Cooperative Game Enabled Low-Carbon Energy Dispatching of Multi-Regional Integrated Energy Systems Considering Carbon Market
Abstract
1. Introduction
2. Overview of the Rural IESs Structure
3. Problem Formulation
3.1. Biogas Production and Storage Model
3.1.1. Anaerobic Digestion Gas Production Model
3.1.2. Gas Storage Tank Model
3.1.3. Anaerobic Digestion Heat Model
3.2. Energy Units
3.2.1. PV Model
3.2.2. Biogas Generator Unit
3.2.3. Air Source Heat Pump
3.2.4. Min–Max Constraint
3.3. Cost Function
3.4. Carbon Trading
3.5. Power Balance
4. Methodology
4.1. Cooperative Game Model
4.1.1. Nash Bargaining Model
4.1.2. Model Reformulation
4.1.3. Profit Allocation Reformulation
4.2. ADMM-Based Energy Trading Algorithm
5. Case Studies and Results
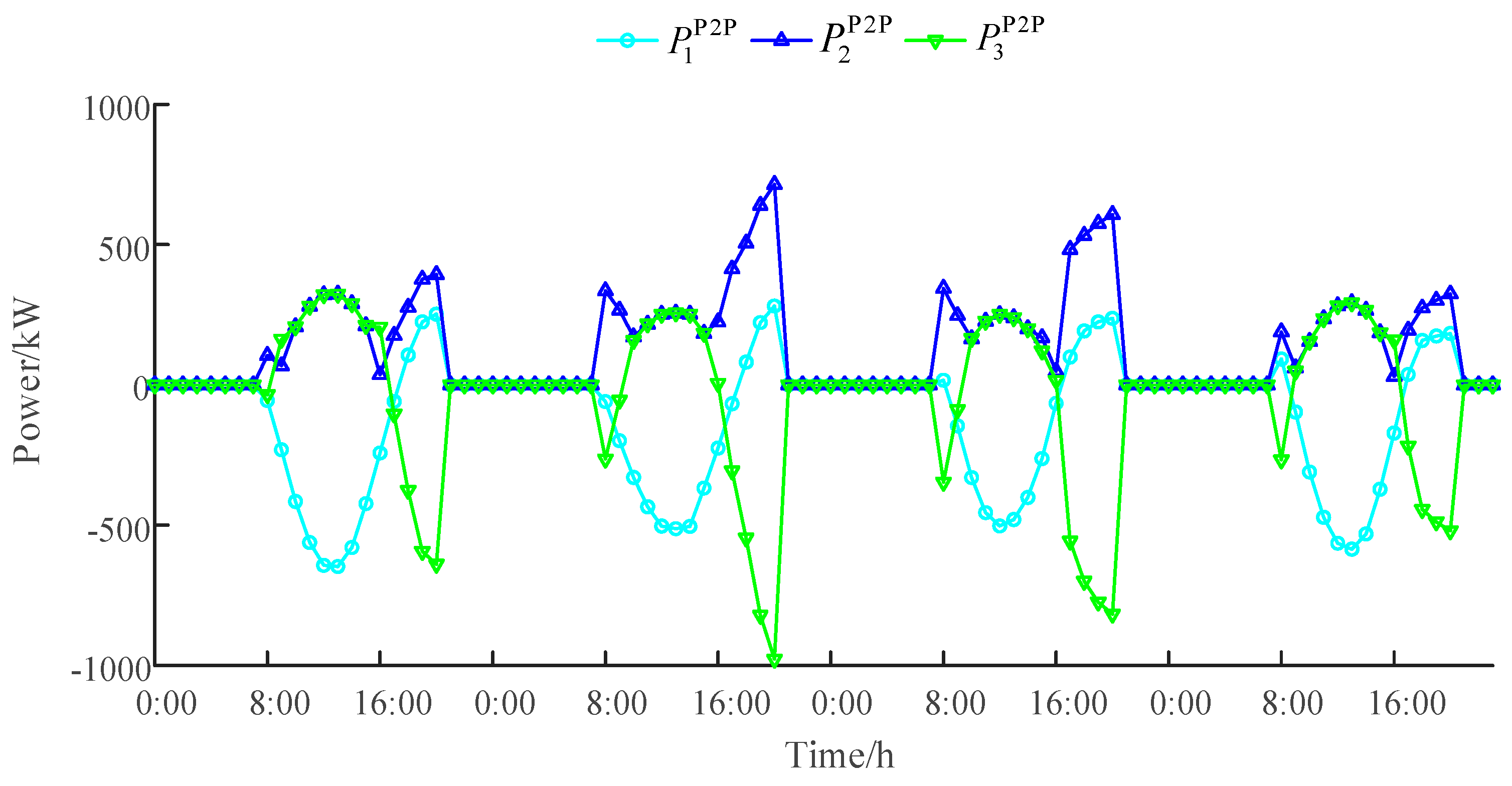
5.1. Energy Trading Result
5.2. Impact of Carbon Emissions
5.3. Comparison of Operation Strategy
6. Conclusions
Author Contributions
Funding
Data Availability Statement
Conflicts of Interest
Appendix A



References
- Cheng, Y.; Xiao, Y. Factors of carbon emissions from Chinese urban and rural residents: A time-varying study. Appl. Econ. Lett. 2022, 29, 1696–1701. [Google Scholar] [CrossRef]
- Cao, Z.; Meng, Q.; Gao, B. The consumption patterns and determining factors of rural household energy: A case study of Henan Province in China. Renew. Sustain. Energy Rev. 2021, 146, 111142. [Google Scholar] [CrossRef]
- Jahangir, M.H.; Cheraghi, R. Economic and environmental assessment of solar-wind-biomass hybrid renewable energy system supplying rural settlement load. Sustain. Energy Technol. Assess. 2020, 42, 100895. [Google Scholar] [CrossRef]
- Nam, H.; Mukai, K.; Yagi, J.; Konishi, S. Economic analysis of carbon removal strategy by fusion–biomass hybrid system in the future market mechanism. J. Fusion Energy 2020, 39, 16–30. [Google Scholar] [CrossRef]
- Wang, X.; Li, K.; Song, J.; Duan, H.; Wang, S. Integrated assessment of straw utilization for energy production from views of regional energy, environmental and socioeconomic benefits. J. Clean. Prod. 2018, 190, 787–798. [Google Scholar] [CrossRef]
- Yang, Q.; Zhou, H.; Bartocci, P.; Fantozzi, F.; Mašek, O.; Agblevor, F.A.; McElroy, M.B. Prospective contributions of biomass pyrolysis to China’s 2050 carbon reduction and renewable energy goals. Nat. Commun. 2021, 12, 1–12. [Google Scholar] [CrossRef]
- Wang, Y.; Cai, C.; Liu, C.; Han, X.; Zhou, M. Planning research on rural integrated energy system based on coupled utilization of biomass-solar energy resources. Sustain. Energy Technol. Assess. 2022, 53, 102416. [Google Scholar] [CrossRef]
- Zhi, Y.; Yang, X. Scenario-based multi-objective optimization strategy for rural PV-battery systems. Appl. Energy 2023, 345, 121314. [Google Scholar] [CrossRef]
- Liang, Y.-L.; Zhang, H.; Yang, C.-T.; Li, K.-J. Research on optimization scheduling of integrated electricity-gas system considering carbon trading and P2G operation characteristics. Electr. Power Syst. Res. 2023, 225, 109797. [Google Scholar] [CrossRef]
- Zhang, S.; Chen, S.; Gu, W.; Lu, S.; Chung, C.Y. Dynamic optimal energy flow of integrated electricity and gas systems in continuous space. Appl. Energy 2024, 375, 124052. [Google Scholar] [CrossRef]
- Zhu, G.; Gao, Y.; Liu, H. Optimal scheduling of an integrated energy system considering carbon trading mechanism and multi-energy supply uncertainties in a real-time price environment. Sustainable Energy, Grids Netw. 2024, 38, 101351. [Google Scholar] [CrossRef]
- Wang, L.; Dong, H.; Lin, J.; Zeng, M. Multi-objective optimal scheduling model with IGDT method of integrated energy system considering ladder-type carbon trading mechanism. Int. J. Electr. Power Energy Syst. 2022, 143, 108386. [Google Scholar] [CrossRef]
- Zhang, S.; Pan, G.; Li, B.; Gu, W.; Fu, J.; Sun, Y. Multi-Timescale Security Evaluation and Regulation of Integrated Electricity and Heating System. IEEE Trans. Smart Grid 2024. [Google Scholar] [CrossRef]
- Huang, H.; Li, Z.; Sampath, L.P.M.I.; Yang, J.; Nguyen, H.D.; Gooi, H.B.; Liang, R.; Gong, D. Blockchain-enabled carbon and energy trading for network-constrained coal mines with uncertainties. IEEE Trans. Sustain. Energy 2023, 14, 1634–1647. [Google Scholar] [CrossRef]
- Zhang, C.; Kuang, Y. Low-carbon economy optimization of integrated energy system considering electric vehicles charging mode and multi-energy coupling. IEEE Trans. Power Syst. 2023, 39, 3649–3660. [Google Scholar] [CrossRef]
- Li, W.; Zou, Y.; Yang, H.; Fu, X.; Xiang, S.; Li, Z. Two stage stochastic Energy scheduling for multi energy rural microgrids with irrigation systems and biomass fermentation. IEEE Trans. Smart Grid 2024. [Google Scholar] [CrossRef]
- Tan, H.; Yan, W.; Ren, Z.; Wang, Q.; Mohamed, M.A. Distributionally robust operation for integrated rural energy systems with broiler houses. Energy 2022, 254, 124398. [Google Scholar] [CrossRef]
- Kumar, G.P.; Ayou, D.S.; Narendran, C.; Saravanan, R.; Maiya, M.; Coronas, A. Renewable heat powered polygeneration system based on an advanced absorption cycle for rural communities. Energy 2023, 262, 125300. [Google Scholar] [CrossRef]
- Zhang, M.; Yu, S.; Li, H. Inter-zone optimal scheduling of rural wind-biomass-hydrogen integrated energy system. Energies 2023, 16, 6202. [Google Scholar] [CrossRef]
- Tan, H.; Li, Z.; Wang, Q.; Mohamed, M.A. A novel forecast scenario-based robust energy management method for integrated rural energy systems with greenhouses. Appl. Energy 2023, 330, 120343. [Google Scholar] [CrossRef]
- Ju, L.; Lu, X.; Yang, S.; Li, G.; Fan, W.; Pan, Y.; Qiao, H. A multi-time scale dispatching optimal model for rural biomass waste energy conversion system-based micro-energy grid considering multi-energy demand response. Appl. Energy 2022, 327, 120155. [Google Scholar] [CrossRef]
- Zhang, Z.; Fedorovich, K.S. Optimal operation of multi-integrated energy system based on multi-level Nash multi-stage robust. Appl. Energy 2024, 358, 122557. [Google Scholar] [CrossRef]
- Bhatti, B.A.; Broadwater, R. Energy trading in the distribution system using a non-model based game theoretic approach. Appl. Energy 2019, 253, 113532. [Google Scholar] [CrossRef]
- Wang, H.; Li, K.; Zhang, C.; Chen, J. Capacity and operation joint optimization for integrated energy system based on Nash bargaining game. Energy 2024, 305, 132032. [Google Scholar] [CrossRef]
- Wang, Z.; Chen, L.; Li, X.; Mei, S. A Nash bargaining model for energy sharing between micro-energy grids and energy storage. Energy 2023, 283, 129065. [Google Scholar] [CrossRef]
- Wang, Y.; Jin, Z.; Liang, J.; Li, Z.; Dinavahi, V.; Liang, J. Low-carbon optimal scheduling of park-integrated energy system based on bidirectional Stackelberg-Nash game theory. Energy 2024, 305, 132342. [Google Scholar] [CrossRef]
- Wu, B.; Zhang, S.; Yuan, C.; Wang, X.; Wang, F.; Zhang, S. Cooperative energy and reserve trading strategies for multiple integrated energy systems based on asymmetric nash bargaining theory. Energy 2024, 313, 133703. [Google Scholar] [CrossRef]
- Li, C.; Yang, H.; Shahidehpour, M.; Xu, Z.; Zhou, B.; Cao, Y.; Zeng, L. Optimal planning of islanded integrated energy system with solar-biogas energy supply. IEEE Trans. Sustain. Energy 2019, 11, 2437–2448. [Google Scholar] [CrossRef]
- Xiang, Y.; Guo, Y.; Wu, G.; Liu, J.; Sun, W.; Lei, Y.; Zeng, P. Low-carbon economic planning of integrated electricity-gas energy systems. Energy 2022, 249, 123755. [Google Scholar] [CrossRef]
- Liu, J.; Chen, Z.; Li, W. Development and verification of one-dimensional model of steady-state heat transfer for anaerobic fermentation reactor. Trans. Chin. Soc. Agric. Eng. 2012, 28, 217–222. [Google Scholar]
- Wang, L.L.; Xian, R.C.; Jiao, P.H.; Liu, X.H.; Xing, Y.W.; Wang, W. Cooperative operation of industrial/commercial/residential integrated energy system with hydrogen energy based on Nash bargaining theory. Energy 2024, 288, 129868. [Google Scholar] [CrossRef]
- Chen, M.; Lu, H.; Chang, X.; Liao, H. An optimization on an integrated energy system of combined heat and power, carbon capture system and power to gas by considering flexible load. Energy 2023, 273, 127203. [Google Scholar] [CrossRef]
- Lu, Z.; Wang, J.; Shahidehpour, M.; Bai, L.; Xiao, Y.; Li, H. Cooperative operation of distributed energy resources and thermal power plant with a carbon-capture-utilization-and-storage system. IEEE Trans. Power Syst. 2023, 39, 1850–1866. [Google Scholar] [CrossRef]





| Scenarios | Cooperative Game | Carbon Emission Trading |
|---|---|---|
| 1 | × | × |
| 2 | × | √ |
| 3 | √ | × |
| 4 | √ | √ |
| Scenario | Microgrid 1 Carbon Emission (kg) | Microgrid 2 Carbon Emission (kg) | Microgrid 3 Carbon Emission (kg) | Total Carbon Emission (kg) |
|---|---|---|---|---|
| 1 | 2737.1 | 7484.77 | 13,682.60 | 23,904.47 |
| 2 | 2737.08 | 7484.77 | 13,611.65 | 23,833.5 |
| 3 | 2008.03 | 4819.24 | 16,279.94 | 23,107.22 |
| 4 | 2008.03 | 4783.83 | 15,316.17 | 22,108.05 |
| Scenario | Microgrid 1 Cost (¥) | Microgrid 2 Cost (¥) | Microgrid 3 Cost (¥) | Total Cost (¥) |
|---|---|---|---|---|
| 1 | 3484.43 | 16,729.31 | 736.75 | 20,950.49 |
| 2 | 4168.70 | 18,600.51 | 8402.73 | 31,171.94 |
| 3 | 2315.72 | 15,526.19 | −431.21 | 17,410.7 |
| 4 | 1291.98 | 14,505.06 | 5398.03 | 21,195.07 |
Disclaimer/Publisher’s Note: The statements, opinions and data contained in all publications are solely those of the individual author(s) and contributor(s) and not of MDPI and/or the editor(s). MDPI and/or the editor(s) disclaim responsibility for any injury to people or property resulting from any ideas, methods, instructions or products referred to in the content. |
© 2025 by the authors. Licensee MDPI, Basel, Switzerland. This article is an open access article distributed under the terms and conditions of the Creative Commons Attribution (CC BY) license (https://creativecommons.org/licenses/by/4.0/).
Share and Cite
Liang, P.; Zhang, H.; Liang, R. Cooperative Game Enabled Low-Carbon Energy Dispatching of Multi-Regional Integrated Energy Systems Considering Carbon Market. Energies 2025, 18, 759. https://doi.org/10.3390/en18040759
Liang P, Zhang H, Liang R. Cooperative Game Enabled Low-Carbon Energy Dispatching of Multi-Regional Integrated Energy Systems Considering Carbon Market. Energies. 2025; 18(4):759. https://doi.org/10.3390/en18040759
Chicago/Turabian StyleLiang, Peiran, Honghang Zhang, and Rui Liang. 2025. "Cooperative Game Enabled Low-Carbon Energy Dispatching of Multi-Regional Integrated Energy Systems Considering Carbon Market" Energies 18, no. 4: 759. https://doi.org/10.3390/en18040759
APA StyleLiang, P., Zhang, H., & Liang, R. (2025). Cooperative Game Enabled Low-Carbon Energy Dispatching of Multi-Regional Integrated Energy Systems Considering Carbon Market. Energies, 18(4), 759. https://doi.org/10.3390/en18040759

