IK-SPSA-Based Performance Optimization Strategy for Steam Generator Level Control System of Nuclear Power Plant
Abstract
1. Introduction
2. Performance Optimization of SGLCS
2.1. SG Mechanism
2.2. SGLCS
2.3. Performance Optimization of SGLCS
3. Data-Driven Overall Strategy for Performance Optimization of SGLCS
4. IK-SPSA-Based Optimization Method
4.1. IK-SPSA
4.2. Iteration Termination Control
5. Results and Discussions
5.1. Simulation Experiment Platform
5.2. Experimental Setup
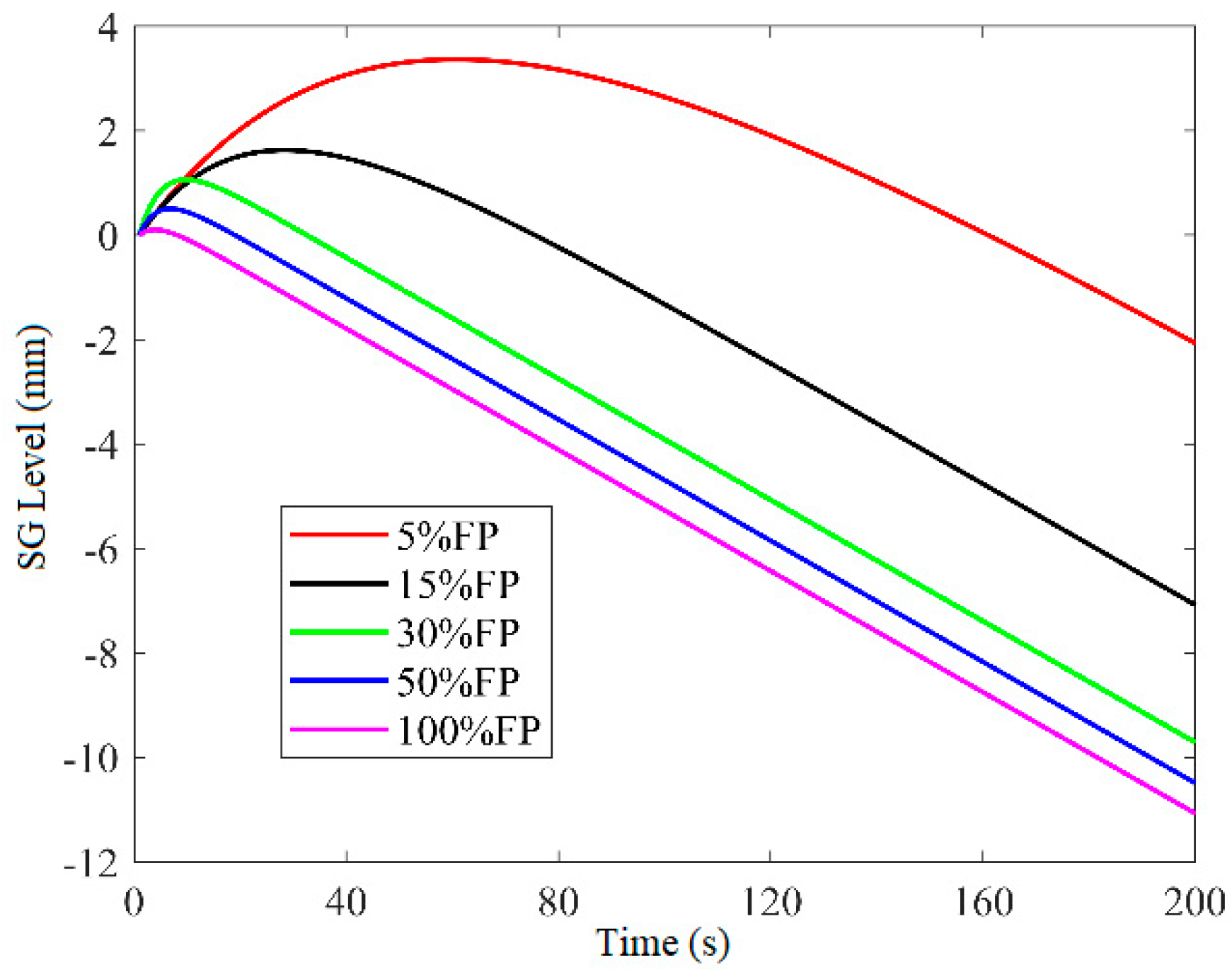
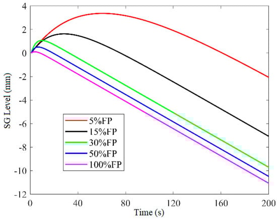
5.3. Effectiveness Test
5.4. Efficiency Test
5.4.1. Experimental Design
5.4.2. Efficiency Analysis
6. Conclusions
Author Contributions
Funding
Institutional Review Board Statement
Informed Consent Statement
Data Availability Statement
Conflicts of Interest
Abbreviations
| DCS | distributed control system |
| FP | full power |
| IK-SPSA | knowledge-informed simultaneous perturbation stochastic approximation |
| ITAE | integral of time multiply by absolute error |
| LHS | Latin hypercube sampling |
| MFO | model-free optimization |
| NPP | nuclear power plant |
| PID | proportional-integral-derivative |
| SG | steam generator |
| SPSA | simultaneous perturbation stochastic approximation |
| SGLCS | steam generator level control system |
References
- Javadi, M.A.; Abhari, M.K.; Ghasemiasl, R.; Ghomashi, H. Energy, exergy and exergy-economic analysis of a new multigeneration system based on double-flash geothermal power plant and solar power tower. Sustain. Energy Technol. Assess. 2021, 47, 1–25. [Google Scholar] [CrossRef]
- Javadi, M.A.; Khalaji, M.; Ghasemiasl, R. Exergoeconomic and environmental analysis of a combined power and water desalination plant with parabolic solar collector. Desalination Water Treat. 2020, 193, 212–223. [Google Scholar] [CrossRef]
- Zhang, M.; Zhang, Z. Necessity and Feasibility Study of Nuclear Power Development under COP 26 Carbon Reduction Goal. Nucl. Saf. 2022, 21, 26–31. [Google Scholar]
- Ansarifar, G.R.; Talebi, H.A.; Davilu, H. Adaptive estimator-based dynamic sliding mode control for the water level of nuclear steam generators. Prog. Nucl. Energy 2012, 56, 61–70. [Google Scholar] [CrossRef]
- Rahimi-Adli, K.; Leo, E.; Beisheim, B.; Engell, S. Optimisation of the Operation of an Industrial Power Plant under Steam Demand Uncertainty. Energies 2021, 14, 7213. [Google Scholar] [CrossRef]
- Xu, Y.; Chen, J.; Yu, H.; Wang, Z. Research on Feedforward Compensation for Steam Generator Level Control System Manual/Automatic Switch. Hedongli Gongcheng/Nucl. Power Eng. 2021, 42, 140–144. [Google Scholar]
- Ma, S. Trip analysis and online diagnosis regulation for loosing water level control of the PWR steam generator. Nucl. Sci. Eng. 2009, 29, 328–332. [Google Scholar]
- Salehi, A.; Safarzadeh, O.; Kazemi, M.H. Fractional order PID control of steam generator water level for nuclear steam supply systems. Nucl. Eng. Des. 2019, 342, 45–59. [Google Scholar] [CrossRef]
- Zhang, D.; Cai, W.; Xie, C.; Liu, P.; Liu, C. Research on Automatic Optimization Software for PID Parameters of Nuclear Power Digital Control System. Nucl. Sci. Eng. 2020, 41, 77–81. [Google Scholar]
- Zeng, D.; Zheng, Y.; Luo, W.; Hu, Y.; Cui, Q.; Li, Q.; Peng, C. Research on Improved Auto-Tuning of a PID Controller Based on Phase Angle Margin. Energies 2019, 12, 1704. [Google Scholar] [CrossRef]
- Goran, K.S.; Zeljko, M.D. Water Level Control in the Thermal Power Plant Steam Separator Based on New PID Tuning Method for Integrating Processes. Energies 2022, 15, 6310. [Google Scholar] [CrossRef]
- Wu, S.; Wang, P.; Wan, J.; Wei, X.; Zhao, F. Parameter Optimization for AP1000 Steam Generator Feedwater Control System Using Particle Swarm Optimization Algorithm. In Proceedings of the 24th International Conference on Nuclear Engineering, Charlotte, NC, USA, 26–30 June 2016; p. V001T04A006. [Google Scholar]
- Puchta, E.; Bassetto, P.; Biuk, L.; Filho, M.I.; Converti, A.; Kaster, M.; Siqueira, H. Swarm-Inspired Algorithms to Optimize a Nonlinear Gaussian Adaptive PID Controller. Energies 2021, 14, 3385. [Google Scholar] [CrossRef]
- Kong, X.; Zheng, D. A Knowledge-Informed Simplex Search Method Based on Historical Quasi-Gradient Estimations and Its Application on Quality Control of Medium Voltage Insulators. Processes 2021, 9, 770. [Google Scholar] [CrossRef]
- Kong, X.; Guo, J.; Zheng, D.; Yang, J.; Zhang, J.; Fu, W. An improved-SPSA quality control method for medium voltage insulator SPSA. Gao Xiao Hua Xue Gong Cheng Xue Bao/J. Chem. Eng. Chin. Univ. 2020, 34, 1500–1510. [Google Scholar]
- Kong, X.; Xu, W.; Ma, Z. A novel method for controllers parameters optimization of steam generator level control. In Proceedings of the 21st International Conference on Nuclear Engineering, Chengdu, China, 29 July–2 August 2013. [Google Scholar]
- Kong, X.Z.J.; Xiao, Y.; Qian, L.; Su, L.; Chen, B.; Xu, M. Performance optimization for steam generator level control based on a revised simultaneous perturbation stochastic approximation algorithm. In Proceedings of the 2018 3rd International Conference on Intelligent Green Building and Smart Grid (IGBSG), Yi-Lan, Taiwan, 22–25 April 2018; pp. 1–4. [Google Scholar]
- Geng, P.; Shi, C.; Kong, X.; Liu, H.; Liu, J.; Jiang, S. SPSA-based Performance Optimization Method for Steam Generator MPC Level Control System. Hedongli Gongcheng/Nucl. Power Eng. 2022; 1–8, in press. Available online: http://kns.cnki.net/kcms/detail/51.1158.TL.20220906.0909.002.html (accessed on 10 July 2022).
- Radac, M.B.; Precup, R.E.; Petriu, E.M.; Preitl, S. Application of IFT and SPSA to servo system control. IEEE Trans. Neural Netw. 2011, 22, 2363–2375. [Google Scholar] [CrossRef] [PubMed]
- Spall, J.C. Introduction to Stochastic Search and Optimization. Estimation, Simulation, and Control. IEEE Trans. Neural Netw. 2007, 18, 964–965. [Google Scholar]
- Xun, Z.; Spall, J.C. A modified second-order SPSA optimization algorithm for finite samples. Int. J. Adapt. Control. Signal Process. 2002, 16, 397–409. [Google Scholar]
- Kong, X.; Shi, C.; Liu, H.; Geng, P.; Liu, J.; Fan, Y. Performance Optimization of a Steam Generator Level Control System via a Revised Simplex Search-Based Data-Driven Optimization Methodology. Processes 2022, 10, 264. [Google Scholar] [CrossRef]
- Irving, E.; Miossec, C.; Tassart, J. Towards efficient full automatic operation of the PWR steam generator with water level adaptive control. In Boiler Dynamics and Control in Nuclear Power Stations 2; Bournemouth; Thomas Telford Publishing: London, UK, 1980; pp. 309–329. [Google Scholar]

























| Variable | |||||||
|---|---|---|---|---|---|---|---|
| Power | |||||||
| 5% | [0.01, 0.02] | [8.85 × 10−7, 2.41 × 10−6] | [−0.25, 1.21] | [1, 1.5] | [0.3, 5] | [0, 0.5] | |
| 30% | [0.06, 0.09] | [1.52 × 10−5, 6.81 × 10−5] | [0.18, 0.9] | [1, 1.5] | [0.3, 5] | [0, 0.5] | |
| 50% | [0.09, 0.17] | [5.44 × 10−5, 2.0 × 10−4] | [0.08, 1.8] | [1, 1.5] | [0.3, 5] | [0, 0.5] | |
| 100% | [0.077, 0.3] | [2.3 × 10−4, 2.3 × 10−3] | [−0.6, 2.65] | [1, 1.5] | [0.3, 5] | [0, 0.5] | |
| Parameter NO. | Parameter Description | Set Value |
|---|---|---|
| Lvsp | Level target set value | 0 (mm) |
| Tau | Adjustment value of feedwater valve | 0.5 |
| Disturb | Disturbance ratio | 10% |
| Td | Setting disturbance time | 100 (s) |
| Total | Total simulation duration | 1200 (s) |
Publisher’s Note: MDPI stays neutral with regard to jurisdictional claims in published maps and institutional affiliations. |
© 2022 by the authors. Licensee MDPI, Basel, Switzerland. This article is an open access article distributed under the terms and conditions of the Creative Commons Attribution (CC BY) license (https://creativecommons.org/licenses/by/4.0/).
Share and Cite
Geng, P.; Kong, X.; Shi, C.; Liu, H.; Liu, J. IK-SPSA-Based Performance Optimization Strategy for Steam Generator Level Control System of Nuclear Power Plant. Energies 2022, 15, 7387. https://doi.org/10.3390/en15197387
Geng P, Kong X, Shi C, Liu H, Liu J. IK-SPSA-Based Performance Optimization Strategy for Steam Generator Level Control System of Nuclear Power Plant. Energies. 2022; 15(19):7387. https://doi.org/10.3390/en15197387
Chicago/Turabian StyleGeng, Pengcheng, Xiangsong Kong, Changqing Shi, Hang Liu, and Jiabin Liu. 2022. "IK-SPSA-Based Performance Optimization Strategy for Steam Generator Level Control System of Nuclear Power Plant" Energies 15, no. 19: 7387. https://doi.org/10.3390/en15197387
APA StyleGeng, P., Kong, X., Shi, C., Liu, H., & Liu, J. (2022). IK-SPSA-Based Performance Optimization Strategy for Steam Generator Level Control System of Nuclear Power Plant. Energies, 15(19), 7387. https://doi.org/10.3390/en15197387

