Transformer Iron Core Temperature Field Calculation Based on Finite Element Analysis
Abstract
1. Introduction
2. Derivation of the Finite Element Equation for the Three-Dimensional Steady-State Temperature Field
3. Self-Programmed Calculation of Transformer Iron Core Temperature Field
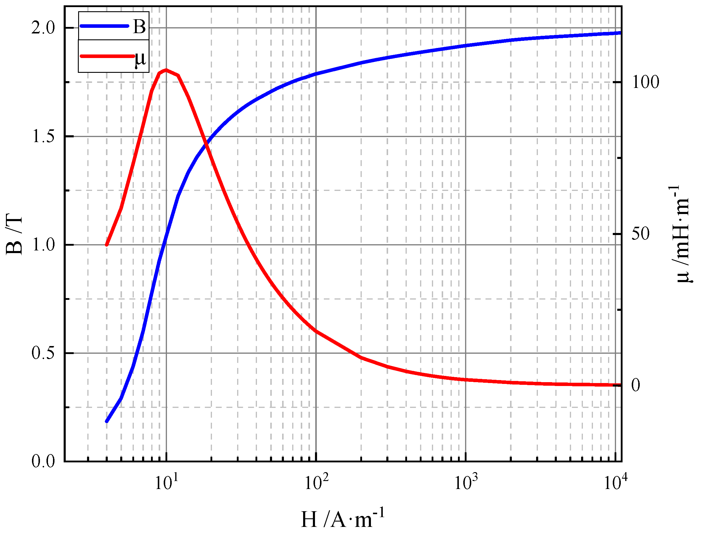
3.1. Transformer Model Establishment and Parameter Settings
3.2. Implementation of the Finite Element Calculation Program for the Temperature Field
- (1)
- Data Input
- (2)
- Finite Element Calculation
3.3. Calculation and Visualization of Transformer Iron Core Temperature Field
- (1)
- Firstly, an appropriate step size is selected based on the required color range to be displayed. A smaller step size results in a more accurate contour map rendering but correspondingly requires more computational resources.
- (2)
- Based on the selected step size, the total number of color scales (total_number) for the color bar is calculated using the following Formula (15):
- (3)
- The colors are then normalized. The color values are mapped to the range [0, 1] using Formula (16).
- (4)
- The total number of color scales for the color bar is calculated based on the step size. Subsequently, a cyclic iteration mechanism is used to sequentially extract the corresponding RGB triplet values at step intervals, starting from the minimum value of the color domain. These values are progressively filled into the color bar data structure until the entire value range is covered.
4. Validation of Transformer Prototype Temperature Rise Test
4.1. Experimental Principles and Apparatus
4.2. Experimental Design
- (2)
- Thermocouple Placement
4.3. Experimental Results
- (1)
- The temperature rise increases as the high-voltage side input voltage increases under under-excitation, rated, and over-excitation conditions.
- (2)
- In the no-load test, the temperature rise exhibits a trend of rapid increase followed by a slower rate, gradually stabilizing. The thermal hot spot temperature of the iron core appears at the center of the iron core leg.
- (3)
- Under rated conditions, the temperature rise at the center of the iron core is approximately 6 °C higher than that on the surface.
- (4)
- The maximum temperature rise occurs at the maximum pole of the iron core, and the iron core leg center and the yoke center are the two locations with the most generated heat.
4.4. Comparison of Self-Developed Program Results and Experimental Data
5. Conclusions
- (1)
- The basic principles of the three-dimensional steady-state temperature field were introduced. Starting from the temperature field governing equations, the Finite Element equations applicable to transformer temperature field calculation were derived, providing support for the subsequent program implementation.
- (2)
- A C++ based Finite Element Method (FEM) program for temperature field calculation was completed, integrating data post-processing and visualization display. The temperature field calculation for a single-phase, two-limb transformer was car-ried out using the self-developed program and compared with COMSOL calcula-tion results. The calculation results were fundamentally consistent, while the computation time and memory usage were reduced by 46.89% and 82.37%, re-spectively.
- (3)
- A transformer temperature rise experimental platform was established. A single-phase two-limb dry-type transformer was designed and manufactured, and a temperature rise measurement experiment based on thermocouple sensing was designed. This experiment measured the internal temperature field of the transformer iron core under no-load operation, and the comparison between the program calculation results and the experimental measured data further validated the effectiveness of the self-developed temperature field calculation program.
Author Contributions
Funding
Data Availability Statement
Acknowledgments
Conflicts of Interest
Appendix A
Derivation of the Finite Element Equation for the Three-Dimensional Steady-State Temperature Field
References
- Ministry of Industry and Information Technology General Office; State Administration for Market Regulation General Office; National Energy Administration Comprehensive Department. Transformer Energy Efficiency Improvement Plan (2021–2023); Ministry of Industry and Information Technology General Office: Beijing, China; State Administration for Market Regulation General Office: Beijing, China; National Energy Administration Comprehensive Department: Beijing, China, 2020.
- Zhang, Y.Y.; Liao, R.J.; Yang, L.J.; Meng, F.J.; Li, J.Z.; Cheng, H.C. Optimal Power Transformer Overhaul Scheduling Considering Reliability and Economy. Trans. China Electrotech. Soc. 2014, 29, 191–200. [Google Scholar]
- Baoding Tianwei Baobian Electric Co., Ltd. Power Transformer Handbook; China Machine Press: Beijing, China, 2014. [Google Scholar]
- Darveniza, M.; Saha, T.; Hill, D.; Le, D.J.T.; Le, T.K. Investigations into Effective Methods for Assessing the Condition of Insulation in Aged Power Transformers. IEEE Trans. Power Deliv. 1998, 13, 1214–1223. [Google Scholar] [CrossRef]
- Yang, F.; Wu, T.; Hao, H.X.; Liu, Y.J. Fast Update Method of Reduced-Order Model for Transformer Winding Temperature Field Based on Matrix Low-Rank Decomposition. Trans. China Electrotech. Soc. 2025, 40, 1–17. [Google Scholar]
- IEC 60076; Power Transformers—Part 7: Loading Guide for Mineral-Oil-Immersed Power Transformers. IEC: Geneva, Switzerland, 2018.
- IEEE Std. C57.91-2011-IEEE; Guide for Loading Mineral-Oil-Immersed Transformers. IEEE: New York, NY, USA, 2011.
- GB/T 1094.7-2008; Power Transformers—Part 7: Loading Guide for Oil-Immersed Power Transformers. The National Standards of the People’s Republic of China: Beijing, China, 2008.
- Lv, P.F.; Pei, D.X.; Shen, D.W. Study on Transient Temperature Measurement Technique Based on K-type Thermocouple. J. Sens. Technol. 2014, 27, 775–780. [Google Scholar]
- Wang, X.Y. Transformer Fault and Monitoring; China Machine Press: Beijing, China, 2004; pp. 33–35. [Google Scholar]
- Ma, H.Z.; Li, Z. Overheating Fault of Power Transformer and its Comprehensive Diagnosis. High Volt. Eng. 2005, 4, 9–11. [Google Scholar]
- Zheng, Z.P.; Zeng, H.S.; Ding, C.J.; Wang, J.Q. Infrared Thermography and Its Application. Infrared Technol. 2003, 25, 96–98. [Google Scholar]
- Pervez, A. Multibit Optical Sensor Networking. In Proceedings of the Fiber Optic Sensors: Engineering & Applications, Hague, The Netherlands, 14–15 March 1991; International Society for Optics and Photonics: Bellingham, WA, USA, 1991. [Google Scholar]
- Sun, X.G.; Li, Y.H. Review of Infrared Thermal Imager Temperature Measurement Technology. Laser Infrared 2008, 2, 101–104. [Google Scholar]
- Swift, G.; Molinski, T.S.; Lehn, W. A Fundamental Approach to Transformer Thermal Modeling. I. Theory and Equivalent Circuit. IEEE Trans. Power Deliv. 2001, 16, 171–175. [Google Scholar] [CrossRef]
- Swift, G.; Molinski, T.S.; Bray, R.; Stigant, D.G. A Fundamental Approach to Transformer Thermal Modeling. II. Field Verification. IEEE Trans. Power Deliv. 2001, 16, 176–180. [Google Scholar] [CrossRef]
- Susa, D.; Nordman, H. A Simple Model for Calculating Transformer Hot-Spot Temperature. IEEE Trans. Power Deliv. 2009, 24, 1257–1265. [Google Scholar] [CrossRef]
- Huang, X.R. Study on Winding Temperature Distribution of Transformer Based on Thermal Circuit Model. Master’s Thesis, Hebei University of Technology, Tianjin, China, 2021. [Google Scholar]
- Chen, S.; Sheng, G.H.; Zhang, L.J.; Ma, T.; Guo, X. Fast Simulation Method for Temperature Field Distribution of Dry-Type Transformer Based on Winding Equivalent Thermal Parameters. High Volt. Eng. 2025, 51, 97–109. [Google Scholar]
- Wen, W.Z. Temperature Field Analysis of Double Redundancy Permanent Magnet Synchronous Motor Based on Equivalent Thermal Network Method. Master’s Thesis, Tianjin University, Tianjin, China, 2018. [Google Scholar]
- Zheng, Z. Two-Dimensional Fluid-Thermal Coupled Field Analysis and Verification of Oil-Immersed Transformer Winding Based on Finite Element Method. Master’s Thesis, North China Electric Power University, Beijing, China, 2020. [Google Scholar]
- Torriano, F.; Chaaban, M.; Picher, P. Numerical study of parameters affecting the temperature distribution in a disc-type transformer winding. Appl. Therm. Eng. 2010, 30, 2034–2044. [Google Scholar] [CrossRef]
- Torriano, F.; Picher, P.; Chaaban, M. Numerical investigation of 3D flow and thermal effects in a disc-type transformer winding. Appl. Therm. Eng. 2012, 40, 121–131. [Google Scholar] [CrossRef]
- El Wakil, N.; Chereches, N.C.; Padet, J. Numerical study of heat transfer and fluid flow in a power transformer. Int. J. Therm. Sci. 2006, 45, 615–626. [Google Scholar] [CrossRef]
- Santisteban, A.; Delgado, F.; Ortiz, A.; Barranco, A.V.F.; Gómez, J.C.D.S.; Garcia, P.L.R.P. Numerical analysis of the hot-spot temperature of a power transformer with alternative dielectric liquids. IEEE Trans. Dielectr. Electr. Insul. 2017, 24, 3226–3235. [Google Scholar] [CrossRef]
- Zhang, Y.B. Research on Magnetic Field and Temperature Field Characteristics of Transformer Based on Field-Circuit Coupling and Thermal-Fluid-Solid Coupled Modeling. Master’s Thesis, South China University of Technology, Guangzhou, China, 2017. [Google Scholar]
- Melka, B.; Stebel, M.; Bodys, J.; Kubiczek, K.; Lasek, P.; Rodriguez, G.R.; Garelli, L.; Haida, M.; Palacz, M.; Nowak, A.J.; et al. Effective Cooling of a Distribution Transformer Using Biodegradable Oils at Different Climate Conditions. IEEE Trans. Dielectr. Electr. Insul. 2023, 30, 1557–1565. [Google Scholar] [CrossRef]
- Fernando, T.; Lewin, P.; Cao, K.; Tuan, L.A.; Zhou, J.; Darmawan, N.; Chen, J.; Wang, C.; Zhu, X.; Li, Z. Review of insulating liquids for power transformers. IET Gener. Transm. Distrib. 2014, 8, 374–383. [Google Scholar]
- Li, Y.J.; Yan, X.X.; Zhang, C.G.; Chen, Y.F.; Ying, W.L. Transformer loss calculation and hotspot prediction based on magnetic-thermal-fluid coupling model. Trans. China Electrotech. Soc. 2020, 35, 4483–4491. [Google Scholar]
- Liao, C.; Ruan, J.; Liu, C.; Wen, W.; Du, Z. 3-D coupled electromagnetic- fluid-thermal analysis of oil-immersed triangular wound core transformer. IEEE Trans. Magn. 2014, 50, 8401904. [Google Scholar] [CrossRef]
- GB 1094.2-1996; Power Transformers Part 2: Temperature-Rise. China Standards Press: Beijing, China, 1997.
- GB/T 6451-2015; Oil-Immersed Power Transformer Technical Parameters and Requirements. China Standards Press: Beijing, China, 2015.


















| Location | COMSOL Calculation Results/K | Self-Programmed Calculation Results/K | Absolute Error/K |
|---|---|---|---|
| 1 | 341.82 | 342.11 | 0.29 |
| 2 | 334.13 | 334.15 | 0.02 |
| 3 | 351.29 | 351.24 | −0.05 |
| 4 | 350.10 | 350.45 | 0.35 |
| 5 | 345.61 | 345.89 | 0.28 |
| 6 | 339.09 | 338.91 | −0.18 |
| 7 | 342.14 | 342.11 | −0.03 |
| 8 | 335.51 | 335.62 | 0.11 |
| 9 | 337.75 | 337.82 | 0.07 |
| 10 | 349.80 | 350.12 | 0.32 |
| Solution Method | Computation Time | Memory Usage |
|---|---|---|
| COMSOL Multiphysics | 5 min 19 s | 2.42 GB |
| Self-programmed Solution | 1 min 52 s | 436.8 MB |
| Experimental Equipment | Quantity |
|---|---|
| Single-phase, two-limb Transformer | 1 unit |
| Computer | 1 unit |
| DM6210-07R0T0S0A16 Data Acquisition Card | 4 units |
| K-type Compensated Thermocouple Wire | 400 m |
| Temperature Data Acquisition Card Accessory Set | 1 set |
| Location | Experimental Temperature Rise/°C | Simulated Temperature Rise/°C | Absolute Error/°C |
|---|---|---|---|
| 1 | 54 | 53.9 | −0.1 |
| 2 | 52.7 | 53.5 | 0.8 |
| 4 | 52.2 | 51.6 | −0.6 |
| 5 | 52.1 | 50.6 | −1.5 |
| 6 | 49.4 | 49.3 | −0.1 |
| 7 | 47.7 | 48.2 | 0.5 |
| 9 | 45.6 | 45.8 | 0.2 |
| 10 | 44.8 | 44.7 | −0.1 |
| 11 | 43.1 | 43.7 | 0.6 |
| 12 | 53.9 | 52.5 | −1.4 |
| 13 | 52.3 | 52.2 | −0.1 |
| 14 | 52.1 | 51.5 | −0.6 |
| 15 | 51.2 | 50.5 | −0.7 |
| 16 | 50.5 | 49.6 | −0.9 |
| A1 | 50.6 | 49.9 | −0.7 |
| A3 | 48.3 | 48.2 | −0.1 |
| A5 | 45.1 | 45.3 | 0.2 |
| A6 | 42.7 | 43.4 | 0.7 |
| A7 | 39.5 | 41.8 | 2.3 |
| A8 | 39.9 | 39.8 | −0.1 |
| A9 | 37.2 | 36.2 | −1.0 |
| A10 | 35.5 | 34.5 | −1.0 |
| C1 | 52.3 | 52.2 | −0.1 |
| C2 | 50.3 | 51.5 | 1.2 |
| C3 | 47.1 | 50.3 | 3.2 |
| C4 | 46.1 | 48.5 | 2.4 |
| C5 | 44.1 | 46.8 | 2.7 |
| C8 | 37.8 | 36.3 | −1.5 |
| C9 | 34.7 | 34.4 | −0.3 |
Disclaimer/Publisher’s Note: The statements, opinions and data contained in all publications are solely those of the individual author(s) and contributor(s) and not of MDPI and/or the editor(s). MDPI and/or the editor(s) disclaim responsibility for any injury to people or property resulting from any ideas, methods, instructions or products referred to in the content. |
© 2025 by the authors. Licensee MDPI, Basel, Switzerland. This article is an open access article distributed under the terms and conditions of the Creative Commons Attribution (CC BY) license (https://creativecommons.org/licenses/by/4.0/).
Share and Cite
Chen, Z.; He, Z.; Wang, S. Transformer Iron Core Temperature Field Calculation Based on Finite Element Analysis. Energies 2025, 18, 6537. https://doi.org/10.3390/en18246537
Chen Z, He Z, Wang S. Transformer Iron Core Temperature Field Calculation Based on Finite Element Analysis. Energies. 2025; 18(24):6537. https://doi.org/10.3390/en18246537
Chicago/Turabian StyleChen, Ziyang, Zhenggang He, and Shuhong Wang. 2025. "Transformer Iron Core Temperature Field Calculation Based on Finite Element Analysis" Energies 18, no. 24: 6537. https://doi.org/10.3390/en18246537
APA StyleChen, Z., He, Z., & Wang, S. (2025). Transformer Iron Core Temperature Field Calculation Based on Finite Element Analysis. Energies, 18(24), 6537. https://doi.org/10.3390/en18246537
