Effect of Microwave Pre-Treatment of Biomass on the Thermal Oxidative Conversion of Biomass Blends Containing Pre-Treated and Raw Biomass of Different Origination in Terms of Processing Rate and Heat Production
Abstract
:1. Introduction
2. Materials and Methods
2.1. Materials
2.2. MW Pre-Treatment of Biomass
2.3. Elemental Analysis and Higher Heating Value (HHV)
2.4. Ash Content
2.5. Preparation of Binary Biomass Blends
2.6. Thermal Analysis
2.7. Combustion Tests of Binary Blends Containing MW Pre-Treated and Non-Treated Biomass Pellets Using 20 kW Device
3. Results
3.1. Fuel and Combustion Characteristics of Non-Treated and MW Pre-Treated Biomass of Different Origination
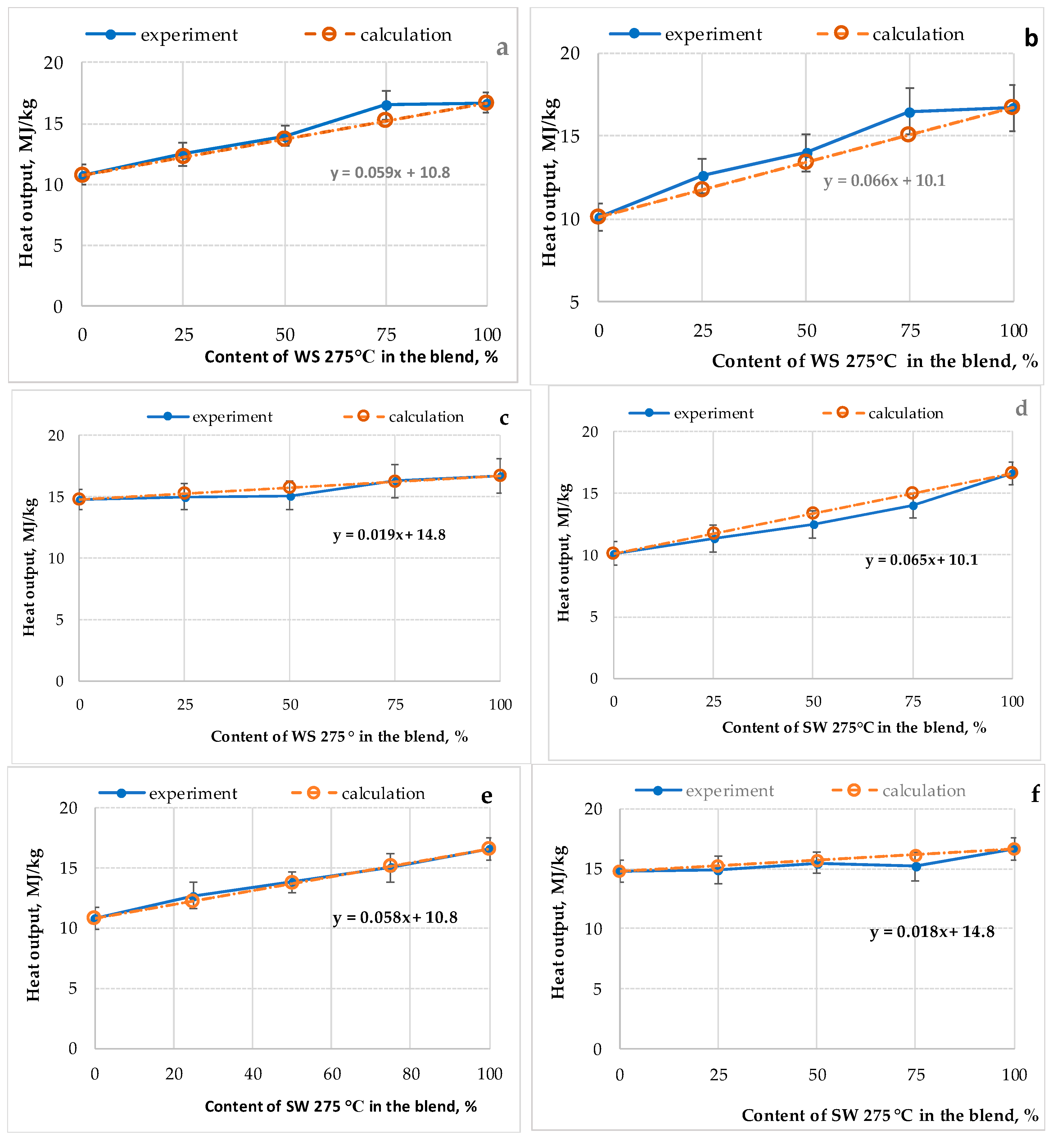
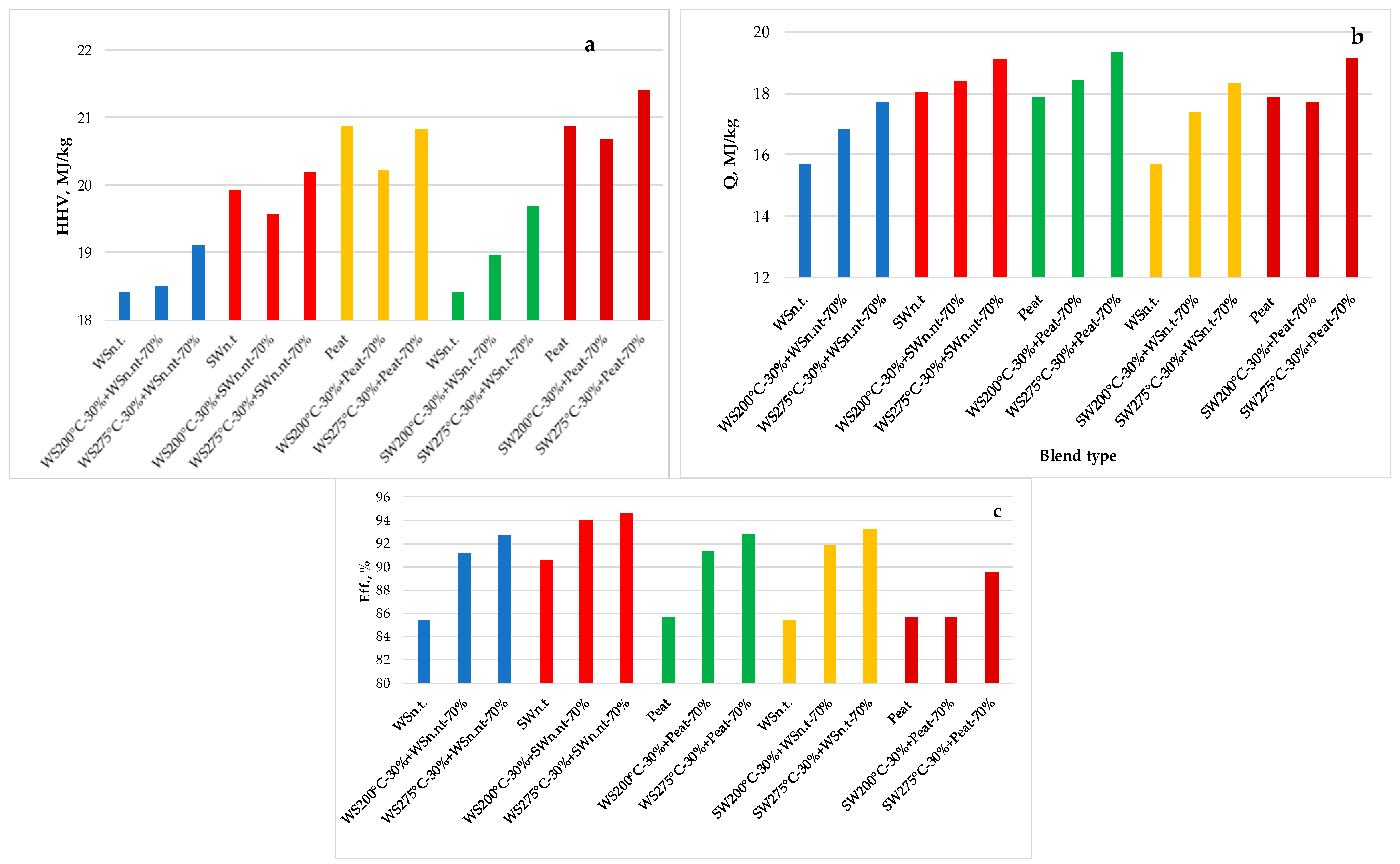
3.2. Thermochemical Conversion of Selectively MW Pre-Treated Biomass Blends of Different Origin in Pilot Scale Combustion Device
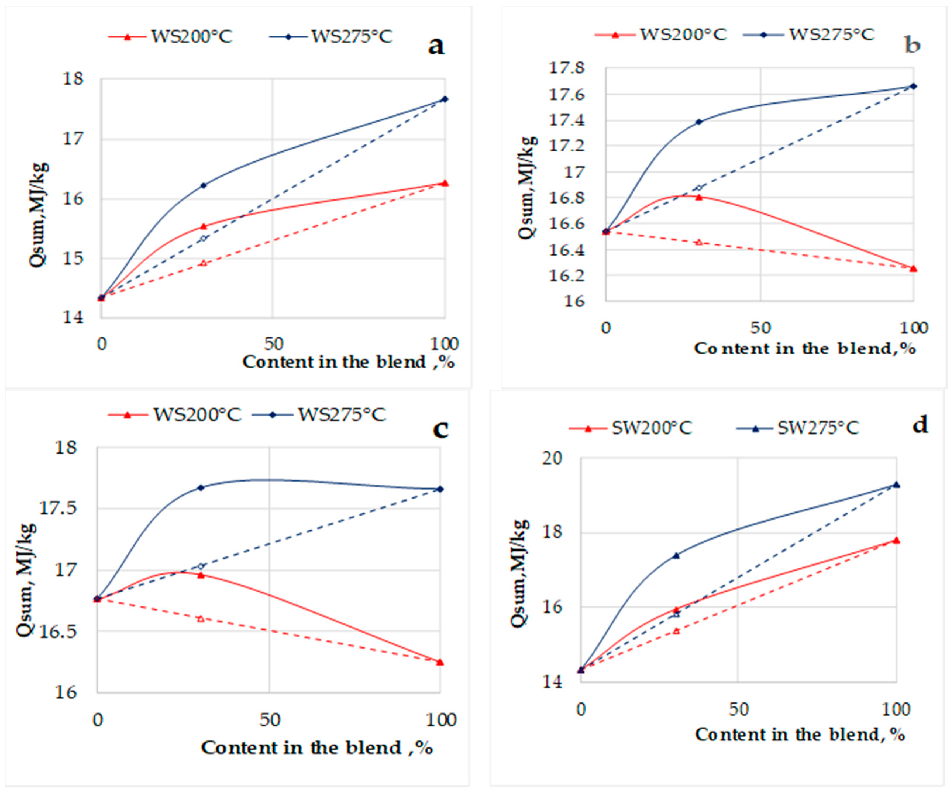
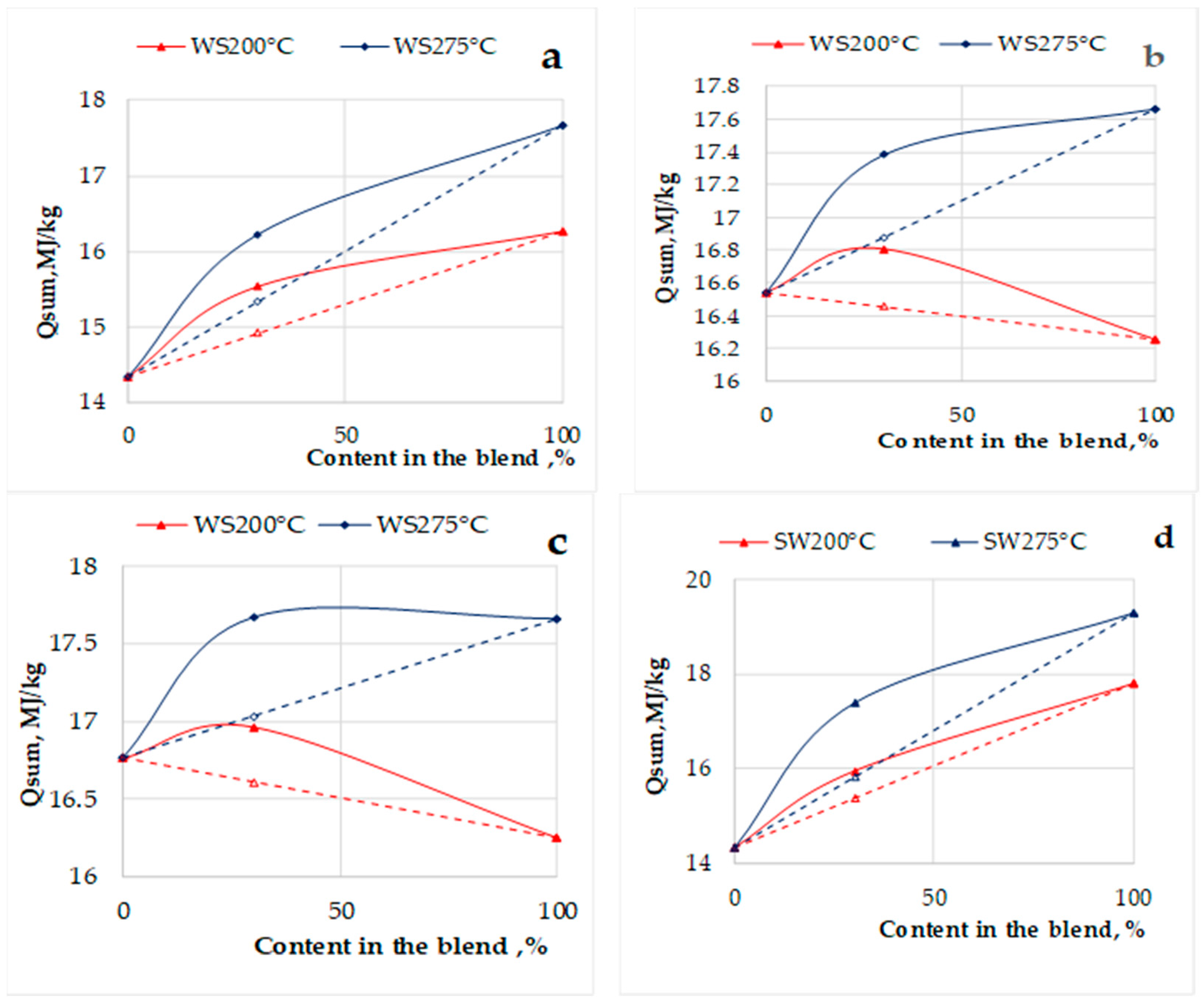
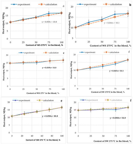
3.3. The Non-Isothermal Thermal Oxidative Analysis of Binary Blends Containing MW Pre-Treated and Non-Treated Biomass
4. Summary
Author Contributions
Funding
Institutional Review Board Statement
Informed Consent Statement
Data Availability Statement
Conflicts of Interest
References
- McKendry, P. Energy Production from Biomass (Part 1): Overview of Biomass. Bioresour. Technol. 2002, 83, 37–46. [Google Scholar] [CrossRef]
- Demirbas, A. Potential Applications of Renewable Energy Sources, Biomass Combustion Problems in Boiler Power Systems and Combustion Related Environmental Issues. Prog. Energy Combust. Sci. 2005, 31, 171–192. [Google Scholar] [CrossRef]
- Glithero, N.J.; Wilson, P.; Ramsden, S.J. Straw Use and Availability for Second Generation Biofuels in England. Biomass Bioenergy 2013, 55, 311–321. [Google Scholar] [CrossRef] [PubMed]
- European Bioenergy Networks. Biomass Co-Firing-An Efficient Way to Reduce Greenhouse Gas Emissions 2; European Bioenergy Networks: Madrid, Spain, 2003. [Google Scholar]
- Obernberger, I. Co-Firing Biomass with Fossil Fuels Firing Biomass with Fossil Fuels--Technological and Economic Evaluation Based on Austrian Experiences; Bios Bioenergiesysteme GmbH: Graz, Austria, 2003. [Google Scholar]
- Hupa, M. Interaction of Fuels in Co-Firing in FBC. Fuel 2005, 84, 1312–1319. [Google Scholar] [CrossRef]
- Wu, H.; Frandsen, F.J.; Dam-Johansen, K. Solid Fuel Interactions in Co-Combustion: A Literature Survey; CHEC Research Centre: Lyngby, Denmark, 2011. [Google Scholar]
- Nordgren, D.; Hedman, H.; Padban, N.; Boström, D.; Öhman, M. Ash Transformations in Pulverised Fuel Co-Combustion of Straw and Woody Biomass. Fuel Process. Technol. 2013, 105, 52–58. [Google Scholar] [CrossRef]
- Ethaib, S.; Omar, R.; Kamal, S.M.M.; Biak, D.R.A. Microwave-Assisted Pretreatment of Lignocellulosic Biomass: A Review. J. Eng. Sci. Technol. 2015, 10, 97–109. [Google Scholar]
- Ingole, P.M.; Ranveer, A.C.; Deshmukh, S.M.; Deshmukh, S.K. MICROWAVE ASSISTED PYROLYSIS OF BIOMASS: A REVIEW. Int. J. Adv. Technol. Eng. Sci. 2016, 4, 78–84. [Google Scholar]
- Barmina, I.; Līckrastiņa, A.; Valdmanis, J.; Valdmanis, R.; Zaķe, M.; Arshanitsa, A.; Telysheva, G.; Solodovnik, V. Effect of Microwave Pre-Processing of Pelletized Biomass on Its Gasification and Combustion/Mikroviļnu Priekšapstrādes Ietekme Uz Granulētas Biomasas Gazifikācijas Un Degšanas Procesiem. Latv. J. Phys. Tech. Sci. 2013, 50, 34–47. [Google Scholar] [CrossRef]
- Arshanitsa, A.; Akishin, Y.; Zile, E.; Dizhbite, T.; Solodovnik, V.; Telysheva, G. Microwave Treatment Combined with Conventional Heating of Plant Biomass Pellets in a Rotated Reactor as a High Rate Process for Solid Biofuel Manufacture. Renew Energy 2016, 91, 386–396. [Google Scholar] [CrossRef]
- Andersone, A.; Arshanitsa, A.; Akishin, Y.; Semenischev, A.; Telysheva, G. Microwave Assisted Torrefaction of Plant Biomass of Different Origin with a Focus on Solid Products Valorisation for Energy and Beyond. Chem. Eng. Trans. 2021, 86, 109–114. [Google Scholar] [CrossRef]
- Barmina, I.; Goldsteins, L.; Valdmanis, R.; Zake, M. Improvement of Biomass Gasification/Combustion Characteristics by Microwave Pretreatment of Biomass Pellets. Chem. Eng. Technol. 2021, 44, 2018–2025. [Google Scholar] [CrossRef]
- Goldšteins, L.; Dzenis, M.G.; Šints, V.; Valdmanis, R.; Zaķe, M.; Arshanitsa, A. Microwave Pre-Treatment and Blending of Biomass Pellets for Sustainable Use of Local Energy Resources in Energy Production. Energies 2022, 15, 3347. [Google Scholar] [CrossRef]
- Xue, J.; Ceylan, S.; Goldfarb, J.L. Synergism among Biomass Building Blocks? Evolved Gas and Kinetics Analysis of Starch and Cellulose Co-Pyrolysis. Thermochim. Acta 2015, 618, 36–47. [Google Scholar] [CrossRef]
- Wu, Z.; Wang, S.; Zhao, J.; Chen, L.; Meng, H. Synergistic Effect on Thermal Behavior during Co-Pyrolysis of Lignocellulosic Biomass Model Components Blend with Bituminous Coal. Bioresour. Technol. 2014, 169, 220–228. [Google Scholar] [CrossRef] [PubMed]
- Lauberts, M.; Lauberte, L.; Arshanitsa, A.; Dizhbite, T.; Dobele, G.; Bikovens, O.; Telysheva, G. Structural Transformations of Wood and Cereal Biomass Components Induced by Microwave Assisted Torrefaction with Emphasis on Extractable Value Chemicals Obtaining. J. Anal. Appl. Pyrolysis 2018, 134, 1–11. [Google Scholar] [CrossRef]
- Friedl, A.; Padouvas, E.; Rotter, H.; Varmuza, K. Prediction of Heating Values of Biomass Fuel from Elemental Composition. Anal. Chim. Acta 2005, 544, 191–198. [Google Scholar] [CrossRef]
- Sutton, R.; Sposito, G. Molecular Structure in Soil Humic Substances: The New View. Environ. Sci. Technol. 2005, 39, 9009–9015. [Google Scholar] [CrossRef]
- Arshanitsa, A.; Andersone, A.; Telysheva, G. Non-Isothermal Thermal Analysis of Different Originated Lignocellulosic Biomass, Non-Treated and Torrefied by Microwave Treatment. In Proceedings of the Engineering for Rural Development, Jelgava, Latvia, 26–28 May 2021. [Google Scholar]
- Arshanitsa, A.; Jashina, L.; Pals, M.; Ponomarenko, J.; Akishin, Y.; Zake, M. Characteristics of the Main- and Side-Stream Products of Microwave Assisted Torrefaction of Lignocellulosic Biomass of Differents Origination. Energies 2022, 15, 1857. [Google Scholar] [CrossRef]
- Goldšteins, L.; Valdmanis, R.; Zaķe, M.; Arshanitsa, A.; Andersone, A. Thermal Decomposition and Combustion of Microwave Pre-Treated Biomass Pellets. Processes 2021, 9, 492. [Google Scholar] [CrossRef]
- Vuppaladadiyam, A.K.; Antunes, E.; Sanchez, P.B.; Duan, H.; Zhao, M. Influence of Microalgae on Synergism during Co-Pyrolysis with Organic Waste Biomass: A Thermogravimetric and Kinetic Analysis. Renew Energy 2021, 167, 42–55. [Google Scholar] [CrossRef]
- Demirbaş, A.; Demirbaş, A.H. Estimating the Calorific Values of Lignocellulosic Fuels. Energy Explor. Exploit. 2004, 22, 135–143. [Google Scholar] [CrossRef]









| Parameters | Softwood | Wheat straw | Peat | ||||
|---|---|---|---|---|---|---|---|
| n. t. | 200 °C | 275 °C | n. t. | 200 °C | 275 °C | n. t. | |
| Element content,% | |||||||
| C | 50.6 ± 0.5 | 50.7 ± 0.3 | 56.2 ± 0.7 | 46.4 ± 0.3 | 47.2 ± 0.2 | 53.8 ± 0.3 | 52.8 ± 0.4 |
| H | 5.5 ± 0.1 | 6.1 ± 0.2 | 5.7 ± 0.1 | 5.8 ± 0.1 | 5.6 ± 0.1 | 5.7 ± 0.1 | 5.2 ± 0.1 |
| N | 0.17 ± 0.02 | 0.14 ± 0.04 | 0.15 ± 0.05 | 0.59 ± 0.04 | 0.54 ± 0.02 | 0.66 ± 0.06 | 1.17 ± 0.03 |
| Ash content,% | 0.32 ± 0.02 | 0.33 ± 0.04 | 0.40 ± 0.04 | 3.7 ± 0.3 | 3.9 ± 0.2 | 7.8 ± 0.8 | 3.4 ± 0.3 |
| Fixed carbon content *,% | 17.6 ± 0.8 | 18.9 ± 0.5 | 26.7 ± 1.0 | 20.7 ± 0.6 | 22.0 ± 0.6 | 32.5 ± 1.2 | 29.0 ± 1.0 |
| HHV, MJ/kg | 19.9 ± 0.2 | 20.2 ± 0.2 | 22.6 ± 0.3 | 18.4 ± 0.2 | 18.7 ± 0.1 | 21.5 ± 0.2 | 20.9 ± 0.2 |
| Pre-Treatment Temperature, °C | Softwood | Wheat Straw | ||
|---|---|---|---|---|
| Specific Surface Area (BET), m2/g | Total Pores Volume, mm3/g | Specific Surface Area (BET), m2/g | Total Pores Volume, mm3/g | |
| Non-treated | 0.28 | 0.72 | 0.62 | 0.50 |
| 200 | 0.43 | 1.74 | 0.59 | 0.72 |
| 250 | 0.45 | 1.44 | 0.71 | 0.95 |
| 300 | 0.52 | 1.39 | 1.02 | 3.22 |
Publisher’s Note: MDPI stays neutral with regard to jurisdictional claims in published maps and institutional affiliations. |
© 2022 by the authors. Licensee MDPI, Basel, Switzerland. This article is an open access article distributed under the terms and conditions of the Creative Commons Attribution (CC BY) license (https://creativecommons.org/licenses/by/4.0/).
Share and Cite
Arshanitsa, A.; Jashina, L.; Pals, M.; Valdmanis, R.; Zake, M. Effect of Microwave Pre-Treatment of Biomass on the Thermal Oxidative Conversion of Biomass Blends Containing Pre-Treated and Raw Biomass of Different Origination in Terms of Processing Rate and Heat Production. Energies 2022, 15, 7157. https://doi.org/10.3390/en15197157
Arshanitsa A, Jashina L, Pals M, Valdmanis R, Zake M. Effect of Microwave Pre-Treatment of Biomass on the Thermal Oxidative Conversion of Biomass Blends Containing Pre-Treated and Raw Biomass of Different Origination in Terms of Processing Rate and Heat Production. Energies. 2022; 15(19):7157. https://doi.org/10.3390/en15197157
Chicago/Turabian StyleArshanitsa, Alexandr, Lilija Jashina, Matiss Pals, Raimonds Valdmanis, and Maja Zake. 2022. "Effect of Microwave Pre-Treatment of Biomass on the Thermal Oxidative Conversion of Biomass Blends Containing Pre-Treated and Raw Biomass of Different Origination in Terms of Processing Rate and Heat Production" Energies 15, no. 19: 7157. https://doi.org/10.3390/en15197157
APA StyleArshanitsa, A., Jashina, L., Pals, M., Valdmanis, R., & Zake, M. (2022). Effect of Microwave Pre-Treatment of Biomass on the Thermal Oxidative Conversion of Biomass Blends Containing Pre-Treated and Raw Biomass of Different Origination in Terms of Processing Rate and Heat Production. Energies, 15(19), 7157. https://doi.org/10.3390/en15197157

