltage constant and reactive power flow to the grid. More details on the controller model are given by Chinchilla et al. [15]. In the time scale of electromechanical dynamic, the power loss of power electronic converter can be ignored. Hence, the output power fluctuation of a wind turbine ΔPWT approximately equals to ΔPe.

2.4. Wind Farm Model

The fluctuation power of a wind farm which consists of N wind turbines can be expressed as:
Energies 06 06352 i007
where α1 is the TSWS weaken factor (0 < α1 < 1), i is the number of wind turbines, and ΔPmN is the sum of the mechanical power fluctuation of N wind turbines.
Normally, for every wind turbine in a wind farm, the time of a blade passing by the tower is stochastic. The power drop time depends on not only the rotor speed, but also the initial phase. This means that a wind farm’s power fluctuation induced by TSWS will be weakened due to the random blade position. When α1 = 0, it represents that the TSWS can be totally cancelled out if the turbines could be controlled to distribute the rotor angle evenly. When α1 = 1, it represents that the blades are synchronized and the blades are passing by the tower at the same time, thus the superposition of the 3p oscillations will cause the maximum power fluctuation (NΔPWT). It should be noted that, the case of α1 = 1 is not expected to represent a typical operation but rather to be a representative of “the worst case”. Since we try to figure out the worst impact of the TSWS on power systems, we choose the case of α1 = 1 for the following study. With per unit expression, ΔPmN = ΔPm, then the transfer function representing the relationship between mechanical power fluctuation and output power fluctuation of the wind farm can be expressed as:
Energies 06 06352 i008
According to Equation (9), the frequency characteristic of the wind turbine system shows that the wind turbine acts like a low pass filter and when the mechanical power disturbance is constant, the wind power variation of a wind farm is linear to the TSWS weaken factor α1. Based on some typical parameters of a wind turbine [13], the natural resonant frequency of the wind turbine (f1n) is in the range of 0.11 to 0.82 Hz which means that the 3p oscillations are likely to be amplified in the wind turbine. Besides, it is notable that the operation point of the wind turbine has no effect on its natural frequency.

3. Tie-Line Power Oscillations Induced by a Wind Farm

3.1. Modeling of Tie-Line Power Oscillations

For a typical two-area interconnected power system, the closely coupled generators in each zone can be equivalent to one generator. Therefore, in order to focus on how power variations of a wind farm affect the tie-line power, a simple two-machine system with a wind farm is constructed. The configuration is shown in Figure 2. The system consists of two similar generators (Gen 1 and Gen 2) and a wind turbine which is connected to Bus 1. Analysis of a system with such a simple configuration is useful in understanding the fundamental of tie-line power oscillations and studying the parametric effects.
Figure 2. A two-machine system with a wind farm.
Figure 2. A two-machine system with a wind farm.
Energies 06 06352 g002
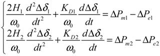
With the synchronous generator represented by a classical model [2], the linearized swing equations of Gen1 and Gen2 are given by:
Energies 06 06352 i009
where H1, H2, δ1, δ2, KD1, KD2 are the inertia constants, the rotor angles, the damping coefficients of Gen1 and Gen2, respectively; Pm1, Pm2, Pe1, Pe2 are the mechanical power and the electrical power of Gen1 and Gen2.
According to the power conservation principle with assuming the tie-line is lossless, we obtain:
Energies 06 06352 i010
where PWF, Pline, PL are the active power of the wind farm, the tie-line and the load.
Here ΔPline can be expressed as:
Energies 06 06352 i011
where x12 is the reactance of the tie-line, δ120 and Δδ12 are the initial angle difference and the angle difference deviation between Gen1 and Gen 2. U1 and U2 are the terminal voltages.
Assuming that ΔPm1 = ΔPm2 = 0, ΔPL = 0, for convenience, the model adopts equivalent damping [17], by defining KD1/2H1 = KD2/2H2 = KD. Combining Equation (11) with Equation (10) and substituting for Δδ12 by Equation (12) and we have:
Energies 06 06352 i012
where Energies 06 06352 i013.
By defining Energies 06 06352 i014, which can be treated as the contribution factor of the wind farm power variations, and taking the Laplace transform of Equation (13), the transfer function representing the relationship between the wind farm power variations and the tie-line power oscillations can be expressed as:
Energies 06 06352 i015
According to Equation (14), the frequency response characteristic is not only dependent on the system parameters, but also the initial operation point which is associated with δ120, U1 and U2. In general, system natural frequency (f2n) is in the low frequency oscillation range of 0.1 to 2.5 Hz in interconnected systems.

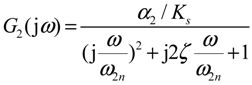
3.2. Frequency Response Analysis

Frequency response characteristic illustrates the severity of the disturbance under different frequencies. A numerical example based on typical parameters [2] is used to demonstrate the tie-line frequency response characteristic. The values of the system parameters are as follows: H1 = 6.5 s, H2 = 6.175 s, KD1 = 5, U1 = U2 = 1.01 p.u., δ120 = 0.4 rad, x12 = 1 p.u. Based on above parameters, the amplitude-frequency response characteristic of G2(jω) is plotted in Figure 3.
Figure 3. Amplitude-frequency response characteristic of G2(jω).
Figure 3. Amplitude-frequency response characteristic of G2(jω).
Energies 06 06352 g003
When f3p ∈ [A,B], |G2(jω)| < 1. Namely, the tie-line power oscillation is less than the power fluctuation of a wind farm (A: |G2(jω)| = 0.51, B: |G2(jω)| = 1), which means that the synchronous generators dampen the disturbance of the wind farm in AB. When f3p ∈ [D,∞), |G2(jω)| < 1 and attenuates very fast, which means that the two-machine system acts as a low-pass filter and thus the high-frequency disturbance from a wind farm has little effect on the tie-line power (D: |G2(jω)| = 1). When f3p ∈ (B,D), |G2(jω)| ≥ 1. Namely, the amplitude of the tie-line power oscillation is larger than the power fluctuation of a wind farm. Especially, when f3p closes to the system natural frequency f2n (C: |G2(jω)|max = 8.71, f2n = 1.09 Hz), the tie-line power oscillations will be sharply amplified, which is caused by resonance.

3.3. The Expression of the Peak Magnitude

The occurrence of resonance is a severe disturbance to power systems. Therefore, it is essential to evaluate the peak magnitude of the tie-line power resonance. Define the damping ratio Energies 06 06352 i016 and let ω2n = 2πf2n = Energies 06 06352 i017, thus G2(s) can be rewritten as a standard form as follows:
Energies 06 06352 i018
Let the derivative of Equation (15) with respect to ω/ω2n equal to be zero and the expression of the system resonant frequency ωr is:
Energies 06 06352 i019
Normally, the typical damping ratio of inter-area mode in power systems is close to zero [2], so ωr is close to ω2n according to Equation (16). Consequently, when f3p approaches the system natural frequency f2n, the resonant peak magnitude of the tie-line power oscillations is given by:
Energies 06 06352 i020

3.4. Parametric Analysis

Equation (17) illustrates that the resonant magnitude of the tie-line power oscillation is dependent on three factors: the disturbance magnitude of the wind farm (ΔPWF), the inertia constant ratio of two-area systems (H1/H2) and the system damping ratio (ζ). As ΔPWF increases, or H1/H2 deceases, or ζ decreases, the peak magnitude of the tie-line power oscillations increases. H1/H2 > 1 means that the wind farm connects to a relatively big grid, H1/H2 < 1 means that the wind farm connects to a relatively small grid and H1 = H2 means that the wind farm connects to a grid with two identical areas.
As shown in Table 1, the numerical examples are given to calculate |G2(jω)|max with three different inertia constant ratios, i.e., 1/25, 1/1, and 25/1, denoted by Case 1 Case2 and Case3. In each case, there are three damping ratios, i.e., 0.3, 0.05 and 0.01, corresponding to the good, medium and poor damping, respectively.
Table 1. |G2(jω)|max with different inertia constant ratios and damping ratios.
Table 1. |G2(jω)|max with different inertia constant ratios and damping ratios.
CaseH1/H2|G2(jω)|max
ζ = 0.3ζ = 0.05ζ = 0.01
11/251.609.6248.08
21/10.83525
325/10.060.381.92
Table 1 shows that with “big” grid connections (e.g., Case 3) the wind farm has limited influence on the tie-line power fluctuations. When the resonance happens in a medium damping system (ζ = 0.05), the tie-line power oscillations induced by TSWS can be neglected since |ΔPline| is less than half of |ΔPWF|.
However, when the wind farm is integrated into a “small” grid (e.g., Case 1), even with a good damping system (ζ = 0.3), |ΔPline| is 1.6 times higher than |ΔPWF|. Furthermore, with a poor damping of the tie-line mode, |ΔPline| is 48.08 times higher than |ΔPWF|. Thus attention must be paid to the risk of the tie-line power oscillations.
In some countries, such as China, the wind sources may be far away from the load centers. Because it is hard to accommodate all the wind power in the local grid, the residual wind power has to be transferred to a distant load center through long transmission lines, e.g., the wind power in Gansu Jiuquan is a practical case [18]. This is similar with Case1. Thus the risk of the tie-line power oscillations induced by TSWS is worthy of discussion.

4. Combination of the Wind Turbine System and Power Systems

According to Figure 2, the tie-line power oscillations induced by 3p oscillations can be described by the form of two subsystems series in Figure 4. The overall frequency response of the cascade of two subsystems is the product of the individual frequency response.
Figure 4. Block diagram of the series interconnection of the two subsystems.
Figure 4. Block diagram of the series interconnection of the two subsystems.
Energies 06 06352 g004
Combining Equation (9) with Equation (14), the transfer function of representing the relationship between ΔPm and ΔPline can be expressed as:
Energies 06 06352 i021
For analyzing the combined impact of these two subsystems, two sets of typical parameters are used in the following example. For the wind turbine system, Hw = 4.54 s, K12 = 0.5 p.u./el.rad, D12 = 7.5 p.u./el.rad. For the two-machine system, the values of the parameters are the same as those in Section 3.2. For power systems, G1(s) is normally fixed due to the unchangeable mechanical characteristics of the wind turbine, whereas G2(s) continuously changes with different system operation conditions or power flows.
The amplitude-frequency characteristics of G1(jω), G2(jω) and G3(jω) are calculated based on the aforementioned parameters, as shown in Figure 5, where the two panels correspond to two different cases: (A) G1(jω) and G2(jω) have different natural frequencies, i.e., f1nf2n, (B) G1(jω) and G2(jω) have equal natural frequencies, i.e., f1nf2n. Figures 5A,B has same G1(jω), but different G2(jω) by changing the reactance of the tie-line. In the plots, each peak is an indication of a resonant frequency in systems. A relatively large response can be achieved, when f3p approaches the resonant frequency (f1n or f2n).
Figure 5. Amplitude-frequency characteristic of G1(s), G2(s) and G3(s). (A) f1nf2n; (B) f1nf2n.
Figure 5. Amplitude-frequency characteristic of G1(s), G2(s) and G3(s). (A) f1nf2n; (B) f1nf2n.
Energies 06 06352 g005
Figure 5A illustrates that when the wind turbine systems are integrated into a two-machine system, another new peak is created in the low frequency range (f1n = 0.66 Hz), which was not reported in previous studies. Because the natural frequency of the soft shaft of the wind turbine is within the low frequency oscillation range and thus it may be able to interact with the electromechanical performance of power systems. The plot of |G3(jω)| shows that the amplified frequency range is from 0.44 to 1.21 Hz (B’D’) which is hardly obtained from eigenvalue analysis. Two peaks appear at f1n = 0.66 Hz, f2n = 1.09 Hz, respectively. Due to the interaction of G1(jω) and G2(jω), |G3(jω)|max equals to 5.3 which is less than any peak of G1(jω) and G2(jω).
Figure 5B indicates that |G3(jω)| only has one peak when f2n approaches f1n (0.66 Hz). The amplified magnitude is the production of the amplifications of two subsystems. |G3(jω)|max equals to 26.6, which is much larger than the peak magnitude of any subsystem. That means the most serious situation may arise in interconnected systems, especially when the system natural oscillation frequency (f2n) approaches the newly created peak (f1n). The amplified frequency range is from 0.36 to 0.85 Hz (B’’D’’). Compared with Figure 5A, |G3(jω)| increases more sharply, though the amplified frequency range reduces slightly.
Moreover, the f3p has a large chance to appear in the amplified range. Taking the typical parameters in Section 2.4 as examples, the range of f3p is about 0.25–0.90 Hz. This means that when the wind turbine operates at middle or high wind speed, |G3(jω)| is larger than 1. Especially when the wind speed is over the rated wind speed, f3p will be fixed that increases the opportunities to be a continuous periodic source. Nowadays, with the development of low-speed large-capacity wind turbine technology, the maximum rotor speed of a wind turbine becomes lower and lower. This trend will increase the risk of resonance.
The theoretical analysis above is based on a simplified two-machine system. The prediction of this model is pessimistic, since the transfer function given by Equation (18) ignores excitation control and other controllers which may affect the system damping. For a multi-machine system, the damping factors and the electrical components are more complicated and coupled. However, the above frequency domain analysis, which gives more details than eigenvalue analysis, is still useful for understanding the principle and analyzing influence factors qualitatively. The general conclusions drawn from the theoretical work will be confirmed by a test system and a more realistic large system.

5. Case I: Modified Two-Area Four-Generator System

5.1. System Description

The modified test system is realized by adding an aggregated PMSG-based wind farm to the two-area system four-generator which is widely used to study the fundamental of inter-area oscillations [19]. The structure of the system is shown in Figure 6.
Figure 6. A modified two-area four-generator system with a PMSG-based wind farm.
Figure 6. A modified two-area four-generator system with a PMSG-based wind farm.
Energies 06 06352 g006
The base system consists of two similar areas connected through a tie-line. Each area consists of two synchronous generating units, having a rating of 900 MW. The synchronous generator model includes the excitation system and the governor but no power system stabilizer. The loads are represented as constant impedance loads at Bus 7 and Bus 9. The parameters of generators, lines and load are given in the Appendix, and more details can be found in Kundur’s book [2]. The wind farm, which consists of 100 wind turbines (each with a capacity of 2 MW), connects to Bus 6. The wind turbine model consists of the aerodynamic model considering TSWS, the two-mass shaft model, the PMSG, the converter model and the control systems. The parameters of wind turbines are given in appendix [16]. All above simulation models are developed in a power system analysis tool PSCAD/EMTDC. The system operates with Area 1 exporting 400 MW to Area 2.
In order to get the inter-area modes, a small disturbance is imposed to excite the inter-area oscillations and the time-domain response of tie-line power is recorded. The total least square estimation of signal parameters via rotational invariance techniques (TLS-ESPRIT) method [20], which is a signal processing method of proving efficient and good noise immunity in mode identification, is used to identify the dominant inter-area mode. In addition, the parameters of the original system is adjusted to make the frequency of the inter-area mode (f2n) approaching the wind turbine natural oscillation frequency (f1n = 0.66 Hz) thus to simulate the worst case.

5.2. Simulation Results

5.2.1. Effects of the Wind Speed

The wind generator frequently changes its operating points as the wind speed fluctuates. The operation point of a wind turbine is an important factor to decide f3p and |ΔPm|. To test the effect of the 3p oscillations on the tie-line power oscillations at different wind speeds, fourteen operating conditions, including wind speeds from 5 m/s to 11.5 m/s with a 0.5 m/s step, are considered. The Fast Fourier Transform (FFT) method is used to analyze their spectrums. Figure 7A shows the plots of the tie-line power oscillations as a function of time for three wind speeds: 7.5, 8.5 and 9.5 m/s. Figure 7B shows their corresponding spectrum analysis.
Figure 7. Tie-line power oscillations and spectrum analysis with three wind speeds: (A) Variation of the tie-line active power; (B) Spectrum analysis.
Figure 7. Tie-line power oscillations and spectrum analysis with three wind speeds: (A) Variation of the tie-line active power; (B) Spectrum analysis.
Energies 06 06352 g007
Figure 7A shows that the magnitude of tie-line power oscillations at wind speed 8.5 m/s is much greater than the other two wind speeds. The magnitude of tie-line power oscillations reaches 100 MW (nearly 25% of the transmission rated capacity), which increases the risk of power system operation. Figure 7B shows that when the wind speeds equal 7.5, 8.5 and 9.5 m/s, f3p are 0.58, 0.66 and 0.73 Hz, respectively. That means the large tie-line power oscillation is caused by the resonance when f3p closes to 0.66 Hz (f2n).
To illuminate the impact of different operation points on tie-line power oscillations quantitatively, three amplification factors are defined as follows: β1 = |ΔPWF|/|ΔPm|, β2 = |ΔPline|/|ΔPWF|, β3 = |ΔPline|/|ΔPm|. With measuring f3p, |ΔPm|, |ΔPWF| and |ΔPline|, respectively, and a set of f3p and amplification factors with different wind speeds can be calculated. Figure 8 illustrates 3p frequency (Figure 8A) and amplification factors β1, β2 and β3 (Figure 8B) as a function of wind speed.
As shown in Figure 8A, when wind turbines operate in the maximum power point tracking range (5–10 m/s), f3p increases with the increase of the wind speed; when the rotor speed reaches the maximum value (10–11.5 m/s), f3p keeps constant. When wind speed equals to 8.5 m/s, f3p is 0.66 Hz which closes to f2n and f1n.
Figure 8B indicates that 2 < β1 < 5 in the overall tested wind speed range, where the soft shaft can amplify the mechanical power fluctuation. Differently, β2 > 1 only when the wind speed is in the range of 7–9 m/s, and β2 < 1 in the rest of the wind speed range. Similarly, β3 > 1 when the wind speed is in the range of 5.5 to 10 m/s. Especially, when wind speed equals to 8.5 m/s, β3 equals to 25, which means that the original mechanical variations has been amplified for 25 times. The simulation results agree with the theoretical analysis in Figure 5B.
Figure 8. f3p (A) and amplification factors (B) as a function of wind speeds.
Figure 8. f3p (A) and amplification factors (B) as a function of wind speeds.
Energies 06 06352 g008
The above simulations relay on the premise that the TSWS weaken factor α1 = 1. According to Equation (18), the magnitude of tie-line power oscillations is also linear to α1. This means that even when α1 = 0.5 or 0.2, the magnitude of tie-line power oscillations will be 50 or 20 MW, approximately, when the wind speed is equal to 8.5 m/s. Thus this phenomenon should still be noticed in power systems, since it will reduce the transmission capacity and harm the system operation.

5.2.2. Effects of System Parameters

To validate the predication of qualitative parametric analysis in Section 3.4, different system inertia ratios, wind farm penetration capacities and tie-line impedances are adopted in the simulations. Figure 9 shows the results under the resonant conditions.

(A) Effect of the Integrated System Inertia

The nature characteristic of an AC system and the associated problems are highly dependent on the inertia of the AC system. The time domain simulations were carried out to validate the impact of the integrated system inertia on tie-line power oscillations. Four conditions are considered in these tests: keep the inertia of the sending system connected with a wind farm as H1 = 5.25 and changing the receiving system inertia as H2 = 2.925, 4.925, 8.925 and 14.925, respectively. According to Section 3.3, f2n changes with the H2. In these tests, keep the tie-line power flow and variations of the wind farm output power unchanged, and set the disturbance frequency f3p approaching f2n.
Figure 9A shows that the resonant frequency is highest for H2 = 2.925 and lowest for H2 = 14.925 and the magnitude is highest for H2 = 14.925 and lowest for H2 = 2.925. The curves illuminate that while inertia ratio H1/H2 decreases, f2n decreases and the magnitude of tie-line power oscillations increases. The above analysis implies that when the wind farm connects to a subsystem with a relatively low inertia, the variations of wind farm output power may increase the risk of the tie-line power oscillations and when the wind farm connects to a subsystem with a relatively high inertia, the fluctuation of wind farm output power has a less contribution to tie-line power oscillations, even in a resonant case. These results are well consistent with the findings in Section 3.4.
Figure 9. Tie-line power oscillations with (A) different inertias of integrated subsystem; (B) different capacities of wind farm; (C) different tie-line lengths.
Figure 9. Tie-line power oscillations with (A) different inertias of integrated subsystem; (B) different capacities of wind farm; (C) different tie-line lengths.
Energies 06 06352 g009

(B) Effect of Wind Power Penetration Capacity

Three cases are investigated by adjusting the penetration capacities of the wind farm to 200, 100 and 20 MW, respectively, and supposing the wind speed equals 8.5 m/s. For all cases, active power productions are shifted between only G2 and the wind farm and thus the power flow in the tie-line remains unchanged.
Figure 9B shows that the magnitude is highest for 200 MW, lowest for 20 MW and f2n remains the same. This can be explained by Equation (17), whereby as the capacity of a wind farm increases, the variations of wind power output increase and thus the magnitude of tie-line power oscillations increase. Equation (14) implies that the resonant frequency is the same for the tie-line power flow and system structure are unchanged.

(C) Effect of Tie-Line Impedance

The tie-line impedance can be varied by the length of the transmission line or changing the number of the tie circuits in service. Normally, the tie-line can be considered relatively “weak” as the length of the line increase or the number of the tie circuit decreases. To test the effect of tie-line impedance on tie-line power oscillations, the length of tie-line is adjusted to 110, 165 and 220 km, while keeping the tie-line power flow and the magnitudes of wind farm output variations unchanged.
Figure 9C shows that the resonant frequency is highest for 110 km and lowest for 220 km and the magnitude is highest for 220 km and lowest for 110 km. This can be explained by Equation (17) whereby as the tie-line length increases, the line impedance increases and the system damping decreases, so the resonant frequency f2n decreases and the maximum magnitude of tie-line power oscillations increases. For the same reason, if the tie circuits in service are reduced, the impedance increases, and it will increase the risk of the tie-line power oscillations. The above simulations validate the theoretical analysis in Section 4.

6. Case II: WECC Interconnected System

Inter-area oscillations in a large realistic system are very complex. In this Section, the impacts of TSWS on tie-line power oscillations are tested in the WECC 127 bus system.

6.1. System Description

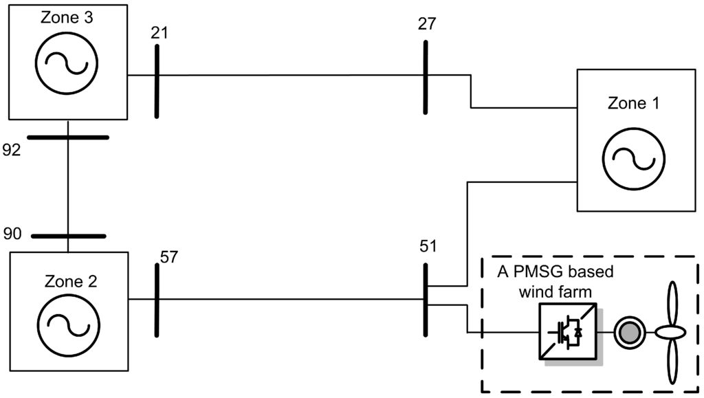
It is well known that the WECC system is prone to lightly dampened low frequency inter-area oscillations and some oscillations eventually contributed to the August 10, 1996 Western blackout [21]. The one line diagram and the geographical topology of the WECC system are depicted by Huang [22]. A schematic diagram is shown in Figure 10.
The WECC 127 bus system consists of 127 buses, 37 generators and 211 transmission lines. All the generators are represented by detailed synchronous generator models, and equipped with speed governors and exciters. The constant power load model is used. More detailed system data about WECC 127 bus system can be found in Huang’s dissertation [22]. The full system model is implemented in the commercial power system analysis software (dynamic security assessment software, DSATools).
Figure 10. Schematic diagram of the WECC power system.
Figure 10. Schematic diagram of the WECC power system.
Energies 06 06352 g010
The system state matrix of the WECC system is formed by linearizing the system around an operating point, and the eigensolution of the state matrix contains information about all the oscillatory modes. There is an inter-area oscillation mode in which the western zone (Zone2) oscillates against the eastern zone (Zone1) with a frequency at 0.58 Hz (f2n), so the tie-line which connects Zone 1 and Zone 2 (Bus 51 to Bus 57) is chosen. In order to test the potential largish effect of 3p oscillations on tie-power power oscillations, a PMSG-based wind farm with capacity of 500 MW is connected at Bus 51.

6.2. Simulation

The effects of TSWS on tie-line power oscillations at different wind speeds have been tested. Fourteen operating conditions, including wind speeds ranging from 5 to 11.5 m/s with 0.5 m/s steps, are considered. Figure 11 shows the plots of the tie-line power oscillations for four wind speeds: 5, 8 10 and 11.5 m/s.
Figure 11A shows that the magnitude of tie-line power oscillations is highest with a wind speed of 8 m/s and lowest with a wind speed at 5 m/s. The magnitude of tie-line power oscillations reaches nearly 30 MW with a wind speed at 8 m/s. Power systems operators should pay special attention to this phenomenon.
Furthermore, the amplification factors β3 are used again to evaluate the impact of different operation points on tie-line power. The amplification factors at different wind speeds can be calculated by measuring |ΔPm| and |ΔPline|. This case has two different natural frequencies f1n (0.66 Hz) and f2n (0.58 Hz) which is similar to Figure 5A. Figure 11B shows that, the tie-line power oscillations amplify the original mechanical power oscillations in the full range of operation points. When the wind speed equals to 8 m/s, the severest disturbance response appears in the tie-line. The tie-line power oscillations are amplified nearly four times. The maximum amplification happens at a frequency of 0.62 Hz, which is neither at f1n nor f2n. This could be explained that while f1n is not equal to f2n, the amplified factor of the tie-line power oscillation is a compound of two amplified factors of the subsystems. The above simulations for the selected cases can not only verify the result of frequency domain analysis, but also more accurately quantified the tie-line power oscillations by accounting for the system nonlinearities and harmonic frequency component.
Figure 11. Response of tie-line power and amplification with different wind speeds.
Figure 11. Response of tie-line power and amplification with different wind speeds.
Energies 06 06352 g011

7. Conclusions

Special insight into the investigation of tie-line power oscillations induced by TSWS of a wind farm has been provided through frequency domain analysis which can provide information about the following three aspects: (1) the crucial frequency range where the disturbance will be amplified; (2) the expression of the maximum magnitude of tie-line power oscillations for assessing the worst situation; (3) qualitative parametric influence on the resonant magnitude of the tie-line power. On the other hand, time domain simulations have been conducted in the two-area four-generator system and the Western Electric Coordinating Council 127 bus system to validate the theoretical analysis. The results show that:
(a)
The wind turbine system can be a source of forced oscillations to excite the low frequency oscillations in power systems, since the fundamental frequency of TSWS (f3p) is typically in a range of 0.25 to 1.5 Hz. Particularly when the variable-speed wind turbine operates at medium-high wind speed, the resonance is more likely to happen.
(b)
The TSWS of the wind farms can produce significant power oscillations in the tie-line of the interconnected systems, when the f3p approaches the frequency of an inter-area mode.
(c)
The soft shaft of the wind turbine can create a new peak which may also match inter-area mode and thereby cause highly amplified power oscillations in the tie-line. (e.g., in two-area four-generator system, the tie-line could suffer continuous power oscillations as large as 25 times the original mechanical power disturbance.)
(d)
When the wind farm is connected to a small subsystem (low inertia) which transfers the power to a big subsystem (high inertia) through a relatively weak tie-line, the magnitude of the tie-line power resonance may increase.
From this study, it can be seen that the 3p oscillations of wind farm are not only harmful for the power quality but also even threaten the system stability in some cases. Based on this view, the 3p oscillations of wind farm are strongly suggested to be eliminated. Increasing the system damping, damping the shaft oscillations and eliminating the 3p power oscillations can be effective ways to attenuate tie-line power oscillations induced by TSWS.
Nowadays, variable-speed wind turbines are able to damp the 3p oscillations by adding some auxiliary controls, whereas there are still a large number of fixed-speed wind turbines existing in the system which still inject 3p oscillation power to the grid. Based on this background, this study also offers some information for disturbance source traceability. In real interconnected power systems, detailed quantitative studies are necessary to evaluate the resonant harm before the integration of a wind farm, especially for a fixed-speed wind farm.

Acknowledgments

This work is supported by the National Natural Science Foundation of China (50937002). Thanks are given to Peng Zhang and Peng He for their assistances with the simulations.

Conflicts of Interest

The authors declare no conflict of interest.

Appendix

Table A1. The Synchronous Generator Parameters in a Two-Area Four-Generator System.
Table A1. The Synchronous Generator Parameters in a Two-Area Four-Generator System.
ParameterValueParameterValueParameterValue
Base rating900 MVAXd1.8X’’d0.25
Base voltage20 kVXq1.7X’’q0.25
H(G1,G2)5.25Xl0.2Ra0.0025
H(G3,G4)4.95X’d0.3T’d08.0 s
Table A2. The Variable Speed Wind Turbine Parameters with PMSG.
Table A2. The Variable Speed Wind Turbine Parameters with PMSG.
ParameterValueParameterValue
Rated power2 MWTower radius (a)2 m
Rated voltage0.69 kVDistance from the blade origin to the tower midline (x)4 m
Rated speed15.5 rpmwind turbine inertia4.54 s
Stator resistance0.03 puPMSG inertia0.5 s
Stator direct reactance (Xd)0.775 puDrive train shaft stiffness0.5 pu/el.rad
Stator quadrature reactance (Xq)0.775 puWind turbine rotor radius40 m
Stator leakage inductance0.064 puElevation of rotor hub80 m
Magnetic strength1 puEmpirical wind shear exponent (α)0.3

References

  1. Rogers, G. Power System Oscillations; Kluwer Academic Publishers: Dordrecht, The Netherlands, 2000; pp. 3–10. [Google Scholar]
  2. Kundur, P. Power System Stability and Control; McGraw-Hill Inc: New York, NY, USA, 1994; pp. 18–117, 813–816. [Google Scholar]
  3. Rostamkolai, N.; Piwko, R.; Matusik, A. Evaluation of the impact of a large cyclic load on the LILCO power system using time simulation and frequency domain techniques. IEEE Trans. Power Syst. 1994, 9, 1411–1416. [Google Scholar] [CrossRef]
  4. Vournas, C.; Krassas, N.; Papadias, B. Analysis of Forced Oscillations in a Multimachine Power System. In Proceedings of the International Conference on Control, Edinburgh, UK, 25–28 March 1991; pp. 443–448.
  5. Xiao, M.; Liang, Z. Analysis on the forced oscillation failure in China Southern Power Grid and its handling measures. South. Power Syst. Technol. 2012, 6, 51–54. [Google Scholar]
  6. Dolan, D.; Lehn, P. Simulation model of wind turbine 3p torque oscillations due to wind shear and tower shadow. IEEE Trans. Energy Convers. 2006, 21, 717–724. [Google Scholar] [CrossRef]
  7. Sun, T.; Chen, Z.; Blaabjerg, F. Flicker study on variable speed wind turbines with doubly fed induction generators. IEEE Trans. Energy Convers. 2005, 20, 896–905. [Google Scholar] [CrossRef]
  8. Hu, W.; Zhang, Y.; Chen, Z.; Hu, Y. Flicker mitigation by speed control of permanent magnet synchronous generator variable-speed wind turbines. Energies 2013, 6, 3807–3821. [Google Scholar] [CrossRef]
  9. Ammar, M.; Joos, G. Impact of distributed wind generators reactive power behavior on flicker severity. IEEE Trans. Energy Convers. 2013, 28, 425–433. [Google Scholar] [CrossRef]
  10. Hughes, F.; Anaya-Lara, O.; Ramtharan, G.; Jenkins, N.; Strbac, G. Influence of tower shadow and wind turbulence on the performance of power system stabilizers for DFIG-based wind farms. IEEE Trans. Energy Convers. 2008, 23, 519–528. [Google Scholar] [CrossRef]
  11. Brownlees, S.; Flynn, D.; Fox, B.; Littler, T. The Impact of Wind Farm Power Oscillations on the Irish Power System. In Proceedings of the IEEE Power Technology, Lausanne, Switzerland, 1–5 July 2007; pp. 195–200.
  12. Hu, W.; Su, C.; Chen, Z. Impact of Wind Shear and Tower Shadow Effects on Power System with Large Scale Wind Power Penetration. In Proceedings of the 37th Annual Conference on IEEE Industrial Electronics Society, Melbourne, Australia, 7–10 November 2011; pp. 878–883.
  13. Akhmatov, V. Induction Generators for Wind Power; China Electric Power Press: Beijing, China, 2009; pp. 44–85. [Google Scholar]
  14. Nielsen, J.N.; Akhmatov, V.; Thisted, J.; Grøndahl, E.; Egedal, P.; Frydensbjerg, M.N.; Jensen, K.H. Modelling and fault-ride-trough tests of Siemens wind power 3.6 MW variable-speed wind turbines. Wind Eng. 2007, 31, 441–452. [Google Scholar] [CrossRef]
  15. Chinchilla, M.; Arnaltes, S.; Burgos, J.C. Control of permanent-magnet generators applied to variable-speed wind-energy systems connected to the grid. IEEE Trans. Energy Convers. 2006, 21, 130–135. [Google Scholar] [CrossRef]
  16. Hu, W.; Chen, Z.; Wang, Y.; Wang, Z. Flicker mitigation by active power control of variable-speed wind turbines with full-scale back-to-back power converters. IEEE Trans. Energy Convers. 2009, 24, 640–649. [Google Scholar] [CrossRef]
  17. Yu, Y.; Min, Y.; Chen, L.; Zhang, Y. Analysis of forced power oscillation caused by continuous cyclical load disturbances. Autom. Electric Power Syst. 2010, 34, 7–11. [Google Scholar]
  18. Yin, M.; Ge, X.; Zhang, Y. Major Problems Concerning China’s Large-Scale Wind Power Integration. In Proceedings of the IEEE Power & Energy Society General Meeting, Detroit, MI, USA, 24–29 July 2011; pp. 1–6.
  19. Klein, M.; Rogers, G.; Kundur, P. A fundamental study of inter-area oscillations in power systems. IEEE Trans. Power Syst. 1991, 6, 914–921. [Google Scholar] [CrossRef]
  20. Tripathy, P.; Srivastava, S.; Singh, S. A modified TLS-ESPRIT-based method for low-frequency mode identification in power systems utilizing synchrophasor measurements. IEEE Trans. Power Syst. 2011, 26, 719–727. [Google Scholar] [CrossRef]
  21. Kosterev, D.; Taylor, C.; Mittelstadt, W. Model validation for the August 10, 1996 WSCC system outage. IEEE Trans. Power Syst. 1999, 14, 967–979. [Google Scholar] [CrossRef]
  22. Huang, L. Electromechanical Wave Propagation in Large Electric Power Systems. Ph.D. Thesis, Virginia Polytechnic Institute and State University, Blacksburg, VA, USA, 2003. [Google Scholar]

Share and Cite

MDPI and ACS Style

Tan, J.; Hu, W.; Wang, X.; Chen, Z. Effect of Tower Shadow and Wind Shear in a Wind Farm on AC Tie-Line Power Oscillations of Interconnected Power Systems. Energies 2013, 6, 6352-6372. https://doi.org/10.3390/en6126352

AMA Style

Tan J, Hu W, Wang X, Chen Z. Effect of Tower Shadow and Wind Shear in a Wind Farm on AC Tie-Line Power Oscillations of Interconnected Power Systems. Energies. 2013; 6(12):6352-6372. https://doi.org/10.3390/en6126352

Chicago/Turabian Style

Tan, Jin, Weihao Hu, Xiaoru Wang, and Zhe Chen. 2013. "Effect of Tower Shadow and Wind Shear in a Wind Farm on AC Tie-Line Power Oscillations of Interconnected Power Systems" Energies 6, no. 12: 6352-6372. https://doi.org/10.3390/en6126352

APA Style

Tan, J., Hu, W., Wang, X., & Chen, Z. (2013). Effect of Tower Shadow and Wind Shear in a Wind Farm on AC Tie-Line Power Oscillations of Interconnected Power Systems. Energies, 6(12), 6352-6372. https://doi.org/10.3390/en6126352

Article Metrics

Back to TopTop