High-Voltage Isolated Multiple Output Auxiliary Power Supply with Output Voltage Self-Regulation
Abstract
:1. Introduction
2. Topology and Principle
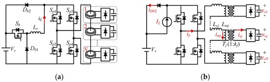
2.1. Topology
2.2. Basic Principle
- The input and output voltages are all ideal DC voltages, and the effects of voltage ripple are not considered;
- The switching ripple of the filter inductor current iL is small enough so that the current source converter is regarded as an ideal current source and iL is equal to IL.
3. Voltage Self-Regulation and Simulation
3.1. Voltage Self-Regulation
3.2. Parameter Design
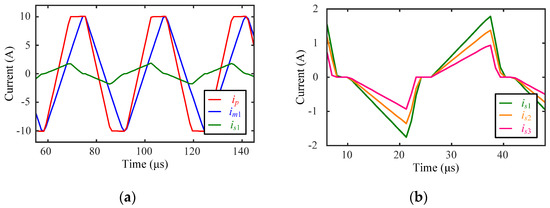
3.3. Simulation Analysis
3.3.1. Unbalanced Load Conditions
3.3.2. Load Fluctuation Conditions
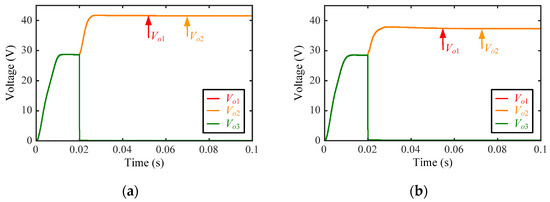
3.3.3. Open-Circuit Conditions
3.3.4. Short-Circuit Conditions
4. Experimental Prototype and Experimental Results
4.1. Output Characteristic
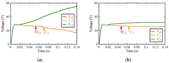
4.2. Unbalanced Load Conditions
4.3. Open-Circuit Conditions
4.4. Short-Circuit Conditions
5. Conclusions
- The experimental results show that the output voltage variation is within 5 V when the load variation is 22.5 W, which reduces the design difficulty of the post-stage voltage regulator;
- When a short-circuit or an open-circuit fault occurs on the output side, the APS can still operate normally, which ensures the stability and reliability of the APS under abnormal conditions;
- The current transformers are made of toroidal cores, and the primary winding of the current transformer has only one turn, which can effectively reduce the difficulty of the insulation design and reduce the volume and weight of the APS.
Author Contributions
Funding
Institutional Review Board Statement
Informed Consent Statement
Data Availability Statement
Conflicts of Interest
References
- Torresan, H.D.; Holmes, D.G.; Shraga, I. Auxiliary Power Supplies for High Voltage Converter Systems. In Proceedings of the 2004 IEEE 35th Annual Power Electronics Specialists Conference (IEEE Cat. No.04CH37551), Aachen, Germany, 20–25 June 2004; Volume 1, pp. 645–651. [Google Scholar]
- Liu, J.; Yang, X.; Hao, X.; Liu, T.; Zhao, M. Design of Auxiliary Power Supply for High Voltage Power Electronics Devices. In Proceedings of the 7th International Power Electronics and Motion Control Conference, Harbin, China, 2–5 June 2012; Volume 3, pp. 1661–1665. [Google Scholar]
- Kong, D.; Liu, X.; Ying, Z.; Sun, W.; Li, G.; Wang, K.; Peng, J.; Zhang, Q. Wide-Range High Voltage Input Auxiliary Power Supply for Modular Multi-Level Converters. In Proceedings of the 2017 1st International Conference on Electrical Materials and Power Equipment (ICEMPE), Xi’an, China, 14–17 May 2017; pp. 133–136. [Google Scholar]
- Gao, F.; Li, Z.; Wang, P.; Xu, F.; Chu, Z.; Sun, Z.; Li, Y. Prototype of Smart Energy Router for Distribution DC Grid. In Proceedings of the 2015 17th European Conference on Power Electronics and Applications (EPE’15 ECCE-Europe), Geneva, Switzerland, 8–10 September 2015; pp. 1–9. [Google Scholar]
- Zhao, B.; Song, Q.; Li, J.; Wang, Y.; Liu, W. Modular Multilevel High-Frequency-Link DC Transformer Based on Dual Active Phase-Shift Principle for Medium-Voltage DC Power Distribution Application. IEEE Trans. Power Electron. 2017, 32, 1779–1791. [Google Scholar] [CrossRef]
- Shu, L.; Chen, W.; Li, R.; Zhang, K.; Deng, F.; Yuan, Y.; Wang, T. A Three-Phase Triple-Voltage Dual-Active-Bridge Converter for Medium Voltage DC Transformer to Reduce the Number of Submodules. IEEE Trans. Power Electron. 2020, 35, 11574–11588. [Google Scholar] [CrossRef]
- Zhang, J.; Liu, J.; Yang, J.; Zhao, N.; Wang, Y.; Zheng, T.Q. A Modified DC Power Electronic Transformer Based on Series Connection of Full-Bridge Converters. IEEE Trans. Power Electron. 2019, 34, 2119–2133. [Google Scholar] [CrossRef]
- Wang, D.; Tian, J.; Mao, C.; Lu, J.; Duan, Y.; Qiu, J.; Cai, H. A 10-KV/400-V 500-KVA Electronic Power Transformer. IEEE Trans. Ind. Electron. 2016, 63, 6653–6663. [Google Scholar] [CrossRef]
- Zhao, B.; Song, Q.; Li, J.; Sun, Q.; Liu, W. Full-Process Operation, Control, and Experiments of Modular High-Frequency-Link DC Transformer Based on Dual Active Bridge for Flexible MVDC Distribution: A Practical Tutorial. IEEE Trans. Power Electron. 2017, 32, 6751–6766. [Google Scholar] [CrossRef]
- Liu, J.; Zhao, N. Improved Fault-Tolerant Method and Control Strategy Based on Reverse Charging for the Power Electronic Traction Transformer. IEEE Trans. Ind. Electron. 2018, 65, 2672–2682. [Google Scholar] [CrossRef]
- Yang, J.; Liu, J.; Shi, Y.; Zhao, N.; Zhang, J.; Fu, L.; Zheng, T.Q. Carrier-Based Digital PWM and Multirate Technique of a Cascaded H-Bridge Converter for Power Electronic Traction Transformers. IEEE J. Emerg. Sel. Top. Power Electron. 2019, 7, 1207–1223. [Google Scholar] [CrossRef]
- Alharbi, M.; Isik, S.; Bhattacharya, S. Reliability Comparison and Evaluation of MMC Based HVDC Systems. In Proceedings of the 2018 IEEE Electronic Power Grid (eGrid), Charleston, SC, USA, 12–14 November 2018; pp. 1–5. [Google Scholar]
- Lee, F.C.; Barbosa, P.; Xu, P.; Zhang, J.; Yang, B.; Canales, F. Topologies and Design Considerations for Distributed Power System Applications. Proc. IEEE 2001, 89, 939–950. [Google Scholar] [CrossRef]
- Karlsson, P.; Svensson, J. DC Bus Voltage Control for a Distributed Power System. IEEE Trans. Power Electron. 2003, 18, 1405–1412. [Google Scholar] [CrossRef] [Green Version]
- Ye, Z.; Jain, P.K.; Sen, P.C. Circulating Current Minimization in High-Frequency AC Power Distribution Architecture With Multiple Inverter Modules Operated in Parallel. IEEE Trans. Ind. Electron. 2007, 54, 2673–2687. [Google Scholar] [CrossRef]
- Ye, Z.; Jain, P.K.; Sen, P.C. A Full-Bridge Resonant Inverter With Modified Phase-Shift Modulation for High-Frequency AC Power Distribution Systems. IEEE Trans. Ind. Electron. 2007, 54, 2831–2845. [Google Scholar] [CrossRef]
- Krishna, T.N.V.; Sathishkumar, P.; Himasree, P.; Punnoose, D.; Raghavendra, K.V.G.; Himanshu; Naresh, B.; Rana, R.A.; Kim, H.-J. 4T Analog MOS Control-High Voltage High Frequency (HVHF) Plasma Switching Power Supply for Water Purification in Industrial Applications. Electronics 2018, 7, 245. [Google Scholar] [CrossRef] [Green Version]
- Hui, S.Y.; Tang, S.C.; Chung, H.S.-H. Some Electromagnetic Aspects of Coreless PCB Transformers. IEEE Trans. Power Electron. 2000, 15, 805–810. [Google Scholar] [CrossRef]
- Lin, R.-L.; Shih, H.-M.; Liu, C.-Y.; Liu, K.-B. A Family of Piezoelectric-Transformer-Based Bridgeless Continuous-Conduction-Mode Charge-Pump Power-Factor-Correction Electronic Ballasts. IEEE Trans. Ind. Appl. 2011, 47, 1149–1158. [Google Scholar] [CrossRef]
- Wunsch, B.; Zhelev, D.; Oedegard, B. Externally-Fed Auxiliary Power Supply of MMC Converter Cells. In Proceedings of the 2016 18th European Conference on Power Electronics and Applications (EPE’16 ECCE Europe), Karlsruhe, Germany, 5–9 September 2016; pp. 1–10. [Google Scholar]
- Zhao, Z.; Lu, Z.; Jin, G.; Fei, W.; Xia, L. Development of Gate-Driving System of Thyristor Valve with Multiple Isolated Outputs Used in New-Type Solid-State Short-Circuit Fault Current Limiter in Electric Power System. In Proceedings of the 2004 IEEE 35th Annual Power Electronics Specialists Conference (IEEE Cat. No.04CH37551), Aachen, Germany, 20–25 June 2004; Volume 4, pp. 3233–3236. [Google Scholar]
- Zhang, Y.; Fei, W.; Lu, Z. A Novel Isolation Power Supply for Gating Multiple Devices in FACTS Equipment. In Proceedings of the 2007 7th International Conference on Power Electronics and Drive Systems, Bangkok, Thailand, 27–30 November 2007; pp. 117–119. [Google Scholar]
- Ale Ahmad, A.; Abrishamifar, A.; Mirzargar, M. A Current Source Power Supply for Driving of Series Connected Power Switch. In Proceedings of the 2008 43rd International Universities Power Engineering Conference, Padua, Italy, 1–4 September 2008; pp. 1–4. [Google Scholar]
- Huiqing, W.; Xuhui, W.; Zhengyu, L. AC Distributed Power Supplies Used for Solid State Short-Circuit Fault Current Limiter. In Proceedings of the 2007 International Conference on Electrical Machines and Systems (ICEMS), Seoul, Korea, 8–11 October 2007; pp. 1871–1875. [Google Scholar]
- Wen, H.; Xiao, W.; Lu, Z. Current-Fed High-Frequency AC Distributed Power System for Medium–High-Voltage Gate Driving Applications. IEEE Trans. Ind. Electron. 2013, 60, 3736–3751. [Google Scholar] [CrossRef]
- Gottschlich, J.; Schäfer, M.; Neubert, M.; De Doncker, R.W. A Galvanically Isolated Gate Driver with Low Coupling Capacitance for Medium Voltage SiC MOSFETs. In Proceedings of the 2016 18th European Conference on Power Electronics and Applications (EPE’16 ECCE Europe), Karlsruhe, Germany, 5–9 September 2016; pp. 1–8. [Google Scholar]
















| Parameters | Values | Parameters | Values |
|---|---|---|---|
| Input voltage Vs | 30–60 V | Switching frequency fs1 | 30 kHz |
| No. of output modules | 3 | Switching frequency fs2 | 30 kHz |
| Rated power of module Pon | 30 W | Excitation inductance Lmj | 5 μH |
| Filter inductance Lr | 1 mH | Leakage inductance Lsj | 0.75 μH |
| Filter inductor current IL | 10 A | Transformer turn ratio 1:kj | 1:3 |
Publisher’s Note: MDPI stays neutral with regard to jurisdictional claims in published maps and institutional affiliations. |
© 2022 by the authors. Licensee MDPI, Basel, Switzerland. This article is an open access article distributed under the terms and conditions of the Creative Commons Attribution (CC BY) license (https://creativecommons.org/licenses/by/4.0/).
Share and Cite
Ai, Y.; Shi, Y.; Chen, S.; Zhang, Z.; Zhao, S.; Liu, J. High-Voltage Isolated Multiple Output Auxiliary Power Supply with Output Voltage Self-Regulation. Energies 2022, 15, 2106. https://doi.org/10.3390/en15062106
Ai Y, Shi Y, Chen S, Zhang Z, Zhao S, Liu J. High-Voltage Isolated Multiple Output Auxiliary Power Supply with Output Voltage Self-Regulation. Energies. 2022; 15(6):2106. https://doi.org/10.3390/en15062106
Chicago/Turabian StyleAi, Yu, Yunming Shi, Shaoyong Chen, Zehui Zhang, Shuai Zhao, and Jianqiang Liu. 2022. "High-Voltage Isolated Multiple Output Auxiliary Power Supply with Output Voltage Self-Regulation" Energies 15, no. 6: 2106. https://doi.org/10.3390/en15062106
APA StyleAi, Y., Shi, Y., Chen, S., Zhang, Z., Zhao, S., & Liu, J. (2022). High-Voltage Isolated Multiple Output Auxiliary Power Supply with Output Voltage Self-Regulation. Energies, 15(6), 2106. https://doi.org/10.3390/en15062106

