Optimization of Butanol Production from Mixed Sugars and Sweet Sorghum Bagasse Hydrolysate Using Clostridium beijerinckii TISTR 1461
Abstract
1. Introduction
2. Materials and Methods
2.1. Inoculum Preparation
2.2. Butanol Production from Mixed-Sugar Synthetic Media
2.2.1. Synthetic Mixed-Sugar Media or Modified P2 Media
2.2.2. ABE Fermentation from Mixed-Sugar Synthetic Media
2.3. Butanol Production from SSB Hydrolysate
2.3.1. Preparation of Sweet Sorghum Bagasse Particles
2.3.2. Sweet Sorghum Bagasse Pretreatments
- 1.
- Delignification
- 2.
- Enzymatic hydrolysis
2.3.3. ABE Fermentation from SSB Hydrolysate
2.4. Analytical Methods
2.5. Statistical Analyses
3. Results and Discussion
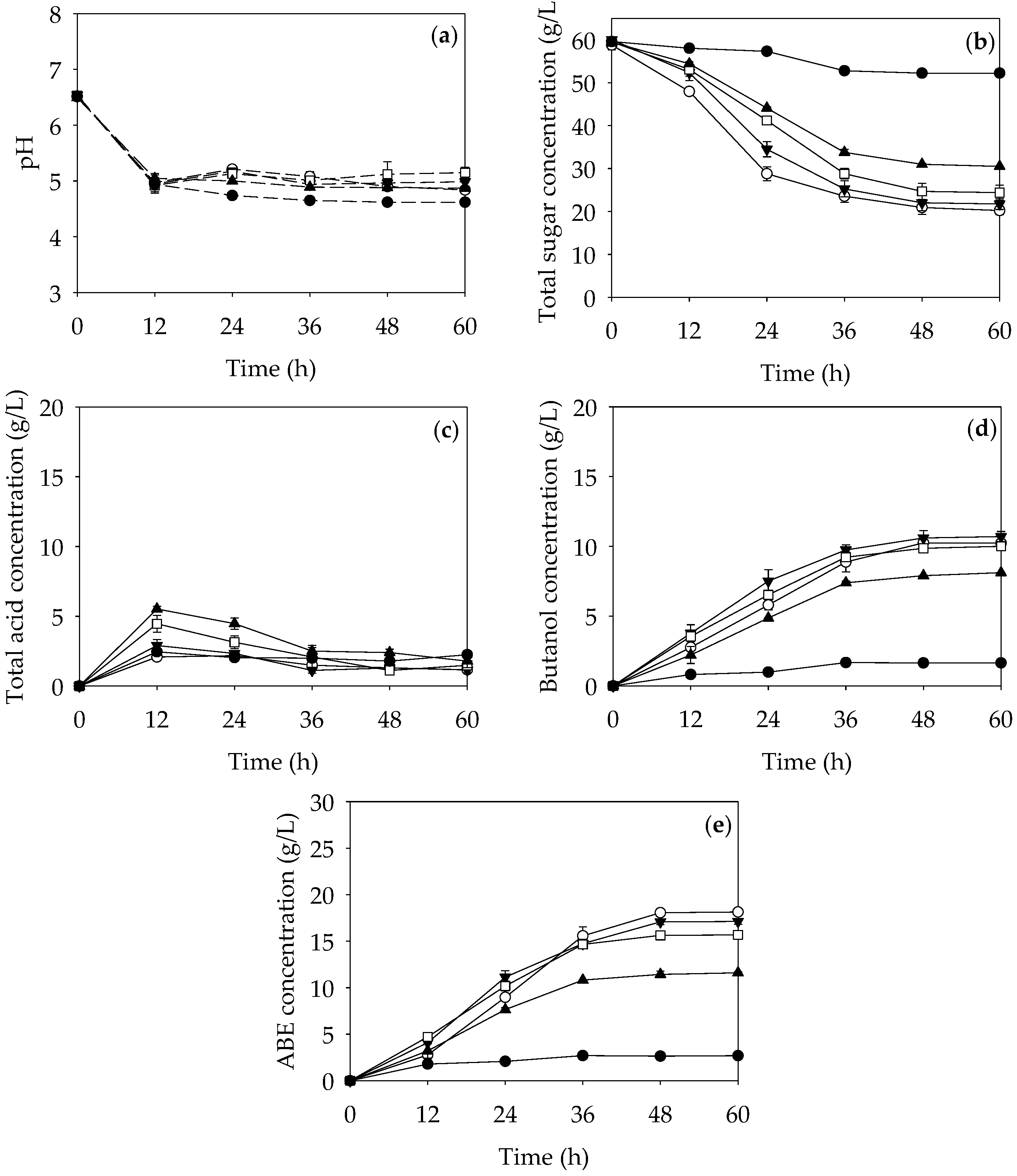
3.1. Butanol Production from Mixed-Sugar Synthetic Media
3.2. Sugar Composition of SSB Hydrolysate
3.3. Butanol Production from SSB Hydrolysate
4. Conclusions
Author Contributions
Funding
Data Availability Statement
Conflicts of Interest
References
- Xin, F.; Yan, W.; Zhou, J.; Wu, H.; Dong, W.; Ma, J.; Zhang, W.; Jiang, M. Exploitation of novel wild type solventogenic strains for butanol production. Biotechnol. Biofuels 2018, 11, 252. [Google Scholar] [CrossRef]
- Adesanya, Y.; Atiyeh, H.K.; Olorunsogbon, T.; Khanal, A.; Okonkwo, C.C.; Ujor, V.C.; Shah, A.; Ezeji, T.C. Viable strategies for enhancing acetone-butanol-ethanol production from non-detoxified switchgrass hydrolysates. Bioresour. Technol. 2022, 344, 126167. [Google Scholar] [CrossRef]
- Lee, J.; Lin, K.Y.A. Bio-butanol production on heterogeneous catalysts: A Review. J. Taiwan Inst. Chem. Eng. 2024, 157, 105421. [Google Scholar] [CrossRef]
- Cascon, H.R.; Choudhari, S.K.; Nisola, G.M.; Vivas, E.L.; Lee, D.J.; Chung, W.J. Partitioning of butanol and other fermentation broth components in phosphonium and ammonium-based ionic liquids and their toxicity to solventogenic Clostridia. Sep. Purif. Technol. 2011, 78, 164–174. [Google Scholar] [CrossRef]
- Zhang, Y.; Han, B.; Ezeji, T.C. Biotransformation of furfural and 5-hydroxymethyl furfural (HMF) by Clostridium acetobutylicum ATCC 824 during butanol fermentation. New Biotechnol. 2012, 29, 345–351. [Google Scholar] [CrossRef] [PubMed]
- Huang, J.; Du, Y.; Bao, T.; Lin, M.; Wang, J.; Yang, S.T. Production of n-butanol from cassava bagasse hydrolysate by engineered Clostridium tyrobutyricum overexpressing adhE2: Kinetics and cost analysis. Bioresour. Technol. 2019, 292, 121969. [Google Scholar] [CrossRef]
- Zetty-Arenas, A.M.; Alves, R.F.; Portela, C.A.F.; Mariano, A.P.; Basso, T.O.; Tovar, L.P.; Maciel Filho, R.; Freitas, S. Towards enhanced n-butanol production from sugarcane bagasse hemicellulosic hydrolysate: Strain screening, and the effects of sugar concentration and butanol tolerance. Biomass Bioenergy 2019, 126, 190–198. [Google Scholar] [CrossRef]
- Mirfakhar, M.; Asadollahi, M.A.; Amiri, H.; Karimi, K. Co-fermentation of hemicellulosic hydrolysates and starch from sweet sorghum by Clostridium acetobutylicum: A synergistic effect for butanol production. Ind. Crops Prod. 2020, 151, 112459. [Google Scholar] [CrossRef]
- Yu, Q.; Zhuang, X.; Wang, Q.; Qi, W.; Tan, X.; Yuan, Z. Hydrolysis of sweet sorghum bagasse and eucalyptus wood chips with liquid hot water. Bioresour. Technol. 2012, 116, 220–225. [Google Scholar] [CrossRef]
- Magalhães, B.L.; Carolina, M.; Grassi, B.; Pereira, G.A.G.; Brocchi, M. Improved n- butanol production from lignocellulosic hydrolysate by Clostridium strain screening and culture-medium optimization. Biomass Bioenergy 2018, 108, 157–166. [Google Scholar] [CrossRef]
- Mishra, V.; Jana, A.K. Sweet sorghum bagasse pretreatment by Coriolus versicolor in mesh tray bioreactor for selective delignification and improved saccharification. Waste Biomass Valorization 2019, 10, 2689–2702. [Google Scholar] [CrossRef]
- Nghiem, N.P.; Toht, M.J. Pretreatment of sweet sorghum bagasse for ethanol production using Na2CO3 obtained by NaOH absorption of CO2 generated in sweet sorghum juice ethanol fermentation. Fermentation 2019, 5, 91. [Google Scholar] [CrossRef]
- Kumari, D.; Singh, R. Pretreatment of lignocellulosic wastes for biofuel production: A critical review. Renew. Sustain. Energy Rev. 2018, 90, 877–891. [Google Scholar] [CrossRef]
- Thanapimmetha, A.; Saisriyoot, M.; Khomlaem, C.; Chisti, Y.; Srinophakun, P. A comparison of methods of ethanol production from sweet sorghum bagasse. Biochem. Eng. J. 2019, 151, 107352. [Google Scholar] [CrossRef]
- Valles, A.; Álvarez-Hornos, F.J.; Martínez-Soria, V.; Marzal, P.; Gabaldón, C. Comparison of simultaneous saccharification and fermentation and separate hydrolysis and fermentation processes for butanol production from rice straw. Fuel 2020, 282, 118831. [Google Scholar] [CrossRef]
- Qureshi, N.; Saha, B.C.; Liu, S.; Ezeji, T.C.; Nichols, N.N. Cellulosic butanol biorefinery: Production of biobutanol from high solid loadings of sweet sorghum bagasse—Simultaneous saccharification, fermentation, and product recovery. Fermentation 2021, 7, 310. [Google Scholar] [CrossRef]
- Su, C.; Qi, L.; Cai, D.; Chen, B.; Chen, H.; Zhang, C.; Si, Z.; Wang, Z.; Li, G.; Qin, P. Integrated ethanol fermentation and acetone-butanol-ethanol fermentation using sweet sorghum bagasse. Renew. Energy 2020, 162, 1125–1131. [Google Scholar] [CrossRef]
- Green, E.M.; Boynton, Z.L.; Harris, L.M.; Rudolph, F.B.; Papoutsakis, E.T.; Bennett, G.N. Genetic manipulation of acid formation pathways by gene inactivation in Clostridium acetobutylicum ATCC 824. Appl. Microbiol. Biotechnol. 1996, 142, 2079–2086. [Google Scholar] [CrossRef] [PubMed]
- Wang, S.; Zhu, Y.; Zhang, Y.; Li, Y. Controlling the oxidoreduction potential of the culture of Clostridium acetobutylicum leads to an earlier initiation of solventogenesis, thus increasing solvent productivity. Appl. Microbiol. Biotechnol. 2012, 93, 1021–1030. [Google Scholar] [CrossRef] [PubMed]
- Su, C.; Zhang, C.; Wu, Y.; Zhu, Q.; Wen, J.; Wang, Y.; Zhao, J.; Liu, Y.; Qin, P.; Cai, D. Combination of pH adjusting and intermittent feeding can improve fermentative acetone-butanol-ethanol (ABE) production from steam exploded corn stover. Renew. Energy 2022, 200, 592–600. [Google Scholar] [CrossRef]
- Zhou, Z.; Jing, Y.; Wei, S.; Zhang, Q.; Peng, S.; An, X.; Li, H. Enhancement of butanol production in Clostridium acetobutylicum SE25 through oxidation-reduction potential regulation and analysis of its metabolic mechanisms. Fuel 2023, 331, 125708. [Google Scholar] [CrossRef]
- Sirisantimethakom, L.; Laopaiboon, L.; Sanchanda, P.; Chatleudmongkol, J.; Laopaiboon, P. Improvement of butanol production from sweet sorghum juice by Clostridium beijerinckii using an orthogonal array design. Ind. Crops Prod. 2016, 79, 287–294. [Google Scholar] [CrossRef]
- Daengbussadee, C.; Laopaiboon, L.; Kaewmaneewat, A.; Sirisantimethakom, L.; Laopaiboon, P. Novel methods using an Arthrobacter sp. to create anaerobic conditions for biobutanol production from sweet sorghum juice by Clostridium beijerinckii. Processes 2021, 9, 178. [Google Scholar] [CrossRef]
- Daengbussadee, C.; Laopaiboon, L.; Laopaiboon, P. Butanol Production by a Novel efficient method using mixed cultures of Clostridium beijerinckii and Arthrobacter sp. in stirred-tank and gas-lift bioreactors. Fermentation 2022, 8, 160. [Google Scholar] [CrossRef]
- Qureshi, N.; Blaschek, H.P. Butanol recovery from model solution/fermentation broth by pervaporation: Evaluation of membrane performance. Biomass Bioenergy 1999, 17, 175–184. [Google Scholar] [CrossRef]
- Ezeji, T.; Qureshi, N.; Blaschek, H.P. Production of acetone-butanol-ethanol (ABE) in a continuous flow bioreactor using degermed corn and Clostridium beijerinckii. Process Biochem. 2007, 42, 34–39. [Google Scholar] [CrossRef]
- Thanapornsin, T.; Laopaiboon, L.; Laopaiboon, P. Capability of immobilized Clostridium beijerinckii for batch and repeated-batch butanol fermentation from sweet sorghum stem juice in various bioreactors. Bioresour. Technol. Rep. 2023, 23, 101590. [Google Scholar] [CrossRef]
- Pumiput, P.; Chuntranuluck, S.; Kitpreechavanich, V.; Punsuvon, V.; Vaithanomsat, P. Production process of hydrolysate from steam explosion of oil palm trunk for xylitol fermentation. Kasetsart J.-Nat. Sci. 2008, 42, 73–78. [Google Scholar]
- Laopaiboon, P.; Thani, A.; Leelavatcharamas, V.; Laopaiboon, L. Acid hydrolysis of sugarcane bagasse for lactic acid production. Bioresour. Technol. 2010, 101, 1036–1043. [Google Scholar] [CrossRef] [PubMed]
- Amiri, H.; Karimi, K. Pretreatment and hydrolysis of lignocellulosic wastes for butanol production: Challenges and perspectives. Bioresour. Technol. 2018, 270, 702–721. [Google Scholar] [CrossRef]
- Yu, M.; Li, J.; Chang, S.; Du, R.; Li, S.; Zhang, L.; Fan, G.; Yan, Z.; Cui, T.; Cong, G.; et al. Optimization of ethanol production from NaOH-pretreated solid state fermented sweet sorghum bagasse. Energies 2014, 7, 4054–4067. [Google Scholar] [CrossRef]
- Lavudi, S.; Oberoi, H.S.; Mangamoori, L.N. Ethanol production from sweet sorghum bagasse through process optimization using response surface methodology. 3 Biotech 2017, 7, 233. [Google Scholar] [CrossRef]
- Mecozzi, M. Estimation of total carbohydrate amount in environmental samples by the phenol-sulphuric acid method assisted by multivariate calibration. Chemom. Intell. Lab. Syst. 2005, 79, 84–90. [Google Scholar] [CrossRef]
- Sun, Z.; Liu, S. Production of n-butanol from concentrated sugar maple hemicellulosic hydrolysate by Clostridia acetobutylicum ATCC824. Biomass Bioenergy 2012, 39, 39–47. [Google Scholar] [CrossRef]
- Wechgama, K.; Laopaiboon, L.; Laopaiboon, P. Enhancement of batch butanol production from sugarcane molasses using nitrogen supplementation integrated with gas stripping for product recovery. Ind. Crops Prod. 2017, 95, 216–226. [Google Scholar] [CrossRef]
- APHA; AWWA; WEF. Standard Methods for the Examination of Water and Wastewater, 20th ed.; American Public Health Association: Washington, DC, USA, 1998. [Google Scholar]
- Abernathy, D.G.; Spedding, G.; Starcher, B. Analysis of protein and total usable nitrogen in beer and wine using a microwell ninhydrin assay. J. Inst. Brew. 2009, 115, 122–127. [Google Scholar] [CrossRef]
- Sillers, R.; Chow, A.; Tracy, B.; Papoutsakis, E.T. Metabolic engineering of the non-sporulating, non-solventogenic Clostridium acetobutylicum strain M5 to produce butanol without acetone demonstrate the robustness of the acid-formation pathways and the importance of the electron balance. Metab. Eng. 2008, 10, 321–332. [Google Scholar] [CrossRef]
- Gheshlaghi, R.; Scharer, J.M.; Moo-Young, M.; Chou, C.P. Metabolic pathways of Clostridia for producing butanol. Biotechnol. Adv. 2009, 27, 764–781. [Google Scholar] [CrossRef] [PubMed]
- Cooksley, C.M.; Zhang, Y.; Wang, H.; Redl, S.; Winzer, K.; Minton, N.P. Targeted mutagenesis of the Clostridium acetobutylicum acetone-butanol-ethanol fermentation pathway. Metab. Eng. 2012, 14, 630–641. [Google Scholar] [CrossRef]
- Gao, M.; Tashiro, Y.; Wang, Q.; Sakai, K.; Sonomoto, K. High acetone-butanol-ethanol production in pH-stat co-feeding of acetate and glucose. J. Biosci. Bioeng. 2016, 122, 176–182. [Google Scholar] [CrossRef] [PubMed]
- Birgen, C.; Berglihn, O.T.; Preisig, H.A.; Wentzel, A. Kinetic study of butanol production from mixtures of glucose and xylose and investigation of different pre-growth strategies. Biochem. Eng. J. 2019, 147, 110–117. [Google Scholar] [CrossRef]
- Liu, L.; Zhang, L.; Tang, W.; Gu, Y.; Hua, Q.; Yang, S.; Jiang, W.; Yang, C. Phosphoketolase pathway for xylose catabolism in Clostridium acetobutylicum revealed by 13C metabolic flux analysis. J. Bacteriol. 2012, 194, 5413–5422. [Google Scholar] [CrossRef] [PubMed]
- Zhao, Z.; Xian, M.; Liu, M.; Zhao, G. Biochemical routes for uptake and conversion of xylose by microorganisms. Biotechnol. Biofuels 2020, 13, 21. [Google Scholar] [CrossRef] [PubMed]
- Domingues, R.; Bondar, M.; Palolo, I.; Queirós, O.; Dias de Almeida, C.; Cesário, M.T. Xylose metabolism in bacteria—Opportunities and challenges towards efficient lignocellulosic biomass-based biorefineries. Appl. Sci. 2021, 11, 8112. [Google Scholar] [CrossRef]
- He, Q.; Chen, H. Improved efficiency of butanol production by absorbed lignocellulose fermentation. J. Biosci. Bioeng. 2013, 115, 298–302. [Google Scholar] [CrossRef] [PubMed]
- Xu, M.; Zhao, J.; Yu, L.; Tang, I.C.; Xue, C.; Yang, S.T. Engineering Clostridium acetobutylicum with a histidine kinase knockout for enhanced n-butanol tolerance and production. Appl. Microbiol. Biotechnol. 2015, 99, 1011–1022. [Google Scholar] [CrossRef] [PubMed]
- Rochón, E.; Ferrari, M.D.; Lareo, C. Integrated ABE fermentation-gas stripping process for enhanced butanol production from sugarcane-sweet sorghum juices. Biomass Bioenergy 2017, 98, 153–160. [Google Scholar] [CrossRef]
- Zhang, J.; Jia, B. Enhanced butanol production using Clostridium beijerinckii SE-2 from the waste of corn processing. Biomass Bioenergy 2018, 115, 260–266. [Google Scholar] [CrossRef]
- Su, Y.; Brown, H.M.; Huang, X.; Zhou, X.D.; Amonette, J.E.; Zhang, Z.C. Single-step conversion of cellulose to 5-hydroxymethylfurfural (HMF), a versatile platform chemical. Appl. Catal. A Gen. 2009, 361, 117–122. [Google Scholar] [CrossRef]
- Mukherjee, A.; Dumont, M.J.; Raghavan, V. Review: Sustainable production of hydroxymethylfurfural and levulinic acid: Challenges and opportunities. Biomass Bioenergy 2015, 72, 143–183. [Google Scholar] [CrossRef]
- Świątek, K.; Gaag, S.; Klier, A.; Kruse, A.; Sauer, J.; Steinbach, D. Acid hydrolysis of lignocellulosic biomass: Sugars and furfurals formation. Catalysts 2020, 10, 437. [Google Scholar] [CrossRef]
- Zunita, M.; Wahyuningrum, D.; Buchari; Bundjali, B.; Wenten, I.G.; Boopathy, R. Conversion of glucose to 5-hydroxymethylfurfural, levulinic acid, and formic acid in 1,3-dibutyl-2-(2-butoxyphenyl)-4,5-diphenylimidazolium iodide-based ionic liquid. Appl. Sci. 2021, 11, 989. [Google Scholar] [CrossRef]
- Liu, C.H. Creating competitive advantage: Linking perspectives of organization learning, innovation behavior and intellectual capital. Int. J. Hosp. Manag. 2017, 66, 13–23. [Google Scholar] [CrossRef]
- Welch, R.W.; Rudolph, F.B.; Papoutsakis, E.T. Purification and characterization of the NADH-dependent butanol dehydrogenase from Clostridium acetobutylicum (ATCC 824). Arch. Biochem. Biophys. 1989, 273, 309–318. [Google Scholar] [CrossRef]
- Dürre, P.; Kuhn, A.; Gottwald, M.; Gottschalk, G. Enzymatic investigations on butanol dehydrogenase and butyraldehyde dehydrogenase in extracts of Clostridium acetobutylicum. Appl. Microbiol. Biotechnol. 1987, 26, 268–272. [Google Scholar] [CrossRef]
- Chandgude, V.; Välisalmi, T.; Linnekoski, J.; Granström, T.; Pratto, B.; Eerikäinen, T.; Jurgens, G.; Bankar, S. Reducing agents assisted fed-batch fermentation to enhance ABE yields. Energy Convers. Manag. 2021, 227, 113627. [Google Scholar] [CrossRef]
- Wang, Y.-F.; Tian, J.; Ji, Z.-H.; Song, M.-Y.; Li, H. Intracellular metabolic changes of Clostridium acetobutylicum and promotion to butanol tolerance during biobutanol fermentation. Int. J. Biochem. Cell Biol. 2016, 78, 297–306. [Google Scholar] [CrossRef] [PubMed]
- Dziemianowicz, W.; Kotarska, K.; Świerczyńska, A. The effect of technological conditions on ABE fermentation and butanol production of rye straw and the composition of volatile compounds. Molecules 2024, 29, 3398. [Google Scholar] [CrossRef] [PubMed]
- Kang, J.; Dahman, Y. Strategies for improving lignocellulosic butanol production and recovery in ABE fermentation by tailoring Clostridia metabolic perturbations. Fermentation 2023, 9, 855. [Google Scholar] [CrossRef]
- Chacón, S.J.; Matias, G.; Vieira, C.F.d.S.; Ezeji, T.C.; Maciel Filho, R.; Mariano, A.P. Enabling butanol production from crude sugarcane bagasse hemicellulose hydrolysate by batch-feeding it into molasses fermentation. Ind. Crops Prod. 2020, 155, 112837. [Google Scholar] [CrossRef]
- Li, J.; Du, Y.; Bao, T.; Dong, J.; Lin, M.; Shim, H.; Yang, S.T. n-Butanol production from lignocellulosic biomass hydrolysates without detoxification by Clostridium tyrobutyricum Δack-adhE2 in a fibrous-bed bioreactor. Bioresour. Technol. 2019, 289, 121749. [Google Scholar] [CrossRef] [PubMed]
- Al-Shorgani, N.K.N.; Al-Tabib, A.I.; Kadier, A.; Zanil, M.F.; Lee, K.M.; Kalil, M.S. Continuous butanol fermentation of dilute acid-pretreated de-oiled rice bran by Clostridium acetobutylicum YM1. Sci. Rep. 2019, 9, 4622. [Google Scholar] [CrossRef] [PubMed]
- Yang, M.; Kuittinen, S.; Vepsäläinen, J.; Zhang, J.; Pappinen, A. Enhanced acetone-butanol-ethanol production from lignocellulosic hydrolysates by using starchy slurry as supplement. Bioresour. Technol. 2017, 243, 126–134. [Google Scholar] [CrossRef]
- Yu, L.; Xu, M.; Tang, I.C.; Yang, S.T. Metabolic engineering of Clostridium tyrobutyricum for n-butanol production through co-utilization of glucose and xylose. Biotechnol. Bioeng. 2015, 112, 2134–2141. [Google Scholar] [CrossRef] [PubMed]




| Glucose:Xylose (%, w/w) | Concentration (g/L) | |
|---|---|---|
| Glucose | Xylose | |
| 100:0 | 60 | 0 |
| 75:25 | 45 | 15 |
| 50:50 | 30 | 30 |
| 25:75 | 15 | 45 |
| 0:100 | 0 | 60 |
| Glucose:Xylose (%, w/w) | PB (g/L) | PABE (g/L) | SC (%) | t (h) | YB/S (g/g) | QB (g/L∙h) |
|---|---|---|---|---|---|---|
| 100:0 | 10.25 ± 0.16 a | 18.06 ± 0.01 a | 63.03 ± 1.96 a | 48 | 0.27 ± 0.01 a | 0.22 ± 0.01 a |
| 75:25 | 10.60 ± 0.44 a | 17.08 ± 0.31 b | 61.76 ± 1.68 a | 48 | 0.28 ± 0.00 a | 0.22 ± 0.01 a |
| 50:50 | 9.78 ± 0.12 b | 15.63 ± 0.16 c | 56.94 ± 0.22 b | 48 | 0.28 ± 0.00 a | 0.21 ± 0.00 a |
| 25:75 | 7.90 ± 0.04 c | 11.43 ± 0.34 d | 47.85 ± 0.36 c | 48 | 0.28 ± 0.01 a | 0.16 ± 0.01 b |
| 0:100 | 1.65 ± 0.01 d | 2.64 ± 0.11 e | 12.34 ± 0.45 d | 36 | 0.22 ± 0.01 b | 0.05 ± 0.01 c |
| Butanol Production Media | PB (g/L) | PABE (g/L) | Pacid (g/L) | SC (%) | t (h) | YB/S (g/g) | QB (g/L∙h) |
|---|---|---|---|---|---|---|---|
| SSBH | 1.18 ± 0.13 e | 2.04 ± 0.08 d | 5.40 ± 0.34 b | 10.89 ± 1.22 e | 24 | 0.17 ± 0.02 c | 0.05 ± 0.01 d |
| SSBH-YE | 2.76 ± 0.02 d | 3.19 ± 0.15 c | 7.99 ± 0.16 a | 15.28 ± 0.10 d | 24 | 0.29 ± 0.00 b | 0.12 ± 0.00 c |
| SSBH-YE-Buf | 15.10 ± 0.21 a | 23.66 ± 0.37 a | 2.68 ± 0.05 c | 81.66 ± 0.22 b | 48 | 0.31 ± 0.01 a | 0.31 ± 0.00 a |
| SSBH-Nut in P2 | 14.66 ± 0.14 b | 24.02 ± 0.17 a | 2.18 ± 0.00 d | 83.30 ± 0.13 a | 48 | 0.29 ± 0.01 a | 0.31 ± 0.01 a |
| * Modified P2 medium | 10.77 ± 0.12 c | 18.89 ± 0.23 b | 0.55 ± 0.04 e | 63.20 ± 0.71 c | 48 | 0.28 ± 0.01 a | 0.22 ± 0.01 b |
| Substrate | Strain | PB (g/L) | YB/S (g/g) | Reference |
|---|---|---|---|---|
| Sweet sorghum bagasse hydrolysate (SSBH) (60 g/L, containing glucose:xylose = 88:12) | C. beijerinckii TISTR 1461 | 15.10 | 0.31 | Current study |
| Modified P2 medium (60 g/L, containing glucose:xylose = 88:12) | C. beijerinckii TISTR 1461 | 10.77 | 0.28 | Current study |
| Rye straw (43 g/L) | C. acetobutylicum DSM 1731 | 16.11 | 0.40 | [59] |
| Wheat straw hydrolysate (60 g/L) | C. beijerinckii BA101 | 10.11 | 0.22 | [60] |
| Sugarcane bagasse hydrolysate and molasses (60 g/L) | C. saccharoperbutylacetonicum DSM 14923 | 10.00 | 0.31 | [61] |
| Sugarcane bagasse hydrolysate (60 g/L) | C. tyrobutyricum Δack-adhE2 | 12.00 | 0.20 | [62] |
| Sugarcane bagasse hydrolysate and molasses (30 g/L) | C. saccharoperbutylacetonicum DSM 14923 | 7.79 | 0.28 | [7] |
| Rice bran (40 g/L) | C. acetobutylicum YM1 | 8.27 | 0.21 | [63] |
| Salix hydrolysate (20 g/L) | C. acetobutylicum DSM 1731 | 6.70 | 0.22 | [64] |
| Soybean hull hydrolysate (65 g/L) | C. tyrobutyricum ATCC 25755 | 15.70 | 0.24 | [65] |
Disclaimer/Publisher’s Note: The statements, opinions and data contained in all publications are solely those of the individual author(s) and contributor(s) and not of MDPI and/or the editor(s). MDPI and/or the editor(s) disclaim responsibility for any injury to people or property resulting from any ideas, methods, instructions or products referred to in the content. |
© 2025 by the authors. Licensee MDPI, Basel, Switzerland. This article is an open access article distributed under the terms and conditions of the Creative Commons Attribution (CC BY) license (https://creativecommons.org/licenses/by/4.0/).
Share and Cite
Daengbussadee, C.; Laopaiboon, L.; Thanapornsin, T.; Laopaiboon, P. Optimization of Butanol Production from Mixed Sugars and Sweet Sorghum Bagasse Hydrolysate Using Clostridium beijerinckii TISTR 1461. Energies 2025, 18, 306. https://doi.org/10.3390/en18020306
Daengbussadee C, Laopaiboon L, Thanapornsin T, Laopaiboon P. Optimization of Butanol Production from Mixed Sugars and Sweet Sorghum Bagasse Hydrolysate Using Clostridium beijerinckii TISTR 1461. Energies. 2025; 18(2):306. https://doi.org/10.3390/en18020306
Chicago/Turabian StyleDaengbussadee, Chalida, Lakkana Laopaiboon, Thanawat Thanapornsin, and Pattana Laopaiboon. 2025. "Optimization of Butanol Production from Mixed Sugars and Sweet Sorghum Bagasse Hydrolysate Using Clostridium beijerinckii TISTR 1461" Energies 18, no. 2: 306. https://doi.org/10.3390/en18020306
APA StyleDaengbussadee, C., Laopaiboon, L., Thanapornsin, T., & Laopaiboon, P. (2025). Optimization of Butanol Production from Mixed Sugars and Sweet Sorghum Bagasse Hydrolysate Using Clostridium beijerinckii TISTR 1461. Energies, 18(2), 306. https://doi.org/10.3390/en18020306
