Operational Parameter Analysis and Performance Optimization of Zinc–Bromine Redox Flow Battery
Abstract
1. Introduction
2. Numerical Modeling
2.1. Electrochemical Reactions
2.2. Governing Equations
2.2.1. Transport in Electrodes
2.2.2. Electrochemical Kinetics
2.2.3. Tanks
2.2.4. Side Reactions
2.3. Calculation Area and Boundary Conditions
2.4. Assumptions and Solutions
2.5. Performance Indicators
2.6. Model Validations
3. Results and Discussion
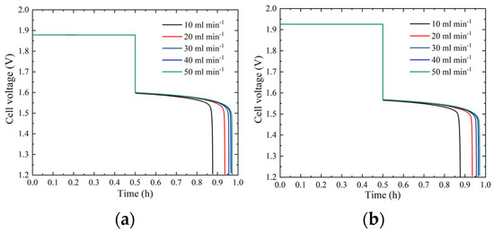
3.1. Effect of Electrolyte Flow Rate
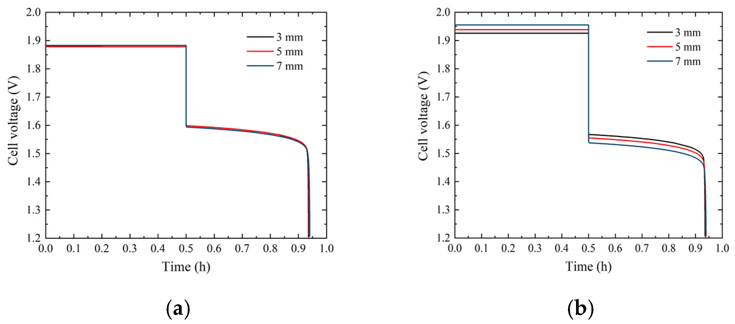
3.2. Effect of Electrode Thickness
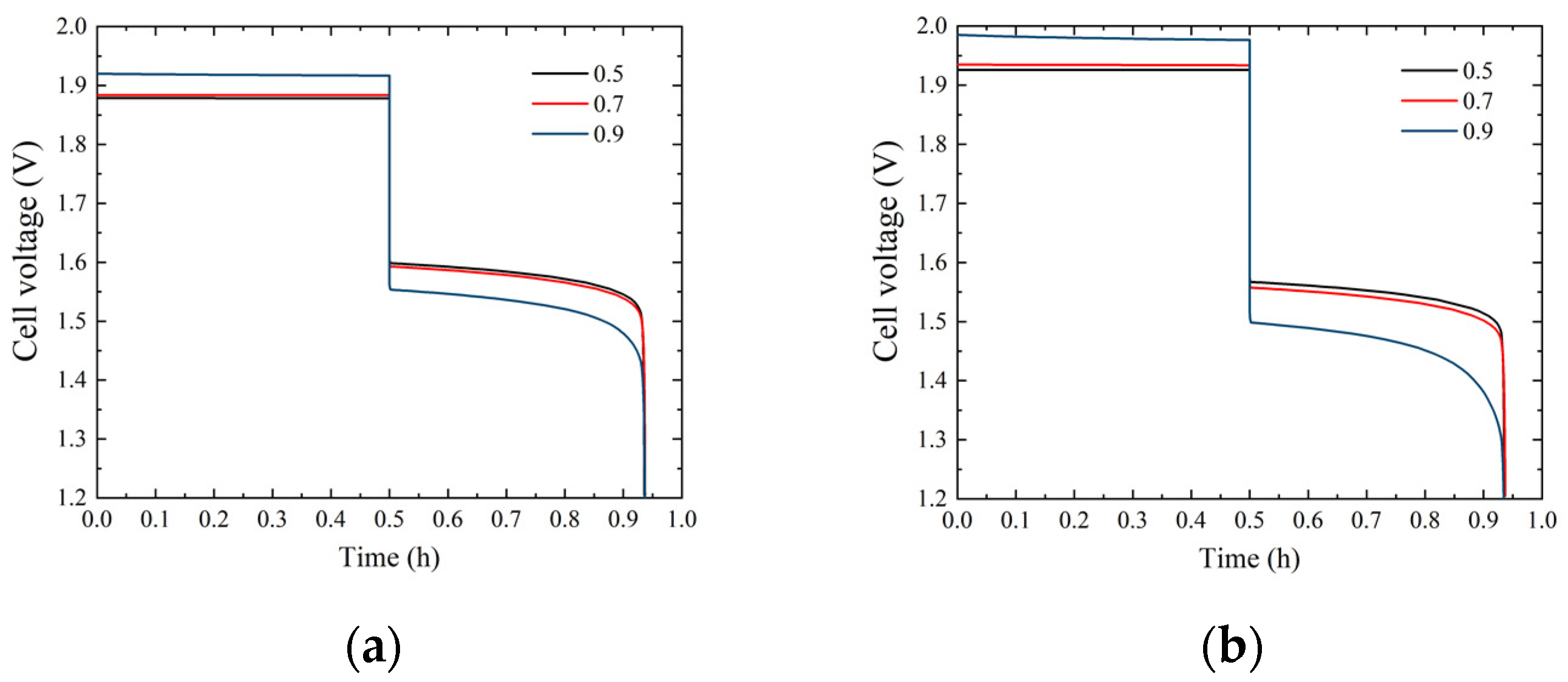
3.3. Effect of Electrode Porosity
3.4. Parameter Optimization to Further Improve Battery Performance
4. Conclusions
Author Contributions
Funding
Data Availability Statement
Conflicts of Interest
References
- Wang, Y.L.; Xu, H.K.; He, W.; Zhao, Y.L.; Wang, X.D. Lattice Boltzmann simulation of the structural degradation of a gas diffusion layer for a proton exchange membrane fuel cell. J. Power Sources 2023, 556, 232452. [Google Scholar] [CrossRef]
- Popat, Y.; Trudgeon, D.; Zhang, C.Q.; Walsh, F.C.; Connor, P.; Li, X.H. Carbon Materials as Positive Electrodes in Bromine-Based Flow Batteries. ChemPlusChem 2022, 87, e202100441. [Google Scholar] [CrossRef] [PubMed]
- Wang, Y.L.; Wang, S.X.; Liu, S.C.; Li, H.; Zhu, K. Optimization of reactants relative humidity for high performance of polymer electrolyte membrane fuel cells with co-flow and counter-flow configurations. Energy Convers. Manag. 2020, 205, 112369. [Google Scholar] [CrossRef]
- Hu, K.Y.; Zhao, P.Y.; Wang, S.X.; Wang, Y.L. Three-dimensional multiphase simulation of a partially narrowed flow field configuration for a high-performance polymer electrolyte membrane fuel cell. Appl. Therm. Eng. 2023, 223, 119986. [Google Scholar] [CrossRef]
- Park, M.; Ryu, J.; Wang, W.; Cho, J. Material design and engineering of next-generation flow-battery. Nat. Rev. Mater. 2017, 2, 16080. [Google Scholar] [CrossRef]
- Alotto, P.; Guarnieri, M.; Moro, F. Redox flow batteries for the storage of renewable energy: A review. Renew. Sustain. Energy Rev. 2014, 29, 325–335. [Google Scholar] [CrossRef]
- Vanýsek, P.; Novák, V. Redox flow batteries as the means for energy storage. J. Energy Storage 2017, 13, 435–441. [Google Scholar] [CrossRef]
- Tang, L.; Leung, P.; Mohamed, M.R.; Xu, Q.; Dai, S.; Zhu, X.; Flox, C.; Shah, A.A.; Liao, Q. Capital cost evaluation of conventional and emerging redox flow batteries for grid storage applications. Electrochim. Acta 2023, 437, 141460. [Google Scholar] [CrossRef]
- Cao, L.Y.; Skyllas-Kazacos, M.; Menictas, C.; Noack, J. A review of electrolyte additives and impurities in vanadium redox flow batteries. J. Energy Chem. 2018, 000, 1–23. [Google Scholar] [CrossRef]
- Khor, A.; Leung, P.; Mohamed, M.R.; Flox, C.; Xu, Q.; An, L.; Wills, R.G.A.; Morante, J.R.; Shah, A.A. Review of zinc-based hybrid flow batteries: From fundamentals to Applications. Mater. Today Energy 2018, 8, 80–108. [Google Scholar]
- Zhang, H.; Sun, C.Y.; Ge, M.M. Review of the Research Status of Cost-Effective Zinc–Iron Redox Flow Batteries. Batteries 2022, 8, 202. [Google Scholar] [CrossRef]
- Yuan, Z.Z.; Duan, Y.Q.; Liu, T.; Zhang, H.M.; Li, X.F. Toward a Low-Cost Alkaline Zinc-Iron Flow Battery with a Polybenzimidazole Custom Membrane for Stationary Energy Storage. iScience 2018, 3, 40–49. [Google Scholar] [CrossRef] [PubMed]
- Wu, M.C.; Zhao, T.S.; Zhang, R.H.; Jiang, H.R.; Wei, L. A Zinc-Bromine Flow Battery with Improved Design of Battery Structure and Electrodes. Energy Technol. 2018, 6, 333–339. [Google Scholar] [CrossRef]
- Hua, L.; Lu, W.; Li, T.; Xu, P.; Zhang, H.; Li, X. A highly selective porous composite membrane with bromine capturing ability for a bromine-based flow battery. Mater. Today Energy 2021, 21, 100763. [Google Scholar] [CrossRef]
- Kim, M.; Yun, D.; Jeon, J. Effect of a bromine complex agent on electrochemical performances of zinc electrodeposition and electrodissolution in Zinc-Bromide flow battery. J. Power Sources 2019, 438, 227020. [Google Scholar] [CrossRef]
- Jiang, H.R.; Wu, M.C.; Ren, Y.X.; Shyy, W.; Zhou, T.S. Towards a uniform distribution of zinc in the negative electrode for zinc bromine flow batteries. Appl. Energy 2018, 213, 366–374. [Google Scholar] [CrossRef]
- Yang, J.H.; Yang, H.S.; Ra, H.W.; Shim, J.; Jeon, J.D. Effect of a surface active agent on performance of zinc/bromine redox flow batteries: Improvement in current efficiency and system stability. J. Power Sources 2015, 275, 294–297. [Google Scholar] [CrossRef]
- Wu, M.C.; Zhao, T.S.; Jiang, H.R.; Zeng, Y.K.; Ren, T.X. High-performance zinc bromine flow battery via improved design of electrolyte and electrode. J. Power Sources 2017, 355, 62–68. [Google Scholar] [CrossRef]
- Archana, K.S.; Naresh, R.P.; Enale, H.; Rajendram, V.; Mohan, A.M.V.; Bhaskar, A.; Ragupathy, P.; Dixon, D. Effect of positive electrode modification on the performance of zinc-bromine redox flow batteries. J. Energy Storage 2020, 29, 101462. [Google Scholar] [CrossRef]
- Esan, O.C.; Shi, X.Y.; Pan, Z.F.; Huo, X.Y.; An, L.; Zhao, T.S. Modeling and Simulation of Flow Batteries. Adv. Energy Mater. 2020, 10, 2000758. [Google Scholar] [CrossRef]
- Simpson, G.D.; White, R.E. An algebraic model for a zinc/bromine flow battery. J. Electrochem. Soc. 1989, 136, 2137. [Google Scholar] [CrossRef]
- Evans, T.I.; White, R.E. A Mathematical Model of a Zinc/Bromine Flow Battery. J. Electrochem. Soc. 1987, 134, 866. [Google Scholar] [CrossRef]
- Mader, M.J.; White, R.E. A mathematical model of a Zn/Br2 battery on charge. J. Electrochem. Soc. 1986, 133, 1297. [Google Scholar] [CrossRef]
- Mader, M.J.; Walton, C.W.; White, R.E. Parallel plate electrochemical reactor model: Material balance closure and a simplification. J. Electrochem. Soc. 1986, 133, 1124–1130. [Google Scholar] [CrossRef]
- Koo, B.; Lee, D.; Yi, J.; Shin, C.B.; Kim, D.J.; Choi, E.M.; Kang, T.H. Modeling the performance of a zinc/bromine flow battery. Energies 2019, 12, 1159. [Google Scholar] [CrossRef]
- Xu, Z.C.; Wang, J.; Yan, S.C.; Fan, Q.; Lund, P.D. Modeling of Zinc Bromine redox flow battery with Application to channel design. J. Power Sources 2020, 450, 227436. [Google Scholar] [CrossRef]
- Ma, X.K.; Zhang, H.M.; Sun, C.X.; Zou, Y.; Zhang, T. An optimal strategy of electrolyte flow rate for vanadium redox flow battery. J. Power Sources 2012, 203, 153–158. [Google Scholar] [CrossRef]
- Ali, E.; Kwon, H.; Choi, J.; Lee, J.; Kim, J.; Park, H. A numerical study of electrode thickness and porosity effects in all vanadium redox flow batteries. J. Energy Storage 2020, 28, 101208. [Google Scholar] [CrossRef]
- Wang, Q.; Chen, W. Effects of porosity variation in different linear and combination modes in the electrode on the performance of all-vanadium flow battery. J. Energy Storage 2022, 51, 104394. [Google Scholar] [CrossRef]
- Li, X.J.; Li, T.Y.; Xu, P.C.; Xie, C.X.; Zhang, Y.H.; Li, X.F. A Complexing Agent to Enable a Wide-Temperature Range Bromine-Based Flow Battery for Stationary Energy Storage. Adv. Funct. Mater. 2021, 31, 2100133. [Google Scholar] [CrossRef]
- Lai, Q.Z.; Zhang, H.M.; Li, X.F.; Zhang, L.Q.; Cheng, Y.H. A novel single flow zinc-bromine battery with improved energy density. J. Power Sources 2013, 235, 1–4. [Google Scholar] [CrossRef]
- Xu, H.C.; Fan, Q.; Li, Y.; Wang, J.; Lund, P.D. Review of zinc dendrite formation in zinc bromine redox flow battery. Renew. Sustain. Energy Rev. 2020, 127, 109838. [Google Scholar] [CrossRef]
- Suresh, S.; Ulaganathan, M.; Venkatesan, N.; Periasamy, P.; Ragupathy, P. High performance zinc-bromine redox flow batteries: Role of various carbon felts and battery configurations. J. Energy Storage 2018, 20, 134–139. [Google Scholar] [CrossRef]
- Li, X. Modeling and simulation study of a metal free organic-inorganic aqueous flow battery with flow through electrode. Electrochim. Acta 2015, 170, 98–109. [Google Scholar] [CrossRef]
- Adith, R.V.; Naresh, R.; Mariyappan, K.; Ulaganathan, M.; Ragupathy, P. An optimistic approach on flow rate and supporting electrolyte for enhancing the performance characteristics of Zn-Br2 redox flow battery. Electrochim. Acta 2021, 388, 138451. [Google Scholar] [CrossRef]
- Chen, Z.Q.; Yu, W.T.; Liu, Y.F.; Zeng, Y.K.; He, Q.J.; Tan, P.; Ni, M. Mathematical modeling and numerical analysis of alkaline zinc-iron flow batteries for energy storage application. Chem. Eng. J. 2021, 405, 12668. [Google Scholar] [CrossRef]
- Minakshi, M.; Appadoo, D.; Martin, D.E. The Anodic Behavior of Planar and Porous Zinc Electrodes in Alkaline Electrolyte. Electrochem. Solid-State Lett. 2010, 13, A77–A80. [Google Scholar] [CrossRef]
- Minakshi, M.; Mitchell, D.R.G.; Prince, K. Incorporation of TiB2 additive into MnO2 cathode and its influence on rechargeability in an aqueous battery system. Solid State Ion. 2018, 179, 355–361. [Google Scholar] [CrossRef]
- Minakshi, M.; Ionescu, M. Anodic behavior of zinc in Zn-MnO2 battery using ERDA technique. Int. J. Hydrogen Energy 2010, 35, 7618–7622. [Google Scholar] [CrossRef]
- Kim, Y.; Jeon, J. An antisymmetric cell structure for high-performance zinc bromine flow battery. J. Phys. Conf. Ser. 2017, 939, 012021. [Google Scholar] [CrossRef]
- Marini, F.; Walczak, B. Particle swarm optimization (PSO). A tutorial. Chemom. Intell. Lab. Syst. 2015, 149, 153–165. [Google Scholar] [CrossRef]
- Ding, Q.F.; Yin, X.Y. Research survey of differential evolution algorithms. CAAI Trans. Intell. Syst. 2017, 12, 431–442. [Google Scholar]
- Zhang, Y.Q.; Sun, J.; Wang, G.X.; Wang, T.H. Advantage of a Thermoelectric Generator with Hybridization of Segmented Materials and Irregularly Variable Cross-Section Design. Energies 2022, 15, 2944. [Google Scholar] [CrossRef]
- Ali, E.; Kwon, H.; Kim, J.; Park, H. Numerical study on serpentine design flow channel configurations for vanadium redox flow batteries. J. Energy Storage 2020, 32, 101802. [Google Scholar] [CrossRef]


















| RFB | Advantage | Disadvantage | Energy Density | Energy Efficiency (%) | Electrolyte Cost | Ref. |
|---|---|---|---|---|---|---|
| VRFB | Single active species; Long cycle life; No pollution to environment. | High electrolyte costs; Low energy density; Low operating voltage. | 15–43 | 82.7 () | 87 | [9,10] |
| ZIRFB | Low system costs; Large PH range; No pollution to environment. | Zinc dendrites; Low solubility of ferrocyanide; High separator resistance. | 56 | 82.8 () | 5 | [11,12] |
| ZBFB | High energy density; Long cycle life; Low system costs; Wide operating temperature. | Bromine is corrosive and toxic; Zinc dendrites; Slower reaction rate. | 70 | 85.3 () | 5 | [13,14] |
| Parameter | Value | Unit |
|---|---|---|
| Flow rate | 10–50 | |
| Applied current density | 20,40 | |
| Operating temperature | 293 | |
| Charging time | 0.5 | |
| Discharging time | 0.5 |
| Symbol | Value | Description | Ref. |
|---|---|---|---|
| Battery height | [33] | ||
| Battery width | [33] | ||
| Thickness of the electrode | [33] | ||
| Thickness of the membrane | [33] | ||
| Electrolyte inlet velocity | [33] | ||
| Tank volume | [33] | ||
| Initial bromine ion concentration | [33] | ||
| Initial zinc ion concentration | [33] | ||
| Porosity of the electrode | [33] | ||
| Porosity of the membrane | [33] | ||
| Conductivity of the electrode | [33] | ||
| Conductivity of the membrane | [33] | ||
| Specific surface area of the electrode | [33] | ||
| Negative standard potential | [23] | ||
| Positive standard potential | [23] | ||
| Standard rate constant | [34] | ||
| Standard rate constant | [34] | ||
| Transfer coefficient | [21] | ||
| Transfer coefficient | [21] | ||
| Diffusion coefficient of bromine | [21] |
| 2.31 | 2.68 | 2.80 | 2.86 | 2.89 | |
| 4.63 | 5.35 | 5.60 | 5.72 | 5.79 |
| 3 mm | 5 mm | 7 mm | |
|---|---|---|---|
| 2.68 | 4.49 | 6.30 | |
| 5.35 | 8.97 | 12.60 |
| 0.5 | 0.7 | 0.9 | |
|---|---|---|---|
| 2.678 | 2.685 | 2.684 | |
| 5.353 | 5.605 | 5.338 |
| Method | Principle | Advantages | Disadvantages | Ref. |
|---|---|---|---|---|
| PSO | Bird foraging behavior | Principle is simple, easy to implement, fewer parameters to adjust. | For discrete optimization problems, it is easy to fall into local optima. | [41] |
| DE | Population differences | Fast convergence, few control parameters, and high accuracy | Premature convergence or search stops occur when optimizing complex problems. | [42] |
| GA | Biological evolution | Strong global search capability, suitable for solving complex optimization problems | Slow convergence and many control variables. | [43] |
| Parameter | Value Range |
|---|---|
| Flow rate | 10–50 |
| Thickness | 3–7 mm |
| Porosity | 0.5–0.9 |
| Br concentration | 5000–7000 |
| Zn concentration | 3000–6000 |
| Current Density | ||
|---|---|---|
| Flow rate | 50 | 50 |
| Thickness | 5 mm | 3 mm |
| Porosity | 0.5 | 0.5 |
| Br concentration | 7000 | 7000 |
| Zn concentration | 6000 | 6000 |
Disclaimer/Publisher’s Note: The statements, opinions and data contained in all publications are solely those of the individual author(s) and contributor(s) and not of MDPI and/or the editor(s). MDPI and/or the editor(s) disclaim responsibility for any injury to people or property resulting from any ideas, methods, instructions or products referred to in the content. |
© 2023 by the authors. Licensee MDPI, Basel, Switzerland. This article is an open access article distributed under the terms and conditions of the Creative Commons Attribution (CC BY) license (https://creativecommons.org/licenses/by/4.0/).
Share and Cite
Zhang, Y.-Q.; Wang, G.-X.; Liu, R.-Y.; Wang, T.-H. Operational Parameter Analysis and Performance Optimization of Zinc–Bromine Redox Flow Battery. Energies 2023, 16, 3043. https://doi.org/10.3390/en16073043
Zhang Y-Q, Wang G-X, Liu R-Y, Wang T-H. Operational Parameter Analysis and Performance Optimization of Zinc–Bromine Redox Flow Battery. Energies. 2023; 16(7):3043. https://doi.org/10.3390/en16073043
Chicago/Turabian StyleZhang, Ye-Qi, Guang-Xu Wang, Ru-Yi Liu, and Tian-Hu Wang. 2023. "Operational Parameter Analysis and Performance Optimization of Zinc–Bromine Redox Flow Battery" Energies 16, no. 7: 3043. https://doi.org/10.3390/en16073043
APA StyleZhang, Y.-Q., Wang, G.-X., Liu, R.-Y., & Wang, T.-H. (2023). Operational Parameter Analysis and Performance Optimization of Zinc–Bromine Redox Flow Battery. Energies, 16(7), 3043. https://doi.org/10.3390/en16073043

