Experimental Analysis of Clearance Leakage Characteristics at Blade Edge Plates of a Gas Turbine Engine
Abstract
1. Introduction
2. Experimental Object and Method
2.1. Experiment Object
2.2. Experimenting Equipment
2.3. The System of Measurement
2.4. Experimental Components, Parameter Definitions and Experimental Conditions
2.5. Experimentation Method
2.6. Error Analysis
3. Results and Analysis
3.1. Effect of Pressure Ratio on Total Leakage at Various Edge Plate Clearances
3.2. The Influence of Pressure Ratio on Leakage at Various Sheet Spacing
3.3. Proportion Analysis for Clearance and Bypass Leakage
3.4. Analysis of Flow Mechanisms
4. Conclusion
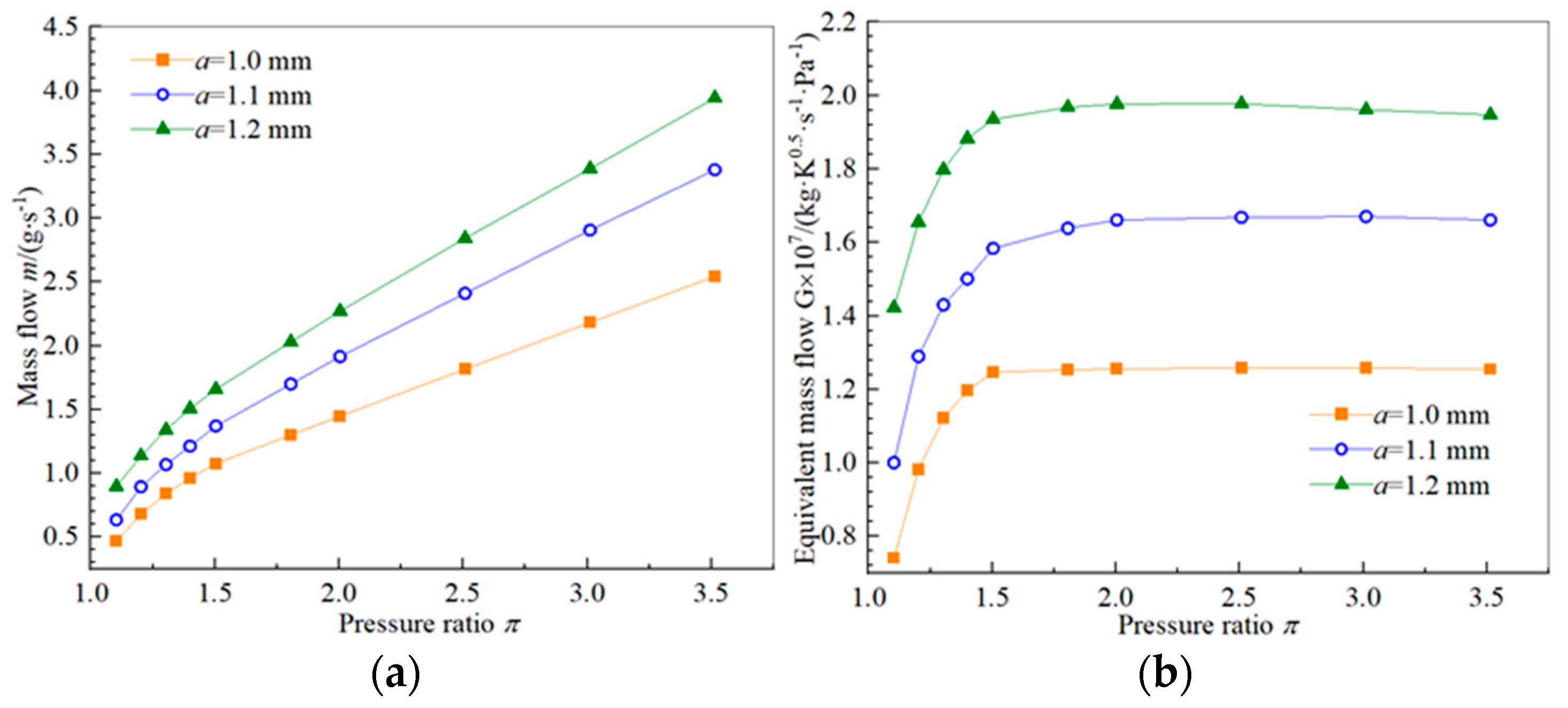
- (a)
- As the pressure ratio increases, the clearance leakage under different turbine edge plate clearances is increased. The increased rate is faster in the low-pressure ratio, however, the increased rate remains unchanged after the pressure ratio exceeds 2. Meanwhile, the equivalent mass flow of clearance leakage rises and then remains unchanged. What is more, a critical state is reached at a pressure ratio of 2. When the edge plate clearance is increased from 1 mm to 1.1 mm, the total leakage is increased by approximately 33%, and the equivalent mass flow is increased by 32.5%. When the edge plate clearance is changed from 1.1 mm to 1.2 mm, the total leakage is increased by 16.6%, and the equivalent mass flow is up by 16%.
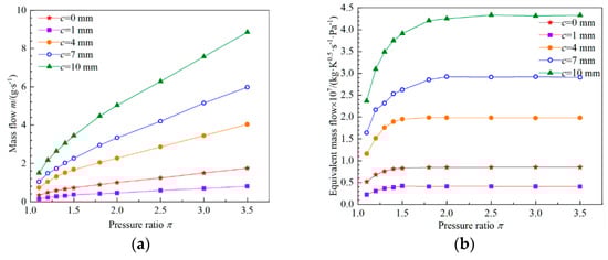
- (b)
- Total leakage increases with the pressure ratio at certain edge plate clearances and sheet spacing, and the equivalent mass flow of total leakage initially goes up and then remains constant. Under certain edge plate clearances, the total leakage increases with sheet spacing. At a pressure ratio of 3.5, the total leakage increases by 127% as the sheet spacing increases from 1 mm to 4 mm. The total leakage increases by 34% as the sheet spacing increases from 4 mm to 7 mm.
- (c)
- At a given edge plate clearance, increasing the sheet spacing causes an increase in total leakage. The proportion of clearance leakage in the total leakage also gradually increases. When the sheet spacing is 1 mm, the bypass leakage is twice as much as the clearance leakage. Bypass leakage is the primary source of leakage when there is 1 mm sheet spacing. As the leakage length proportion increases, the proportion of clearance leakage in the total leakage also increases. Moreover, when the leakage length proportion exceeds 1%, the proportion of clearance leakage in the total leakage exceeds 50%. In the case of a 9% leakage length proportion Y, the proportion of clearance leakage exceeds 83%, and clearance leakage becomes the primary source of leakage.
- (d)
- According to the complex structure and leakage path of the sealing slot, leakage is divided into bypass leakage and clearance leakage. Using the analysis method of length ratio, the influence of the geometric characteristics of the combined sealing sheet on the leakage characteristics is experimentally studied. The leakage range and the proportion of bypass leakage and clearance leakage in the total leakage are accurately determined. The experimental results have an extremely crucial role in the optimal design of the structure.
Author Contributions
Funding
Acknowledgments
Conflicts of Interest
References
- Hong, S.; Hui, Z.T.; Jie, C.Y. Improvement of Aero-Engine Sealing Technology. Gas Turbine Exp. Res. 2011, 24, 51–55. (In Chinese) [Google Scholar]
- Chen, Y.; Chen, L.; Chu, W. Effect Mechanism and Performance Evaluation of Flange Contact Thermal Resistance in an Aero-engine. Aerospace 2022, 9, 121. [Google Scholar] [CrossRef]
- Fu, L.C.; Ming, D. The Analysis of Aeroengine Structure; The Press of Northwestern Polytechnical University: Xi’an, China, 2006. [Google Scholar]
- Sturgess, G.J. Application of CFD to Gas Turbine Engine Secondary Flow System-The Labyrinth Seal. In Proceedings of the 24th Joint Propulsion Conference, Boston, MA, USA, 11–13 July 1988. [Google Scholar]
- Kong, X.; Liu, Y.; Liu, G.; Birch, D.; Zheng, L. Attempts on the Reduction of Leakage Flow Through the Stator Well in an Axial Compressor. J. Eng. Gas Turbines Power-Trans. ASME 2019, 141, 082501. [Google Scholar] [CrossRef]
- Kong, X.; Liu, G.; Liu, Y.; Zheng, L. Experimental Testing for the Influences of Rotation and Tip Clearance on the Labyrinth Seal in a Compressor Stator Well. Aerosp. Sci. Technol. 2017, 71, 556–567. [Google Scholar] [CrossRef]
- Chen, Y.; Lin, A.; Zhang, H.; Chu, W. Method of Improving Stability of a Highly-Loaded Axial Compressor Stage by Coupling Different Casing Treatments. J. Appl. Fluid Mech. 2022, 15, 645–657. [Google Scholar]
- Zhang, K.Y.; Li, Z.G.; Li, J. Influence of slashface leakage coupled with quasi-labyrinth seal technique on gas turbine endwall aerothermal performance and blade suction side surface phantom cooling. Proc. Inst. Mech. Eng. Part A J. Power Energy 2021, 235, 351–367. [Google Scholar] [CrossRef]
- Yue, C.; Bitian, S.; Lanzhu, Z.Z. Leakage performance predictions of a brush seal based on fluid-solid coupling method. Sci. Prog. 2020, 103. [Google Scholar] [CrossRef]
- Wang, Q.; Hu, Y.P.; Ji, H.H. An anisotropic porous media model for leakage analysis of finger seal. Proc. Inst. Mech. Eng. Part G J. Aerosp. Eng. 2020, 234, 280–292. [Google Scholar] [CrossRef]
- Wang, Q.; Hu, Y.P.; Ji, H.H. Leakage, heat transfer and thermal deformation analysis method for contacting finger seals based on coupled porous media and real structure models. Proc. Inst. Mech. Eng. Part C J. Mech. Eng. Sci. 2020, 234, 2077–2093. [Google Scholar] [CrossRef]
- Li, G.Q.; Zhang, Q.; Lei, G.; Yu, Q.P.; Xu, G.; Zhu, J.Q. Leakage and wear characteristics of finger seal in hot/cold state for aero-engine. Tribol. Int. 2018, 127, 209–218. [Google Scholar]
- Nayak, K.C.; Kandaswamy, N.P.; Faheemulla, S. Leakage and Windage Heating in Stepped Labyrinth Seals. In Proceedings of the ASME Gas Turbine India Conference, Chennai, Tamil Nadu, India, 5–6 December 2019. [Google Scholar]
- Nayak, K.C. Effect of Rotation on Leakage and Windage Heating in Labyrinth Seals with Honeycomb Lands. J. Eng. Gas Turb. Power 2020, 142, 081001. [Google Scholar] [CrossRef]
- Meffert, D.; Thielen, S.; Sauer, B. Influence of static and dynamic position deviations on the leakage of a sealing system with rectangular sealing rings. Res. Eng. 2020, 84, 255–268. [Google Scholar] [CrossRef]
- Dong, W.L.; Wang, S.F.; Li, P.F. Investigations of the leakage characteristic and the sealing effectiveness on turbine bite rim seals. J. Therm. Sci. Technol. 2018, 13, JTST0026. [Google Scholar] [CrossRef]
- Chougule, H.; Naik, A.; Qizar, M. Labyrinth seal with variable height teeth tips for efficient leakage control. In Proceedings of the ASME Gas Turbine India Conference, Chennai, Tamil Nadu, India, 5–6 December 2019. [Google Scholar]
- Vinogradov, A.S.; Sergeeva, T.V. Leakage Account for Radial Face Contact Seal in Aircraft Engine Support. IOP Conf. Ser. Mater. Sci. Eng. 2018, 302, 012003. [Google Scholar] [CrossRef]
- Andres, L.S.; Wu, T.C.; Barajas-Rivera, J.; Zhang, J.X.; Kawashita, R. Leakage and Cavity Pressures in an Interlocking Labyrinth Gas Seal: Measurements Versus Predictions. J. Eng. Gas Turbines Power-Trans. Asme 2019, 141, 101007. [Google Scholar]
- Zhang, M.J.; Yang, J.G.; Xu, W.J.; Xia, Y.L. Leakage and rotordynamic performance of a mixed labyrinth seal compared with that of a staggered labyrinth seal. J. Mech. Sci. Technol. 2017, 31, 2261–2277. [Google Scholar] [CrossRef]
- Jia, X.Y.; Zheng, Q.; Jiang, Y.T.; Zhang, H. Leakage and rotordynamic performance of T type labyrinth seal. Aerosp. Sci. Technol. 2019, 88, 22–31. [Google Scholar] [CrossRef]
- Wang, Q.F.; He, L.D. Effects of Four Types of Pre-swirls on the Leakage, Flow Field, and Fluid-Induced Force of the Rotary Straight-through Labyrinth Gas Seal. Chin. J. Mech. Eng. 2019, 32, 56. [Google Scholar] [CrossRef]
- Qiao, B.; Ju, Y.P.; Zhang, C.H. Numerical Investigation on Labyrinth Seal Leakage Flow and Its Effects on Aerodynamic Performance for a Multistage Centrifugal Compressor. J. Fluid Eng. 2019, 141, 071107. [Google Scholar] [CrossRef]
- Liu, G.; Kan, C.; Tie, G.; Liang, D.H. Influence of Pressure Ratio and Reynolds Number on Flow Characteristics of Labyrinth Seal in Compressor Stator Well. J. Aerosp. Power 2015, 30, 1554–1560. (In Chinese) [Google Scholar]
- Gong, W.; Liu, G.; Wang, J.; Wang, F.; Lin, A.; Wang, Z. Aerodynamic and thermodynamic analysis of an aero-engine pre-swirl system based on structure design and performance improvement. Aerosp. Sci. Technol. 2022, 123, 107466. [Google Scholar] [CrossRef]
- Liu, Y.; Liu, G.; Kong, X.; Wang, Y. Experimental Testing and Numerical Analysis on the Nozzle Effects in Pre-swirl System. AIAA J. Propuls. Power 2018, 34, 1015–1025. [Google Scholar] [CrossRef]
- Sun, K.; Liu, G.W.; Kong, X.Z.; Lei, Z. Network Model for Calculation of Labyrinth Sealin Compressor Stator Well with Swirl Flow and Windage Heating. J. Aerosp. Power 2018, 33, 1354–1362. (In Chinese) [Google Scholar]
- Deng, D.; Braun, M.J.; Hendricks, R.C. Flow Instabilities in Feather Seals Due to Upstream Harmonic Pressure Fluctuations. In Proceedings of the 12th International Symposium on Transport Phenomena and Dynamics of Rotating Machinery, Honolulu, HI, USA, 17–22 February 2008. [Google Scholar]
- Lin, A.; Liu, G.; Chen, Y.; Feng, Q.; Zhang, H. Evaluation and analysis of evaporation cooling on thermodynamic and pressure characteristics of intake air in a precooled turbine engine. Int. J. Hydrogen Energy 2021, 46, 24410–24424. [Google Scholar] [CrossRef]
- Liu, G.; Lei, Z.; Lin, A.; Chen, Y.; Feng, Q. Effect of pre-swirl nozzle closure modes on unsteady flow and heat transfer char-acteristics in a pre-swirl system of aero-engine. Proc. Inst. Mech. Eng. Part G J. Aerosp. Eng. 2021. [Google Scholar] [CrossRef]
- Liu, G.; Wang, X.; Gong, W.; Lin, A. Prediction of the sealing flow effect on the temperature drop characteristics of a pre-swirl system in an aero-engine. Appl. Therm. Eng. 2021, 189, 116717. [Google Scholar] [CrossRef]
- Zhang, W.H.; Zhou, Y.; Zou, Z.P.; Pan, S.N. The Influence of the Inlet Fillet of the Wheel Hub Flange plate on the Aerodynamic Performance of Turbine. J. Eng. Therm. Energy Power 2011, 26, 140–146. [Google Scholar]
- Lin, A.; Liu, G.; Wang, X.; Feng, Q. Comprehensive evaluations on performance and energy consumption of pre-swirl rotor–stator system in gas turbine engines. Energy Convers. Manag. 2021, 244, 114440. [Google Scholar] [CrossRef]
- Liu, G.; Gong, W.; Wu, H.; Pang, L.; Lin, A. Theoretical and experimental evaluation of temperature drop and power consumption in a cover-plate pre-swirl system for gas turbine cooling. Case Stud. Therm. Eng. 2021, 27, 101221. [Google Scholar] [CrossRef]
- Zhang, G.; Wang, X.; Dykas, S.; Aliabadi, M. Reduction entropy generation and condensation by NaCl particle injection in wet steam supersonic nozzle. Int. J. Therm. Sci. 2022, 171, 107207. [Google Scholar] [CrossRef]
- Joachimiak, D.; Krzys’lak, P. A model of gas flow with friction in a slotted seal. Arch. Thermodyn. 2016, 37, 95–108. [Google Scholar] [CrossRef][Green Version]
- Zhou, G.T. Investigation on Plate Sealing Performance Characteristics of Turbine Blades; Nanjing University of Aeronautics and Astronautics: Nanjing, China, 2014. [Google Scholar]
- Zhou, G.T. Experimental Research on the Influence of Misplacement on Characteristics of Sealing Leakage. In Proceedings of the 8th Power Annual Congress of Chinese Society of Aeronautics and Astronautics, Shenyang, China, 18–19 September 2014. [Google Scholar]
- Feng, Q.; Li, S.W.; Zhang, L. Engineering Thermodynamics, 1st ed.; Northwestern Polytechnical University Press: Xi’an, China, 2006; pp. 224–260. [Google Scholar]













| Pressure ratio π | 1.1, 1.2, 1.3, 1.4, 1.5, 1.8, 2.0, 2.5, 3.0, 3.5 |
| Edge plate clearance a | 1.0 mm, 1.1 mm, 1.2 mm |
| Sheet spacing c | 0 mm, 1 mm, 4 mm, 7 mm, 10 mm |
| Edge Plate Clearance a mm | The Range of Total Leakage g·s−1 | The Range of Total Leakage per Unit Length g·s−1·mm−1 | Critical Equivalent Mass Flow of Total Leakage kg·K0.5·s−1·Pa−1 | Critical Equivalent Mass Flow of Total Leakage per Unit Length kg·K0.5·s−1·Pa−1·mm−1 |
|---|---|---|---|---|
| 1.0 | 0.47–2.54 | 0.00427–0.02311 | 1.26 × 10−7 | 1.14 × 10−9 |
| 1.1 | 0.64–3.38 | 0.00578–0.03072 | 1.67 × 10−7 | 1.51 × 10−9 |
| 1.2 | 0.89–3.94 | 0.00815–0.03583 | 1.95 × 10−7 | 1.77 × 10−9 |
| Edge Plate Clearance a mm | The Range of Clearance Leakage g·s−1 | The Range of Clearance Leakage per Unit Length g·s−1·mm−1 | Equivalent Mass Flow kg·K0.5·s−1·Pa−1 | Equivalent Mass Flow per Unit Length kg·K0.5·s−1·Pa−1·mm−1 |
|---|---|---|---|---|
| 1.0 | 0.14–0.80 | 0.0013–0.0073 | 4.05 × 10−8 | 3.71 × 10−10 |
| 1.1 | 0.17–1.04 | 0.0015–0.0095 | 5.09 × 10−8 | 4.63 × 10−10 |
| 1.2 | 0.33–1.24 | 0.0030–0.0113 | 6.07 × 10−8 | 5.52 × 10−10 |
| Sheet Spacing c mm | Leakage Length Proportion Y | The Range of Total Leakage g·s−1 | The Range of Total Leakage per Unit Length g·s−1·mm−1 |
|---|---|---|---|
| 1 | 0.91% | 0.47–2.54 | 0.0043–0.0231 |
| 4 | 3.63% | 1.05–5.77 | 0.0096–0.0525 |
| 7 | 6.36% | 1.36–7.71 | 0.0124–0.0701 |
| 10 | 9.09% | 1.83–10.59 | 0.0167–0.0963 |
| Sealing Sheet Clearance c mm | Leakage Length Proportion Y | The Range of Clearance Leakage g·s−1 | The Range Of Clearance Leakage per Unit Length g·s−1·mm−1 |
|---|---|---|---|
| 1 | 0.91% | 0.14–0.80 | 0.0013–0.0073 |
| 4 | 3.63% | 0.73–4.03 | 0.0066–0.0367 |
| 7 | 6.36% | 1.03–5.97 | 0.0094–0.0540 |
| 10 | 9.09% | 1.50–8.85 | 0.0137–0.0805 |
| Sheet Spacing c (mm) | Leakage Length Proportion Y | The Critical Clearance Leakage kg·k0.5·s−1·Pa−1 | The Critical Clearance Leakage per Unit Length kg·k0.5·s−1·Pa−1·mm−1 |
|---|---|---|---|
| 1 | 0.91% | 0.41 × 10−7 | 0.37 × 10−9 |
| 4 | 3.63% | 1.98 × 10−7 | 1.80 × 10−9 |
| 7 | 6.36% | 2.91 × 10−7 | 2.64 × 10−9 |
| 10 | 9.09% | 4.32 × 10−7 | 3.93 × 10−9 |
Publisher’s Note: MDPI stays neutral with regard to jurisdictional claims in published maps and institutional affiliations. |
© 2022 by the authors. Licensee MDPI, Basel, Switzerland. This article is an open access article distributed under the terms and conditions of the Creative Commons Attribution (CC BY) license (https://creativecommons.org/licenses/by/4.0/).
Share and Cite
Chen, Y.; Cai, C.; Liu, G. Experimental Analysis of Clearance Leakage Characteristics at Blade Edge Plates of a Gas Turbine Engine. Energies 2022, 15, 2303. https://doi.org/10.3390/en15072303
Chen Y, Cai C, Liu G. Experimental Analysis of Clearance Leakage Characteristics at Blade Edge Plates of a Gas Turbine Engine. Energies. 2022; 15(7):2303. https://doi.org/10.3390/en15072303
Chicago/Turabian StyleChen, Yan, Chenkun Cai, and Gaowen Liu. 2022. "Experimental Analysis of Clearance Leakage Characteristics at Blade Edge Plates of a Gas Turbine Engine" Energies 15, no. 7: 2303. https://doi.org/10.3390/en15072303
APA StyleChen, Y., Cai, C., & Liu, G. (2022). Experimental Analysis of Clearance Leakage Characteristics at Blade Edge Plates of a Gas Turbine Engine. Energies, 15(7), 2303. https://doi.org/10.3390/en15072303

