Optimal Allocation Scheme of Renewable Energy Consumption Responsibility Weight under Renewable Portfolio Standards: An Integrated Evolutionary Game and Stochastic Optimization Approach
Abstract
1. Introduction
- (1)
- How does the reward and punishment system of the central government regulator interact with the provincial (regional) government’s consumption decisions? How can we observe future evolutionary trends in RPS policy efficiency on a practical basis?
- (2)
- How do provincial (regional) governments set differentiated consumption weights to influence the consumption decisions of market players with different consumption characteristics and willingness to consume?
- (3)
- How can we design a quota weighting scheme that takes into account both cost and efficiency, while reconciling the conflicting interests of all parties?
2. Literature Review
3. Problem Description
4. Consumer Responsibility Weight Allocation Model
4.1. Evolutionary Game Model
4.1.1. Game Model Construction
4.1.2. Evolutionary Equilibrium Analysis
4.2. Stochastic Optimization Analysis Model Construction
5. Simulation Analysis
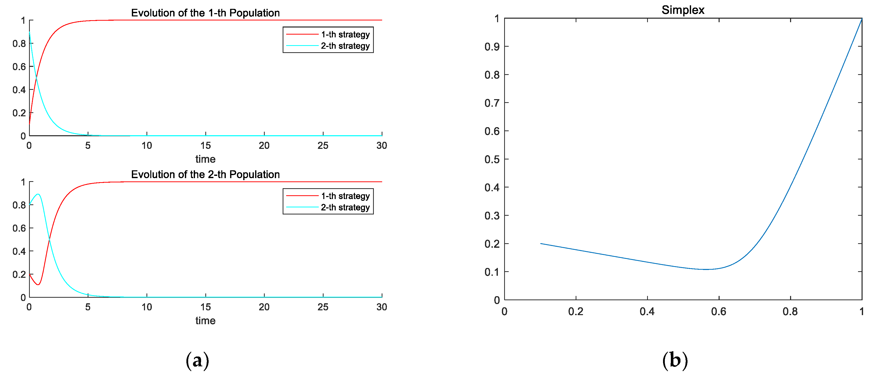
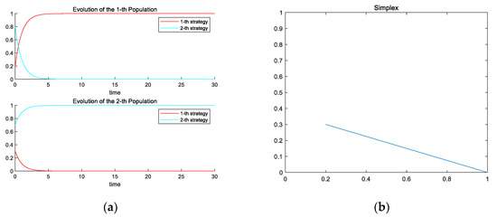
5.1. Simulation Analysis of the Evolutionary Game
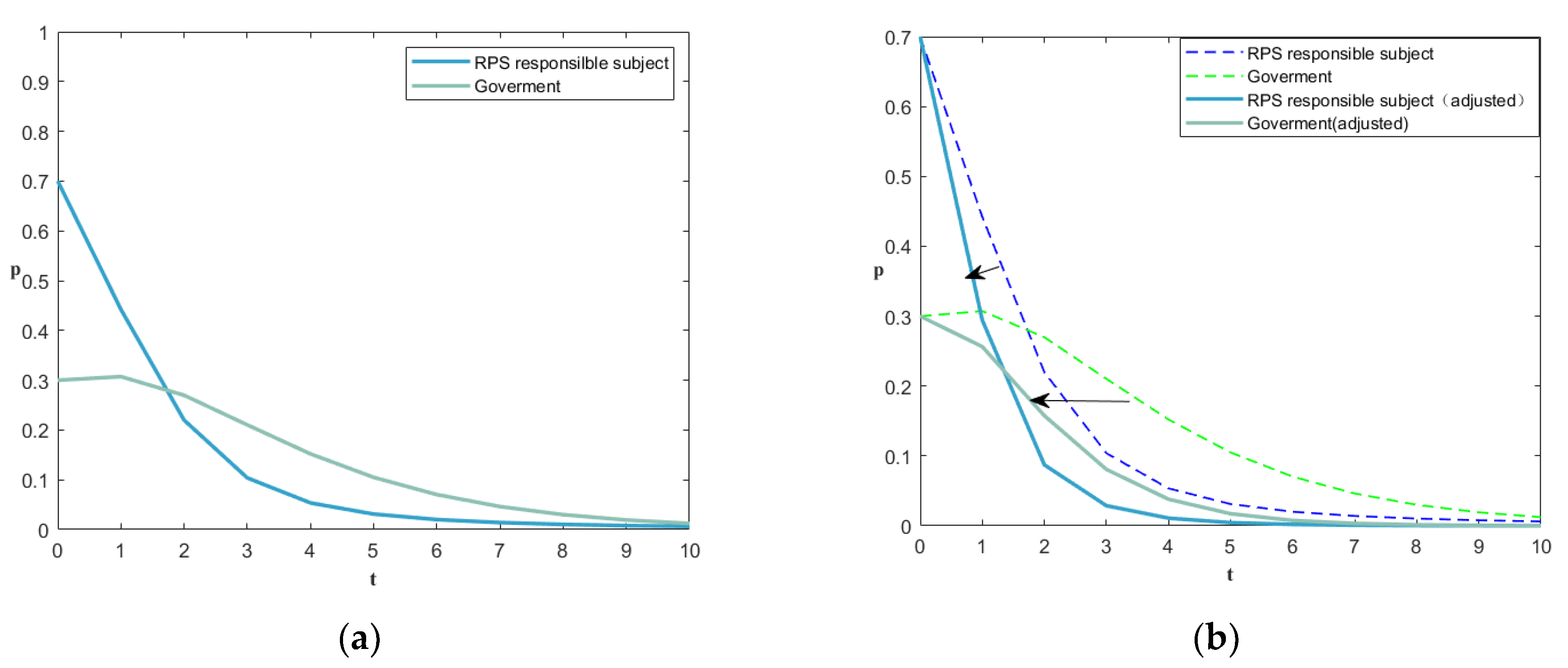
5.2. Results of Stochastic Optimization
- (1)
- Summary findings
- (2)
- Sensitivity analysis
6. Conclusions and Policy Implications
6.1. Conclusions
6.2. Policy Implications
- (1)
- As a policy tool to stimulate the consumption of renewable energy, RPS can indirectly reduce carbon emissions by specifying the consumption amount. However, in the process of distributing RPS quota weights, the central regulator needs to take into account the geographical heterogeneity and development demands of different provincial regions, which will directly determine the effect of RPS policy implementation.
- (2)
- As a key link to ensure the smooth realization of RPS policy goals, provincial and regional governments should distribute quota weights to market entities on the basis of fully considering the characteristics of regional power markets and the varying consumption willingness of market entities. For subjects with a willingness to absorb, they can be encouraged to bear a greater quota weight.
- (3)
- In the process of building a new power system, the most critical thing is to restore the process of market competition. In fact, with the continuous improvement of the green certificate trading market and the continuous maturity of renewable energy power generation technology, the carbon market is gradually moving towards operation. Renewable energy power will increasingly be selected by market entities. Therefore, regulators should try their best to ensure that the market operates in a regulated manner and prevent the emergence of market forces.
- (4)
- In the current stage, the government’s supervision should focus on strict supervision, and encourage market entities to establish environmental awareness. As the power market matures, the regulations can be appropriately relaxed, but it is still necessary to design and maintain a reasonable dynamic reward and punishment mechanism.
6.3. Limitations and Future Work
- (1)
- Although this research focused on the quota policy and the green certificate trading system supporting the quota policy, it calculated the optimal quota weight distribution scheme on the basis of observing the game behavior of market entities. However, since the carbon market is in the pilot stage in China and transaction data are not yet sufficient, we have not included the carbon market in our model. Therefore, future research should consider the impact from the carbon market.
- (2)
- In our research, in order to focus more on the game behavior of provincial regional market entities, based on assumptions, we did not consider cross-regional electricity market transactions. In fact, the power purchased/sold by the subject responsible for consumption does not necessarily have to be in the province. Therefore, bringing cross-regional power trading into the discussion will be more in line with the actual situation and help draw more macro conclusions.
Author Contributions
Funding
Data Availability Statement
Conflicts of Interest
References
- Yu, B.; Fang, D.; Kleit, A.N.; Xiao, K. Exploring the driving mechanism and the evolution of the low-carbon economy transition: Lessons from OECD developed countries. World Econ. 2022, 45, 2766–2795. [Google Scholar] [CrossRef]
- Min, C.-G.; Park, J.K.; Hur, D.; Kim, M.-K. The Economic Viability of Renewable Portfolio Standard Support for Offshore Wind Farm Projects in Korea. Energies 2015, 8, 9731–9750. [Google Scholar] [CrossRef]
- National Development and Reform Commission; National Energy Board. Notification on the Weight of Responsibility for Renewable Energy Power Consumption in 2021 and Related Matters. Available online: https://www.ndrc.gov.cn/xxgk/zcfb/tz/202105/t20210525_1280789.html (accessed on 5 March 2023).
- Mamkhezri, J.; Malczynski, L.; Chermak, J. Assessing the Economic and Environmental Impacts of Alternative Renewable Portfolio Standards: Winners and Losers. Energies 2021, 14, 3319. [Google Scholar] [CrossRef]
- Yu, B.; Fang, D.; Xiao, K.; Pan, Y. Drivers of renewable energy penetration and its role in power sector’s deep decarbonization towards carbon peak. Renew. Sustain. Energy Rev. 2023, 178, 113247. [Google Scholar] [CrossRef]
- Pan, Y.; Dong, F. Factor substitution and development path of the new energy market in the BRICS countries under carbon neutrality: Inspirations from developed European countries. Appl. Energy 2023, 331, 120442. [Google Scholar] [CrossRef]
- Li, T.; Gao, C.; Chen, T.; Jiang, Y.; Feng, Y. Medium and long-term electricity market trading strategy considering renewable portfolio standard in the transitional period of electricity market reform in Jiangsu, China. Energy Econ. 2022, 107, 105860. [Google Scholar] [CrossRef]
- Fan, J.-L.; Wang, J.-X.; Hu, J.-W.; Yang, Y.; Wang, Y. Will China achieve its renewable portfolio standard targets? An analysis from the perspective of supply and demand. Renew. Sustain. Energy Rev. 2021, 138, 110510. [Google Scholar] [CrossRef]
- Novacheck, J.; Johnson, J.X. The environmental and cost implications of solar energy preferences in Renewable Portfolio Standards. Energy Policy 2015, 86, 250–261. [Google Scholar] [CrossRef]
- Yu, B.; Fang, D.; Meng, J. Analysis of the generation efficiency of disaggregated renewable energy and its spatial hetero-geneity influencing factors: A case study of China. Energy 2021, 234, 121295. [Google Scholar] [CrossRef]
- Tan, Y.; Xu, Z.; Xu, W. A Two-Phase Hybrid Trading of Green Certificate under Renewables Portfolio Standards in Community of Active Energy Agents. Energies 2022, 15, 6915. [Google Scholar] [CrossRef]
- Pan, Y.; Dong, F. Green finance policy coupling effect of fossil energy use rights trading and renewable energy certificates trading on low carbon economy: Taking China as an example. Econ. Anal. Policy 2023, 77, 658–679. [Google Scholar] [CrossRef]
- Wang, S.; Zhao, W.; Fan, S.; Xue, L.; Huang, Z.; Liu, Z. Is the Renewable Portfolio Standard in China Effective? Research on RPS Allocation Efficiency in Chinese Provinces Based on the Zero-Sum DEA Model. Energies 2022, 15, 3949. [Google Scholar] [CrossRef]
- Fang, D.; Zhao, C.; Kleit, A.N. The impact of the under enforcement of RPS in China: An evolutionary approach. Energy Policy 2019, 135, 111021. [Google Scholar] [CrossRef]
- Xiao, K.; Yu, B.; Cheng, L.; Li, F.; Fang, D. The effects of CCUS combined with renewable energy penetration under the carbon peak by an SD-CGE model: Evidence from China. Appl. Energy 2022, 321, 119396. [Google Scholar] [CrossRef]
- Farooq, M.K.; Kumar, S.; Shrestha, R.M. Energy, environmental and economic effects of Renewable Portfolio Standards (RPS) in a Developing Country. Energy Policy 2013, 62, 989–1001. [Google Scholar] [CrossRef]
- Dong, F.; Shi, L.; Ding, X.; Li, Y.; Shi, Y. Study on China’s Renewable Energy Policy Reform and Improved Design of Renewable Portfolio Standard. Energies 2019, 12, 2147. [Google Scholar] [CrossRef]
- Kwon, T.-H. Policy synergy or conflict for renewable energy support: Case of RPS and auction in South Korea. Energy Policy 2018, 123, 443–449. [Google Scholar] [CrossRef]
- Zhang, L.; Chen, C.; Wang, Q.; Zhou, D. The impact of feed-in tariff reduction and renewable portfolio standard on the development of distributed photovoltaic generation in China. Energy 2021, 232, 120933. [Google Scholar] [CrossRef]
- Gribiss, H.; Aghelinejad, M.M.; Yalaoui, F. Configuration Selection for Renewable Energy Community Using MCDM Methods. Energies 2023, 16, 2632. [Google Scholar] [CrossRef]
- Das, A.; Peu, S.D.; Akanda, A.M.; Islam, A.R.M.T. Peer-to-Peer Energy Trading Pricing Mechanisms: Towards a Comprehensive Analysis of Energy and Network Service Pricing (NSP) Mechanisms to Get Sustainable Enviro-Economical Energy Sector. Energies 2023, 16, 2198. [Google Scholar] [CrossRef]
- Tvaronavičienė, M. Towards Renewable Energy: Opportunities and Challenges. Energies 2023, 16, 2269. [Google Scholar] [CrossRef]
- Zhao, W.; Bao, X.; Yuan, G.; Wang, X.; Bao, H. The Equilibrium Model for the Coexistence of Renewable Portfolio Standards and Emissions Trading: The Supply Chain Analysis. Energies 2019, 12, 439. [Google Scholar] [CrossRef]
- Wen, M.; Zhou, C.; Konstantin, M. Deep Neural Network for Predicting Changing Market Demands in the Energy Sector for a Sustainable Economy. Energies 2023, 16, 2407. [Google Scholar] [CrossRef]
- Zhou, X.; Guan, X.; Zhang, M.; Zhou, Y.; Zhou, M. Allocation and simulation study of carbon emission quotas among China’s provinces in 2020. Environ. Sci. Pollut. Res. 2017, 24, 7088–7113. [Google Scholar] [CrossRef]
- Ministry of Commerce of The People’s Republic Of China. Hubei Issued the First Group of Dual-Certified Green Power Transaction Certificates in China. Available online: https://zycpzs.mofcom.gov.cn/html/qita/2022/4/1651135669670.html (accessed on 15 March 2023).
- Hao, P.; Guo, J.-P.; Chen, Y.; Xie, B.-C. Does a combined strategy outperform independent policies? Impact of incentive policies on renewable power generation. Omega 2020, 97, 102100. [Google Scholar] [CrossRef]
- Dong, Z.; Yu, X.; Chang, C.-T.; Zhou, D.; Sang, X. How does feed-in tariff and renewable portfolio standard evolve syner-gistically? An integrated approach of tripartite evolutionary game and system dynamics. Renew. Energy 2022, 186, 864–877. [Google Scholar] [CrossRef]
- Choi, G.; Huh, S.-Y.; Heo, E.; Lee, C.-Y. Prices versus quantities: Comparing economic efficiency of feed-in tariff and renewable portfolio standard in promoting renewable electricity generation. Energy Policy 2018, 113, 239–248. [Google Scholar] [CrossRef]
- Xin-Gang, Z.; Pei-Ling, L.; Ying, Z. Which policy can promote renewable energy to achieve grid parity? Feed-in tariff vs. renewable portfolio standards. Renew. Energy 2020, 162, 322–333. [Google Scholar] [CrossRef]
- Wang, B.; Wei, Y.-M.; Yuan, X.-C. Possible design with equity and responsibility in China’s renewable portfolio standards. Appl. Energy 2018, 232, 685–694. [Google Scholar] [CrossRef]
- Wang, G.; Zhang, Q.; Li, Y.; Mclellan, B.C. Efficient and equitable allocation of renewable portfolio standards targets among China’s provinces. Energy Policy 2019, 125, 170–180. [Google Scholar] [CrossRef]
- Tang, D.; Dong, C.; Wu, X.; Qian, H.; Wang, H.; Jiang, H.; Zhang, Z.; Chen, Y.; Deng, X.; Lin, Z.; et al. Allocation strategy of regulated consumption quota ratio of renewable energy based on game theory. Energy Rep. 2021, 7, 67–74. [Google Scholar] [CrossRef]
- Xu, J.; Lv, T.; Hou, X.; Deng, X.; Liu, F. Provincial allocation of renewable portfolio standard in China based on efficiency and fairness principles. Renew. Energy 2021, 179, 1233–1245. [Google Scholar] [CrossRef]
- Zhou, D.; Hu, F.; Zhu, Q.; Wang, Q. Regional allocation of renewable energy quota in China under the policy of renewable portfolio standards. Resour. Conserv. Recycl. 2022, 176, 105904. [Google Scholar] [CrossRef]
- Xu, J.; Yang, G.; Wang, F.; Shu, K. A provincial renewable portfolio standards-based distribution strategy for both power plant and user: A case study from Guangdong, China. Energy Policy 2022, 165, 112935. [Google Scholar] [CrossRef]
- Wang, L.; Li, K. Research on renewable energy consumption and emission reduction in power market based on bilevel decision making in China. Energy 2022, 260, 125119. [Google Scholar] [CrossRef]
- Jha, A.P.; Mahajan, A.; Singh, S.K.; Kumar, P. Renewable energy proliferation for sustainable development: Role of cross-border electricity trade. Renew. Energy 2022, 201, 1189–1199. [Google Scholar] [CrossRef]
- Wu, Y.; Liang, X.; Huang, T.; Lin, Z.; Li, Z.; Hossain, M.F. A hierarchical framework for renewable energy sources consumption promotion among microgrids through two-layer electricity prices. Renew. Sustain. Energy Rev. 2021, 145, 111140. [Google Scholar] [CrossRef]
- Dong, F.; Yu, B.; Hua, Y.; Zhang, S.; Wang, Y. A Comparative Analysis of Residential Energy Consumption in Urban and Rural China: Determinants and Regional Disparities. Int. J. Environ. Res. Public Health 2018, 15, 2507. [Google Scholar] [CrossRef] [PubMed]
- Sun, B.; Li, M.; Wang, F.; Xie, J. An incentive mechanism to promote residential renewable energy consumption in China’s electricity retail market: A two-level Stackelberg game approach. Energy 2023, 269, 126861. [Google Scholar] [CrossRef]
- Xin-Gang, Z.; Tian-Tian, F.; Lu, C.; Xia, F. The barriers and institutional arrangements of the implementation of renewable portfolio standard: A perspective of China. Renew. Sustain. Energy Rev. 2014, 30, 371–380. [Google Scholar] [CrossRef]
- Mundaca, L.; Samahita, M. What drives home solar PV uptake? Subsidies, peer effects and visibility in Sweden. Energy Res. Soc. Sci. 2020, 60, 101319. [Google Scholar] [CrossRef]
- Chai, S.; Liu, Q.; Yang, J. Renewable power generation policies in China: Policy instrument choices and influencing factors from the central and local government perspectives. Renew. Sustain. Energy Rev. 2023, 174, 113126. [Google Scholar] [CrossRef]
- Taylor, P.D.; Jonker, L.B. Evolutionary stable strategies and game dynamics. Math. Biosci. 1978, 40, 145–156. [Google Scholar] [CrossRef]







| Parameter Explanation | Symbols |
|---|---|
| Costs paid for buying and self-generating units to consume electricity | |
| Incentives are given by the regulator to the main body of over-consumption (per unit of electricity consumed) | |
| Revenue from the sale of renewable electricity (CNY/kwh) | |
| Social welfare benefits for regulators from over-consumption of responsible entities | |
| Penalty tariff for unfulfilled quota portion of electricity (yuan/kwh) | |
| The cost of action by regulators to strictly regulate payments | |
| Commercial and industrial customers who choose strategy A choose to buy and self-generate their electricity consumption | |
| Commercial and industrial customers who choose strategy B choose to buy and self-generate the electricity consumed | |
| The portion of electricity lower than the standard quota (kwh) | |
| The portion of electricity higher than the standard quota (kwh) | |
| The portion of electricity involved in green power trading (kwh) | |
| The lowest proportion of renewable energy consumption under the RPS | |
| Minimum consumption quantity of renewable energy under RPS |
| Entity and Strategy Selection | Regulatory Authorities | ||
|---|---|---|---|
| High-Intensity Regulation | Low-Intensity Regulation | ||
| Provinces | Strategy A | , | |
| Strategy B | |||
| Equilibrium Point | Matrix Determinant and Trace Expression | |
|---|---|---|
| d et G | ||
| tr G | ||
| d et G | ||
| tr G | ||
| d et G | ||
| tr G | ||
| d et G | ||
| tr G | ||
| d et G | ||
| tr G | ||
| Equilibrium Point | Asymptotically Stable Condition |
|---|---|
Disclaimer/Publisher’s Note: The statements, opinions and data contained in all publications are solely those of the individual author(s) and contributor(s) and not of MDPI and/or the editor(s). MDPI and/or the editor(s) disclaim responsibility for any injury to people or property resulting from any ideas, methods, instructions or products referred to in the content. |
© 2023 by the authors. Licensee MDPI, Basel, Switzerland. This article is an open access article distributed under the terms and conditions of the Creative Commons Attribution (CC BY) license (https://creativecommons.org/licenses/by/4.0/).
Share and Cite
Tang, Y.; Liu, Y.; Huo, W.; Chen, M.; Ye, S.; Cheng, L. Optimal Allocation Scheme of Renewable Energy Consumption Responsibility Weight under Renewable Portfolio Standards: An Integrated Evolutionary Game and Stochastic Optimization Approach. Energies 2023, 16, 3085. https://doi.org/10.3390/en16073085
Tang Y, Liu Y, Huo W, Chen M, Ye S, Cheng L. Optimal Allocation Scheme of Renewable Energy Consumption Responsibility Weight under Renewable Portfolio Standards: An Integrated Evolutionary Game and Stochastic Optimization Approach. Energies. 2023; 16(7):3085. https://doi.org/10.3390/en16073085
Chicago/Turabian StyleTang, Yang, Yifeng Liu, Weiqiang Huo, Meng Chen, Shilong Ye, and Lei Cheng. 2023. "Optimal Allocation Scheme of Renewable Energy Consumption Responsibility Weight under Renewable Portfolio Standards: An Integrated Evolutionary Game and Stochastic Optimization Approach" Energies 16, no. 7: 3085. https://doi.org/10.3390/en16073085
APA StyleTang, Y., Liu, Y., Huo, W., Chen, M., Ye, S., & Cheng, L. (2023). Optimal Allocation Scheme of Renewable Energy Consumption Responsibility Weight under Renewable Portfolio Standards: An Integrated Evolutionary Game and Stochastic Optimization Approach. Energies, 16(7), 3085. https://doi.org/10.3390/en16073085
