Power to the People: On the Role of Districts in Decentralized Energy Systems
Abstract
Highlights
- Integration of decentralized models with a centralized national energy system framework.
- Strategic reduction in photovoltaic (PV) installation requirements and system cost through decentralized approaches.
- Optimization of self-consumption to minimize grid reinforcement needs.
- Identification of key trade-offs in PV integration and the importance of energy storage and grid management.
- Exploration of electrification strategies, power-to-methane technologies, and the use of existing gas grids to bridge decentralized and centralized systems.
Abstract
1. Introduction
1.1. Context
1.2. State of the Art
| Author | Decomposition | Sub-Region | Main Region | Case Study | Uncertainty |
|---|---|---|---|---|---|
| Alcamo et al. [3] | ✗ | 22,500 km2 | Continent | USA | ✗ |
| Manne et al. [4] | ✗ | 1/4 world | World | Multiple | ✗ |
| IAEA [26] | ✗ | Districts | Countries | Multiple | ✗ |
| Heide et al. [9] | ✗ | 2000 km2 | Continent | America | ✗ |
| Capros et al. [27] | ✗ | Country | Continent | Multiple | ✗ |
| Havlìk et al. [28] | ✗ | Country | Continent | USA | ✗ |
| Leuthold et al. [29] | ✗ | Countries | Continent | Multiple | ✗ |
| Rasmussen et al. [10] | ✗ | 2500 km2 | Continent | Multiple | ✗ |
| Becker et al. [30] | ✗ | 1600 km2 | Country | NL | ✗ |
| Jacobson et al. [31] | ✗ | States | Country | Multiple | ✓ |
| Schlecht and Weigt [32] | ✗ | Cantons | Country | EU | ✗ |
| Morvaj et al. [33] | ✗ | Houses | Districts | Multiple | ✗ |
| Clack et al. [6] | ✗ | States | Country | ✗ | ✗ |
| Bartlett et al. [34] | ✗ | Nodes | Country | Multiple | ✗ |
| Abrell et al. [35] | ✗ | Cantons | Country | Multiple | ✓ |
| Gholazideh et al. [36] | ✗ | Nodes | km2 | Multiple | ✗ |
| Antenucci et al. [37] | ✗ | States | Continent | Multiple | ✗ |
| Siala et al. [38] | ✗ | Countries | Continent | Multiple | ✗ |
| Tröndle et al. [39] | ✗ | Communes | Continent | EU | ✓ |
| Ruiz et al. [40] | ✗ | Countries | Continent | Multiple | ✗ |
| Bachner et al. [41] | ✗ | Countries | Continent | Multiple | ✓ |
| Siala et al. [42] | ✗ | Sub-countries | Continent | USA | ✗ |
| Pang et al. [43] | ✗ | km2 | Country | USA | ✗ |
| Dias et al. [44] | ✗ | Districts | City | PT | ✗ |
| Bernath et al. [45] | ✗ | Countries | Continent | ✗ | ✓ |
| Stadler & Maréchal [46] | ✗ | Communes | Country | ✗ | ✗ |
| Jensen et al. [7] | ✗ | Sub-countries | Countries | CH | ✓ |
| Dujardin et al. [8] | ✗ | 1.7 km2 | Country | CH | ✗ |
| Gu et al. [47] | ✗ | m2 | km2 | USA | ✗ |
| Witek and Uilhoorn [48] | ✗ | Nodes | Country | CH | ✓ |
| Holweger et al. [49] | ✗ | Buildings | Districts | ✗ | ✗ |
| Wakui et al. [50] | ✓ | Nodes | Grid | ✗ | ✗ |
| Middelhauve et al. [2] | ✓ | Buildings | Districts | EU | ✗ |
1.3. Resulting Gap and Contribution
1.3.1. Computational Complexity of Integrating Local Systems
1.3.2. Integration of Micro- and Macro-System Dynamics
1.3.3. Optimal Balance of Centralization and Decentralization
1.3.4. Role of Self-Consumption
1.3.5. Contribution
2. Methods
2.1. The Prosumer within the Energy System
2.1.1. Swiss Building Stock Typification
2.1.2. Characterization and Optimization of Renewable Energy Hubs Configurations within Each District
2.1.3. Soft-Linking of Macroscopic and Microscopic Modeling
Soft-Linking
Optimization Problem
Economic Objective
Grid Strain
2.2. Uncertainty Analysis
Methodological Synthesis for Optimized Energy System Integration
3. Results
3.1. The Swiss Building Stock
3.2. Dynamics of Uncertainty: A Model Comparison
3.2.1. Renewable Energy
3.2.2. Heating Technologies
3.2.3. Infrastructure and Techno-Economic Analysis
3.2.4. Inherent Strengths and Limitations in Managing Uncertainties
3.3. PV Integration Strategies: Centralized and Decentralized Models Analyzed
3.3.1. Energy Trade-Offs
3.3.2. Infrastructure
3.3.3. Overproduction
3.4. Self-Consumption in Focus: Decentralized Model’s Perspective
3.4.1. Less Is More
3.4.2. Prioritizing Sunny Places Areas
3.4.3. Self-Sufficiency Is Key
4. Discussion
4.1. Relevance of a Regionalized Model for Modelers and Energy Planners
4.2. Centralized vs. Decentralized Energy Planning Strategies
4.3. Key Trade-offs Identified by the Results
4.4. Implications for Future Research
5. Conclusions
5.1. Regionalized Model Contributions
5.2. Centralized vs. Decentralized Planning Insights
5.3. Future Research Directions
6. Outlook
Author Contributions
Funding
Data Availability Statement
Acknowledgments
Conflicts of Interest
Glossary
| CAPEX | capital expenditure |
| CH4 | methane |
| DBSCAN | density-based spatial clustering of applications with noise |
| EHV | Extra-High Voltage |
| ES | EnergyScope |
| GSA | Global Sensitivity Analysis |
| HV | High Voltage |
| LP | Low Pressure |
| LV | low voltage |
| MILP | Mixed-Integer Linear Programming |
| MV | Medium Voltage |
| OPEX | operational expenditure |
| PV | photovoltaic |
| REHO | Renewable Energy Hub Optimizer |
| TOTEX | total expenditure |
Nomenclature
- Modeling variables: ,
- Modeling parameters: ,
- Modeling sets: ,
- General parameters not included in the model: .
| Parameters. | ||
| Specific cost | ||
| Existing capacity | ||
| Number | ||
| Time | ||
| Efficiency | ||
| Annualization factor | ||
| Variables | ||
| Cost | ||
| Installation size | ||
| Installation use | ||
| Configuration selection | ||
| Sets | ||
| Cost | Investment, operation, and maintenance | |
| Indicators | ||
| Periods | ||
| Technologies | ||
| Subscripts | ||
| Construction | ||
| Investment | ||
| Maintenance | ||
| Objective | ||
| t | Period | |
| Total | ||
Appendix A. Terminology
- Energy-planning strategies: Refers to the overarching approaches and methods adopted for the development, management, and optimization of energy systems at various scales. These strategies may include policy decisions, infrastructure investments, and operational practices to achieve specific energy system goals, such as sustainability, resilience, or independence.
- Model structures and capabilities: Pertains to the technical and computational frameworks used to simulate and analyze energy systems. This includes the internal algorithms, data-handling methods, and analytical processes that determine a model’s ability to represent energy dynamics accurately. Model structures and capabilities are distinct from the strategic applications of model outputs in energy planning.
- Centralized (top-down) models are defined as those that approach energy system planning from a national or global perspective, often emphasizing large-scale infrastructure and energy flows managed by a central authority. The term “centralized” may also refer to energy-planning strategies that rely on large, centralized energy-production facilities and infrastructure.
- Decentralized (bottom-up) models refer to approaches that focus on local energy generation, distribution, and consumption, highlighting the role of individual or community-level actors, such as prosumers. In strategic terms, “decentralization” refers to the shift towards local autonomy and energy production, promoting smaller scale, distributed energy resources.
- Regionalization in modeling: Addresses the need to incorporate geographic and regional specificities into energy models, recognizing the diversity of energy demands, resource availability, and infrastructure conditions across different areas. Regionalization enhances the model’s accuracy in representing the spatial dimensions of energy systems.
- Strategy vs. model Clarification: Throughout this paper, when discussing “strategies”, the focus is on energy-planning and -policy implications derived from model analyses. In contrast, discussions on “models” pertain to their structural and computational aspects, including their design to simulate energy system dynamics effectively.
Appendix B. Swiss Energy System Typification

Appendix C. District Energy System Configurations


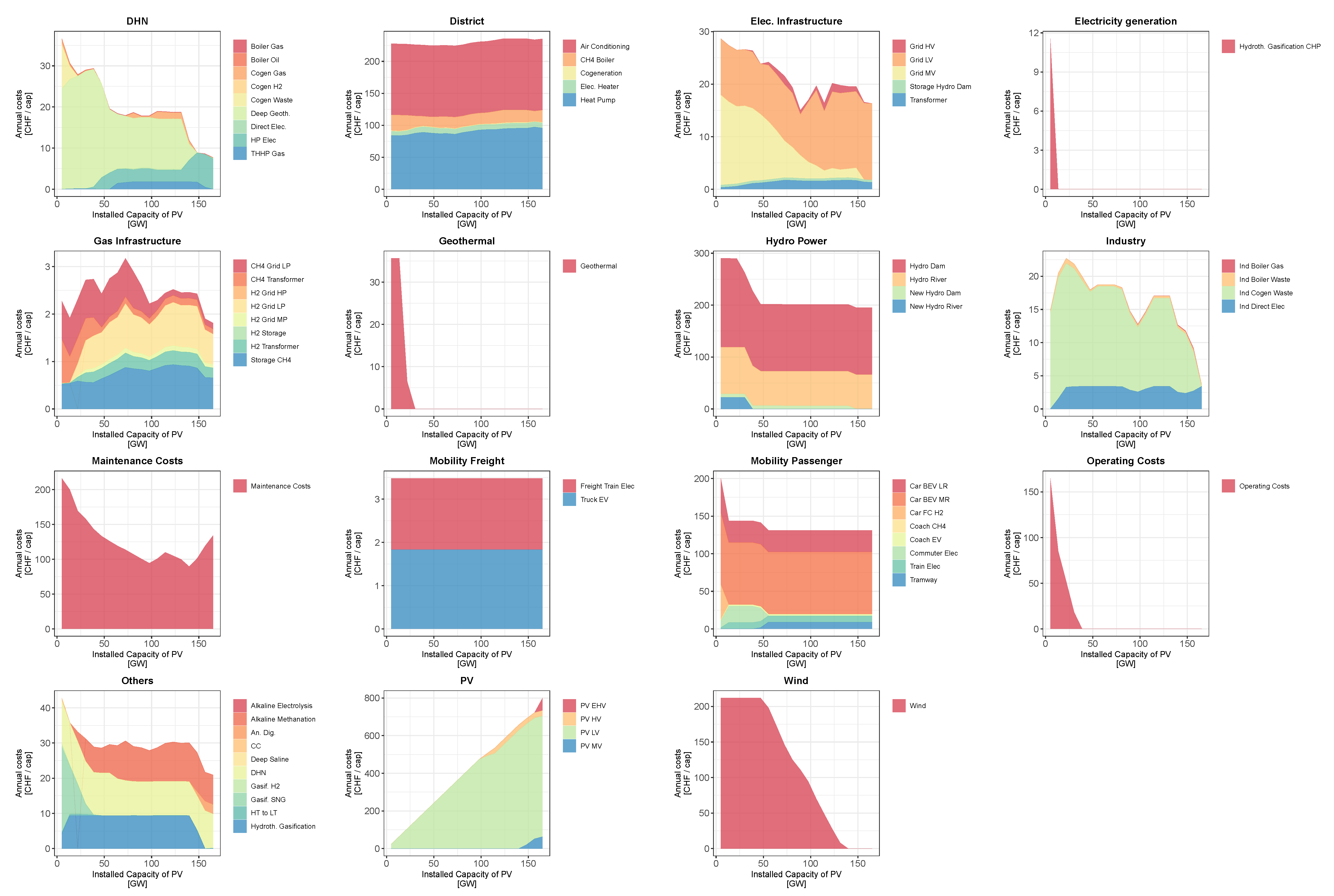
Appendix D. PV Integration Strategies
Appendix D.1. Energy System


Appendix D.2. Districts


Appendix D.3. Sectors


Appendix E. Self-Consumption in Focus
Appendix E.1. PV Districts

Appendix E.2. Energy System

Appendix E.3. Districts


Appendix E.4. Sectors


References
- Schnidrig, J.; Cherkaoui, R.; Calisesi, Y.; Margni, M.; Maréchal, F. On the role of energy infrastructure in the energy transition. Case study of an energy independent and CO2 neutral energy system for Switzerland. Front. Energy Res. 2023, 11, 1164813. [Google Scholar] [CrossRef]
- Middelhauve, L.; Terrier, C.; Maréchal, F. Decomposition Strategy for Districts as Renewable Energy Hubs. IEEE Open Access J. Power Energy 2022, 9, 287–297. [Google Scholar] [CrossRef]
- Alcamo, J.; Shaw, R.; Hordijk, L. (Eds.) The RAINS Model of Acidification: Science and Strategies in Europe; Springer: Dordrecht, The Netherlands, 1990. [Google Scholar]
- Manne, A.; Mendelsohn, R.; Richels, R. MERGE: A model for evaluating regional and global effects of GHG reduction policies. Energy Policy 1995, 23, 17–34. [Google Scholar] [CrossRef]
- Stadler, P.; Maréchal, F. The Integrative Role of Natural Gas in the Energy Transition of Switzerland; Technical report; Gaznat: Lausanne, Switzerland, 2020. [Google Scholar]
- Clack, C.T.M.; Qvist, S.A.; Apt, J.; Bazilian, M.; Brandt, A.R.; Caldeira, K.; Davis, S.J.; Diakov, V.; Handschy, M.A.; Hines, P.D.H.; et al. Evaluation of a proposal for reliable low-cost grid power with 100% wind, water, and solar. Proc. Natl. Acad. Sci. USA 2017, 114, 6722–6727. [Google Scholar] [CrossRef]
- Jensen, I.G.; Wiese, F.; Bramstoft, R.; Münster, M. Potential role of renewable gas in the transition of electricity and district heating systems. Energy Strategy Rev. 2020, 27, 100446. [Google Scholar] [CrossRef]
- Dujardin, J.; Kahl, A.; Kruyt, B.; Bartlett, S.; Lehning, M. Interplay between photovoltaic, wind energy and storage hydropower in a fully renewable Switzerland. Energy 2017, 135, 513–525. [Google Scholar] [CrossRef]
- Heide, D.; von Bremen, L.; Greiner, M.; Hoffmann, C.; Speckmann, M.; Bofinger, S. Seasonal optimal mix of wind and solar power in a future, highly renewable Europe. Renew. Energy 2010, 35, 2483–2489. [Google Scholar] [CrossRef]
- Rasmussen, M.G.; Andresen, G.B.; Greiner, M. Storage and balancing synergies in a fully or highly renewable pan-European power system. Energy Policy 2012, 51, 642–651. [Google Scholar] [CrossRef]
- Brandoni, C.; Polonara, F. The role of municipal energy planning in the regional energy-planning process. Energy 2012, 48, 323–338. [Google Scholar] [CrossRef]
- Diane, v.G.; Poumadère, F.; Bungener, M.; Chiffelle, D. Implementation of Local Energy Plans in Western Switzerland: Survey of the Current State and Possible Paths Forward. Sustainability 2021, 13, 10970. [Google Scholar] [CrossRef]
- Chomać-Pierzecka, E.; Rogozińska-Mitrut, J.; Różycka, M.; Soboń, D.; Stasiak, J. Energy Innovation for Individual Consumers in Poland—Analysis of Potential and Evaluation of Practical Applications in Selected Areas. Energies 2023, 16, 5766. [Google Scholar] [CrossRef]
- De Pascali, P.; Bagaini, A. Energy Transition and Urban Planning for Local Development. A Critical Review of the Evolution of Integrated Spatial and Energy Planning. Energies 2019, 12, 35. [Google Scholar] [CrossRef]
- Harb, H.; Paprott, J.N.; Matthes, P.; Schütz, T.; Streblow, R.; Müller, D. Decentralized scheduling strategy of heating systems for balancing the residual load. Build. Environ. 2015, 86, 132–140. [Google Scholar] [CrossRef]
- Schütz, T.; Hu, X.; Fuchs, M.; Müller, D. Optimal design of decentralized energy conversion systems for smart microgrids using decomposition methods. Energy 2018, 156, 250–263. [Google Scholar] [CrossRef]
- Schulz, J.; Leinmüller, D.; Misik, A.; Zaeh, M.F. Renewable On-Site Power Generation for Manufacturing Companies—Technologies, Modeling, and Dimensioning. Sustainability 2021, 13, 3898. [Google Scholar] [CrossRef]
- Bashir, A.A.; Pourakbari Kasmaei, M.; Safdarian, A.; Lehtonen, M. Matching of Local Load with On-Site PV Production in a Grid-Connected Residential Building. Energies 2018, 11, 2409. [Google Scholar] [CrossRef]
- Araújo, I.; Nunes, L.J.R.; Curado, A. Photovoltaic Production Management under Constrained Regulatory Requirements: A Step towards a Local Energy Community Creation. Energies 2023, 16, 7625. [Google Scholar] [CrossRef]
- Ullah, I.; Rasheed, M.B.; Alquthami, T.; Tayyaba, S. A Residential Load Scheduling with the Integration of On-Site PV and Energy Storage Systems in Micro-Grid. Sustainability 2020, 12, 184. [Google Scholar] [CrossRef]
- Bastholm, C.; Henning, A. The use of three perspectives to make energy implementation studies more culturally informed. Energy Sustain. Soc. 2014, 4, 3. [Google Scholar] [CrossRef]
- Li, F.G.; Trutnevyte, E.; Strachan, N. A review of socio-technical energy transition (STET) models. Technol. Forecast. Soc. Chang. 2015, 100, 290–305. [Google Scholar] [CrossRef]
- Adamik, A.; Sikora-Fernandez, D. Smart Organizations as a Source of Competitiveness and Sustainable Development in the Age of Industry 4.0: Integration of Micro and Macro Perspective. Energies 2021, 14, 1572. [Google Scholar] [CrossRef]
- Senkpiel, C.; Dobbins, A.; Kockel, C.; Steinbach, J.; Fahl, U.; Wille, F.; Globisch, J.; Wassermann, S.; Droste-Franke, B.; Hauser, W.; et al. Integrating Methods and Empirical Findings from Social and Behavioural Sciences into Energy System Models—Motivation and Possible Approaches. Energies 2020, 13, 4951. [Google Scholar] [CrossRef]
- Rogov, M.; Rozenblat, C. Urban Resilience Discourse Analysis: Towards a Multi-Level Approach to Cities. Sustainability 2018, 10, 4431. [Google Scholar] [CrossRef]
- IAEA. Wien Automatic System Planning (WASP) Package A Computer Code for Power Generating System Expansion Planning Version WASP-IV; Text VI; IAEA: Vienna, Austria, 2019. [Google Scholar]
- Capros, P.; E3MLab; ICCS; NTUA. General Equilibrium Model for Economy–Energy–Environment; Model description 1; National Technical University of Athens: Athens, Greece, 2012. [Google Scholar]
- Havlìk, P. Methodology Underlying the CAPRI Model; Technical report; IIASA: Laxenburg, Austria, 2012. [Google Scholar]
- Leuthold, F.U.; Weigt, H.; von Hirschhausen, C. A Large-Scale Spatial Optimization Model of the European Electricity Market. Netw. Spat. Econ. 2012, 12, 75–107. [Google Scholar] [CrossRef]
- Becker, H.; Spinato, G.; Maréchal, F. A Multi-Objective Optimization Method to integrate Heat Pumps in Industrial Processes. Comput. Aided Chem. Eng. 2011, 29, 1673–1677. [Google Scholar] [CrossRef]
- Jacobson, M.Z.; Delucchi, M.A.; Bauer, Z.A.F.; Goodman, S.C.; Chapman, W.E.; Cameron, M.A.; Bozonnat, C.; Chobadi, L.; Clonts, H.A.; Enevoldsen, P.; et al. 100% Clean and Renewable Wind, Water, and Sunlight All-Sector Energy Roadmaps for 139 Countries of the World. Joule 2017, 1, 108–121. [Google Scholar] [CrossRef]
- Schlecht, I.; Weigt, H. Swissmod—A Model of the Swiss Electricity Market; Center of Business and Economics (WWZ), University of Basel: Basel, Switzerland, 2014. [Google Scholar] [CrossRef]
- Morvaj, B.; Evins, R.; Carmeliet, J. Optimising urban energy systems: Simultaneous system sizing, operation and district heating network layout. Energy 2016, 116, 619–636. [Google Scholar] [CrossRef]
- Bartlett, S.; Dujardin, J.; Kahl, A.; Kruyt, B.; Manso, P.; Lehning, M. Charting the course: A possible route to a fully renewable Swiss power system. Energy 2018, 163, 942–955. [Google Scholar] [CrossRef]
- Abrell, J.; Eser, P.; Garrison, J.B.; Savelsberg, J.; Weigt, H. Integrating economic and engineering models for future electricity market evaluation: A Swiss case study. Energy Strategy Rev. 2019, 25, 86–106. [Google Scholar] [CrossRef]
- Gholizadeh, N.; Vahid-Pakdel, M.J.; Mohammadi-ivatloo, B. Enhancement of demand supply’s security using power to gas technology in networked energy hubs. Int. J. Electr. Power Energy Syst. 2019, 109, 83–94. [Google Scholar] [CrossRef]
- Antenucci, A.; Crespo del Granado, P.; Gjorgiev, B.; Sansavini, G. Can models for long-term decarbonization policies guarantee security of power supply? A perspective from gas and power sector coupling. Energy Strategy Rev. 2019, 26, 100410. [Google Scholar] [CrossRef]
- Siala, K.; Mahfouz, M.Y. Impact of the choice of regions on energy system models. Energy Strategy Rev. 2019, 25, 75–85. [Google Scholar] [CrossRef]
- Tröndle, T.; Pfenninger, S.; Lilliestam, J. Home-made or imported: On the possibility for renewable electricity autarky on all scales in Europe. Energy Strategy Rev. 2019, 26, 100388. [Google Scholar] [CrossRef]
- Ruiz, P.; Nijs, W.; Tarvydas, D.; Sgobbi, A.; Zucker, A.; Pilli, R.; Jonsson, R.; Camia, A.; Thiel, C.; Hoyer-Klick, C.; et al. ENSPRESO—An open, EU-28 wide, transparent and coherent database of wind, solar and biomass energy potentials. Energy Strategy Rev. 2019, 26, 100379. [Google Scholar] [CrossRef]
- Bachner, G.; Mayer, J.; Steininger, K.W. Costs or benefits? Assessing the economy-wide effects of the electricity sector’s low carbon transition—The role of capital costs, divergent risk perceptions and premiums. Energy Strategy Rev. 2019, 26, 100373. [Google Scholar] [CrossRef]
- Siala, K.; de la Rúa, C.; Lechón, Y.; Hamacher, T. Towards a sustainable European energy system: Linking optimization models with multi-regional input-output analysis. Energy Strategy Rev. 2019, 26, 100391. [Google Scholar] [CrossRef]
- Pang, X.; Trubins, R.; Lekavicius, V.; Galinis, A.; Mozgeris, G.; Kulbokas, G.; Mörtberg, U. Forest bioenergy feedstock in Lithuania—Renewable energy goals and the use of forest resources. Energy Strategy Rev. 2019, 24, 244–253. [Google Scholar] [CrossRef]
- Dias, L.P.; Simões, S.; Gouveia, J.P.; Seixas, J. City energy modelling—Optimising local low carbon transitions with household budget constraints. Energy Strategy Rev. 2019, 26, 100387. [Google Scholar] [CrossRef]
- Bernath, C.; Deac, G.; Sensfuß, F. Influence of heat pumps on renewable electricity integration: Germany in a European context. Energy Strategy Rev. 2019, 26, 100389. [Google Scholar] [CrossRef]
- Stadler, P.; Girardin, L.; Maréchal, F. The swiss potential of model predictive control for building energy systems. In Proceedings of the 2017 IEEE PES Innovative Smart Grid Technologies Conference Europe (ISGT-Europe), Turin, Italy, 26–29 September 2017; pp. 1–6. [Google Scholar] [CrossRef]
- Gu, B.; Meng, H.; Ge, M.; Zhang, H.; Liu, X. Cooperative multiagent optimization method for wind farm power delivery maximization. Energy 2021, 233, 121076. [Google Scholar] [CrossRef]
- Witek, M.; Uilhoorn, F.E. Influence of gas transmission network failure on security of supply. J. Nat. Gas Sci. Eng. 2021, 90, 103877. [Google Scholar] [CrossRef]
- Holweger, J.; Bloch, L.; Ballif, C.; Wyrsch, N. Mitigating the impact of distributed PV in a low-voltage grid using electricity tariffs. Electr. Power Syst. Res. 2020, 189, 106763. [Google Scholar] [CrossRef]
- Wakui, T.; Hashiguchi, M.; Yokoyama, R. Structural design of distributed energy networks by a hierarchical combination of variable- and constraint-based decomposition methods. Energy 2021, 224, 120099. [Google Scholar] [CrossRef]
- Leuchthaler-Felber, G. Schweizerische Gesamtenergiestatistik 2019; Technical Report 2020/19; BFE: Bern, Switzerland, 2020. [Google Scholar]
- Eidgenössische Elektrizitätskommission ElCom. Tätigkeitsbericht der ElCom 2020; Technical report; Eidgenössische Elektrizitätskommission ElCom: Bern, Switzerland, 2021. [Google Scholar]
- Graczyk, D.; Hyoe, K.; Lo Re, L.; van Boemen, A. Switzerland 2023—Energy Policies of IEA Countries: Review; Technical report; IEA—Organization for Economic Cooperation & Development: Paris, France, 2023. [Google Scholar]
- Girardin, L. A GIS-Based Methodology for the Evaluation of Integrated Energy Systems in Urban Area. Ph.D. Thesis, EPFL, Lausanne, Switzerland, 2012. [Google Scholar] [CrossRef]
- Gupta, R.; Sossan, F.; Paolone, M. Countrywide PV hosting capacity and energy storage requirements for distribution networks: The case of Switzerland. Appl. Energy 2021, 281, 116010. [Google Scholar] [CrossRef]
- Terrier, C.; Loustau, J.R.H.; Lepour, D.; Maréchal, F. From Local Energy Communities towards National Energy System: A Grid-Aware Techno-Economic Analysis. Energies 2024, 17, 910. [Google Scholar] [CrossRef]
- Chuat, A.; Terrier, C.; Schnidrig, J.; Marechal, F. Identification of typical district configurations: A two-step global sensitivity analysis framework. Energy 2024, 296, 131116. [Google Scholar] [CrossRef]
- Morris, M.D. Factorial Sampling Plans for Preliminary Computational Experiments. Technometrics 1991, 33, 161–174. [Google Scholar] [CrossRef]
- Sobol, I.M. On the distribution of points in a cube and the approximate evaluation of integrals. USSR Comput. Math. Math. Phys. 1969, 7, 86–112. [Google Scholar] [CrossRef]
- Moret, S.; Codina Girones, V.; Bierlaire, M.; Maréchal, F. Characterization of input uncertainties in strategic energy planning models. Appl. Energy 2017, 202, 597–617. [Google Scholar] [CrossRef]
- Li, X.; Damartzis, T.; Stadler, Z.; Moret, S.; Meier, B.; Friedl, M.; Maréchal, F. Decarbonization in Complex Energy Systems: A Study on the Feasibility of Carbon Neutrality for Switzerland in 2050. Front. Energy Res. 2020, 8, 549615. [Google Scholar] [CrossRef]
- Morokoff, W.J.; Caflisch, R.E. Quasi-Monte Carlo Integration. J. Comput. Phys. 1995, 122, 218–230. [Google Scholar] [CrossRef]








Disclaimer/Publisher’s Note: The statements, opinions and data contained in all publications are solely those of the individual author(s) and contributor(s) and not of MDPI and/or the editor(s). MDPI and/or the editor(s) disclaim responsibility for any injury to people or property resulting from any ideas, methods, instructions or products referred to in the content. |
© 2024 by the authors. Licensee MDPI, Basel, Switzerland. This article is an open access article distributed under the terms and conditions of the Creative Commons Attribution (CC BY) license (https://creativecommons.org/licenses/by/4.0/).
Share and Cite
Schnidrig, J.; Chuat, A.; Terrier, C.; Maréchal, F.; Margni, M. Power to the People: On the Role of Districts in Decentralized Energy Systems. Energies 2024, 17, 1718. https://doi.org/10.3390/en17071718
Schnidrig J, Chuat A, Terrier C, Maréchal F, Margni M. Power to the People: On the Role of Districts in Decentralized Energy Systems. Energies. 2024; 17(7):1718. https://doi.org/10.3390/en17071718
Chicago/Turabian StyleSchnidrig, Jonas, Arthur Chuat, Cédric Terrier, François Maréchal, and Manuele Margni. 2024. "Power to the People: On the Role of Districts in Decentralized Energy Systems" Energies 17, no. 7: 1718. https://doi.org/10.3390/en17071718
APA StyleSchnidrig, J., Chuat, A., Terrier, C., Maréchal, F., & Margni, M. (2024). Power to the People: On the Role of Districts in Decentralized Energy Systems. Energies, 17(7), 1718. https://doi.org/10.3390/en17071718

