Numerical Modeling of Laser Heating and Evaporation of a Single Droplet
Abstract
1. Introduction
2. Formulation of the Model
2.1. Liquid Droplet
2.2. Absorption of Laser Radiation

2.3. Hydrodynamic Part of the Model
2.4. Numerical Procedure
2.5. Verification and Validation of the Code
3. Results and Discussion
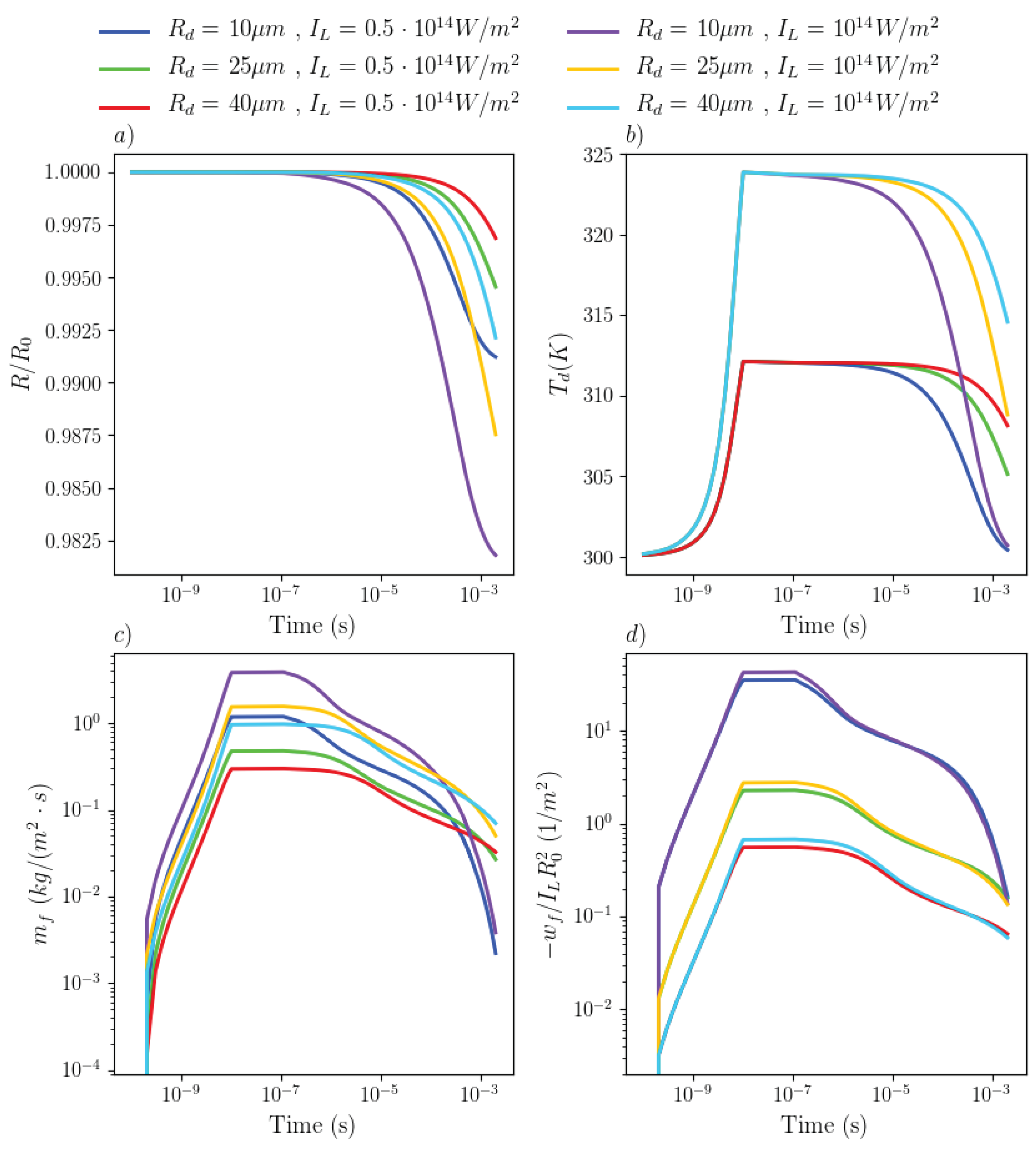
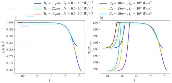
3.1. Continuous Laser Heating
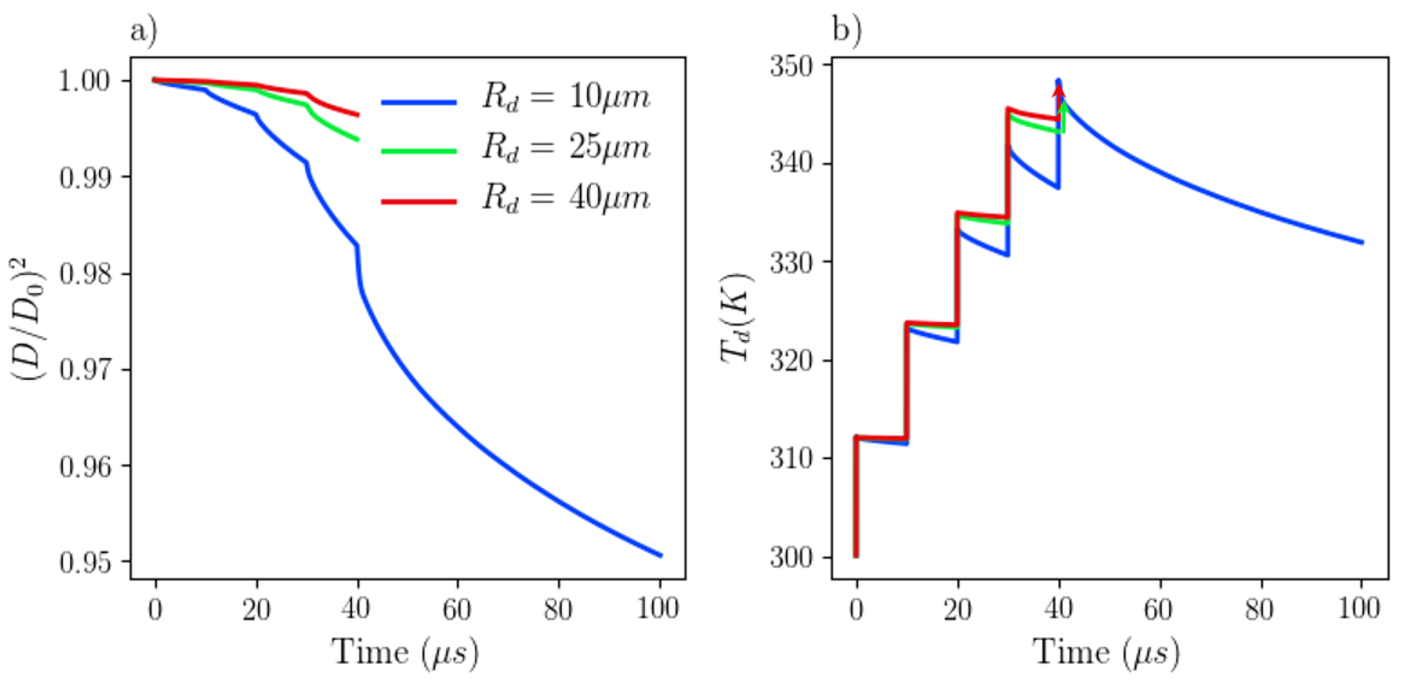
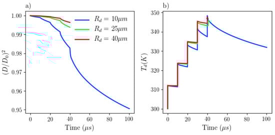
3.2. Pulsed Laser Heating
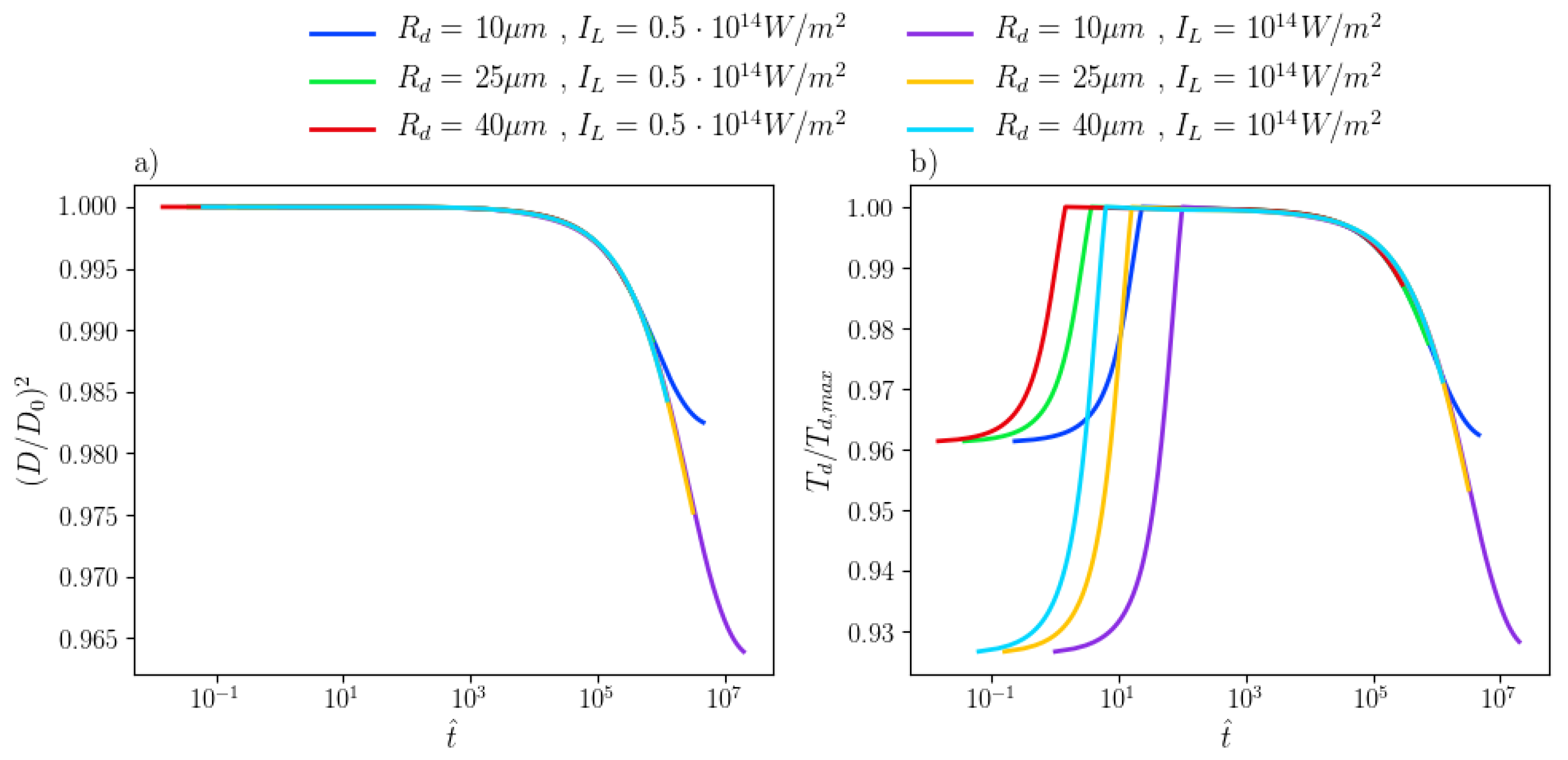
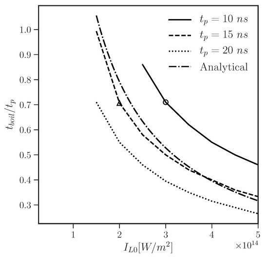
3.3. Semi-Empirical Relations
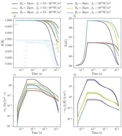
3.4. Laser Bleaching Effect
4. Conclusions
Author Contributions
Funding
Data Availability Statement
Acknowledgments
Conflicts of Interest
Appendix A. Thermo-Physical and Optical Properties
Appendix A.1. Ethanol Liquid
Appendix A.2. Ethanol Vapor
Appendix A.3. Optical Properties
References
- Heywood, J.B. Internal Combustion Engine Fundamentals; McGraw-Hill Education: Berkshire, UK, 2018. [Google Scholar]
- Hou, X.; Choy, K.L. Processing and applications of aerosol-assisted chemical vapor deposition. Chem. Vap. Depos. 2006, 12, 583–596. [Google Scholar] [CrossRef]
- Reutzsch, J.; Kieffer-Roth, C.; Weigand, B. A consistent method for direct numerical simulation of droplet evaporation. J. Comput. Phys. 2020, 413, 109455. [Google Scholar] [CrossRef]
- Sazhin, S.S. Modelling of fuel droplet heating and evaporation: Recent results and unsolved problems. Fuel 2017, 196, 69–101. [Google Scholar] [CrossRef]
- Williams, F.A. Combustion Theory; CRC Press: Boca Raton, FL, USA, 2018. [Google Scholar]
- Sazhin, S.; Abdelghaffar, W.; Krutitskii, P.; Sazhina, E.; Heikal, M. New approaches to numerical modelling of droplet transient heating and evaporation. Int. J. Heat Mass Transf. 2005, 48, 4215–4228. [Google Scholar] [CrossRef]
- Tonini, S.; Cossali, G. An exact solution of the mass transport equations for spheroidal evaporating drops. Int. J. Heat Mass Transf. 2013, 60, 236–240. [Google Scholar] [CrossRef]
- Zhang, H. Evaporation of a suspended droplet in forced convective high-pressure environments. Combust. Sci. Technol. 2003, 175, 2237–2268. [Google Scholar] [CrossRef]
- Abramzon, B.; Sirignano, W. Droplet vaporization model for spray combustion calculations. Int. J. Heat Mass Transf. 1989, 32, 1605–1618. [Google Scholar] [CrossRef]
- Bruggeman, P.; Kushner, M.J.; Locke, B.R.; Gardeniers, J.G.; Graham, W.; Graves, D.B.; Hofman-Caris, R.; Maric, D.; Reid, J.P.; Ceriani, E.; et al. Plasma–liquid interactions: A review and roadmap. Plasma Sources Sci. Technol. 2016, 25, 053002. [Google Scholar] [CrossRef]
- Asakawa, Y. Promotion and retardation of heat transfer by electric fields. Nature 1976, 261, 220–221. [Google Scholar] [CrossRef]
- Dumitrache, C.; VanOsdol, R.; Limbach, C.M.; Yalin, A.P. Control of early flame kernel growth by multi-wavelength laser pulses for enhanced ignition. Sci. Rep. 2017, 7, 1–8. [Google Scholar] [CrossRef]
- Tropina, A.; Miles, R.; Shneider, M.N. Mathematical model of dual-pulse laser ignition. J. Propuls. Power 2018, 34, 408–414. [Google Scholar] [CrossRef]
- Shneider, M.; Zheltikov, A.; Miles, R. Tailoring the air plasma with a double laser pulse. Phys. Plasmas 2011, 18, 063509. [Google Scholar] [CrossRef]
- Kucherov, A.N. Clearing of a polydisperse water aerosol by a laser pulse in the diffusive—Convective regime. Quantum Electron. 2006, 36, 363. [Google Scholar] [CrossRef]
- Bergthorson, J.M.; Thomson, M.J. A review of the combustion and emissions properties of advanced transportation biofuels and their impact on existing and future engines. Renew. Sustain. Energy Rev. 2015, 42, 1393–1417. [Google Scholar] [CrossRef]
- Al Qubeissi, M.; Al-Esawi, N.; Sazhin, S.S.; Ghaleeh, M. Ethanol/gasoline droplet heating and evaporation: Effects of fuel blends and ambient conditions. Energy Fuels 2018, 32, 6498–6506. [Google Scholar] [CrossRef]
- Pinheiro, A.P.; Vedovoto, J.M.; da Silveira Neto, A.; van Wachem, B.G. Ethanol droplet evaporation: Effects of ambient temperature, pressure and fuel vapor concentration. Int. J. Heat Mass Transf. 2019, 143, 118472. [Google Scholar] [CrossRef]
- Dombrovsky, L.; Sazhin, S. Absorption of thermal radiation in a semi-transparent spherical droplet: A simplified model. Int. J. Heat Fluid Flow 2003, 24, 919–927. [Google Scholar] [CrossRef]
- Dombrovsky, L.; Sazhin, S.S.; Heikal, M.R. Computational model of spectral radiation characteristics of diesel fuel droplets. Heat Transf. Res. 2004, 35. [Google Scholar] [CrossRef]
- Hergert, W.; Wriedt, T. The Mie Theory: Basics and Applications; Springer: Berlin, Germany, 2012; Volume 169. [Google Scholar]
- Park, B.S.; Armstrong, R.L. Laser droplet heating: Fast and slow heating regimes. Appl. Opt. 1989, 28, 3671–3680. [Google Scholar] [CrossRef]
- Davies, S.; Brock, J.R. Laser evaporation of droplets. Appl. Opt. 1987, 26, 786–793. [Google Scholar] [CrossRef]
- Abramzon, B.; Sazhin, S. Droplet vaporization model in the presence of thermal radiation. Int. J. Heat Mass Transf. 2005, 48, 1868–1873. [Google Scholar] [CrossRef]
- Zardecki, A.; Armstrong, R.L. Energy balance in laser-irradiated vaporizing droplets. Appl. Opt. 1988, 27, 3690–3695. [Google Scholar] [CrossRef] [PubMed]
- Rosner, D.E. Transport Processes in Chemically Reacting Flow Systems; Courier Corporation: Washington, DC, USA, 2012. [Google Scholar]
- Khasanshin, T.; Aleksandrov, A. Thermodynamic properties of ethanol at atmospheric pressure. J. Eng. Phys. 1984, 47, 1046–1052. [Google Scholar] [CrossRef]
- Yaws, C.L. Thermophysical Properties of Chemicals and Hydrocarbons; William Andrew: Norwich, NY, USA, 2008. [Google Scholar]
- Yaws, C.L. Transport Properties of Chemicals and Hydrocarbons; William Andrew: Norwich, NY, USA, 2014. [Google Scholar]
- Kedenburg, S.; Vieweg, M.; Gissibl, T.; Giessen, H. Linear refractive index and absorption measurements of nonlinear optical liquids in the visible and near-infrared spectral region. Opt. Mater. Express 2012, 2, 1588–1611. [Google Scholar] [CrossRef]
- Jasak, H. OpenFOAM: Open source CFD in research and industry. Int. J. Nav. Archit. Ocean. Eng. 2009, 1, 89–94. [Google Scholar]
- Saharin, S.B.; Lefort, B.; Morin, C.; Chauveau, C.; Le Moyne, L.; Kafafy, R. Vaporization characteristics of ethanol and 1-propanol droplets at high temperatures. At. Sprays 2012, 22. [Google Scholar] [CrossRef]














| , m | 10 m | 25 m | 40 m |
| W/m |
Disclaimer/Publisher’s Note: The statements, opinions and data contained in all publications are solely those of the individual author(s) and contributor(s) and not of MDPI and/or the editor(s). MDPI and/or the editor(s) disclaim responsibility for any injury to people or property resulting from any ideas, methods, instructions or products referred to in the content. |
© 2022 by the authors. Licensee MDPI, Basel, Switzerland. This article is an open access article distributed under the terms and conditions of the Creative Commons Attribution (CC BY) license (https://creativecommons.org/licenses/by/4.0/).
Share and Cite
Pokharel, S.; Tropina, A.; Shneider, M. Numerical Modeling of Laser Heating and Evaporation of a Single Droplet. Energies 2023, 16, 388. https://doi.org/10.3390/en16010388
Pokharel S, Tropina A, Shneider M. Numerical Modeling of Laser Heating and Evaporation of a Single Droplet. Energies. 2023; 16(1):388. https://doi.org/10.3390/en16010388
Chicago/Turabian StylePokharel, Sagar, Albina Tropina, and Mikhail Shneider. 2023. "Numerical Modeling of Laser Heating and Evaporation of a Single Droplet" Energies 16, no. 1: 388. https://doi.org/10.3390/en16010388
APA StylePokharel, S., Tropina, A., & Shneider, M. (2023). Numerical Modeling of Laser Heating and Evaporation of a Single Droplet. Energies, 16(1), 388. https://doi.org/10.3390/en16010388

