Multilevel Dual Active Bridge Leakage Inductance Selection for Various DC-Link Voltage Spans
Abstract
1. Introduction
2. AC-Link Current and Voltage Derivations
2.1. AC-Link Voltages of the DAB
2.2. AC-Link Currents for a YY-Connected MFT
2.3. AC-Link Currents for a -Connected MFT
2.4. AC-Link Currents for a Y-Connected MFT
2.5. AC-Link Voltages and Currents for a MFT
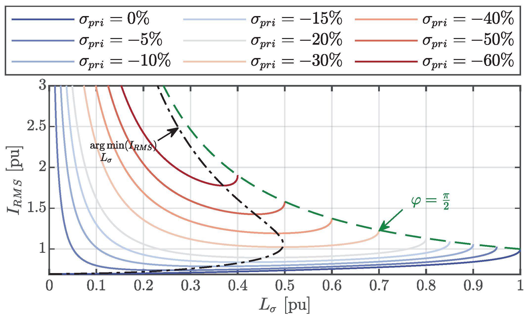
3. Study of the Leakage Inductance
3.1. Formulating the Optimization
3.2. Leakage Inductance Calculation for the Topology
3.3. Leakage Inductance Calculation for Topology
3.4. Sensitivity Analysis
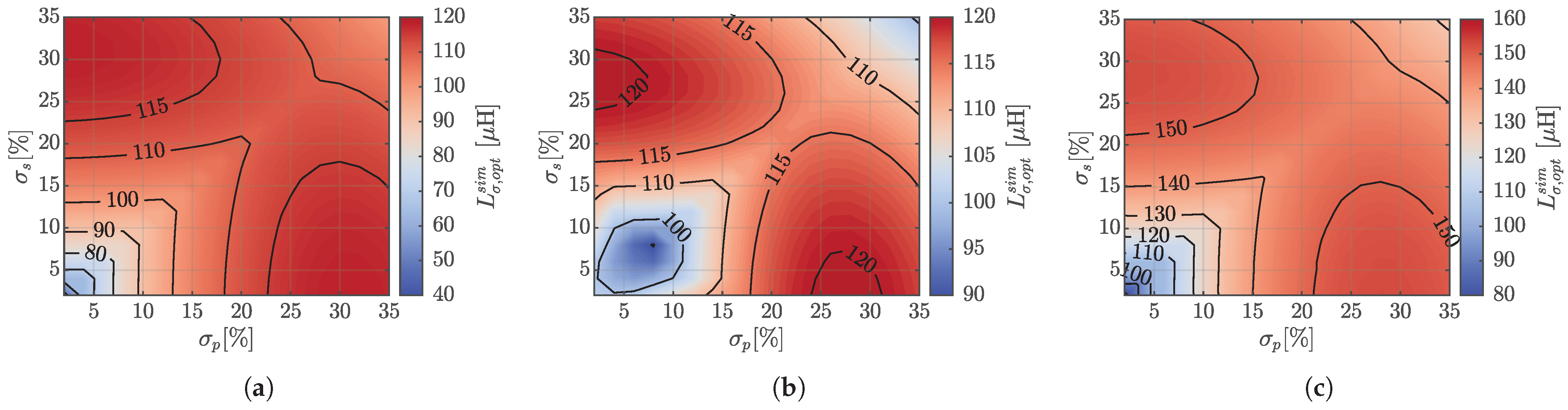
4. Simulation and Verification
4.1. Calculation Using Simulation Models
4.2. Calculation Using Simulation Models
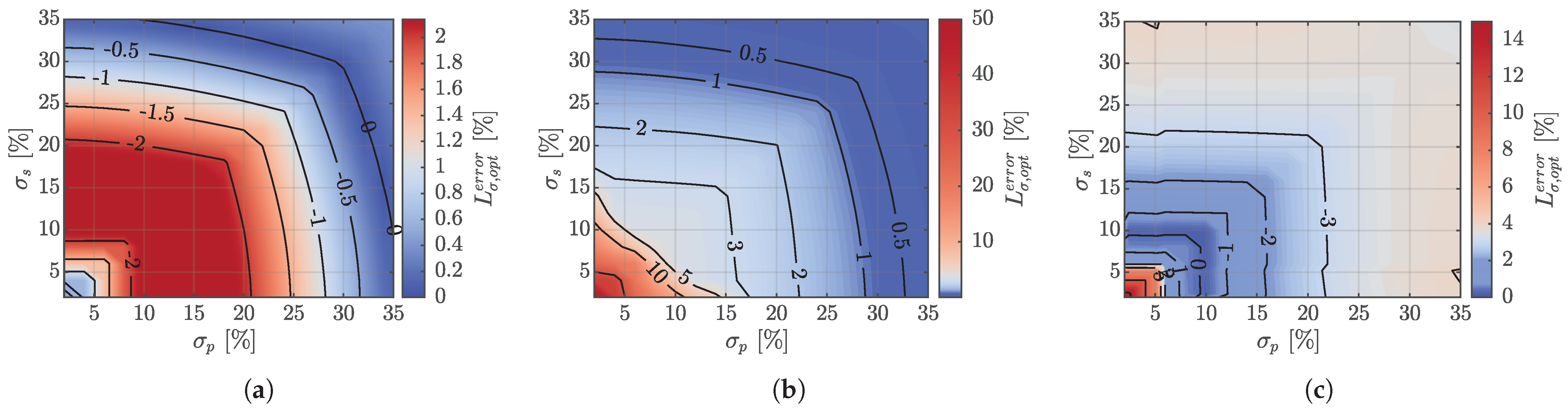
4.3. Sensitivity Study on
5. Discussion
Author Contributions
Funding
Data Availability Statement
Acknowledgments
Conflicts of Interest
Abbreviations
| DAB | Dual active bridge |
| RMS | Root mean square |
| MMC | Modular-multilevel converter |
| MFT | Medium-frequency transformer |
| Q2L | Quasi-two-level |
Appendix A. Solving Optimization Problem (21)
Appendix A.1. Solving Inner Optimization
Appendix A.2. Solving Outer Optimization

References
- De Doncker, R.; Divan, D.; Kheraluwala, M. A three-phase soft-switched high-power-density DC/DC converter for high-power applications. IEEE Trans. Ind. Appl. 1991, 27, 63–73. [Google Scholar] [CrossRef]
- Páez, J.D.; Frey, D.; Maneiro, J.; Bacha, S.; Dworakowski, P. Overview of DC–DC Converters Dedicated to HVDC Grids. IEEE Trans. Power Deliv. 2019, 34, 119–128. [Google Scholar] [CrossRef]
- She, X.; Huang, A.Q.; Burgos, R. Review of Solid-State Transformer Technologies and Their Application in Power Distribution Systems. IEEE J. Emerg. Sel. Top. Power Electron. 2013, 1, 186–198. [Google Scholar] [CrossRef]
- Bahmani, M.A.; Vechalapu, K.; Mobarrez, M.; Bhattacharya, S. Flexible HF distribution transformers for inter-connection between MVAC and LVDC connected to DC microgrids: Main challenges. In Proceedings of the 2017 IEEE Second International Conference on DC Microgrids (ICDCM), Nuremburg, Germany, 27–29 June 2017; pp. 53–60. [Google Scholar] [CrossRef]
- Adam, G.P.; Gowaid, I.A.; Finney, S.J.; Holliday, D.; Williams, B.W. Review of Dc–Dc Converters for Multi-Terminal HVDC Transmission Networks. IET Power Electron. 2016, 9, 281–296. [Google Scholar] [CrossRef]
- Xing, Z.; Ruan, X.; You, H.; Yang, X.; Yao, D.; Yuan, C. Soft-Switching Operation of Isolated Modular DC/DC Converters for Application in HVDC Grids. IEEE Trans. Power Electron. 2016, 31, 2753–2766. [Google Scholar] [CrossRef]
- Baars, N.H.; Wijnands, C.G.E.; Everts, J. ZVS modulation strategy for a three-phase dual active bridge dc-dc converter with three-level phase-legs. In Proceedings of the 2016 18th European Conference on Power Electronics and Applications (EPE’16 ECCE Europe), Karlsruhe, Germany, 5–9 September 2016; pp. 1–10. [Google Scholar] [CrossRef]
- Filba-Martinez, A.; Busquets-Monge, S.; Bordonau, J. Modulation and Capacitor Voltage Balancing Control of Multilevel NPC Dual Active Bridge DC–DC Converters. IEEE Trans. Ind. Electron. 2020, 67, 2499–2510. [Google Scholar] [CrossRef]
- Gowaid, I.A.; Adam, G.P.; Massoud, A.M.; Ahmed, S.; Williams, B.W. Hybrid and Modular Multilevel Converter Designs for Isolated HVDC–DC Converters. IEEE J. Emerg. Sel. Top. Power Electron. 2018, 6, 188–202. [Google Scholar] [CrossRef]
- Gowaid, I.A.; Adam, G.P.; Massoud, A.M.; Ahmed, S.; Holliday, D.; Williams, B.W. Quasi Two-Level Operation of Modular Multilevel Converter for Use in a High-Power DC Transformer With DC Fault Isolation Capability. IEEE Trans. Power Electron. 2015, 30, 108–123. [Google Scholar] [CrossRef]
- Gowaid, I.A.; Adam, G.P.; Ahmed, S.; Holliday, D.; Williams, B.W. Analysis and Design of a Modular Multilevel Converter with Trapezoidal Modulation for Medium and High Voltage dc-dc Transformers. IEEE Trans. Power Electron. 2015, 30, 5439–5457. [Google Scholar] [CrossRef]
- Khanzadeh, B.; Thiringer, T.; Okazaki, Y. Capacitor Size Comparison on High-Power dc-dc Converters with Different Transformer Winding Configurations on the AC-link. In Proceedings of the 2020 22nd European Conference on Power Electronics and Applications (EPE’20 ECCE Europe), Lyon, France, 7–11 September 2020; pp. P.1–P.7. [Google Scholar] [CrossRef]
- Khanzadeh, B.; Okazaki, Y.; Thiringer, T. Capacitor and Switch Size Comparisons on High-Power Medium-Voltage DC–DC Converters With Three-Phase Medium-Frequency Transformer. IEEE J. Emerg. Sel. Top. Power Electron. 2021, 9, 3331–3338. [Google Scholar] [CrossRef]
- Burkart, R.M.; Kolar, J.W. Comparative η– ρ– σ Pareto Optimization of Si and SiC Multilevel Dual-Active-Bridge Topologies With Wide Input Voltage Range. IEEE Trans. Power Electron. 2017, 32, 5258–5270. [Google Scholar] [CrossRef]
- Bahmani, M.A.; Thiringer, T. Accurate Evaluation of Leakage Inductance in High-Frequency Transformers Using an Improved Frequency-Dependent Expression. IEEE Trans. Power Electron. 2015, 30, 5738–5745. [Google Scholar] [CrossRef]
- Bahmani, M.A.; Thiringer, T.; Rabiei, A.; Abdulahovic, T. Comparative Study of a Multi-MW High-Power Density DC Transformer With an Optimized High-Frequency Magnetics in All-DC Offshore Wind Farm. IEEE Trans. Power Deliv. 2016, 31, 857–866. [Google Scholar] [CrossRef]
- Bahmani, M.A.; Thiringer, T.; Kharezy, M. Design Methodology and Optimization of a Medium-Frequency Transformer for High-Power DC–DC Applications. IEEE Trans. Ind. Appl. 2016, 52, 4225–4233. [Google Scholar] [CrossRef]
- Eslamian, M.; Kharezy, M.; Thiringer, T. Calculation of the Leakage Inductance of Medium Frequency Transformers with Rectangular-Shaped Windings using an Accurate Analytical Method. In Proceedings of the 2019 21st European Conference on Power Electronics and Applications (EPE ’19 ECCE Europe), Genova, Italy, 3–5 September 2019; pp. P.1–P.10. [Google Scholar] [CrossRef]
- Bin, C. Design optimisation of an inductor-integrated MF transformer for a high-power isolated dual-active-bridge DC–DC converter. IET Power Electron. 2019, 12, 2912–2922. [Google Scholar] [CrossRef]
- Chen, B.; Liang, X.; Wan, N. Design Methodology for Inductor-Integrated Litz-Wired High-Power Medium-Frequency Transformer With the Nanocrystalline Core Material for Isolated DC-Link Stage of Solid-State Transformer. IEEE Trans. Power Electron. 2020, 35, 11557–11573. [Google Scholar] [CrossRef]
- Garcia-Bediaga, A.; Villar, I.; Rujas, A.; Mir, L.; Rufer, A. Multiobjective Optimization of Medium-Frequency Transformers for Isolated Soft-Switching Converters Using a Genetic Algorithm. IEEE Trans. Power Electron. 2017, 32, 2995–3006. [Google Scholar] [CrossRef]
- Zhang, X.; Xiao, F.; Wang, R.; Kang, W.; Yang, B. Modeling and Design of High-Power Enhanced Leakage-Inductance-Integrated Medium-Frequency Transformers for DAB Converters. Energies 2022, 15, 1361. [Google Scholar] [CrossRef]
- Yazdani, F.; Zolghadri, M. Design of dual active bridge isolated bi-directional DC converter based on current stress optimization. In Proceedings of the 2017 8th Power Electronics, Drive Systems & Technologies Conference (PEDSTC), Mashhad, Iran, 14–16 February 2017; pp. 247–252. [Google Scholar] [CrossRef]
- D’Antonio, M.; Chakraborty, S.; Khaligh, A. Design Optimization for Weighted Conduction Loss Minimization in a Dual-Active-Bridge-Based PV Microinverter. In Proceedings of the 2020 IEEE Energy Conversion Congress and Exposition (ECCE), Washington, DC, USA, 11–15 October 2020; pp. 6008–6015. [Google Scholar] [CrossRef]
- Siebke, K.; Giacomazzo, M.; Mallwitz, R. Design of a Dual Active Bridge Converter for On-Board Vehicle Chargers using GaN and into Transformer Integrated Series Inductance. In Proceedings of the 2020 22nd European Conference on Power Electronics and Applications (EPE’20 ECCE Europe), Lyon, France, 7–11 September 2020; pp. 1–8. [Google Scholar] [CrossRef]
- Nguyen, H.V.; To, D.D.; Lee, D.C. Onboard battery chargers for plug-in electric vehicles with dual functional circuit for low-voltage battery charging and active power decoupling. IEEE Access 2018, 6, 70212–70222. [Google Scholar] [CrossRef]
- Lenke, R.U. A Contribution to the Design of Isolated DC-DC Converters for Utility Applications; E.ON Energy Research Center, RWTH Aachen University: Aachen, Germany, 2012. [Google Scholar]
- Krismer, F.; Round, S.; Kolar, J.W. Performance optimization of a high current dual active bridge with a wide operating voltage range. In Proceedings of the 2006 37th IEEE Power Electronics Specialists Conference, Jeju, Republic of Korea, 18–22 June 2006; pp. 1–7. [Google Scholar] [CrossRef]
- van Hoek, H.; Neubert, M.; De Doncker, R.W. Enhanced Modulation Strategy for a Three-Phase Dual Active Bridge—Boosting Efficiency of an Electric Vehicle Converter. IEEE Trans. Power Electron. 2013, 28, 5499–5507. [Google Scholar] [CrossRef]
- Hoang, K.D.; Wang, J. Design optimization of high frequency transformer for dual active bridge dc-dc converter. In Proceedings of the 2012 XXth International Conference on Electrical Machines, Marseille, France, 2–5 September 2012; pp. 2311–2317. [Google Scholar] [CrossRef]
- Alikhanzadeh, B.; Thiringer, T.; Kharezy, M. Optimum Leakage Inductance Determination for a Q2L-Operating MMC-DAB with Different Transformer Winding Configurations. In Proceedings of the 2019 20th International Symposium on Power Electronics (Ee), Novi Sad, Serbia, 23–26 October 2019; pp. 1–6. [Google Scholar] [CrossRef]
- O’neil, P.V. Advanced Engineering Mathematics; Cengage Learning: Boston, MA, USA, 2017. [Google Scholar]
- Lovelock, D.; Rund, H. Tensors, Differential Forms, and Variational Principles; Courier Corporation: Chelmsford, MA, USA, 1989. [Google Scholar]
- Svoboda, J.A.; Dorf, R.C. Introduction to Electric Circuits; John Wiley & Sons: Hoboken, NJ, USA, 2013. [Google Scholar]
- Khanzadeh, B.; Thiringer, T.; Serdyuk, Y. Analysis and Improvement of Harmonic Content in Multi-level Three-phase DAB Converters with Different Transformer Windings Connections. In Proceedings of the 2022 International Power Electronics Conference (IPEC-Himeji 2022- ECCE Asia), Himeji, Japan, 15–19 May 2022; pp. 2653–2658. [Google Scholar] [CrossRef]
- Bahmani, A. Design and Optimization Considerations of Medium-Frequency Power Transformers in High-Power DC-DC Applications; Chalmers Tekniska Hogskola: Göteborg, Sweden, 2016. [Google Scholar]













| Parameter | Value | Parameter | Value | Parameter | Value | Parameter | Value |
|---|---|---|---|---|---|---|---|
| 5 kV | 5 kHz | 5 kV | 2 MW | ||||
| [0.02, 0.35] | 5 | [0.02, 0.35] | 2.5 s |
Disclaimer/Publisher’s Note: The statements, opinions and data contained in all publications are solely those of the individual author(s) and contributor(s) and not of MDPI and/or the editor(s). MDPI and/or the editor(s) disclaim responsibility for any injury to people or property resulting from any ideas, methods, instructions or products referred to in the content. |
© 2023 by the authors. Licensee MDPI, Basel, Switzerland. This article is an open access article distributed under the terms and conditions of the Creative Commons Attribution (CC BY) license (https://creativecommons.org/licenses/by/4.0/).
Share and Cite
Khanzadeh, B.; Thiringer, T.; Kharezy, M. Multilevel Dual Active Bridge Leakage Inductance Selection for Various DC-Link Voltage Spans. Energies 2023, 16, 859. https://doi.org/10.3390/en16020859
Khanzadeh B, Thiringer T, Kharezy M. Multilevel Dual Active Bridge Leakage Inductance Selection for Various DC-Link Voltage Spans. Energies. 2023; 16(2):859. https://doi.org/10.3390/en16020859
Chicago/Turabian StyleKhanzadeh, Babak, Torbjörn Thiringer, and Mohammad Kharezy. 2023. "Multilevel Dual Active Bridge Leakage Inductance Selection for Various DC-Link Voltage Spans" Energies 16, no. 2: 859. https://doi.org/10.3390/en16020859
APA StyleKhanzadeh, B., Thiringer, T., & Kharezy, M. (2023). Multilevel Dual Active Bridge Leakage Inductance Selection for Various DC-Link Voltage Spans. Energies, 16(2), 859. https://doi.org/10.3390/en16020859

