Decomposition-Based Multi-Classifier-Assisted Evolutionary Algorithm for Bi-Objective Optimal Wind Farm Energy Capture
Abstract
1. Introduction
- The bi-level OWFEC is proposed to pursue the maximum power output and the balance of fatigue load distribution during the energy capture based on the Pareto-based optimization;
- To rapidly acquire the high-quality Pareto optimal solutions, the decomposition-based multi-classifier-assisted evolutionary algorithm is firstly designed for the presented bi-objective OWFEC;
- The simulations are carried out with three different scales of wind farms and compared with several familiar Pareto-based meta-heuristic algorithms to evaluate the effectiveness and performance of the proposed model and algorithm.
2. Mathematical Model of Bi-Objective Optimal Wind Farm Energy Capture
2.1. Wake Effect
2.2. Bi-Objective Optimization Model of OWFEC
2.2.1. Objective Function
2.2.2. Constraints
- Wind speed constraint: is the exotic wind speed, which should be between the cut-in wind speed and the cut-off wind speed of the wind turbine, to keep the rotor of the wind turbine in operation. In this paper, wind speed scale is set as follows:
- Power constraint: is the active output of the th fan. In the traditional sense, the power can be reduced to zero through pitch regulation, and the maximum power is usually the rated power. This can be shown as follows:
- Rotor speed constraint: is the rotor speed of the th wind turbine. The output power of a wind turbine does not exhibit linear growth with the increasing rotor speed of wind turbine. Generally, we need to keep the rotor speed within a certain range to maximize the output power. In this paper, the scale of rotor speed is set as follows:
- Tip speed ratio (TSR) constraint: We know that ; when the pitch angle is constant, we require the wind energy utilization coefficient curve to run on the right half, so there is a minimum limit on the tip speed ratio:
- Axial induction factor constraint: The axial induction factor of wind turbines should be between 0 and because the maximum value of will be obtained while is in this range according to (4), which can be written as follows:
3. Objective Optimization of Decomposition-Based Multi-Classifier-Assisted Evolutionary Algorithm
3.1. Design of the Fitness Functions
3.2. Algorithm Solution
3.2.1. Initialization
3.2.2. Update Operations
3.2.3. Termination of the Judgement
3.3. Calculation Flow
| Algorithm 1: MCEAD for OWFEC | |
| 1: | Input: ; |
| 2: | Output: ; |
| 3: | Initialize as ; (19); |
| 4: | Set to indices of the closest weight vectors to ; |
| 5: | Set to initial solutions ; |
| 6: | Evaluate ; |
| 7: | Initialize as ; |
| 8: | Initialize as ; |
| 9: | While termination criteria are not met do |
| 10: | for to do |
| 11: | Build surrogate as model-construction ; |
| 12: | Set P; (23); |
| 13: | Generate as solution-generation ; (24–25); |
| 14: | Evaluate ; (8–13, 20) |
| 15: | Update min; (22) |
| 16: | Randomly shuffle indices of P; |
| 17: | count0; |
| 18: | for each P do |
| 19: | if and count then |
| 20: | ; |
| 21: | count count+1; |
| 22: | end if |
| 23: | end for |
| 24: | Update as ; |
| 25: | Remove from all the solutions dominated by ; |
| 26: | Add to if is the Pareto solution in ; |
| 27: | End for |
| 28: | End while |
| Algorithm 2: Model-Construction | |
| 1: | ,; |
| 2: | for each do |
| 3: | ; |
| 4: | ; |
| 5: | end for |
| 6: | for each do |
| 7: | if then |
| 8: | ; |
| 9: | else |
| 10: | ; |
| 11: | end if |
| 12: | end for |
| 13: | ; |
| 14: | return |
| Algorithm 3: Solution-Generation | |
| 1: | ; |
| 2: | for r = 0 to do |
| 3: | ; |
| 4: | if then |
| 5: | ; |
| 6: | return ; |
| 7: | else |
| 8: | ; |
| 9: | end if |
| 10: | end for |
| 11: | ; |
| 12: | return |
3.4. Overall Execution Procedure
3.5. Best-Compromise Solution
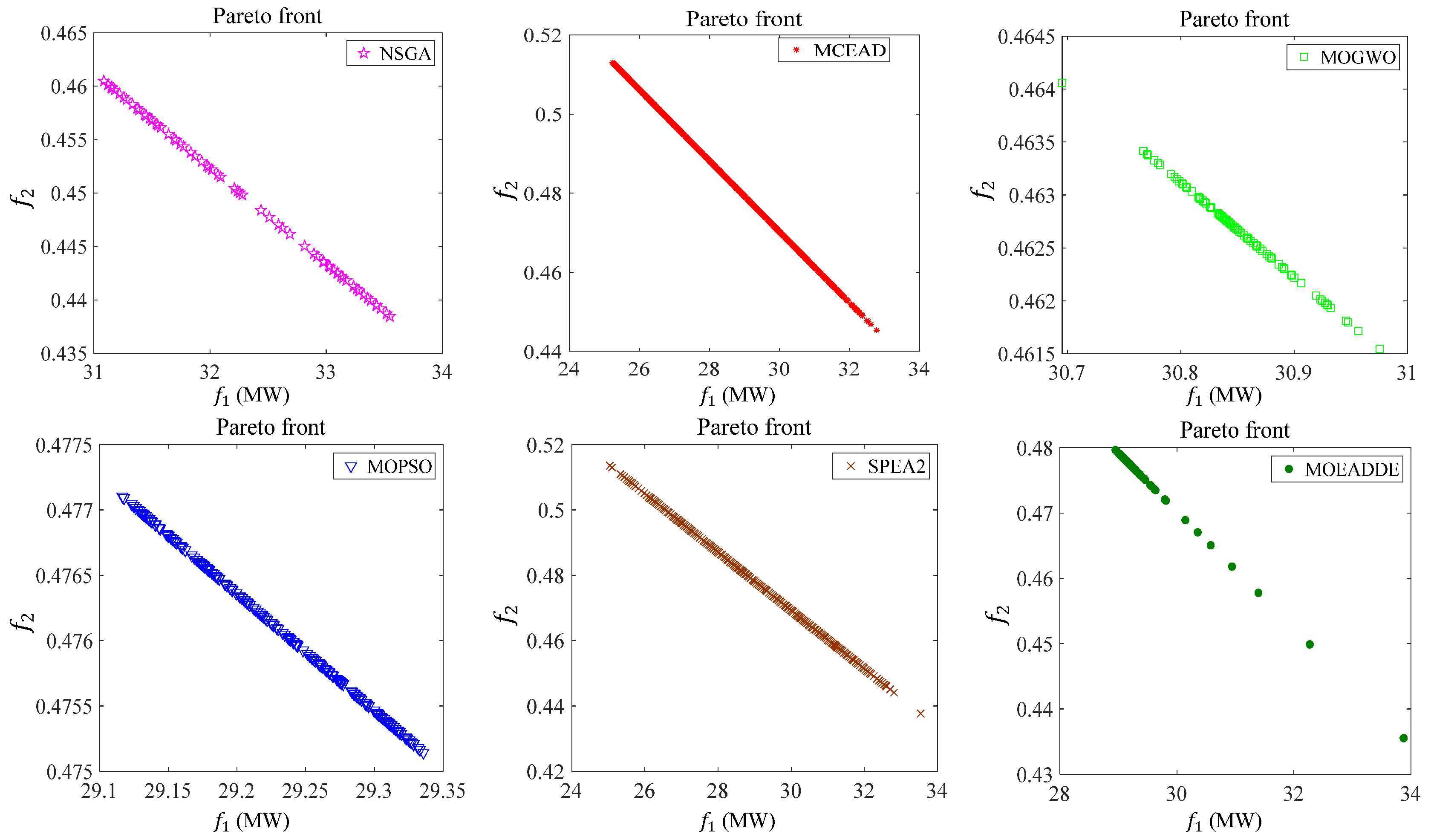
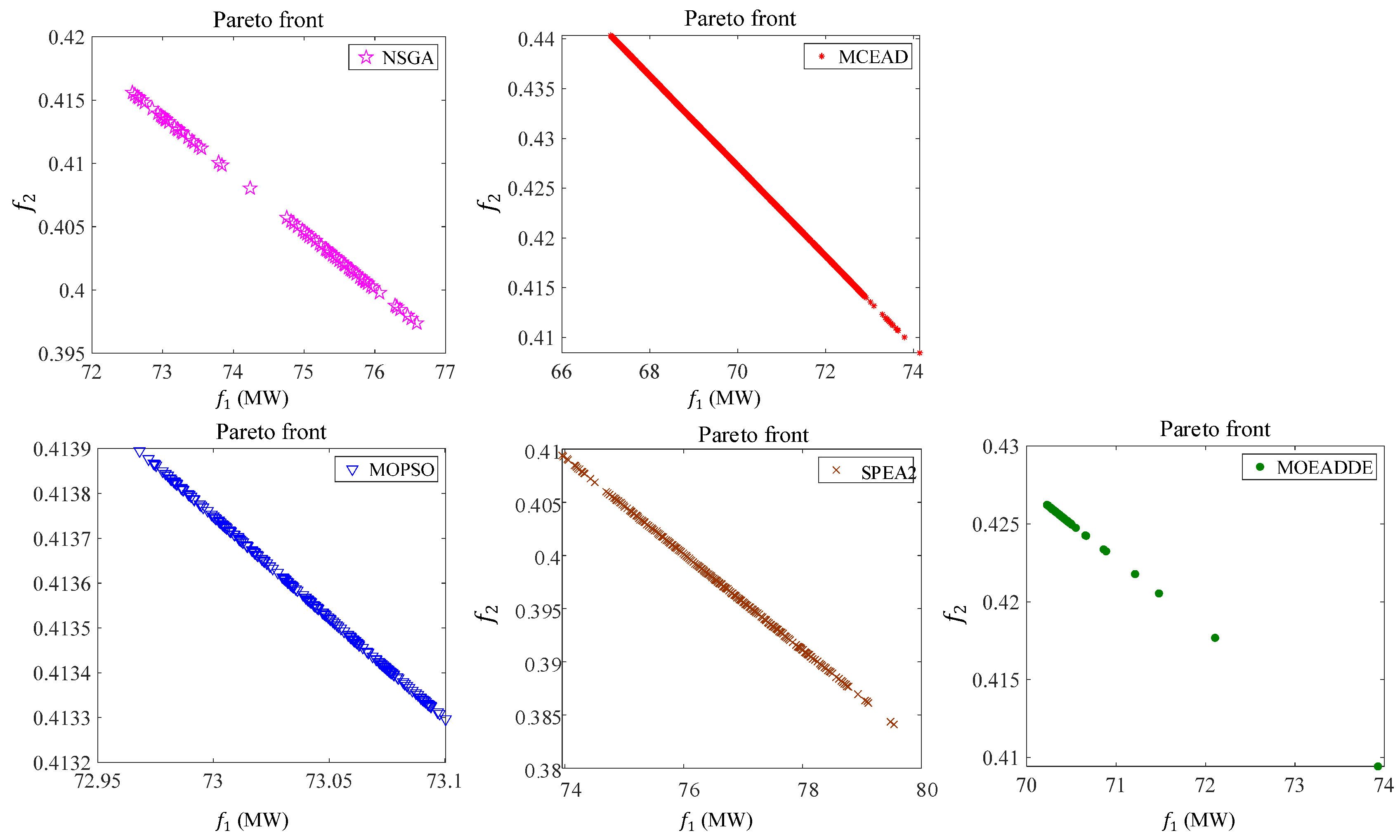
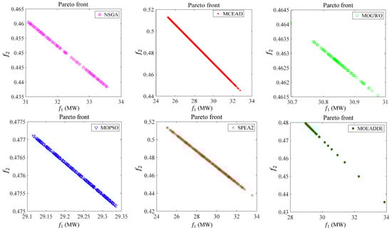
4. Case Studies
5. Conclusions
Author Contributions
Funding
Acknowledgments
Conflicts of Interest
References
- Cui, D.; Xu, F.; Ge, W.; Huang, P.; Zhou, Y. A coordinated dispatching model considering generation and operation reserve in wind power-photovoltaic-pumped storage system. Energies 2020, 13, 4834. [Google Scholar] [CrossRef]
- Charhouni, N.; Sallaou, M.; Mansouri, K. Investigation of wake interactions effect on wind farm efficiency. In Proceedings of the 2018 4th International Conference on Optimization and Applications (ICOA), Mohammedia, Morocco, 26–27 April 2018. [Google Scholar]
- Yao, Q.; Liu, J.; Hu, Y. Optimized active power dispatching strategy considering fatigue load of wind turbines during de-loading operation. IEEE Access 2019, 7, 17439–17449. [Google Scholar] [CrossRef]
- Kim, H.; Singh, C.; Sprintson, A. Simulation and estimation of reliability in a wind farm considering the wake effect. IEEE Trans. Sustain. Energy 2012, 3, 274–282. [Google Scholar] [CrossRef]
- Hou, P.; Hu, W.; Soltani, M.; Chen, C.; Zhang, B.; Chen, Z. Offshore wind farm layout design considering optimized power dispatch strategy. IEEE Trans. Sustain. Energy 2016, 8, 638–647. [Google Scholar] [CrossRef]
- Ma, Z.; Wang, D.; Zhang, H.; Wang, Y.; Dong, H. Two-stage optimal dispatching based on wind-photovoltaic-pumped storage-thermal power combined power generation system. In Proceedings of the 2019 IEEE 3rd Conference on Energy Internet and Energy System Integration (EI2), Changsha, China, 8–10 November 2019. [Google Scholar]
- Al Shereiqi, A.; Al-Hinai, A.; Al-Abri, R.; Albadi, M. The effect of wind farm micro-siting on output power: A case study in Oman. In Proceedings of the 2020 6th IEEE International Energy Conference (ENERGYCon), Gammarth, Tunisia, 28 September–1 October 2020. [Google Scholar]
- Ma, Y.; Yang, H.; Zhou, X.; Li, J.; Wen, H. The dynamic modeling of wind farms considering wake effects and its optimal distribution. In Proceedings of the 2009 World Non-Grid-Connected Wind Power and Energy Conference, Nanjing, China, 24–26 September 2009. [Google Scholar]
- Li, M.; Qiu, Y.; Wang, X.; Feng, Y.; Cai, X.; Zhang, Z. Multi-Body Dynamic Modeling of Offshore Wind Turbine under Wake Effects. In Proceedings of the 10th Renewable Power Generation Conference, Virtual, 14–15 October 2021. [Google Scholar]
- Zhang, B.; Soltani, M.; Hu, W.; Hou, P.; Huang, Q.; Chen, Z. Optimized power dispatch in wind farms for power maximizing considering fatigue loads. IEEE Trans. Sustain. Energy 2017, 9, 862–871. [Google Scholar] [CrossRef]
- Charles, M.; Oyedokun, D.T.O.; Dlodlo, M. Wind Farm Density Effects on Turbulence Intensity for Large Hexagonal Farm Arrays. In Proceedings of the 2020 6th IEEE International Energy Conference (ENERGYCon), Gammarth, Tunisia, 28 September–1 October 2020. [Google Scholar]
- Xu, R.; Zhang, G.; Zhang, K. Coordinated Control of Wind Farm Power Prediction Based on PSO-MPC Model. In Proceedings of the 2021 IEEE 2nd International Conference on Information Technology, Big Data and Artificial Intelligence (ICIBA), Chongqing, China, 17–19 December 2021. [Google Scholar]
- Navya, V.; Ramesh, S.; Vijayapriya, R.; Raja, P. Optimization of Wind Farm Layout Based on Wake Effect Modelling. In Proceedings of the 2020 IEEE International Students’ Conference on Electrical, Electronics and Computer Science (SCEECS), Bhopal, India, 22–23 February 2020. [Google Scholar]
- Tian, J.; Su, C.; Soltani, M.; Chen, Z. Active power dispatch method for a wind farm central controller considering wake effect. In Proceedings of the IECON 2014–40th Annual Conference of the IEEE Industrial Electronics Society, Dallas, TX, USA, 29 October–1 November 2014. [Google Scholar]
- Zhao, R.; Shen, W.Z.; Knudsen, T.; Bak, T. Fatigue distribution optimization for offshore wind farms using intelligent agent control. Wind. Energy 2012, 15, 927–944. [Google Scholar] [CrossRef]
- Yang, J.; Zheng, S.; Song, D.; Su, M.; Yang, X.; Joo, Y.H. Comprehensive optimization for fatigue loads of wind turbines in complex-terrain wind farms. IEEE Trans. Sustain. Energy 2020, 12, 909–919. [Google Scholar] [CrossRef]
- Sheng, J.; Chen, S. Fatigue load simulation for foundation design of offshore wind turbines due to combined wind and wave loading. In Proceedings of the 2010 World Non-Grid-Connected Wind Power and Energy Conference, Nanjing, China, 5–7 November 2010. [Google Scholar]
- Lin, K.; Tang, X.-Y.; Zhao, W.; Ling, Z. Optimized Power Dispatch for Regional Fatigue Balancing in Offshore Wind Farms. In Proceedings of the 2021 China Automation Congress (CAC), Beijing, China, 22–24 October 2021. [Google Scholar]
- Liu, J.; Liu, Y.; Zeng, D.; Liu, J.; Lü, Y.; Hu, Y. Optimal short-term load dispatch strategy in wind farm. Sci. China Technol. Sci. 2012, 55, 1140–1145. [Google Scholar] [CrossRef]
- Solomin, E.; Hou, T.; Ma, X.; Sun, Y. Design and Optimization of Power Harvesting and Distribution for Offshore Wind Farms Using Semi-Physical Simulation. In Proceedings of the 2020 International Ural Conference on Electrical Power Engineering (UralCon), Chelyabinsk, Russia, 22–24 September 2020. [Google Scholar]
- Zhao, H.; Wu, Q.; Huang, S.; Shahidehpour, M.; Guo, Q.; Sun, H. Fatigue load sensitivity-based optimal active power dispatch for wind farms. IEEE Trans. Sustain. Energy 2017, 8, 1247–1259. [Google Scholar] [CrossRef]
- Pynaert, N.; Haas, T.; Wauters, J.; Crevecoeur, G.; Degroote, J. Wing Deformation of an Airborne Wind Energy System in Crosswind Flight Using High-Fidelity Fluid–Structure Interaction. Energies 2023, 16, 602. [Google Scholar] [CrossRef]
- Campagnolo, F.; Schreiber, J.; Bottasso, C.L. Wake deflection control with wind direction changes: Wind tunnel comparison of different wind farm flow models. In Proceedings of the 2020 American Control Conference (ACC), Denver, CO, USA, 1–3 July 2020. [Google Scholar]
- Sonoda, T.; Nakata, M. Multiple Classifiers-Assisted Evolutionary Algorithm Based on Decomposition for High-Dimensional Multiobjective Problems. IEEE Trans. Evol. Comput. 2022, 26, 1581–1595. [Google Scholar] [CrossRef]
- Liang, H.; Zuo, L.; Li, J.; Li, B.; He, Y.; Huang, Q. A wind turbine control method based on Jensen model. In Proceedings of the 2016 International Conference on Smart Grid and Clean Energy Technologies (ICSGCE), Chengdu, China, 19–22 October 2016. [Google Scholar]
- Wang, J.; Duan, B.; Su, Y.X. Optimization of active power output in offshore wind farms based on wake effect. Autom. Electr. Power Syst. 2015, 39, 26–32. [Google Scholar]
- Zeng, L.; Wang, F.; Liu, D. Research on wind turbine wake model and overlapping in wind farm. In Zhongguo Dianji Gongcheng Xuebao; Chinese Society for Electrical Engineering: Beijing, China, 2011. [Google Scholar]
- Lu, J.; Tao, T.; Yan, J.; Liu, Y. Pre-Calculation of Wind Turbine Blade Fatigue Damage by Machine Learning. In Proceedings of the 10th Renewable Power Generation Conference (RPG 2021), Online Conference, 14–15 October 2021. [Google Scholar]
- Dobesch, H.; Kury, G.; Kury, G. Basic Meteorological Concepts and Recommendations for the Exploitation of Wind Energy in the Atmospheric Boundary Layer: Österreichische Beiträge zu Meteorologie und Geophysik; Zentralanst. für Meteorologie u. Geodynamik: Wien, Austria, 2006. [Google Scholar]
- Mousavi, Y.; Bevan, G.; Kucukdemiral, I.B.; Fekih, A. Sliding mode control of wind energy conversion systems: Trends and applications. Renew. Sustain. Energy Rev. 2022, 167, 112734. [Google Scholar] [CrossRef]
- Li, H.; Shi, K.; McLaren, P. Neural-network-based sensorless maximum wind energy capture with compensated power coefficient. IEEE Trans. Ind. Appl. 2005, 41, 1548–1556. [Google Scholar] [CrossRef]
- Scolaro, M.; Kittner, N. Optimizing hybrid offshore wind farms for cost-competitive hydrogen production in Germany. Int. J. Hydrogen Energy 2022, 47, 6478–6493. [Google Scholar] [CrossRef]
- Li, M.; Jiang, X.; Carroll, J.; Negenborn, R.R. A multi-objective maintenance strategy optimization framework for offshore wind farms considering uncertainty. Appl. Energy 2022, 321, 119284. [Google Scholar] [CrossRef]
- Li, Y.Z.; Li, M.S.; Wen, B.J.; Wu, Q.H. Power system dispatch with wind power integrated using mean-variance model and group search optimizer. In Proceedings of the 2014 IEEE PES general meeting| conference & exposition, National Harbor, MD, USA, 27–31 July 2014. [Google Scholar]
- Wang, Y.; Wang, L.; Song, S.; Wei, S.; Ren, Z. Active Power Allocation in Offshore Wind Power Frequency Modulation Mode with the Fastest Action Time Constraint. In Proceedings of the 2021 4th International Conference on Energy, Electrical and Power Engineering (CEEPE), Chongqing, China, 23–25 April 2021. [Google Scholar]
- El-Khoury, C.N.; Kanaan, H.Y.; Mougharbel, I.; Al-Haddad, K. Implementation of a Series Z-source Very Sparse Matrix Converter in a PMSG-based WECS. In Proceedings of the 2018 IEEE International Conference on Industrial Technology (ICIT), Lyon, France, 20–22 February 2018. [Google Scholar]
- Wang, S.; Yang, L. Variable coefficient droop control strategy for optimal participation of wind farm in primary frequency regulation considering wake superposition effect. In Proceedings of the 2021 4th International Conference on Energy, Electrical and Power Engineering (CEEPE), Chongqing, China, 23–25 April 2021. [Google Scholar]
- Ding, H.; Hu, Z.; Song, Y. Rolling optimization of wind farm and energy storage system in electricity markets. IEEE Trans. Power Syst. 2014, 30, 2676–2684. [Google Scholar] [CrossRef]
- Zhang, B.; Xu, G.; Zhang, Z. A holistic robust method for optimizing multi-timescale operations of a wind farm with energy storages. J. Clean. Prod. 2022, 356, 131793. [Google Scholar]
- Wang, J.; Li, D.; Lv, X.; Meng, X.; Zhang, J.; Ma, T.; Pei, W.; Xiao, H. Two-Stage Energy Management Strategies of Sustainable Wind-PV-Hydrogen-Storage Microgrid Based on Receding Horizon Optimization. Energies 2022, 15, 2861. [Google Scholar] [CrossRef]















| Symbol or Expression Descriptions | Mathematical Notions |
|---|---|
| weight vector set (define Chebyshev problem) | |
| reference point | |
| a current evolutionary population | |
| the weight vector set | |
| a set including solutions | |
| an archive set consisting of all evaluated solutions and their objective values | |
| evaluated solutions | |
| objective values | |
| the sub-problem area | |
| training samples | |
| a dataset consisting of training samples designed for th sub-problem | |
| a set of current best solutions of sub-problems for the th sub-problem | |
| a set of candidate solutions of offspring for th sub-problem | |
| a decision function for th sub-problem | |
| Lagrange multipliers | |
| a decision score function determined with Lagrange multipliers | |
| the maximum repeat time to control the number of candidate solutions | |
| the elite population used to preserve Pareto solutions |
| Parameters | Value |
|---|---|
| Number of fans | 10 (Case 1) 50 (Case 2) 100 (Case 3) |
| Wind wheel radius (m) | 33 (Case 1) 30.5 (Case 2 and 3) |
| Wind wheel speed (rad/s) | 3.5 |
| Rated wind speed (m/s) | 12 |
| Decay coefficient | 0.04 |
| Spacing between fans (m) | 300 |
| (kW) | 15 (Case 1) 75 (Case 2) 150 (Case 3) |
| Population number | 100 (Case 1) 200 (Case 2 and 3) |
| Number of iterations | 50 |
| Wind Direction (°) | Algorithm | Best-Compromise Solution | Average Value | Minimum Value | Spacing | HV | |||
|---|---|---|---|---|---|---|---|---|---|
| (MW) | (MW) | (MW) | |||||||
| 90° | NSGA | 8.4576 | 0.0270 | 8.1724 | 0.0542 | 7.9490 | 0.0270 | 0.0057 | 1.4971 |
| MCEAD | 8.1534 | 0.0302 | 7.7882 | 0.0860 | 7.6732 | 0.0302 | 0.0051 | 2.1077 | |
| MOGWO | 8.6679 | 0.0114 | 8.4577 | 0.0233 | 8.0823 | 0.0114 | 0.0078 | 1.3859 | |
| MOPSO | 8.2722 | 0.0469 | 8.0008 | 0.0760 | 7.8276 | 0.0469 | 0.0025 | 1.5841 | |
| SPEA2 | 8.2870 | 0.0157 | 8.0124 | 0.0506 | 7.7533 | 0.0157 | 0.0032 | 1.7009 | |
| MOEADDE | 8.4100 | 0.0214 | 7.8764 | 0.0823 | 7.7647 | 0.0241 | 0.0195 | 1.6794 | |
| NSGAIII | 8.3760 | 0.0199 | 7.9557 | 0.0657 | 7.7638 | 0.0199 | 0.0103 | 1.6827 | |
| 270° | NSGA | 8.5321 | 0.0103 | 8.1780 | 0.0484 | 7.9226 | 0.0103 | 0.0104 | 1.5417 |
| MCEAD | 8.2065 | 0.0299 | 7.8030 | 0.0874 | 7.6999 | 0.0300 | 0.0054 | 1.7316 | |
| MOGWO | 8.4835 | 0.0204 | 8.3912 | 0.0279 | 8.0127 | 0.0204 | 0.0077 | 1.4456 | |
| MOPSO | 8.3861 | 0.0265 | 8.0660 | 0.0523 | 7.8692 | 0.0265 | 0.0044 | 1.5774 | |
| SPEA2 | 8.2409 | 0.0253 | 7.9505 | 0.0640 | 7.7737 | 0.0253 | 0.0040 | 1.6688 | |
| MOEADDE | 8.7874 | 0.0218 | 7.8826 | 0.0890 | 7.7585 | 0.0218 | 0.0427 | 1.6784 | |
| NSGAIII | 8.2065 | 0.0300 | 7.8030 | 0.0874 | 7.6999 | 0.0300 | 0.0054 | 1.6816 | |
| Wind Direction (°) | Compare Objects | NSGA | MOGWO | MOPSO | SPEA2 | MOOEADDE | NSGAIII |
|---|---|---|---|---|---|---|---|
| 90° | C (A, B) | 0.9143 | 0.1500 | 1 | 0.1700 | 0.9462 | 0.7600 |
| C (B, A) | 0 | 0 | 0 | 0.4587 | 0.0046 | 0.0413 | |
| 270° | C (A, B) | 0.6857 | 0.2400 | 0.9200 | 0.9000 | 0.9789 | 1 |
| C (B, A) | 0 | 0 | 0 | 0.0044 | 0 | 0 |
| Wind Direction (°) | Algorithm | Best-Compromise Solution | Average Value | Minimum Value | Spacing | HV | |||
|---|---|---|---|---|---|---|---|---|---|
| (MW) | (MW) | (MW) | |||||||
| 10° | NSGA | 33.5481 | 0.4385 | 32.3184 | 0.4495 | 31.0872 | 0.4385 | 0.0178 | 6.1002 |
| MCEAD | 32.7725 | 0.4453 | 27.8147 | 0.4899 | 25.2341 | 0.4453 | 0.0030 | 9.0438 | |
| MOGWO | 30.9756 | 0.4615 | 30.8464 | 0.4627 | 30.6954 | 0.4615 | 0.0074 | 6.0866 | |
| MOPSO | 31.5286 | 0.4565 | 31.5286 | 0.4565 | 31.0694 | 0.4525 | 0.0023 | 5.9811 | |
| SPEA2 | 38.6547 | 0.3928 | 34.5427 | 0.4296 | 30.3903 | 0.3928 | 0.0219 | 6.7422 | |
| MOEADDE | 33.8762 | 0.4355 | 29.2674 | 0.4768 | 28.9505 | 0.4355 | 0.1449 | 7.2399 | |
| 100° | NSGA | 29.3697 | 0.4749 | 28.2142 | 0.4852 | 26.9804 | 0.4749 | 0.0118 | 7.8611 |
| MCEAD | 28.1785 | 0.4854 | 23.9225 | 0.5235 | 20.9216 | 0.4855 | 0.0017 | 10.5824 | |
| MOGWO | 29.3631 | 0.4751 | 28.8667 | 0.4795 | 28.2334 | 0.4750 | 0.0141 | 7.2210 | |
| MOPSO | 29.3356 | 0.4752 | 29.2265 | 0.4761 | 29.1167 | 0.4751 | 0.0028 | 6.7616 | |
| SPEA2 | 33.5379 | 0.4377 | 29.0723 | 0.4775 | 25.0409 | 0.4377 | 0.0507 | 9.2101 | |
| MOEADDE | 29.0214 | 0.4780 | 24.8235 | 0.5155 | 24.3680 | 0.4780 | 0.1769 | 7.2399 | |
| Compare Objects | NSGA | MOGWO | MOPSO | SPEA2 | MOOEADDE |
|---|---|---|---|---|---|
| C (A, B) | 0.1286 | 0.7900 | 0.4850 | 0.1250 | 0.0166 |
| C (B, A) | 1.9932 × 10−4 | 0 | 0 | 0 | 0 |
| Algorithm | Best-Compromise Solution | Average Value | Minimum Value | Spacing | HV | |||
|---|---|---|---|---|---|---|---|---|
| (MW) | (MW) | (MW) | ||||||
| NSGA | 76.5911 | 0.3974 | 74.6424 | 0.4062 | 72.5716 | 0.3974 | 0.0472 | 4.4384 |
| MCEAD | 74.1414 | 0.4085 | 69.8633 | 0.4279 | 67.1066 | 0.4084 | 0.0070 | 7.5143 |
| MOGWO | — | — | — | — | — | — | — | — |
| MOPSO | 73.1003 | 0.4132 | 73.0380 | 0.4136 | 72.9681 | 0.4133 | 0.0034 | 4.1256 |
| SPEA2 | 79.5391 | 0.3841 | 76.5689 | 0.3976 | 73.9552 | 0.3841 | 0.0115 | 3.6514 |
| MOEADDE | 73.9282 | 0.4095 | 70.4324 | 0.4253 | 70.2278 | 0.4094 | 0.1616 | 5.7311 |
| Algorithm | Population Number | Iterations | FEs | Average Value | Time Cost (mins) | HV | |
|---|---|---|---|---|---|---|---|
| (MW) | |||||||
| NSGA | 200 | 50 | 10,000 | 74.6424 | 0.4062 | 75.79 | 4.4384 |
| MCEAD | 200 | 50 | 10,000 | 69.8633 | 0.4279 | 192.73 | 7.5143 |
| 150 | 50 | 7500 | 70.0236 | 0.3965 | 90.09 | 7.3912 | |
| 100 | 50 | 5000 | 71.5648 | 0.4029 | 51.43 | 7.1648 | |
| 50 | 50 | 2500 | 72.3229 | 0.4138 | 26.02 | 6.8562 | |
| MOGWO | 400 | 100 | 10,000 | 74.1593 | 0.4087 | 338.89 | 3.6443 |
| MOPSO | 200 | 50 | 10,000 | 73.0380 | 0.4136 | 83.12 | 4.1256 |
| SPEA2 | 200 | 50 | 10,000 | 76.5689 | 0.3976 | 85.40 | 3.6514 |
| MOEADDE | 200 | 50 | 10,000 | 70.4324 | 0.4253 | 76.20 | 5.7311 |
Disclaimer/Publisher’s Note: The statements, opinions and data contained in all publications are solely those of the individual author(s) and contributor(s) and not of MDPI and/or the editor(s). MDPI and/or the editor(s) disclaim responsibility for any injury to people or property resulting from any ideas, methods, instructions or products referred to in the content. |
© 2023 by the authors. Licensee MDPI, Basel, Switzerland. This article is an open access article distributed under the terms and conditions of the Creative Commons Attribution (CC BY) license (https://creativecommons.org/licenses/by/4.0/).
Share and Cite
Zhu, H.; Gao, X.; Zhao, L.; Zhang, X. Decomposition-Based Multi-Classifier-Assisted Evolutionary Algorithm for Bi-Objective Optimal Wind Farm Energy Capture. Energies 2023, 16, 3718. https://doi.org/10.3390/en16093718
Zhu H, Gao X, Zhao L, Zhang X. Decomposition-Based Multi-Classifier-Assisted Evolutionary Algorithm for Bi-Objective Optimal Wind Farm Energy Capture. Energies. 2023; 16(9):3718. https://doi.org/10.3390/en16093718
Chicago/Turabian StyleZhu, Hongbin, Xiang Gao, Lei Zhao, and Xiaoshun Zhang. 2023. "Decomposition-Based Multi-Classifier-Assisted Evolutionary Algorithm for Bi-Objective Optimal Wind Farm Energy Capture" Energies 16, no. 9: 3718. https://doi.org/10.3390/en16093718
APA StyleZhu, H., Gao, X., Zhao, L., & Zhang, X. (2023). Decomposition-Based Multi-Classifier-Assisted Evolutionary Algorithm for Bi-Objective Optimal Wind Farm Energy Capture. Energies, 16(9), 3718. https://doi.org/10.3390/en16093718

