Wellbore Stabilization Technology of “Fluid-Solid-Chemical Coupling” in Continental Shale Oil—A Case Study of Shale Oil in Block GL
Abstract
:1. Introduction
2. Causes of Wellbore Instability
3. The Safe Density Window of Drilling Fluid
3.1. A Prediction Model of Collapse Pressure
3.1.1. Analysis of In-Situ Stress in the Block
3.1.2. Rock Mechanics Parameter Section
3.1.3. A “Fluid-Solid-Chemical” Coupling Collapse Pressure Prediction Model
- (1)
- Fluid-chemical coupling model
- (2)
- Fluid-solid coupling model
- (3)
- The change rule model of stratum strength with the soaking time of drilling fluid.
- (4)
- “Fluid-solid-chemical” coupling collapse pressure model
3.2. Prediction of Three-Pressure Section
4. Development of Drilling Fluid System
4.1. Analysis of the Characteristics of Shale Deterioration
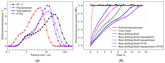
4.2. Development of High Thixotropic Plugging Oil-Based Drilling Fluid System
5. Wellsite Test
6. Conclusions
Author Contributions
Funding
Conflicts of Interest
References
- Sun, L.; Liu, H.; He, W.; He, W.; Li, G.; Zhang, S.; Zhu, R.; Jin, X.; Meng, S.; Jiang, H. Analysis of major scientific issues and research paths of Daqing Gulong shale oil. Pet. Explor. Dev. 2021, 48, 527–540. [Google Scholar] [CrossRef]
- Liu, H.; Cui, S.; Zhu, D.; Li, Y.; Zhang, L. Study on microstructure and mechanical properties of hard and brittle shale. J. Undergr. Space Eng. 2019, 15, 34–39. [Google Scholar]
- Wang, G. Hydration Characteristics of Hard and Brittle Shale and Its Influence on Wellbore Collapse Pressure; Southwest Petroleum University: Chengdu, China, 2017. [Google Scholar]
- Liu, H.; Cui, S.; Meng, Y.; Li, Z.; Yu, X.; Sun, H.; Zhou, Y.; Luo, Y. Rock Mechanics and Wellbore Stability of Deep Shale During Drilling and Completion Processes. J. Pet. Sci. Eng. 2021, 205, 108882. [Google Scholar] [CrossRef]
- He, W.; Meng, Q.; Zhang, J. Main control factors and classification evaluation of Gulong shale oil enrichment in Songliao Basin. Daqing Pet. Geol. Dev. 2021, 40, 1–12. [Google Scholar]
- Song, M.; Liu, H.; Wang, Y.; Li, Y. Understanding and exploration practice of Paleogene shale oil enrichment in Jiyang Depression. Pet. Explor. Dev. 2020, 47, 225–235. [Google Scholar] [CrossRef]
- Yao, J.; Zhao, Y.; Liu, G.; Qi, Y.; Li, Y.; Luo, A.; Zhang, X. Reservoir-forming conditions and key technologies of exploration and development in Qingcheng Oilfield. Acta Pet. Sin. 2020, 41, 777–795. [Google Scholar]
- Liu, B.; Shi, J.; Fu, X.; Lyu, Y.; Sun, X.; Gong, L.; Bai, Y. Lithofacies characteristics of continental shale rock series and shale oil enrichment conditions—A case study of organic-rich shale in one section of Qingshankou Formation of Cretaceous in Gulong Depression, Songliao Basin. Pet. Explor. Dev. 2018, 45, 828–838. [Google Scholar] [CrossRef]
- Liu, G. Petroleum Geology; Petroleum Industry Press: Beijing, China, 2018; pp. 158–162. [Google Scholar]
- Chen, Z.; Meng, Q.; Wan, T.; Jia, Q.; Zhang, T. Numerical simulation of tectonic stress field in Gulong Depression of Songliao Basin by elastic-plastic incremental method. Earth Sci. Front. 2002, 9, 483–492. [Google Scholar]
- Zhou, J.; He, S.; Tang, M.; Huang, Z.; Chen, Y.; Chi, J.; Zhu, Y.; Yuan, P. Analysis of wellbore stability considering the effects of bedding planes and anisotropic seepage during drilling horizontal wells in the laminated formation. J. Pet. Sci. Eng. 2018, 170, 507–524. [Google Scholar] [CrossRef]
- Hu, S.; Bai, B.; Tao, S.; Bian, C.; Zhang, T.; Chen, Y.; Liang, X.; Wang, L.; Zhu, R.; Jia, J.; et al. Heterogeneous geological conditions and differential enrichment characteristics of high maturity shale oil in China. Pet. Explor. Dev. 2022, 49, 224–237. [Google Scholar] [CrossRef]
- Chen, P.; Ma, T.; Xia, H. Prediction Model of Shale Horizontal Well Collapse with Multiple Weak Faces. Nat. Gas Ind. 2014, 34, 87–93. [Google Scholar]
- Wang, B.; Sun, J.; Shen, F.; Li, W.; Zhang, W. Mechanism of wellbore instability in continental shale gas horizontal sections and its water-based drilling fluid countermeasures. Nat. Gas Ind. B 2020, 7, 680–688. [Google Scholar]
- Zhang, G.; Zhang, J.; Zhao, Y.; Lv, J.; Cheng, X.; Yang, H.; Lu, G.; Ma, M. Main control factors for the enrichment of interbedded shale oil in the two section of Qingshankou Formation in Qijia area of northern Songliao Basin. Pet. Geol. Dev. 2019, 38, 143–150. [Google Scholar]
- Wang, Y.; Liang, J.; Zhang, J.; Zhao, B.; Zhao, Y.; Liu, X.; Xia, D. Resource potential and exploration direction of shale oil in Gulong of Songliao Basin. Pet. Geol. Dev. 2020, 39, 15. [Google Scholar]
- Chenevert, M.E. Shale alteration by water adsorption. J. Pet. Technol. 1970, 22, 141–148. [Google Scholar] [CrossRef]
- Van Oort, E. On the physical and chemical stability of shales. J. Pet. Eng. 2003, 38, 213–235. [Google Scholar] [CrossRef]
- Hale, A.H.; Mody, F.K.; Salisbury, D.P. Influence of chemical potential on wellbore stability. SPE Drill. Completion 1993, 8, 207–216. [Google Scholar] [CrossRef]
- Deng, F. Study on the Law of Drilling Fluid Invading Shale Formation and Its Influence on Wellbore Stability; Southwest Petroleum University: Chengdu, China, 2019. [Google Scholar]
- Chen, G.; Ewy, R.T.; Yu, M. Analytic solutions with ionic flow for a pressure transmission test on shale. J. Pet. Sci. Eng. 2010, 72, 158–165. [Google Scholar] [CrossRef]
- Oort, E.V.; Hale, A.H.; Mody, F.K.; Roy, S. Critical parameters in modeling the chemical aspects of borehole stability in shales and in designing improved water based shale drilling fluids. J. Pet. Technol. 1994, 171–186. [Google Scholar]
- Xiang, C.; Chen, J.; Yang, G. Experiment on strength characteristics of brittle shale under drilling fluid immersion. Fault Block Oil Gas Field 2018, 25, 803–806. [Google Scholar]
- Wang, J. Study on the Mechanochemical Coupling Model of Shale Wellbore Stability; China University of Petroleum: Beijing, China, 2007. [Google Scholar]
- Lu, Y.; Chen, M.; Yuan, J.; Jin, Y.; Teng, X. Instability mechanism of inclined shaft in anisotropic stratum. Acta Pet. Sin. 2013, 34, 563–568. [Google Scholar]
- Zhang, W.; He, S.; Guo, Q. Prediction method and prospect of seismic data pressure. Adv. Geophys. 2005, 20, 814–817. [Google Scholar]
- Keyes, D.E.; Mcinnes, L.C.; Woodward, C.; Gropp, W.; Myra, E.; Pernice, M.; Bell, J.; Brown, J.; Clo, A.; Connors, J.; et al. Multiphysics Simulations Challenges and opportunities. In Proceedings of the IEEE International Conference on High Performance Computing, Data, and Analytics, Bengaluru, India, 18–21 December 2013. [Google Scholar]
- Zhang, H.; Guo, J.; Lu, J.; Li, F.; Xu, Y.; Downar, T.J. An Assessment of Coupling Algorithms in HTR Simulator TINTE. Nucl. Sci. Eng. J. Am. Nucl. Soc. 2018, 190, 287–309. [Google Scholar] [CrossRef]
- Fernández, M.A.; Moubachir, M. A Newton method using exact jacobians for solving fluid–structure coupling. Comput. Struct. 2005, 83, 127–142. [Google Scholar] [CrossRef]
- Roatei, S. On the variational formulation of a chemically active shale constitutive model. Proc. Rom. Acad. Ser. A 2010, 11, 116–124. [Google Scholar]
- Sarout, J.; Detournay, E. Chemoporoelastic analysis and experimental validation of the pore pressure transmission test for reactive shales. Int. J. Rock Mech. Min. Sci. 2011, 48, 759–772. [Google Scholar] [CrossRef]
- Li, J.; Liu, G.; Chen, M. A new stress model of rock around the wellbore in orthotropic stratum. J. Rock Mech. Eng. 2011, 30, 2481–2485. [Google Scholar]
- Zhang, S.; Wang, H.; Qiu, Z.; Cao, W.; Huang, H.; Chen, Z. Calculation method of safety density window of fluid-solid-chemical coupling in shale wellbore wall. Pet. Explor. Dev. 2019, 46, 1197–1205. [Google Scholar]
- Biot, M.A. Theory of Elasticity and Consolidation for a Porous Anisotropic Solid. J. Appl. Phys. 1955, 26, 182–185. [Google Scholar] [CrossRef]
- Rice, J.R.; Cleary, M.P. Some Basic Stress Diffusion Solutions for Fluid-Saturated Elastic Porous Media with Compressible Constituents. Rev. Geophys. Space Phys. 1976, 14, 227–241. [Google Scholar] [CrossRef]
- Xiao, Z. Study and Application of Fluid-Solid-Chemical Coupling Model of Hard and Brittle Shale Wellbore Wall Stability; Yangtze University: Wuhan, China, 2020. [Google Scholar]
- Ma, T.; Zhang, Y.; Qiu, Y.; Liu, Y.; Chen, P. Risk assessment method of inclined shaft instability based on reliability theory. Acta Pet. Sin. 2021, 42, 1486–1498. [Google Scholar]
- Xiao, Z.; Jia, S.; Qi, X.; Dai, Y.; Lv, F.; Jia, L.; Wen, C. Discussion on progressive failure effect of hard and brittle shale wellbore wall under fluid-solid-chemical coupling condition. J. Cent. South Univ. Nat. Sci. Ed. 2019, 50, 2464–2480. [Google Scholar]
- Ma, T. Study on the Mechanism of Wellbore Collapse and Instability of Shale Gas Horizontal Wells; Southwest Petroleum University: Chengdu, China, 2015. [Google Scholar]
- Ding, L.; Wang, Z.; Lu, J.; Sun, Y. Stability model of inclined wellbore wall in layered strata based on Mogi-Coulomb strength criterion of surrounding rock ontology. J. Rock Mech. Eng. 2017, 36, 622–632. [Google Scholar]
- Yan, C.; Deng, J.; Wei, B.; Tan, Q.; Deng, F.; Zhu, H.; Hu, L.; Chen, Z. Study on wellbore collapse pressure of shale gas reservoir. J. Rock Mech. Eng. 2013, 32, 1595–1602. [Google Scholar]
- Guang, X.; Chen, Z.; Liu, X.; Wang, Y.; Si, N. Study on wellbore stability of rational shale formation under triaxial stress. Sci. Technol. Eng. 2015, 15, 54–57. [Google Scholar]
- Chen, J. Evaluation method of drilling fluid wellbore stability for hard and brittle shale. Oilfield Chem. 2018, 35, 151–156. [Google Scholar]





| Method | Well | Stratum | Depth (m) | Vertical Stress Gradient (MPa) | Maximum Horizontal Geostress Gradient (MPa) | Minimum Horizontal Geostress Gradient (MPa) | Angle with Marking Line (°) | Marking Line Direction (°) | The Maximum Horizontal Geostress Direction (°) |
|---|---|---|---|---|---|---|---|---|---|
| Paleomagnetic directional experiment combined with differential strain analysis | G693-66-S68 | Q1 | 2319.54–2319.67 | 58.7 | 43.1 | 34.8 | 121° | N219° E | N98° E |
| Q1 | 2325.45–2325.60 | 54.2 | 44.2 | 37.0 | 86° | N207° E | N121° E | ||
| Q2, Q3 | 2277.56–2277.71 | 54.9 | 42.8 | 37.4 | −84° | N49° E | N133° E | ||
| Q2, Q3 | 2234.85–2235.01 | 54.7 | 43.6 | 36.0 | 35° | N163° E | N128° E | ||
| Kaiser effect measurement method of acoustic emission | GX7091 | Q1 | 2247.98–2248.10 | 56.2 | 42.7 | 36.6 | −66° | N30° E | N96° E |
| Q1 | 2269.75–2269.87 | 57.1 | 42.0 | 37.0 | 92° | N204° E | N112° E | ||
| Q1 | 2260.94–2261.07 | 56.8 | 42.7 | 36.2 | 93° | N197° E | N104° E |
| Core Number | Stratum | Coring Depth (m) | Loading Direction | Cohesion (MPa) | Internal Friction Angle (°) | Internal Friction Coefficient |
|---|---|---|---|---|---|---|
| 12 | Q1 | 2275.17–2275.31 | Parallel foliation | 11.386 | 12.95 | 0.230 |
| 25 | Q1 | 2317.79–2317.91 | Vertical foliation | 22.464 | 13.06 | 0.232 |
| 28 | Q1 | 2305.75–2305.90 | Foliation of 30° | 15.698 | 7.57 | 0.133 |
| 39 | Q1 | 2302.31–2302.47 | Foliation of 45° | 8.338 | 6.39 | 0.112 |
| 29 | Q1 | 2345.27–2345.39 | Foliation of 60° | 4.775 | 4.40 | 0.077 |
| Drilling Fluid | Coring Direction | Depth (m) | Soaking Time (d) | Rock Mechanics Parameter | ||
|---|---|---|---|---|---|---|
| Triaxial Compressive Strength (MPa) | Elastic Modulus (MPa) | Poisson’s Ratio | ||||
| Water-based | Horizontal | 2326.61–2326.79 | 0 | 65.658 | 12,199.4 | 0.172 |
| 2 | 43.326 | 7155.2 | 0.195 | |||
| Vertical | 2317.79–2317.91 | 0 | 93.678 | 6567.3 | 0.178 | |
| 2 | 81.321 | 10,347.7 | 0.213 | |||
| Oil-based | Horizontal | 2326.61–2326.79 | 0 | 65.658 | 12,199.4 | 0.172 |
| 10 | 53.262 | 12,589.5 | 0.174 | |||
| Vertical | 2317.79–2317.91 | 0 | 93.678 | 6567.3 | 0.178 | |
| 10 | 77.450 | 13,453.3 | 0.145 | |||
| Formula | Apparent Viscosity/mPa·s | Static Shear Force/Pa | Plastic Viscosity/mPa·s | Dynamic Shear Force/Pa | Demulsification Voltage/V | |||
|---|---|---|---|---|---|---|---|---|
| Φ600/Φ300 | Φ200/Φ100 | Φ6/Φ3 | Initial Shear Force | Final Shear Force | ||||
| Base drilling fluid | 28/18 | 14/10 | 4/3 | 2 | 3 | 10 | 4 | 699 |
| Base drilling fluid + 2% wetting agent | 26/17 | 13/9 | 4/3 | 2 | 3 | 9 | 4 | 702 |
| Weighted drilling fluid | 86/55 | 42/29 | 10/9 | 5 | 9 | 31 | 12 | 912 |
| Weighted drilling fluid + 2% wetting agent | 77/50 | 37/26 | 9/8 | 4 | 8 | 27 | 11.5 | 997 |
Publisher’s Note: MDPI stays neutral with regard to jurisdictional claims in published maps and institutional affiliations. |
© 2022 by the authors. Licensee MDPI, Basel, Switzerland. This article is an open access article distributed under the terms and conditions of the Creative Commons Attribution (CC BY) license (https://creativecommons.org/licenses/by/4.0/).
Share and Cite
Ai, X.; Chen, M. Wellbore Stabilization Technology of “Fluid-Solid-Chemical Coupling” in Continental Shale Oil—A Case Study of Shale Oil in Block GL. Energies 2022, 15, 6962. https://doi.org/10.3390/en15196962
Ai X, Chen M. Wellbore Stabilization Technology of “Fluid-Solid-Chemical Coupling” in Continental Shale Oil—A Case Study of Shale Oil in Block GL. Energies. 2022; 15(19):6962. https://doi.org/10.3390/en15196962
Chicago/Turabian StyleAi, Xin, and Mian Chen. 2022. "Wellbore Stabilization Technology of “Fluid-Solid-Chemical Coupling” in Continental Shale Oil—A Case Study of Shale Oil in Block GL" Energies 15, no. 19: 6962. https://doi.org/10.3390/en15196962
APA StyleAi, X., & Chen, M. (2022). Wellbore Stabilization Technology of “Fluid-Solid-Chemical Coupling” in Continental Shale Oil—A Case Study of Shale Oil in Block GL. Energies, 15(19), 6962. https://doi.org/10.3390/en15196962
