DFT Prediction of Radiolytic Stability of Conformationally Flexible Ligands
Abstract
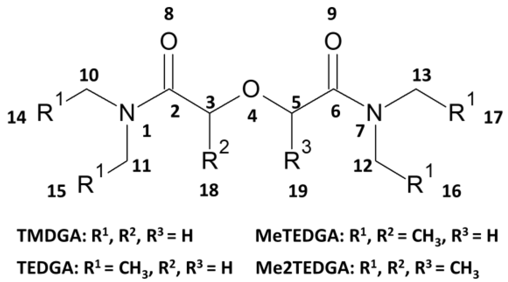
1. Introduction
2. Materials and Methods
- “Opt-approach”: We provided the optimization of molecules in two steps: (1) conformational analysis by the PM7 semiempirical Hamiltonian [31] in the MOPAC2016 package [32]; (2) the obtained conformation was optimized in the ORCA package on the D3-B3LYP/def2-TZVPP RIJCOSX [33,34,35,36,37] level of theory.
- “Conf-approach”: For the conformation error estimation, we selected 20 conformations for each molecule by the following method. We generated 200 conformations for each structure using the rdkit open library. Next, the energy of each molecule considering solvation energy (where the solvent is water) was computed using the GFN2-xTB [38]. We chose the conformation with minimal energy and then we selected 19 other conformations with energy less than the minima energy adding 20 kcal/mol (to select only those conformations that thermodynamically can exist in solution) and with the maxima of the RMSD of atom coordinates (to cover the potential energy surface as widely as possible). We calculated the electronic structure of each conformation with charges −1, 0, +1 in the ORCA at the same D3-B3LYP/def2-TZVPD RIJCOSX level of theory. The MBOs, NBOs and CDD values were averaged for each molecule over all conformations, considering the probability of this conformation existing in the solution. This probability was calculated based on the Gibbs energy obtained by XTB for each conformation. It should be mentioned that despite the long description of the process, its automatization together with the absence of DFT geometry optimization led to significant time saving compared to the first one. It also excluded the human factor and solved the issue with the symmetric atoms.
3. Results and Discussion
4. Conclusions
Supplementary Materials
Author Contributions
Funding
Data Availability Statement
Acknowledgments
Conflicts of Interest
References
- Mathew, M.D. Nuclear energy: A pathway towards mitigation of global warming. Prog. Nucl. Energy 2022, 143, 104080. [Google Scholar] [CrossRef]
- Alam, F.; Sarkar, R.; Chowdhury, H. Nuclear power in emerging economies and human resouce Development: A review. Energy Procedia 2019, 160, 3–10. [Google Scholar] [CrossRef]
- Taylor, R.F. Reprocessing and Recycling of Spent Nuclear Fuel; Woodhead Publishing: Cambridge, UK, 2015; ISBN 978-1-78242-212-9. [Google Scholar]
- Magnusson, D.; Christiansen, B.; Glatz, J.P.; Malmbeck, R.; Modolo, G.; Serrano-Purroy, D.; Sorel, C. Demonstration of a TODGA based extraction process for the partitioning of minor actinides from a PUREX raffinate part III: Centrifugal contactor run using genuine fuel solution. Solvent Extr. Ion Exch. 2009, 27, 26–35. [Google Scholar] [CrossRef]
- Wilden, A.; Schreinemachers, C.; Sypula, M.; Modolo, G. Direct Selective Extraction of Actinides (III) from PUREX Raffinate using a Mixture of CyMe4BTBP and TODGA as 1-cycle SANEX Solvent. Solvent Extr. Ion Exch. 2011, 29, 190–212. [Google Scholar] [CrossRef]
- McLachlan, F.; Wilden, A.; Brown, J.; Modolo, G.; Taylor, R.; Sarsfield, M. Plutonium Loading of Prospective Grouped Actinide Extraction (GANEX) Solvent Systems based on Diglycolamide Extractants. Solvent Extr. Ion Exch. 2012, 30, 127–141. [Google Scholar] [CrossRef]
- Sasaki, Y.; Suzuki, H.; Sugo, Y.; Kimura, T.; Choppin, G.R. New water-soluble organic ligands for actinide cations complexation. Chem. Lett. 2006, 35, 256–257. [Google Scholar] [CrossRef]
- Gelis, A.V.; Lumetta, G.J. Actinide lanthanide separation process—ALSEP. Ind. Eng. Chem. Res. 2014, 53, 1624–1631. [Google Scholar] [CrossRef]
- Vanel, V.; Bollesteros, M.-J.; Marie, C.; Montuir, M.; Pacary, V.; Antégnard, F.; Costenoble, S.; Boyer-Deslys, V. Consolidation of the EXAm Process: Towards the Reprocessing of a Concentrated PUREX Raffinate. Procedia Chem. 2016, 21, 190–197. [Google Scholar] [CrossRef]
- Wilden, A.; Mincher, B.J.; Mezyk, S.P.; Twight, L.; Rosciolo-Johnson, K.M.; Zarzana, C.A.; Case, M.E.; Hupert, M.; Stärk, A.; Modolo, G. Radiolytic and hydrolytic degradation of the hydrophilic diglycolamides. Solvent Extr. Ion Exch. 2018, 36, 347–359. [Google Scholar] [CrossRef]
- Koubský, T.; Luštinec, J. Application of quantum mechanical simulations for studying the radiolytic stability of prospective extractants in the nuclear fuel cycle. J. Radioanal. Nucl. Chem. 2018, 318, 2407–2413. [Google Scholar] [CrossRef]
- Roscioli-Johnson, K.M.; Zarzana, C.A.; Groenewold, G.S.; Mincher, B.J.; Wilden, A.; Schmidt, H.; Modolo, G.; Santiago-Schübel, B. A Study of the γ-Radiolysis of N,N-Didodecyl-N′,N′-Dioctyldiglycolamide Using UHPLC-ESI-MS Analysis. Solvent Extr. Ion Exch. 2016, 34, 439–453. [Google Scholar] [CrossRef]
- Ravi, J.; Selvan, B.R.; Venkatesan, K.A.; Antony, M.P.; Srinivasan, T.G.; Vasudeva Rao, P.R. Radiolytic stability of di-2-ethylhexyl-dioctyl diglycolamide. Radiochim. Acta 2014, 102, 451–457. [Google Scholar] [CrossRef]
- Smirnova, A.; Mitrofanov, A.; Matveev, P.; Baygildiev, T.; Petrov, V. A search of a quantitative quantum-chemical approach for radiolytic stability prediction. Phys. Chem. Chem. Phys. 2020, 22, 14992–14997. [Google Scholar] [CrossRef] [PubMed]
- Sharma, S.; Ghosh, S.K.; Naik, D.B.; Dhami, P.S.; Sharma, J.N. Comparative studies on radiolytic degradation of deuterium labeled and unlabeled tributyl phosphates. J. Radioanal. Nucl. Chem. 2014, 302, 583–591. [Google Scholar] [CrossRef]
- Mincher, B.J.; Elias, G.; Martin, L.R.; Mezyk, S.P. Radiation chemistry and the nuclear fuel cycle. J. Radioanal. Nucl. Chem. 2009, 282, 645–649. [Google Scholar] [CrossRef]
- Galán, H.; Núñez, A.; Espartero, A.G.; Sedano, R.; Durana, A.; de Mendoza, J. Radiolytic Stability of TODGA: Characterization of Degraded Samples under Different Experimental Conditions. Procedia Chem. 2012, 7, 195–201. [Google Scholar] [CrossRef]
- Koubský, T.; Kalvoda, L. Application of ab-initio molecular electronic structure calculations of radiolytic and hydrolytic stabilities of prospective extractants. J. Radioanal. Nucl. Chem. 2015, 304, 227–235. [Google Scholar] [CrossRef]
- Koubský, T.; Fojtíková, J.; Kalvoda, L. Radical degradation stability of ether linkage in N,N,N’,N’-tetraoctyldiglycolamide and related organic extractants: A density functional study. Prog. Nucl. Energy 2017, 94, 208–215. [Google Scholar] [CrossRef]
- Stulberg, J. The physician quality reporting initiative—A gateway to pay for performance: What every health care professional should know. Qual. Manag. Health Care 2008, 17, 2–8. [Google Scholar] [CrossRef]
- Parr, R.G.; Yang, W. Density Functional Approach to the Frontier-Electron Theory of Chemical Reactivity. Am. Chem. Soc. 1984, 106, 4049–4050. [Google Scholar] [CrossRef]
- Yang, W.; Parr, R.G. Hardness, softness, and the fukui function in the electronic theory of metals and catalysis. Proc. Natl. Acad. Sci. USA 1985, 82, 6723–6726. [Google Scholar] [CrossRef] [PubMed]
- Verlinden, B.; Van Hecke, K.; Wilden, A.; Hupert, M.; Santiago-sch, B.; Egberink, R.J.M.; Verboom, W.; Kowalski, P.M.; Modolo, G.; Verwerft, M. Gamma radiolytic stability of the novel modified diglycolamide 2,20-oxybis(N,N- didecylpropanamide) (mTDDGA) for groupedactinide extraction. RSC Adv. 2022, 12, 12416–12426. [Google Scholar] [CrossRef] [PubMed]
- Mitrofanov, A.; Andreadi, N.; Matveev, P.; Zakirova, G.; Borisova, N.; Kalmykov, S.; Petrov, V. An(III)/Ln(III) solvent extraction: Theoretical and experimental investigation of the role of ligand conformational mobility. J. Mol. Liq. 2021, 325, 115098. [Google Scholar] [CrossRef]
- Morell, C.; Grand, A.; Toro-Labbé, A. New dual descriptor for chemical reactivity. J. Phys. Chem. A 2005, 109, 205–212. [Google Scholar] [CrossRef]
- Morell, C.; Grand, A.; Toro-Labbé, A. Theoretical support for using the Δf(r) descriptor. Chem. Phys. Lett. 2006, 425, 342–346. [Google Scholar] [CrossRef]
- Martínez-Araya, J.I. Why is the dual descriptor a more accurate local reactivity descriptor than Fukui functions? J. Math. Chem. 2014, 53, 451–465. [Google Scholar] [CrossRef]
- Neese, F.; Wennmohs, F.; Becker, U.; Riplinger, C. The ORCA quantum chemistry program package. J. Chem. Phys. 2020, 152, 224108. [Google Scholar] [CrossRef]
- Nikolaienko, T.Y.; Bulavin, L.A.; Hovorun, D.M. JANPA: An open source cross-platform implementation of the Natural Population Analysis on the Java platform. Comput. Theor. Chem. 2014, 1050, 15–22. [Google Scholar] [CrossRef]
- McGibbon, R.T.; Beauchamp, K.A.; Harrigan, M.P.; Klein, C.; Swails, J.M.; Hernández, C.X.; Schwantes, C.R.; Wang, L.P.; Lane, T.J.; Pande, V.S. MDTraj: A Modern Open Library for the Analysis of Molecular Dynamics Trajectories. Biophys. J. 2015, 109, 1528–1532. [Google Scholar] [CrossRef]
- Stewart, J.J.P. Optimization of parameters for semiempirical methods VI: More modifications to the NDDO approximations and re-optimization of parameters. J. Mol. Model. 2013, 19, 1–32. [Google Scholar] [CrossRef]
- Stewart, J.J.P. MOPAC2016. 2016. [Google Scholar]
- Stephens, P.J.; Devlin, F.J.; Chabalowski, C.F.; Frisch, M.J. Ab Initio Calculation of Vibrational Absorption and Circular Dichroism Spectra Using Density Functional Force Fields. J. Phys. Chem. 1994, 98, 11623–11627. [Google Scholar] [CrossRef]
- Weigend, F.; Ahlrichs, R. Balanced basis sets of split valence, triple zeta valence and quadruple zeta valence quality for H to Rn: Design and assessment of accuracy. Phys. Chem. Chem. Phys. 2005, 7, 3297–3305. [Google Scholar] [CrossRef] [PubMed]
- Weigend, F. Accurate Coulomb-fitting basis sets for H to Rn. Phys. Chem. Chem. Phys. 2006, 8, 1057. [Google Scholar] [CrossRef] [PubMed]
- Grimme, S.; Antony, J.; Ehrlich, S.; Kreig, H. A consistent and accurate ab initio parametrization of density functional dispersion correction (DFT-D) for the 94 elements H-Pu. Chem. Phys. 2010, 132, 154104. [Google Scholar] [CrossRef]
- Neese, F.; Wennmohs, F.; Hansen, A.; Becker, U. Efficient, approximate and parallel Hartree–Fock and hybrid DFT calculations. A ‘chain-of-spheres’ algorithm for the Hartree–Fock exchange. Chem. Phys. 2009, 356, 98–109. [Google Scholar] [CrossRef]
- Bannwarth, C.; Ehlert, S.; Grimme, S. GFN2-xTB—An Accurate and Broadly Parametrized Self-Consistent Tight-Binding Quantum Chemical Method with Multipole Electrostatics and Density-Dependent Dispersion Contributions. J. Chem. Theory Comput. 2019, 15, 1652–1671. [Google Scholar] [CrossRef]
- Zarzana, C.A.; Groenewold, G.S.; Mincher, B.J.; Mezyk, S.P.; Wilden, A.; Schmidt, H.; Modolo, G.; Wishart, J.F.; Cook, A.R. A Comparison of the γ-Radiolysis of TODGA and T(EH)DGA Using UHPLC-ESI-MS Analysis. Solvent Extr. Ion Exch. 2015, 33, 431–447. [Google Scholar] [CrossRef]
- Deepika, P.; Sabharwal, K.N.; Srinivasan, T.G.; Vasudeva Rao, P.R. Studies on the use of N,N,N′,N′-Tetra(2-Ethylhexyl) Diglycolamide (TEHDGA) for Actinide Partitioning II: Investigation on Radiolytic Stability. Solvent Extr. Ion Exch. 2011, 29, 230–246. [Google Scholar] [CrossRef]
- Sharma, J.N.; Ruhela, R.; Singh, K.K.; Kumar, M.; Janardhanan, C.; Achutan, P.V.; Manohar, S.; Wattal, P.K.; Suri, A.K. Studies on hydrolysis and radiolysis of tetra(2-ethylhexyl)diglycolamide (TEHDGA)/isodecyl alcohol/n-dodecane solvent system. Radiochim. Acta 2010, 98, 485–491. [Google Scholar] [CrossRef]
- Galán, H.; Zarzana, C.A.; Wilden, A.; Núñez, A.; Schmidt, H.; Egberink, R.J.M.; Leoncini, A.; Cobos, J.; Verboom, W.; Modolo, G.; et al. Gamma-radiolytic stability of new methylated TODGA derivatives for minor actinide recycling. Dalt. Trans. 2015, 44, 18049–18056. [Google Scholar] [CrossRef]



| Atom | N1 | C2 | C3 | O4 | C5 | C6 | N7 | O8 | O9 | C10 |
|---|---|---|---|---|---|---|---|---|---|---|
| TMDGA | −1.56 | 4.97 | 0.59 | 0.41 | 0.50 | 5.07 | −1.53 | −7.83 | −7.64 | 0.99 |
| TEDGA | −0.008 | 1.66 | −0.06 | 0.01 | −0.05 | 1.81 | −0.001 | −6.39 | −6.45 | 0.20 |
| MeTEDGA | −0.31 | 1.14 | 0 | 8.1 | −0.006 | 0.79 | −0.02 | −1.26 | −8.46 | 0.15 |
| Me2TEDGA | −0.01 | 0.25 | 0 | 3.1 | 0 | 0.27 | −0.45 | −1.45 | −5.58 | 0.16 |
| Atom | C11 | C12 | C13 | C14 | C15 | C16 | C17 | C18 | C19 | - |
| TMDGA | 1.09 | 1.00 | 1.12 | - | - | - | - | - | - | - |
| TEDGA | 0.11 | 0.01 | 0.24 | 0.18 | −0.03 | −0.03 | 0.17 | - | - | - |
| MeTEDGA | 0.25 | 0.16 | 0.19 | 0.16 | −0.04 | −0.06 | 0.14 | 0.07 | - | - |
| Me2TEDGA | 0.23 | 0.29 | 0.32 | 0.01 | −0.04 | −0.15 | 0.34 | 0.18 | 0.32 | - |
Disclaimer/Publisher’s Note: The statements, opinions and data contained in all publications are solely those of the individual author(s) and contributor(s) and not of MDPI and/or the editor(s). MDPI and/or the editor(s) disclaim responsibility for any injury to people or property resulting from any ideas, methods, instructions or products referred to in the content. |
© 2022 by the authors. Licensee MDPI, Basel, Switzerland. This article is an open access article distributed under the terms and conditions of the Creative Commons Attribution (CC BY) license (https://creativecommons.org/licenses/by/4.0/).
Share and Cite
Smirnova, A.; Yablonskiy, M.; Petrov, V.; Mitrofanov, A. DFT Prediction of Radiolytic Stability of Conformationally Flexible Ligands. Energies 2023, 16, 257. https://doi.org/10.3390/en16010257
Smirnova A, Yablonskiy M, Petrov V, Mitrofanov A. DFT Prediction of Radiolytic Stability of Conformationally Flexible Ligands. Energies. 2023; 16(1):257. https://doi.org/10.3390/en16010257
Chicago/Turabian StyleSmirnova, Anastasiia, Maksim Yablonskiy, Vladimir Petrov, and Artem Mitrofanov. 2023. "DFT Prediction of Radiolytic Stability of Conformationally Flexible Ligands" Energies 16, no. 1: 257. https://doi.org/10.3390/en16010257
APA StyleSmirnova, A., Yablonskiy, M., Petrov, V., & Mitrofanov, A. (2023). DFT Prediction of Radiolytic Stability of Conformationally Flexible Ligands. Energies, 16(1), 257. https://doi.org/10.3390/en16010257

