Lead-Free and Stable Potassium Titanium Halide Perovskites: Synthesis, Characterization and Solar Cell Simulation
Abstract
1. Introduction
2. Materials and Methods
3. Results and Discussion
3.1. Structural Analysis
3.2. Optoelectronic Properties
3.3. Thermal Stability
4. Solar Cell Simulation
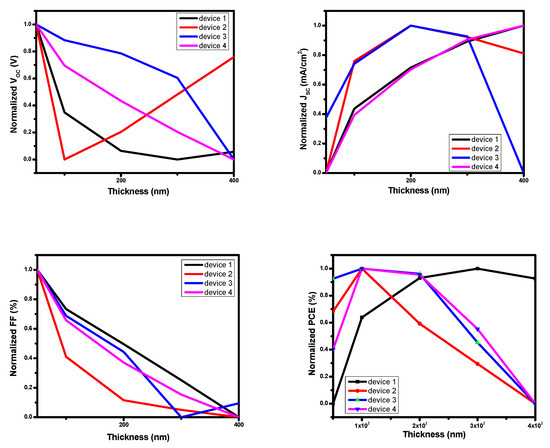
4.1. Effect of Absorber Layer Thickness
4.2. Performance of PSC with Varying ETL Thickness
4.3. Performance of PSC with Different HTL Thickness
5. Conclusions
Author Contributions
Funding
Institutional Review Board Statement
Data Availability Statement
Acknowledgments
Conflicts of Interest
References
- Smith, C.J.; Forster, P.M.; Allen, M.; Fuglestvedt, J.; Millar, R.J.; Rogelj, J.; Zickfeld, K. Current fossil fuel infrastructure does not yet commit us to 1.5 °C warming. Nat. Commun. 2019, 10, 101. [Google Scholar] [CrossRef]
- Saeed, M.A.; Shahzad, A.; Rasool, K.; Mateen, F.; Oh, J.-M.; Shim, J.W. 2D MXene: A Potential Candidate for Photovoltaic Cells? A Critical Review. Adv. Sci. 2022, 9, 2104743. [Google Scholar] [CrossRef]
- Saeed, M.A.; Yoo, K.; Kang, H.C.; Shim, J.W.; Lee, J.J. Recent developments in dye-sensitized photovoltaic cells under ambient illumination. Dyes Pigm. 2021, 194, 109626. [Google Scholar] [CrossRef]
- Yao, Y.; Xu, J.H.; Sun, D.Q. Untangling global levelised cost of electricity based on multi-factor learning curve for renewable energy: Wind, solar, geothermal, hydropower and bioenergy. J. Clean. Prod. 2021, 285, 124827. [Google Scholar] [CrossRef]
- You, Y.J.; Saeed, M.A.; Shafian, S.; Kim, J.; Kim, S.H.; Kim, S.H.; Kim, K.; Shim, J.W. Energy recycling under ambient illumination for internet-of-things using metal/oxide/metal-based colorful organic photovoltaics. Nanotechnology 2021, 32, 465401. [Google Scholar] [CrossRef] [PubMed]
- Srivastava, S.; Singh, A.K.; Kumar, P.; Pradhan, B. Comparative performance analysis of lead-free perovskites solar cells by numerical simulation. J. Appl. Phys. 2022, 131, 175001. [Google Scholar] [CrossRef]
- Wolf, S.D.; Holovsky, J.; Moon, S.-J.; Löper, P.; Niesen, B.; Ledinsky, M.; Haug, F.-J.; Yum, J.-H.; Ballif, C. Organometallic Halide Perovskites: Sharp Optical Absorption Edge and Its Relation to Photovoltaic Performance. J. Phys. Chem. Lett. 2014, 5, 1035–1039. [Google Scholar] [CrossRef]
- Shi, D.; Adinolfi, V.; Comin, R.; Yuan, M.; Alarousu, E.; Buin, A.; Chen, Y.; Hoogland, S.; Rothenberger, A.; Katsiev, K.B.; et al. Low trap-state density and long carrier diffusion in organolead trihalide perovskite single crystals. Science 2015, 347, 519–522. [Google Scholar] [CrossRef]
- Adjogri, S.J.; Meyer, E.L. A Review on Lead-Free Hybrid Halide Perovskites as Light Absorbers for Photovoltaic Applications Based on Their Structural, Optical, and Morphological Properties. Molecules 2020, 25, 5039. [Google Scholar] [CrossRef]
- Kumar, A.; Kumawat, N.K.; Maheshwari, P.; Kabra, D. Role of halide anion on exciton binding energy and disorder in hybrid perovskite semiconductors PVSC. IEEE Xplore 2015, 42, 1–4. [Google Scholar]
- Frohna, K.; Stranks, S.D. 7—Hybrid Perovskites for Device Applications; Woodhead Publishing: Sawston, UK, 2019; pp. 211–256. [Google Scholar]
- Chen, Y.; Zhang, L.; Zhang, Y.; Gao, H.; Yan, H. Large-area perovskite solar cells—A review of recent progress and issues. RSC Adv. 2018, 8, 10489–10508. [Google Scholar] [CrossRef] [PubMed]
- NREL. Solar Cell Efficiency Chart—Photovoltaic Research—NREL, 2020. Available online: https://www.nrel.gov/pv/cell-efficiency.html (accessed on 1 July 2022).
- Hailegnaw, B.; Kirmayer, S.; Edri, E.; Hodes, G.; Cahen, D. Rain on methylammonium lead iodide-based perovskites: Possible environmental effects of perovskite solar cells. J. Phys. Chem. Lett. 2015, 6, 1543–1547. [Google Scholar] [CrossRef]
- Giustino, F.; Snaith, H.J. Toward lead-free perovskite solar cells. ACS Energy Lett. 2016, 1, 1233–1240. [Google Scholar] [CrossRef]
- Xiao, Z.; Zhou, Y.; Hosono, H.; Kamiya, T. Intrinsic Defects in a Photovoltaic Perovskite Variant Cs2SnI6. Phys. Chem. Chem. Phys. 2015, 17, 18900–18903. [Google Scholar] [CrossRef]
- Sani, F.; Shafie, S.; Lim, H.N.; Musa, A.O. Advancement on Lead-Free Organic-Inorganic Halide Perovskite Solar Cells: A Review. Materials 2018, 11, 1008. [Google Scholar] [CrossRef]
- Lee, B.; Stoumpos, C.C.; Zhou, N.; Hao, F.; Malliakas, C.; Yeh, C.-Y.; Marks, T.J.; Kanatzidis, M.G.; Chang, R.P. Air-stable molecular semiconducting iodo salts for solar cell applications: Cs2SnI6 as a hole conductor. J. Am. Chem. Soc. 2014, 136, 15379–15385. [Google Scholar] [CrossRef] [PubMed]
- De Oliveira, A.E.R.T.P.; Alves, A.K. Organic–Inorganic Hybrid Perovskites for Solar Cells Applications; Springer: Berlin/Heidelberg, Germany, 2019; pp. 89–101. [Google Scholar]
- Guo, R.; Khenkin, M.V.; Arnaoutakis, G.E.; Samoylova, N.A.; Barbé, J.; Lee, H.K.H.; Tsoi, W.C.; Katz, E.A. Initial Stages of Photodegradation of MAPbI3 Perovskite: Accelerated Aging with Concentrated Sunlight. Sol. RRL 2020, 4, 1900270. [Google Scholar] [CrossRef]
- Misra, R.K.; Aharon, S.; Li, B.; Mogilyansky, D.; Visoly_Fisher, I.; Etgar, L.; Katz, E.A. Temperature- and Component-Dependent Degradation of Perovskite Photovoltaic Materials under Concentrated Sunlight. Phys. Chem. Lett. 2015, 6, 326–330. [Google Scholar] [CrossRef]
- Saparov, B.; Sun, J.-P.; Meng, W.; Xiao, Z.; Duan, H.-S.; Gunawan, O.; Shin, D.; Hill, I.G.; Yan, Y.; Mitzi, D.B. Thin-film deposition and characterization of a Sn-deficient perovskite derivative Cs2SnI6. Chem. Mater. 2016, 28, 2315–2322. [Google Scholar] [CrossRef]
- Maughan, A.E.; Ganose, A.M.; Scanlon, D.O.; Neilson, J.R. Perspectives and Design Principles of Vacancy-Ordered Double Perovskite Halide Semiconductors. Chem. Mater. 2019, 31, 1184–1195. [Google Scholar] [CrossRef]
- Cai, Y.; Xie, W.; Ding, H.; Chen, Y.; Thirumal, K.; Wong, L.H.; Mathews, N.; Mhaisalkar, S.G.; Sherburne, M.; Asta, M. Computational study of halide perovskite- derived A2BX6 inorganic compounds: Chemical trends in electronic structure and structural stability. Chem. Mater. 2017, 29, 7740–7749. [Google Scholar] [CrossRef]
- Roy, P.; Kumar Sinha, N.; Tiwari, S.; Khare, A. A review on perovskite solar cells: Evolution of architecture, fabrication techniques, commercialization issues and status. Sol. Energy 2020, 198, 665–688. [Google Scholar] [CrossRef]
- Chakraborty, S.; Xie, W.; Mathews, N.; Sherburne, M.; Ahuja, R.; Asta, M.; Mhaisalkar, S.G. Rational Design: A High-Throughput Computational Screening and Experimental Validation Methodology for Lead-Free and Emergent Hybrid Perovskites. ACS Energy Lett. 2017, 2, 837–845. [Google Scholar] [CrossRef]
- Sun, S.; Noor, T.P.H.; Zekun, D.R.; Felipe, O.; Antonio, M.B.; Mariya, L.; De, X.; Tofunmi, O.; Janak, T.; Savitha, R.; et al. Accelerated Development of Perovskite-Inspired Materials via High-Throughput Synthesis and Machine-Learning Diagnosis. Joule 2019, 3, 1437–1451. [Google Scholar] [CrossRef]
- Park, B.W.; Philippe, B.; Zhang, X.; Rensmo, H.; Boschloo, G.; Johansson, E.M. Bismuth based hybrid perovskites A3Bi2I9 (a: Methylammonium or cesium) for solar cell application. Adv. Mater. 2015, 27, 6806–6813. [Google Scholar] [CrossRef] [PubMed]
- Ju, M.G.; Chen, M.; Zhou, Y.; Garces, H.F.; Dai, J.; Ma, L.; Padture, N.P.; Zeng, X.C. Earth-Abundant Nontoxic Titanium (IV)-based Vacancy-Ordered Double Perovskite Halides with Tunable 1.0 to 1.8 eV Bandgaps for Photovoltaic Applications. ACS Energy Lett. 2018, 3, 297–304. [Google Scholar] [CrossRef]
- Chen, M.; Ju, M.G.; Carl, A.D.; Zong, Y.; Grimm, R.L.; Gu, J.; Zeng, X.C.; Zhou, Y.; Padture, N.P. Cesium titanium (IV) bromide thin films based stable lead-free perovskite solar cells. Joule 2018, 2, 558. [Google Scholar] [CrossRef]
- Kong, D.; Cheng, D.; Wang, X.; Zhang, K.; Wang, H.; Liu, K.; Li, H.; Sheng, X.; Yin, L. Solution processed lead-free cesium titanium halide perovskites and their structural, thermal and optical characteristics. J. Mater. Chem. C 2020, 8, 1591–1597. [Google Scholar] [CrossRef]
- Radhakrishnan, A.; Manickam, S.; Jeyaperumal, K.S.; Perumalsamy, R. First principle study of structural, mechanical, electronic and optical properties of K2TiX6 (X = Cl, Br, I) for photovoltaic applications. Solid State Sci. 2021, 118, 106654. [Google Scholar] [CrossRef]
- Ghrib, T.; Rached, A.; Algrafy, E.; Al-nauim, I.A.; Albalawi, H.; Ashiq, M.G.B.; Ul Haq, B.; Mahmood, Q. A new lead free double perovskites K2Ti(Cl/Br)6; a promising materials for optoelectronic and transport properties; probed by DFT. Mater. Chem. Phys. 2021, 264, 124435. [Google Scholar] [CrossRef]
- Anizelli, H.S.; Stoichkov, V.; Fernandes, R.V.; Duarte, J.L.; Laureto, E.; Kettle, J.; Visoly-Fisher, I.; Katz, E.A. Application of luminescence downshifting materials for enhanced stability of CH3NH3PbI3(1-x)Cl3x perovskite photovoltaic devices. Org. Electron. 2017, 49, 129–134. [Google Scholar] [CrossRef]
- Siegler, T.D.; Shimpi, T.M.; Sampath, W.S.; Korgel, B.A. Development of wide bandgap perovskites for next-generation low-cost CdTe tandem solar cells. Chem. Eng. Sci. 2019, 199, 388–397. [Google Scholar] [CrossRef]
- Tong, J.; Jiang, Q.; Zhang, F.; Kang, S.B.; Kim, D.H.; Zhu, K. Wide-Bandgap Metal Halide Perovskites for Tandem Solar Cells. ACS Energy Lett. 2021, 6, 232–248. [Google Scholar] [CrossRef]
- Basumatary, P.; Kumari, J.; Agarwal, P. Probing the defects states in MAPbI3 perovskite thin films through photoluminescence and photoluminescence excitation spectroscopy studies. Optik 2022, 266, 169586. [Google Scholar] [CrossRef]
- Oskar, S.; Peter, W.; Shreetu, S.; Ievgen, L.; Mykhailo, S.; Gebhard, J.M.; Andres, O.; Miroslaw, B.; Wolfgang, H.; Christoph, J.B.; et al. Looking beyond the Surface: The Band Gap of Bulk Methylammonium Lead Iodide. Nano Lett. 2020, 20, 3090–3097. [Google Scholar]
- Hutter, E.M.; Gélvez-Rueda, M.C.; Osherov, A.; Bulović, V.; Grozema, F.C.; Stranks, S.D.; Savenije, T.J. Direct–indirect character of the bandgap in methylammonium lead iodide perovskite. Nat. Mater. 2017, 16, 115–120. [Google Scholar] [CrossRef]
- Mahon, N.S.; Korolik, O.V.; Khenkin, M.V.; Arnaoutakis, G.E.; Galagan, Y.; Soriūtė, V.; Litvinas, D.; Ščajev, P.; Katz, E.A.; Mazanik, A.V. Photoluminescence kinetics for monitoring photoinduced processes in perovskite solar cells. Sol. Energy 2020, 195, 114–120. [Google Scholar] [CrossRef]
- Bansal, S.; Aryal, P. Evaluation of New Materials for Electron and Hole Transport Layers in Perovskite-Based Solar Cells through SCAPS-1D Simulations. In Proceedings of the IEEE 43rd Photovoltaic Specialists Conference, Portland, OR, USA, 5–10 June 2016; pp. 747–750. [Google Scholar]
- Kunal, C.; Mahua, G.C.; Samrat, P. Numerical study of Cs2TiX6 (X = Br−, I−, F− and Cl−) based perovskite solar cell using SCAPS-1D device simulation. J. Sol. Energy 2019, 194, 886–892. [Google Scholar] [CrossRef]
- Baloch, A.B.A.; Hossain, M.I.; Tabet, N.; Alharbi, F.H. Practical Efficiency Limit of Methylammonium Lead Iodide Perovskite (CH3NH3PbI3) Solar Cells. J. Phys. Chem. Lett. 2018, 9, 426–434. [Google Scholar] [CrossRef]
- Helander, M.G.; Greiner, M.T.; Wang, Z.B.; Tang, W.M.; Lu, Z.H. Work function of fluorine doped tin oxide. J. Vac. Sci. Technol. Vac. Surf. Film. 2011, 29, 011019. [Google Scholar] [CrossRef]
- Lakhdar, N.; Hima, A. Electron transport material effect on performance of perovskite solar cells based on CH3NH3GeI3. Opt. Mater. 2020, 99, 109517. [Google Scholar] [CrossRef]
- Lin, L.; Jones, T.W.; Yang, T.C.-J.; Duffy, N.W.; Li, J.; Zhao, L.; Chi, B.; Wang, X.; Wilson, G.J. Inorganic Electron Transport Materials in Perovskite Solar Cells. Adv. Funct. Mater. 2021, 31, 2008300. [Google Scholar] [CrossRef]
- Karimi, E.; Ghorashi, S.M.B. Investigation of the influence of different hole-transporting materials on the performance of perovskite solar cells. Optik 2017, 130, 650–658. [Google Scholar] [CrossRef]
- Gan, Y.; Bi, X.; Liu, Y.; Qin, B.; Li, Q.; Jiang, Q.; Mo, P. Numerical Investigation Energy Conversion Performance of Tin-Based Perovskite Solar Cells Using Cell Capacitance Simulator. Energies 2020, 13, 5907. [Google Scholar] [CrossRef]
- Abdul, K.K.; Sadia, S.U.; Tasnim, T.F.; Sakibul, A.; Mohammad, A.A. Highly efficient Cesium Titanium (IV) Bromide perovskite solar cell and its point defect investigation: A computational study. Superlattice. Microst. 2021, 156, 106946. [Google Scholar] [CrossRef]
- Kanoun, A.A.; Kanoun, M.B.; Merad, A.E.; Goumri-Said, S. Toward development of high-performance perovskite solar cells based on CH3NH3GeI3 using computational approach. Sol. Energy 2019, 182, 237–244. [Google Scholar] [CrossRef]
- Raghvendra; Kumar, R.R.; Pandey, S.K. Performance evaluation and material parameter perspective of eco-friendly highly efficient CsSnGeI3 perovskite solar cell. Superlattice. Microst. 2019, 135, 106273. [Google Scholar] [CrossRef]












| Element | Weight% | Atomic% | Element | Weight % | Atomic% | Element | Weight% | Atomic% |
|---|---|---|---|---|---|---|---|---|
| (K2TiBr6) | (K2TiI6) | (K2TiI2Br4) | ||||||
| K K | 18.65 | 26.37 | K K | 24.50 | 43.83 | K K | 21.11 | 34.96 |
| Ti K | 37.49 | 43.28 | Ti K | 16.01 | 23.38 | Ti K | 12.86 | 17.39 |
| Br L | 43.86 | 30.35 | I L | 59.49 | 32.79 | Br L | 46.49 | 37.68 |
| I L | 19.54 | 9.97 | ||||||
| Total | 100.00 | Total | 100.00 | Total | 100.00 |
| Parameters | FTO | ZnO | TiO2 | K2TiI6 | PEDOT: PSS | P3HT |
|---|---|---|---|---|---|---|
| Eg (eV) | 3.5 | 3.3 | 3.2 | 1.61 | 2.2 | 2 |
| χ (eV) | 4.4 | 4.1 | 4.1 | 4 | 2.9 | 3.2 |
| εr | 9 | 9 | 9 | 10 | 3 | 3 |
| Nc (cm−3) | 2.2 × 1018 | 4 × 1018 | 1 × 1021 | 1 × 1019 | 2.2 × 1015 | 1 × 1020 |
| Nv (cm−3) | 1.8 × 1019 | 1 × 1019 | 2 × 1020 | 1 × 1019 | 1.8 × 1018 | 1 × 1020 |
| μn (cm2/Vs) | 20 | 200 | 20 | 4.4 | 10 | 0.0001 |
| μp (cm2/Vs) | 10 | 25 | 10 | 2.5 | 10 | 0.0001 |
| ND (cm−3) | 1 × 1019 | 1 × 1018 | 1 × 1019 | 3 × 1019 | 0 | 0 |
| NA (cm−3) | 0 | 0 | 0 | 3 × 1018 | 3.17 × 1014 | 1 × 1016 |
| Ref. | [44] | [45,46] | [45,46] | [32,33] | [47,48] | [49] |
| Device | Configuration | Voc (V) | Jsc (mA/cm2) | FF % | PCE % |
|---|---|---|---|---|---|
| 1 | FTO/TiO2/K2TiI6/PEDOT: PSS | 1.1557 | 7.8647 | 47.9585 | 4.3593 |
| 2 | FTO/ZnO/K2TiI6/PEDOT: PSS | 0.9450 | 5.3580 | 45.9063 | 2.3245 |
| 3 | FTO/TiO2/K2TiI6/P3HT | 1.0003 | 2.2905 | 45.5032 | 1.0428 |
| 4 | FTO/ZnO/K2TiI6/P3HT | 1.0701 | 2.6554 | 51.2958 | 1.4576 |
Publisher’s Note: MDPI stays neutral with regard to jurisdictional claims in published maps and institutional affiliations. |
© 2022 by the authors. Licensee MDPI, Basel, Switzerland. This article is an open access article distributed under the terms and conditions of the Creative Commons Attribution (CC BY) license (https://creativecommons.org/licenses/by/4.0/).
Share and Cite
Kumar, S.; Murugesan, M. Lead-Free and Stable Potassium Titanium Halide Perovskites: Synthesis, Characterization and Solar Cell Simulation. Energies 2022, 15, 6963. https://doi.org/10.3390/en15196963
Kumar S, Murugesan M. Lead-Free and Stable Potassium Titanium Halide Perovskites: Synthesis, Characterization and Solar Cell Simulation. Energies. 2022; 15(19):6963. https://doi.org/10.3390/en15196963
Chicago/Turabian StyleKumar, Saranya, and Malathi Murugesan. 2022. "Lead-Free and Stable Potassium Titanium Halide Perovskites: Synthesis, Characterization and Solar Cell Simulation" Energies 15, no. 19: 6963. https://doi.org/10.3390/en15196963
APA StyleKumar, S., & Murugesan, M. (2022). Lead-Free and Stable Potassium Titanium Halide Perovskites: Synthesis, Characterization and Solar Cell Simulation. Energies, 15(19), 6963. https://doi.org/10.3390/en15196963

