Assessing Energy Performance and Environmental Impact of Low GWP Vapor Compression Chilled Water Systems
Abstract
Highlights
- Comparative study of energy performance for a vapor compression chilled water using a new low GWP refrigerant (R1234ze), HFC refrigerants (R134a, R407C, and R410A), and the conventional HCFC22 refrigerant.
- Analyze the environmental impact of the different tested refrigerants and select the one with the lowest annual TEWI among them.
Abstract
1. Introduction
- Comparative study of energy performance for a vapor compression chilled water using a new low GWP refrigerant (R1234ze), HFC refrigerants (R134a, R407C, and R410A), and the conventional HCFC22 refrigerant.
- Analyze the environmental impact of the different tested refrigerants and select the one with the lowest annual TEWI among them.
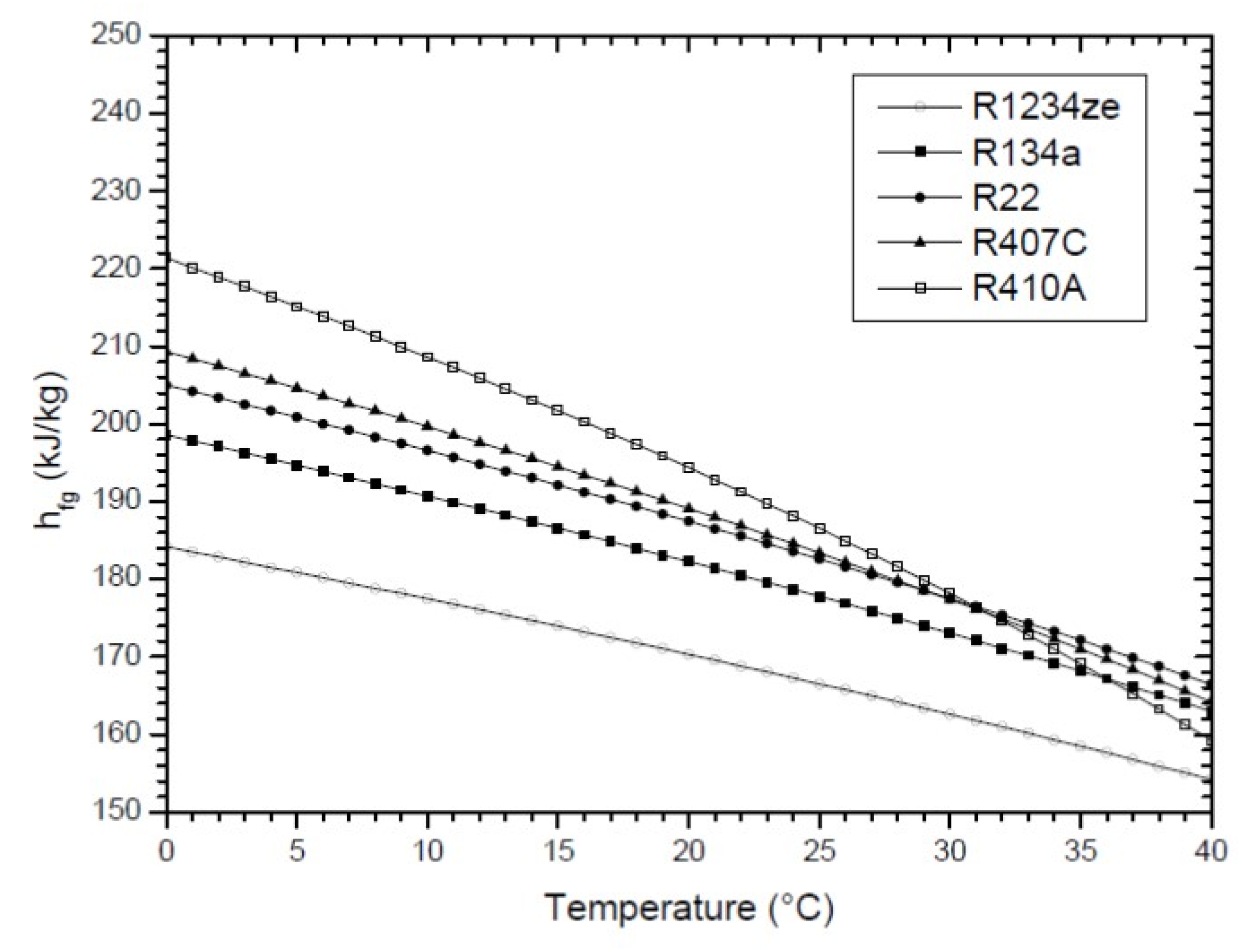
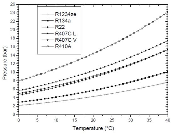
2. Refrigerant Properties
3. Energy Performance Comparison
- Compressor
- Discharge line
- Condenser
- Expansion valve
- Evaporator
- Suction line
- -
- The environment temperature is 35 °C, and the chilled water regime is 7/12 °C (outlet/inlet).
- -
- The temperature difference between the environment and condensation is fixed at 15 °C
- -
- The degree of subcooling of liquid refrigerant is 5 °C
- -
- The temperature between evaporation and the water outlet is fixed at 5 °C
- -
- The degree of superheating of vapor leaving the evaporator is 5 °C
- -
- The degree of de-superheating in the discharge line is 10 °C
- -
- The degree of superheating in the suction line is 5 °C
- -
- The isentropic efficiency of the compressor is 75%
- -
- Pressure losses are neglected
4. Environment Impact Comparison
5. Validation of the Results
6. Conclusions
Author Contributions
Funding
Data Availability Statement
Conflicts of Interest
List of Abbreviations and Symbols
| Latin letters | ||
| Symbol | Signification | Unit |
| coefficient of performance | ||
| rate of energy | W | |
| pressure | kPa | |
| temperature | °C | |
| specific enthalpy | ||
| rate of heat transfer | W | |
| rate of work | W | |
| Abbreviations | ||
| W | water | |
| comp | compressor | |
| cond | condenser | |
| evap | evaporator | |
| in | inlet | |
| out | outlet | |
References
- Erin, N. George Advanced Thermodynamic Analyses of Energy Intensive Building Mechanical Systems; Rochester Institute of Technology: Rochester, NY, USA, 2006. [Google Scholar]
- Mungyeko Bisulandu, B.-J.R.; Mansouri, R.; Ilinca, A. Diffusion Absorption Refrigeration Systems: An Overview of Thermal Mechanisms and Models. Energies 2023, 16, 3610. [Google Scholar] [CrossRef]
- Romero, J.A.; Navarro-Esbrí, J.; Belman-Flores, J.M. A Simplified Black-Box Model Oriented to Chilled Water Temperature Control in a Variable Speed Vapour Compression System. Appl. Therm. Eng. 2011, 31, 329–335. [Google Scholar] [CrossRef]
- Lijuan, H.; Wang, S.; Suxia, L.; Xuan, W. Numerical and Experimental Evaluation of the Performance of a Coupled Vapour Absorption-Compression Refrigeration Configuration. Int. J. Refrig. 2019, 99, 429–439. [Google Scholar] [CrossRef]
- Ma, J.; Kim, D.; Braun, J.E. Proper Orthogonal Decomposition for Reduced Order Dynamic Modeling of Vapor Compression Systems. Int. J. Refrig. 2021, 132, 145–155. [Google Scholar] [CrossRef]
- Li, Z.; Chen, E.; Jing, Y.; Lv, S. Thermodynamic Relationship of Subcooling Power and Increase of Cooling Output in Vapour Compression Chiller. Energy Convers. Manag. 2017, 149, 254–262. [Google Scholar] [CrossRef]
- Grauberger, A.; Young, D.; Bandhauer, T. Experimental Validation of an Organic Rankine-Vapor Compression Cooling Cycle Using Low GWP Refrigerant R1234ze(E). Appl. Energy 2022, 307, 118242. [Google Scholar] [CrossRef]
- Botticella, F.; de Rossi, F.; Mauro, A.W.; Vanoli, G.P.; Viscito, L. Multi-Criteria (Thermodynamic, Economic and Environmental) Analysis of Possible Design Options for Residential Heating Split Systems Working with Low GWP Refrigerants. Int. J. Refrig. 2018, 87, 131–153. [Google Scholar] [CrossRef]
- Yao, Y.; Huang, M.; Chen, J. State-Space Model for Dynamic Behavior of Vapor Compression Liquid Chiller. Int. J. Refrig. 2013, 36, 2128–2147. [Google Scholar] [CrossRef]
- Mota-Babiloni, A.; Navarro-Esbrí, J.; Barragán, Á.; Molés, F.; Peris, B. Drop-in Energy Performance Evaluation of R1234yf and R1234ze(E) in a Vapor Compression System as R134a Replacements. Appl. Therm. Eng. 2014, 71, 259–265. [Google Scholar] [CrossRef]
- Mendoza-Miranda, J.M.; Mota-Babiloni, A.; Ramírez-Minguela, J.J.; Muñoz-Carpio, V.D.; Carrera-Rodríguez, M.; Navarro-Esbrí, J.; Salazar-Hernández, C. Comparative Evaluation of R1234yf, R1234ze(E) and R450A as Alternatives to R134a in a Variable Speed Reciprocating Compressor. Energy 2016, 114, 753–766. [Google Scholar] [CrossRef]
- Mishra, P.; Soni, S.; Maheshwari, G. Exergetic Performance Analysis of Low GWP Refrigerants as an Alternative to R410A in Split Air Conditioner. Mater. Today Proc. 2022, 63, 406–412. [Google Scholar] [CrossRef]
- Cavallini, A.; Brown, J.S.; Del Col, D.; Zilio, C. In-Tube Condensation Performance of Refrigerants Considering Penalization Terms (Exergy Losses) for Heat Transfer and Pressure Drop. Int. J. Heat Mass Transf. 2010, 53, 2885–2896. [Google Scholar] [CrossRef]
- Harnisch, J.; de Jager, D.; Gale, J.; Stobbe, O. Halogenated Compounds and Climate Change: Future Emission Levels and Reduction Costs. Environ. Sci. Pollut. Res. 2002, 9, 369–374. [Google Scholar] [CrossRef]
- Wu, X.; Hu, S.; Mo, S. Carbon Footprint Model for Evaluating the Global Warming Impact of Food Transport Refrigeration Systems. J. Clean. Prod. 2013, 54, 115–124. [Google Scholar] [CrossRef]
- Zhao, L.; Zeng, W.; Yuan, Z. Reduction of Potential Greenhouse Gas Emissions of Room Air-Conditioner Refrigerants: A Life Cycle Carbon Footprint Analysis. J. Clean. Prod. 2015, 100, 262–268. [Google Scholar] [CrossRef]
- Islam, M.A.; Mitra, S.; Thu, K.; Saha, B.B. Study on Thermodynamic and Environmental Effects of Vapor Compression Refrigeration System Employing First to Next-Generation Popular Refrigerants. Int. J. Refrig. 2021, 131, 568–580. [Google Scholar] [CrossRef]
- de Paula, C.H.; Duarte, W.M.; Rocha, T.T.M.; de Oliveira, R.N.; Maia, A.A.T. Optimal Design and Environmental, Energy and Exergy Analysis of a Vapor Compression Refrigeration System Using R290, R1234yf, and R744 as Alternatives to Replace R134a. Int. J. Refrig. 2020, 113, 10–20. [Google Scholar] [CrossRef]
- de Paula, C.H.; Duarte, W.M.; Rocha, T.T.M.; de Oliveira, R.N.; de Mendes, R.P.; Maia, A.A.T. Thermo-Economic and Environmental Analysis of a Small Capacity Vapor Compression Refrigeration System Using R290, R1234yf, and R600a. Int. J. Refrig. 2020, 118, 250–260. [Google Scholar] [CrossRef]
- Vuppaladadiyam, A.K.; Antunes, E.; Vuppaladadiyam, S.S.V.; Baig, Z.T.; Subiantoro, A.; Lei, G.; Leu, S.-Y.; Sarmah, A.K.; Duan, H. Progress in the Development and Use of Refrigerants and Unintended Environmental Consequences. Sci. Total Environ. 2022, 823, 153670. [Google Scholar] [CrossRef] [PubMed]
- Mota-Babiloni, A.; Navarro-Esbrí, J.; Molés, F.; Cervera, Á.B.; Peris, B.; Verdú, G. A Review of Refrigerant R1234ze(E) Recent Investigations. Appl. Therm. Eng. 2016, 95, 211–222. [Google Scholar] [CrossRef]
- IIR (International Institute of Refrigeration). A Brief History of Refrigeration; International Institute of Refrigeration. 2016. Available online: www.iifiir.org (accessed on 29 April 2023).
- Lai, N.A. Thermodynamic Properties of HFO-1243zf and Their Application in Study on a Refrigeration Cycle. Appl. Therm. Eng. 2014, 70, 1–6. [Google Scholar] [CrossRef]
- Varotsos, C.A. The 20th Anniversary of the Montreal Protocol and the Unexplainable 60% of Ozone Loss. Environ Sci. Pollut. Res. 2008, 15, 448–449. [Google Scholar] [CrossRef] [PubMed]
- Honeywell Honeywell International Inc. Honeywell SolsticeTM Yf Refrigerants—Technical Bulletin; Honeywell Honeywell International Inc.: Charlotte, NC, USA, 2016. [Google Scholar]
- Honeywell Honeywell International Inc. Honeywell Honeywell International Inc. Honeywell Solstice® Ze Refrigerants (HFO-1234ze). In The Environmental Alternative to Traditional Refrigerants; Honeywell Honeywell International Inc.: Charlotte, NC, USA, 2016. [Google Scholar]
- González, S.; Jiménez, E.; Ballesteros, B.; Martínez, E.; Albaladejo, J. Hydroxyl Radical Reaction Rate Coefficients as a Function of Temperature and IR Absorption Cross Sections for CF3CH=CH2 (HFO-1243zf), Potential Replacement of CF3CH2F (HFC-134a). Environ. Sci. Pollut. Res. 2015, 22, 4793–4805. [Google Scholar] [CrossRef]
- Mota-Babiloni, A.; Navarro-Esbrí, J.; Barragán, Á.; Molés, F.; Peris, B. Theoretical Comparison of Low GWP Alternatives for Different Refrigeration Configurations Taking R404A as Baseline. Int. J. Refrig. 2014, 44, 81–90. [Google Scholar] [CrossRef]
- Mota-Babiloni, A.; Haro-Ortuño, J.; Navarro-Esbrí, J.; Barragán-Cervera, Á. Experimental Drop-in Replacement of R404A for Warm Countries Using the Low GWP Mixtures R454C and R455A. Int. J. Refrig. 2018, 91, 136–145. [Google Scholar] [CrossRef]
- Dai, B.; Dang, C.; Li, M.; Tian, H.; Ma, Y. Thermodynamic Performance Assessment of Carbon Dioxide Blends with Low-Global Warming Potential (GWP) Working Fluids for a Heat Pump Water Heater. Int. J. Refrig. 2015, 56, 1–14. [Google Scholar] [CrossRef]
- Mota-Babiloni, A.; Navarro-Esbrí, J.; Barragán-Cervera, Á.; Molés, F.; Peris, B. Analysis Based on EU Regulation No 517/2014 of New HFC/HFO Mixtures as Alternatives of High GWP Refrigerants in Refrigeration and HVAC Systems. Int. J. Refrig. 2015, 52, 21–31. [Google Scholar] [CrossRef]
- Shen, B.; Nawaz, K.; Elatar, A. Parametric Studies of Heat Pump Water Heater Using Low GWP Refrigerants. Int. J. Refrig. 2021, 131, 407–415. [Google Scholar] [CrossRef]
- Mahmoudian, J.; Mazzelli, F.; Rocchetti, A.; Milazzo, A. A Heat-Powered Ejector Chiller Working with Low-GWP Fluid R1233zd(E) (Part2: Numerical Analysis). Int. J. Refrig. 2021, 121, 216–227. [Google Scholar] [CrossRef]
- Al-Sayyab, A.K.S.; Navarro-Esbrí, J.; Barragán-Cervera, A.; Kim, S.; Mota-Babiloni, A. Comprehensive Experimental Evaluation of R1234yf-Based Low GWP Working Fluids for Refrigeration and Heat Pumps. Energy Convers. Manag. 2022, 258, 115378. [Google Scholar] [CrossRef]
- UNEP. Handbook for the Montreal Protocol on Substances that Deplete the Ozone Layer, 10th ed.; UNEP: Geneva, Switzerland, 2019. [Google Scholar]
- ESPR Montreal Protocol. Framework Convention on Climate Change, Kyoto Protocol; ESPR Montreal Protocol: Geneva, Switzerland, 2002. [Google Scholar]
- Daikin Daikin’s Policy and Comprehensive Actions on the Environmental Impact of Refrigerants. 2016. Available online: www.daikin.com (accessed on 29 April 2023).
- ANSI/ASHRAE Addendum f to ANSI/ASHRAE Standard 34-2019; Designation and Safety Classification of Refrigerants. 2019. Available online: https://www.ashrae.org (accessed on 29 April 2023).
- Dinçer, İ.; Kanoğlu, M. Refrigeration Systems and Applications: Dinçer/Refrigeration Systems and Applications; John Wiley & Sons Ltd.: Chichester, UK, 2010; ISBN 978-0-470-66109-3. [Google Scholar]
- Anand, S.; Gupta, A.; Tyagi, S.K. Simulation Studies of Refrigeration Cycles: A Review. Renew. Sustain. Energy Rev. 2013, 17, 260–277. [Google Scholar] [CrossRef]
- Llopis, R.; Sánchez, D.; Sanz-Kock, C.; Cabello, R.; Torrella, E. Energy and Environmental Comparison of Two-Stage Solutions for Commercial Refrigeration at Low Temperature: Fluids and Systems. Appl. Energy 2015, 138, 133–142. [Google Scholar] [CrossRef]
- AIRAH. Methods of Calculating Total Equivalent Warming Impact (TEWI); The Australian Institute of Refrigeration, Air Conditioning and Heating; AIRAH: Melbourne, Australia, 2012. [Google Scholar]













| Refrigerant | ODP | GWP | Safety Class |
|---|---|---|---|
| R22 | 0.055 | 1500 | A1 |
| R134a | 0 | 1370 | A1 |
| R407C | 0 | 1700 | A1 |
| R410A | 0 | 2100 | A1 |
| R1234ze | 0 | 7 | A2 |
Disclaimer/Publisher’s Note: The statements, opinions and data contained in all publications are solely those of the individual author(s) and contributor(s) and not of MDPI and/or the editor(s). MDPI and/or the editor(s) disclaim responsibility for any injury to people or property resulting from any ideas, methods, instructions or products referred to in the content. |
© 2023 by the authors. Licensee MDPI, Basel, Switzerland. This article is an open access article distributed under the terms and conditions of the Creative Commons Attribution (CC BY) license (https://creativecommons.org/licenses/by/4.0/).
Share and Cite
Mansouri, R.; Mungyeko Bisulandu, B.-J.R.; Ilinca, A. Assessing Energy Performance and Environmental Impact of Low GWP Vapor Compression Chilled Water Systems. Energies 2023, 16, 4751. https://doi.org/10.3390/en16124751
Mansouri R, Mungyeko Bisulandu B-JR, Ilinca A. Assessing Energy Performance and Environmental Impact of Low GWP Vapor Compression Chilled Water Systems. Energies. 2023; 16(12):4751. https://doi.org/10.3390/en16124751
Chicago/Turabian StyleMansouri, Rami, Baby-Jean Robert Mungyeko Bisulandu, and Adrian Ilinca. 2023. "Assessing Energy Performance and Environmental Impact of Low GWP Vapor Compression Chilled Water Systems" Energies 16, no. 12: 4751. https://doi.org/10.3390/en16124751
APA StyleMansouri, R., Mungyeko Bisulandu, B.-J. R., & Ilinca, A. (2023). Assessing Energy Performance and Environmental Impact of Low GWP Vapor Compression Chilled Water Systems. Energies, 16(12), 4751. https://doi.org/10.3390/en16124751

