The Effects of Water Immersion-Induced Softening and Anisotropy of Mechanical Properties on Gas Depletion in Underground Coal Mines
Abstract
1. Introduction
2. Conceptual Model
2.1. The Impact of Water Presence on Transport and Mechanical Properties
2.2. Gas Production Process
3. Mathematical Model Governing Reservoir Deformation and Two-Phase Flow Processes
3.1. Governing Equation of the Mechanical Process
3.2. Two-Phase Flow Model
3.2.1. Two-Phase Flow in the Fracture System
3.2.2. Gas Diffusion Within the Matrix System
3.2.3. Supplement Equations
3.3. Coal Porosity and Permeability Model
3.3.1. Relative Permeability Model
3.3.2. Intrinsic Porosity Model for the Fracture System
3.3.3. Porosity Model for the Matrix System
3.4. Coupling Process in the Mathematical Model
4. Numerical Model
4.1. Geometrical Model
4.2. Boundary Conditions
4.3. Parameter Settings
5. Results
5.1. Results of the Benchmark Model
5.2. Impact of Initial Water Saturation
5.3. Impact of the Water Immersion-Induced Softening Effect
5.4. Impact of the Water Immersion-Induced Anisotropy Effect
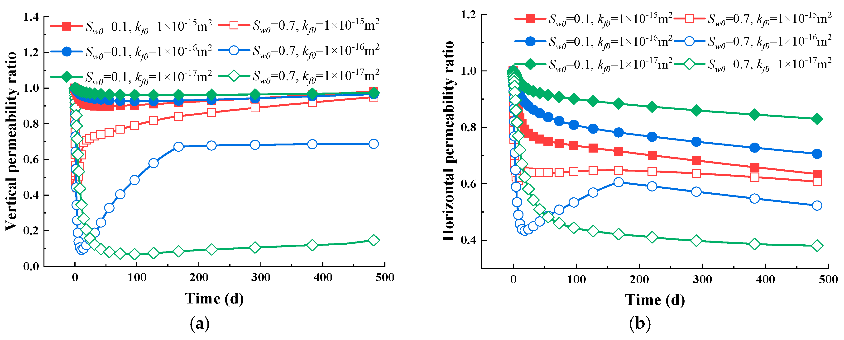
5.5. Impact of Initial Fracture Permeability
6. Discussion
6.1. Guidance in Relation to Field Practice
6.2. Limitations
6.3. Future Work
7. Conclusions
- (1)
- The gas depletion process involves a gas–water two-phase flow process that can be divided into three distinct stages. Firstly, water dominates the flow, and as a result, the relative permeability of the water decreases, whereas that of gas increases. Then, the free gas depletes out, leading to the mixed flow of gas and water. As the pressure drops, adsorbed gas slowly desorbs and moves into the fracture system, eventually resulting in a gas-dominated flow stage.
- (2)
- Intrinsic permeability shows directional differences. In the vertical direction, permeability is primarily influenced by horizontal deformation, and later by a combination of adsorption strain and horizontal deformation. In the horizontal direction, permeability is primarily influenced by vertical deformation.
- (3)
- The water immersion-induced changes in the mechanical properties have the ability to reduce the permeabilities in both the vertical and horizontal directions, especially in the former. When Sw0 is 0.7, the vertical permeability decreases by 60%, while the horizontal permeability decreases by 43%. Ultimately, the vertical permeability ratio stabilizes between 0.9 and 1.0, while the horizontal permeability ratio stabilizes in the range of 0.6 to 0.7.
- (4)
- The impact of initial permeability on the gas depletion characteristics depends on the level of water saturation. Under water-scarce conditions (Sw0 = 0.1), differing initial permeability values have a minimal effect on the evolution pattern of intrinsic permeability. In contrast, in water-abundant conditions (Sw0 = 0.7), increased initial permeability values promote a faster return to the initial permeability; meanwhile, the permeability is significantly reduced and stays at a lower value when the initial permeability is low.
Author Contributions
Funding
Data Availability Statement
Conflicts of Interest
References
- Joshi, D.; Prajapati, P.; Sharma, P.; Sharma, A. Past, present and future of Coal Bed Methane (CBM): A review with special focus on the Indian scenario. Int. J. Coal Prep. Util. 2022, 43, 377–402. [Google Scholar] [CrossRef]
- Tu, Z.; Li, L.; Wang, F.; Zhang, Y. Review on separation of coalbed methane by hydrate method. Fuel 2024, 358, 130224. [Google Scholar] [CrossRef]
- Shi, J.-Q.; Durucan, S.; Shimada, S. How gas adsorption and swelling affects permeability of coal: A new modelling approach for analysing laboratory test data. Int. J. Coal Geol. 2014, 128–129, 134–142. [Google Scholar] [CrossRef]
- Pan, Z.; Connell, L.D. Modelling of anisotropic coal swelling and its impact on permeability behaviour for primary and enhanced coalbed methane recovery. Int. J. Coal Geol. 2011, 85, 257–267. [Google Scholar] [CrossRef]
- Zhang, H.; Liu, J.; Elsworth, D. How sorption-induced matrix deformation affects gas flow in coal seams: A new FE model. Int. J. Rock Mech. Min. Sci. 2008, 45, 1226–1236. [Google Scholar] [CrossRef]
- Clarkson, C.R.; Pan, Z.; Palmer, I.D.; Harpalani, S. Predicting sorption-induced strain and permeability increase with depletion for CBM reservoirs. In SPE Annual Technical Conference and Exhibition; Society of Petroleum Engineers: Denver, CO, USA, 2008. [Google Scholar]
- Pan, Z.; Connell, L.D. Modelling permeability for coal reservoirs: A review of analytical models and testing data. Int. J. Coal Geol. 2012, 92, 1–44. [Google Scholar] [CrossRef]
- Pan, Z.; Connell, L.D.; Camilleri, M. Laboratory characterisation of coal reservoir permeability for primary and enhanced coalbed methane recovery. Int. J. Coal Geol. 2010, 82, 252–261. [Google Scholar] [CrossRef]
- Cui, X.; Bustin, R.M. Volumetric strain associated with methane desorption and its impact on coalbed gas production from deep coal seams. AAPG Bull. 2005, 89, 1181–1202. [Google Scholar] [CrossRef]
- Santiago, V.; Zabala, F.; Sanchez-Barra, A.; Deisman, N.; Chalaturnyk, R.; Zhong, R.; Hurter, S. Experimental investigation of the flow properties of layered coal-rock analogues. Chem. Eng. Res. Des. 2022, 186, 685–700. [Google Scholar] [CrossRef]
- Perera, M.S.A.; Ranjith, P.G. Carbon dioxide sequestration effects on coal’s hydro-mechanical properties: A review. Int. J. Energy Res. 2012, 36, 1015–1031. [Google Scholar] [CrossRef]
- Yang, D.; Qi, X.; Chen, W.; Wang, S.; Dai, F. Numerical investigation on the coupled gas-solid behavior of coal using an improved anisotropic permeability model. J. Nat. Gas Sci. Eng. 2016, 34, 226–235. [Google Scholar] [CrossRef]
- Zhou, H.W.; Rong, T.L.; Wang, L.J.; Mou, R.Y.; Ren, W.G. A new anisotropic coal permeability model under the influence of stress, gas sorption and temperature: Development and verification. Int. J. Rock Mech. Min. Sci. 2020, 132, 104407. [Google Scholar] [CrossRef]
- Li, J.; Li, B.; Wang, Z.; Ren, C.; Yang, K.; Gao, Z. A permeability model for anisotropic coal masses under different stress conditions. J. Pet. Sci. Eng. 2021, 198, 108197. [Google Scholar] [CrossRef]
- Li, J.; Li, B.; Cheng, Q.; Gao, Z. Characterization of anisotropic coal permeability with the effect of sorption-induced deformation and stress. Fuel 2022, 309, 122089. [Google Scholar] [CrossRef]
- Geng, Y.; Tang, D.; Xu, H.; Tao, S.; Tang, S.; Ma, L.; Zhu, X. Experimental study on permeability stress sensitivity of reconstituted granular coal with different lithotypes. Fuel 2017, 202, 12–22. [Google Scholar] [CrossRef]
- Niu, Q.; Wang, X.; Chang, J.; Wang, W.; Liu, X.; Wang, Q. Influencing mechanisms of multi-scale pore-fracture responses of coals on their macro/micromechanical behaviors under ScCO2 injection. Adv. Geo-Energy Res. 2024, 14, 64–80. [Google Scholar] [CrossRef]
- Niu, Q.; Cao, L.; Sang, S.; Wang, W.; Zhou, X.; Yuan, W.; Ji, Z.; Chang, J.; Li, M. Experimental study on the softening effect and mechanism of anthracite with CO2 injection. Int. J. Rock Mech. Min. Sci. 2021, 138, 104614. [Google Scholar] [CrossRef]
- Srivastava, M.K.; Kishor, K.; Singh, A.K.; Mukherjee, S.; Bharti, S.K. Tectonically deformed coal: Focus on microstructures & implications for basin evolution. Mar. Pet. Geol. 2025, 172, 107223. [Google Scholar]
- He, M.; Wang, H.; Ma, C.; Zhang, Z.; Li, N. Evaluating the anisotropy of drilling mechanical characteristics of rock in the process of digital drilling. Rock Mech. Rock Eng. 2023, 56, 3659–3677. [Google Scholar] [CrossRef]
- Zhang, Q.; Li, X.; Li, B.; Meng, J.; Nie, B.; Lu, W. Mechanical heterogeneity characterization of coal materials based on nano-indentation experiments. J. Cent. South Univ. 2024, 31, 3142–3155. [Google Scholar] [CrossRef]
- Manjunath, G.L.; Jha, B. Geomechanical characterization of gondwana shale across nano-micro-meso scales. Int. J. Rock Mech. Min. Sci. 2019, 119, 35–45. [Google Scholar] [CrossRef]
- Zhou, X.; Li, X.; Bai, G.; Chai, L.; Wang, Y.; Xiao, M.; Xia, S. Research method of pressure relief and permeability enhancement in low permeability coal seam: A review. AIP Adv. 2022, 12, 010702. [Google Scholar] [CrossRef]
- Li, M.; Sun, M.; Mohammadian, E.; Ji, Y.; Blach, T.P.; Ostadhassan, M.; Wen, J.; Wu, C.; Pan, Z. Confinement effect in nanopores of shale and coal reservoirs: A review on experimental characterization methods. J. Nat. Gas Sci. Eng. 2024, 123, 205249. [Google Scholar] [CrossRef]
- Lu, Y.; Zhang, H.; Zhou, Z.; Ge, Z.; Chen, C.; Hou, Y.; Ye, M. Current status and effective suggestions for efficient exploitation of coalbed methane in China: A review. Energy Fuels 2021, 35, 9102–9123. [Google Scholar] [CrossRef]
- Sheng, J. Enhanced oil recovery in shale reservoirs by gas injection. J. Nat. Gas Sci. Eng. 2015, 22, 252–259. [Google Scholar] [CrossRef]
- Qin, Q.; Zhou, K.; Wei, B.; Du, Q.; Liu, Y.; Li, X.; Hou, J. Experimental and simulation study on deep reservoir fracturing technology: A review and future perspectives. Geo. Sci. Eng. 2024, 242, 213209. [Google Scholar] [CrossRef]
- Gale, J.F.W.; Laubach, S.E.; Olson, J.E.; Eichhuble, P.; Fall, A. Natural fractures in shale: A review and new observations. AAPG Bull. 2014, 98, 2165–2216. [Google Scholar] [CrossRef]
- Gregory, K.B.; Vidic, R.D.; Dzombak, D.A. Water management challenges associated with the production of shale gas by hydraulic fracturing. Elements 2011, 7, 181–186. [Google Scholar] [CrossRef]
- Guo, T.; Zhang, S.; Qu, Z.; Zhou, T.; Xiao, Y.; Gao, J. Experimental study of hydraulic fracturing for shale by stimulated reservoir volume. Fuel 2014, 128, 373–380. [Google Scholar] [CrossRef]
- Wang, K.; Guo, L.; Xu, C.; Wang, W.; Yang, T.; Lin, S.; Cai, Y. Multiscale characteristics of pore-fracture structures in coal reservoirs and their influence on coalbed methane (CBM) transport: A review. Geo. Sci. Eng. 2024, 242, 213181. [Google Scholar] [CrossRef]
- Wang, H. Discrete fracture networks modeling of shale gas production and revisit rate transient analysis in heterogeneous fractured reservoirs. J. Pet. Sci. Eng. 2018, 169, 796–812. [Google Scholar] [CrossRef]
- Afagwu, C.; Abubakar, I.; Kalam, S.; Al-Afnan, S.F.; Awotunde, A.A. Pressure-transient analysis in shale gas reservoirs: A review. J. Nat. Gas Sci. Eng. 2020, 78, 103319. [Google Scholar] [CrossRef]
- Gao, Q.; Liu, J.; Huang, Y.; Li, W.; Shi, R.; Leong, Y.-K.; Elsworth, D. A critical review of coal permeability models. Fuel 2022, 326, 125124. [Google Scholar] [CrossRef]
- Liu, Y.; Tang, D.; Xu, H.; Zhao, T.; Hou, W. Effect of interlayer mechanical properties on initiation and propagation of hydraulic fracturing in laminated coal reservoirs. J. Pet. Sci. Eng. 2022, 208, 109381. [Google Scholar] [CrossRef]
- Chen, Y.; Jiang, C.; Leung, J.Y.; Wojtanowicz, A.K.; Zhang, D. Gas slippage in anisotropically-stressed shale: An experimental study. J. Pet. Sci. Eng. 2020, 195, 107620. [Google Scholar] [CrossRef]
- Ren, Y.; Yuan, Q.; Jiang, D.; Fan, J.; Liu, W.; Wei, L.; Wang, Z. A non-Darcy gas flow model for coalbed methane in mine gobs. Phys. Fluids 2021, 33, 116601. [Google Scholar] [CrossRef]
- Clarkson, C.; Bustin, R.; Levy, J. Application of the mono/multilayer and adsorption potential theories to coal methane adsorption isotherms at elevated temperature and pressure. Carbon 1997, 35, 1689–1705. [Google Scholar] [CrossRef]
- Brunauer, S.; Emmett, P.H.; Teller, E. Adsorption of gases in multimolecular layers. J. Am. Chem. Soc. 1938, 60, 309–319. [Google Scholar] [CrossRef]
- Chugh, Y. Laboratory Characterization of Immediate Floor Strata Associated with Coal Seams in lllinois. lllinois Mine Subsidence Research Program; lllinois State Geological Survey: Champaign, IL, USA, 1986. [Google Scholar]
- Niu, Q.; Cao, L.; Sang, S.; Zhou, X.; Wang, Z. Anisotropic adsorption swelling and permeability characteristics with injecting CO2 in coal. Energy Fuels 2018, 32, 1979–1991. [Google Scholar] [CrossRef]
- Peng, Y.; Liu, J.; Pan, Z.; Connell, L.D.; Chen, Z.; Qu, H. Impact of coal matrix strains on the evolution of permeability. Fuel 2017, 189, 270–283. [Google Scholar] [CrossRef]
- Xia, T.; Zhou, F.; Liu, J.; Hu, S.; Liu, Y. A fully coupled coal deformation and compositional flow model for the control of the pre-mining coal seam gas extraction. Int. J. Rock Mech. Min. Sci. 2014, 72, 138–148. [Google Scholar] [CrossRef]
- Wu, Y.; Liu, J.; Chen, Z.; Elsworth, D.; Pone, D. A dual poroelastic model for CO2-enhanced coalbed methane recovery. Int. J. Coal Geol. 2011, 86, 177–189. [Google Scholar] [CrossRef]
- Cheng, W.; Guo, Y.; Cui, G.; Elsworth, D.; Tan, Y.; Pan, Z. Impact of micro-scale characteristics of shale reservoirs on gasdepletion behavior: A microscale discrete model. Adv. Geo-Energy Res. 2025, 15, 143–157. [Google Scholar] [CrossRef]
- Hui, G.; Chen, S.; Gu, F. Strike-Slip fault reactivation triggered by hydraulic-natural fracture propagation during fracturing stimulations near clark lake, Alberta. Energy Fuels 2024, 38, 18547–18555. [Google Scholar] [CrossRef]
- Sun, Z.; Elsworth, D.; Cui, G.; Li, Y.; Zhu, A.; Chen, T. Impacts of rate of change in effective stress and inertial effects on fault slip behavior: New insights into injection-induced earthquakes. J. Geophys. Res. Solid Earth 2024, 129, e2023JB027126. [Google Scholar] [CrossRef]
- Cui, G.; Tan, Y.; Chen, T.; Feng, X.-T.; Elsworth, D.; Pan, Z.; Wang, C. Multidomain Two-Phase Flow Model to Study the Impacts of Hydraulic Fracturing on Shale Gas Production. Energy Fuels 2020, 34, 4273–4288. [Google Scholar] [CrossRef]
- Dongari, N.; Sharma, A.; Durst, F. Pressure-driven diffusive gas flows in micro-channels: From the Knudsen to the continuum regimes. Microfluid. Nanofluid. 2009, 6, 679–692. [Google Scholar] [CrossRef]
- Geng, L.; Li, G.; Zitha, P.; Tian, S.; Sheng, M.; Fan, X. A diffusion–viscous flow model for simulating shale gas transport in nano-pores. Fuel 2016, 181, 887–894. [Google Scholar] [CrossRef]
- Miao, Y.; Li, X.; Zhou, Y.; Lee, J.; Sun, Z.; Chang, Y.; Wang, S.; Hou, C. A new rate-transient analysis model for shale gas reservoirs coupled the effect of slip flow and surface diffusion. Int. J. Heat Mass Transf. 2018, 124, 1–10. [Google Scholar] [CrossRef]
- Darabi, H.; Ettehad, A.; Javadpour, F.; Sepehrnoori, K. Gas flow in ultra-tight shale strata. J. Fluid Mech. 2012, 710, 641–658. [Google Scholar] [CrossRef]
- Menéndez, J.; Loredo, J.; Galdo, M.; Fernández-Oro, J.M. Energy storage in underground coal mines in NW Spain: Assessment of an underground lower water reservoir and preliminary energy balance. Renew. Energy 2019, 134, 1381–1391. [Google Scholar] [CrossRef]
- Brooks, R.H.; Corey, A.T. Properties of porous media affecting fluid flow. Irrig. Drain. 1966, 92, 61–90. [Google Scholar] [CrossRef]
- Leverett, M. Capillary behavior in porous solids. Trans. AIME 1941, 142, 152–169. [Google Scholar] [CrossRef]
- Alexis, D.A. Evaluation of Fluid Transport Properties of Coal Bed Methane Reservoirs. Ph.D. Thesis, The Pennsylvania State University, University Park, PA, USA, 2013. [Google Scholar]
- Cheng, W.; Cui, G.; Tan, Y.; Elsworth, D.; Wang, C.; Yang, C.; Chen, T.; Jiang, C. A multi-layer nanocased model to explain the U-shaped evolution of shale gas permeability at constant confining pressure. Fuel 2024, 359, 130478. [Google Scholar] [CrossRef]
- Huang, Y.; Liu, J.; Elsworth, D.; Leong, Y.-K. A transient dual porosity/permeability model for coal multiphysics. Geomech. Geophys. Geo-Energy Geo-Resour. 2022, 8, 40. [Google Scholar] [CrossRef]
- COMSOL COMSOL Multiphysics; COMSOL AB: Stockholm, Sweden, 2017.
- Ma, T.; Rutqvist, J.; Oldenburg, C.M.; Liu, W.; Chen, J. Fully coupled two-phase flow and poromechanics modeling of coalbed methane recovery: Impact of geomechanics on production rate. J. Nat. Gas Sci. Eng. 2017, 45, 474–486. [Google Scholar] [CrossRef]
- Ahamed, M.A.A.; Perera, M.S.A.; Matthai, S.K.; Ranjith, P.G.; Li, D.Y. Coal composition and structural variation with rank and its influence on the coal-moisture interactions under coal seam temperature conditions-A review article. J. Pet. Sci. Eng. 2019, 180, 901–917. [Google Scholar] [CrossRef]
- Perera, M.S.A.; Ranathunga, A.S.; Ranjith, P.G. Effect of coal rank on various fluid saturations creating mechanical property alterations using Australian coals. Energies 2016, 9, 440. [Google Scholar] [CrossRef]
- Durucan, S.; Ahsan, M.; Syed, A.; Shi, J.Q.; Korre, A. Two phase relative permeability of gas and water in coal for enhanced coalbed methane recovery and CO2 storage. Energy Procedia 2013, 37, 6730–6737. [Google Scholar] [CrossRef]
- Ahsan, M. An Investigation into Gas Flow and Retention Characteristics of Coal Seams for Enhanced Coalbed Methane Recovery and Carbon Dioxide Storage. Ph.D. Thesis, Imperial College London (University of London), London, UK, 2006. [Google Scholar]
- Jasinge, D.; Ranjith, P.G.; Choi, S.K. Effects of effective stress changes on permeability of latrobe valley brown coal. Fuel 2011, 90, 1292–1300. [Google Scholar] [CrossRef]
- Vishal, V.; Ranjith, P.G.; Singh, T.N. CO2 permeability of Indian bituminous coals: Implications for carbon sequestration. Int. J. Coal Geol. 2013, 105, 36–47. [Google Scholar] [CrossRef]
- Perera, M.S.A. Influences of CO2 injection into deep coal seams: A review. Energy Fuels 2017, 31, 10324–10334. [Google Scholar] [CrossRef]
- Sinha, S.; Walton, G. Integration of three-dimensional continuum model and two-dimensional bonded block model for studying the damage process in a granite pillar at the Creighton Mine, Sudbury, Canada. J. Rock Mech. Geotech. Eng. 2021, 13, 275–288. [Google Scholar] [CrossRef]
- Tahmasebinia, F.; Zhang, C.G.; Canbulat, I.; Sepasgozar, S.; Saydam, S. A novel damage model for strata layers and coal mass. Energies 2020, 13, 1928. [Google Scholar] [CrossRef]
- Galindo, R.A.; Serrano, A.; Olalla, C. Ultimate bearing capacity of rock masses based on modified Mohr-Coulomb strength criterion. Int. J. Rock Mech. Min. Sci. 2017, 93, 215–225. [Google Scholar] [CrossRef]
- Schwartzkopff, A.K.; Sainoki, A.; Bruning, T.; Karakus, M. A conceptual three-dimensional frictional model to predict the effect of the intermediate principal stress based on the Mohr-Coulomb and Hoek-Brown failure criteria. Int. J. Rock Mech. Min. Sci. 2023, 172, 22. [Google Scholar] [CrossRef]
- Ziv, A.; Rubin, A.M.; Agnon, A. Stability of dike intrusion along preexisting fractures. J. Geophys. Res. Solid Earth 2000, 105, 5947–5961. [Google Scholar] [CrossRef]
- Yang, Y.T.; Tang, X.H.; Zheng, H.; Liu, Q.S.; He, L. Three-dimensional fracture propagation with numerical manifold method. Eng. Anal. Boundary Elem. 2016, 72, 65–77. [Google Scholar] [CrossRef]





















| Parameter | Value | Parameter | Value |
|---|---|---|---|
| Initial porosity, φ0 | 0.06 | Young’s modulus of coal, E (MPa) | 8700 |
| Initial permeability, k0 (m2) | 10−16 | Langmuir pressure constant, PL (MPa) | 3.89 |
| Dynamic viscosity, μ (Pa·s) | 1.8 × 10−5 | Langmuir volume constant, VL (m3/kg) | 0.024 |
| Density of coal, ρc (kg/m3) | 1450 | Langmuir volumetric strain constant, εL | 0.0128 |
| Poisson’s ratio of coal, v | 0.3 | Initial bulk diffusion coefficient of coal, Db (m2/s) | 5 × 10−12 |
| Initial temperature of the coal seam, T0 (K) | 293 | Initial Knudsen diffusion coefficient of coal, Dm (m2/s) | 1 × 10−12 |
Disclaimer/Publisher’s Note: The statements, opinions and data contained in all publications are solely those of the individual author(s) and contributor(s) and not of MDPI and/or the editor(s). MDPI and/or the editor(s) disclaim responsibility for any injury to people or property resulting from any ideas, methods, instructions or products referred to in the content. |
© 2025 by the authors. Licensee MDPI, Basel, Switzerland. This article is an open access article distributed under the terms and conditions of the Creative Commons Attribution (CC BY) license (https://creativecommons.org/licenses/by/4.0/).
Share and Cite
Tan, Y.; Zhang, H.; Chen, X.; Niu, Q.; Cui, G. The Effects of Water Immersion-Induced Softening and Anisotropy of Mechanical Properties on Gas Depletion in Underground Coal Mines. Energies 2025, 18, 2033. https://doi.org/10.3390/en18082033
Tan Y, Zhang H, Chen X, Niu Q, Cui G. The Effects of Water Immersion-Induced Softening and Anisotropy of Mechanical Properties on Gas Depletion in Underground Coal Mines. Energies. 2025; 18(8):2033. https://doi.org/10.3390/en18082033
Chicago/Turabian StyleTan, Yuling, Hanlei Zhang, Xiuling Chen, Qinghe Niu, and Guanglei Cui. 2025. "The Effects of Water Immersion-Induced Softening and Anisotropy of Mechanical Properties on Gas Depletion in Underground Coal Mines" Energies 18, no. 8: 2033. https://doi.org/10.3390/en18082033
APA StyleTan, Y., Zhang, H., Chen, X., Niu, Q., & Cui, G. (2025). The Effects of Water Immersion-Induced Softening and Anisotropy of Mechanical Properties on Gas Depletion in Underground Coal Mines. Energies, 18(8), 2033. https://doi.org/10.3390/en18082033

