Abstract
Single-row double-jet film cooling (DJFC) of a turbine guide vane is numerically investigated in the present study, under a realistic aero-thermal condition. The double-jet units are positioned at specific locations, with 57% axial chord length (Cx) on the suction side or 28% Cx on the pressure side with respect to the leading edge of the guide vane. Three spanwise spacings (Z) in double-jet unit (Z = 0, 0.5d, and 1.0d, here d is the film hole diameter) and four spanwise injection angles (β = 11°, 17°, 23°, and 29°) are considered in the layout design of double jets. The results show that the layout of double jets affects the coupling of adjacent jets and thus subsequently changes the jet-in-crossflow dynamics. Relative to the spanwise injection angle, the spanwise spacing in a double-jet unit is a more important geometric parameter that affects the jet-in-crossflow dynamics in the downstream flowfield. With the increase in the spanwise injection angle and spanwise spacing in the double-jet unit, the film cooling effectiveness is generally improved. On the suction surface, DJFC does not show any benefit on film cooling improvement under smaller blowing ratios. Only under larger blowing ratios does its positive potential for film cooling enhancement start to show. Compared to the suction surface, the positive potential of the DJFC on enhancing film cooling effectiveness behaves more obviously on the pressure surface. In particular, under large blowing ratios, the DJFC plays dual roles in suppressing jet detachment and broadening the coolant jet spread in a spanwise direction. With regard to the DJFC on the suction surface, its main role in film cooling enhancement relies on the improvement of the spanwise film layer coverage on the film-cooled surface.
1. Introduction
Film cooling has been widely applied to the highly-efficient thermal protection of guide vanes in modern gas turbines [1]. As the gas turbines advance, the turbine inlet temperature will be progressively elevated such that the thermal-protection requirement becomes more critical. To ensure the guide vanes work reliably under crucial aero-thermal conditions without significant deterioration, developing more efficient film cooling schemes is a necessity.
Researchers have devoted tremendous efforts to explore effective strategies for enhancing film cooling performance, either in passive or active mode [2,3]. The innovation of shaped holes is regarded as the most inspiring advancement [4]. Through shaped film cooling holes, the jet injection is modified and subsequently, the flow dynamics of jet-in-crossflow, which is attributed to the cancellation of the kidney vortex pair or counter-rotating vortex pair (CVP) that originates from the mutual interaction of the ejecting jet with oncoming crossflow. It is well known that the earlier exploration of shaped holes was initialized in the middle of the 1970s. The preliminary investigation of Goldstein et al. [5] demonstrated that a fan-shaped hole could produce a marked film cooling improvement on the immediate downstream surface. Following this acceptance, fan-shaped hole film cooling attracted much attention during the past decades. For instance, Thole et al. [6] presented a detailed flowfield measurement for the coolant injection from shaped holes with expanded exits. Gritsch et al. [7,8] experimentally investigated the geometric influence of fan-shaped holes on film cooling performances. Lee and Kim [9] conducted a single-objective geometric optimization study of fan-shaped hole film cooling with the aim of increasing cooling effectiveness. Saumweber and Schulz [10] researched the effect of the geometric parameters of fan-shaped holes on the film cooling performance. These further investigations illustrated clearly the dominate dynamic flow features of fan-shaped hole film cooling, including less coolant-mainstream shear mixing, less coolant-jet penetration into the mainstream, and wider coolant-jet lateral spread relative to the conventional hole. Despite the widespread use in practical, the challenging subjects in multi-parameter influence and multi-objective optimization of fan-shaped hole film cooling remain unexamined so far. More recently, Huang et al. [11] performed a multi-objective optimization of the laidback fan-shaped hole as applied to the turbine guide suction surface by taking the film cooling effectiveness and the discharge coefficient into consideration. Lenzi et al. [12] revealed the unsteady flowfield characterization of a shaped-hole effusion system in the swirling mainstream from detailed experimental tests. Kim et al. [13] investigated the influence of fan-shaped hole position and jet-to-crossflow density ratio on the film cooling performance. Baek et al. [14] performed a numerical study to deeply reveal the inherent flow dynamics of fan-shaped hole film cooling by using the large eddy simulation methodology. Lee et al. [15] optimized the fan-shaped hole using experimental methods, wherein the influence of primary flow velocity on the optimization was examined. Based on the fan-shaped holes, many innovative film cooling holes were suggested in recent years (e.g., arrowhead hole [16], NEKOMIMI hole [17], crescent hole [18], dumbbell hole [19], ridge hole [20], tripod hole [21], slot-similar hole [22], etc.), aiming at the possible solutions to approach the ideal art of film cooling. Although these innovative shaped holes have been confirmed to indeed play positive roles in improving film cooling effectiveness, they generally face fabrication and feasibility problems in engineering application due to their complex geometries. From this viewpoint, apparently, developing more realistic film cooling enhancement configurations is of more practical significance.
The double-jet film cooling configuration, referred as DJFC, is a simply constructed combined-hole configuration, wherein two film cooling holes with opposite orientation angles are integrated in a unit. On account of its realistic fabrication, DJFC gained much attention recently. Kusterer and his partners conducted a succession of investigations on the DJFC. Initially, they tried different spanwise spacings of the DJFC holes under a series of blowing ratios [23,24] and proved that the DJFC has the potential to produce an anti-kidney vortex pair. However, at this stage, some of the structures they tried were unsuccessful. For example, a “negative” spanwise spacing would significantly reduce the cooling effectiveness. Soon they discovered the reasonable double-jet structures and conducted further research with the use of these structures under both low and high blowing ratios [25,26]. They concluded that the DJFC with an appropriate design could form an anti-CVP structure to effectively alleviate the adverse CVP effect. As the double jets were arranged with opposite orientation angles, the compound injection angle was identified to be a crucial geometric parameter that affected the film cooling characteristics. Wang et al. [27] investigated the influence of streamwise spacing in a double-jet unit on film cooling performance. It was found that a larger streamwise spacing helps the formation of the anti-CVP structure and thus the improvement of film cooling effectiveness. Han et al. [28] studied the DJFC by using pressure sensitive paint technology and numerical simulation. It was demonstrated that the anti-CVP structure formed in the DJFC was tightly associated with the double-jet pitch and the compound injection angle, wherein the former affected the interaction and the latter affected the strength of each branch of the anti-kidney vortexes. Choi et al. [29] and Lee et al. [30] carried out an optimization of the DJFC configurations by selecting four variables (spanwise and streamwise distances between film-hole centers, and respective spanwise injection angles) as design variables. The cooling performance was optimized with the increase in the spanwise injection angle, attributed to a wider spanwise spreading of coolant coverage. Khalatov et al. [31] experimentally studied the influence of primary flow turbulence and pressure gradient on the DJFC. From the test results, they concluded that the double-jet scheme is superior to the traditional two-row scheme. An increase of about 20% of the averaged cooling effectiveness could be achieved under low and moderate blowing ratios. In general, the primary flow turbulence had a weak influence on the average cooling effectiveness of the DJFC, but the favorable streamwise pressure gradient could reduce the average film cooling effectiveness by about 25%. Graf and Kleiser [32] performed an LES study to determine the influence of the coolant injection condition and yaw angle on the thermal and aerodynamic performances of the DJFC. They identified that the increase in the yaw angle helped to improve the spanwise spread of the coolant jet. However, the far downstream film cooling effectiveness was reduced and the mixing loss increased. It should be noted that their research was mainly carried out under the double-jet layout with zero spanwise spacing. Yao et al. [33,34] performed experimental studies to determine the influence of spanwise spacing and streamwise spacing of double-jet unit on the film cooling performance. They reported that the spanwise distance greatly influenced the range of lateral coverage. Under moderate spanwise distances, the anti-kidney vortex effect more clearly dominated, whereas this anti-kidney vortex effect was weaker under a larger spanwise distance. Furthermore, the influence of streamwise spacing on the DJFC was tightly associated with the spanwise spacing. He et al. [35] studied the influence of the primary flow attack angle on the DJFC. It was found that larger negative attack angles of primary flow generally had an adverse influence on double-jet film cooling because of the limited lateral coverage. Liao et al. [36] performed an investigation to determine the surface curvature influence on the DJFC. Compared to the flat surface, the film cooling effectiveness of the DJFC on a convex surface increased, but the situation was opposite on a concave surface under low blowing conditions. The appropriate blowing ratio varied in accordance with the surface curvature. In general, in the DJFC, the main geometric parameters that significantly affected film cooling performance were the compound injection angle and spanwise and streamwise pitches of the double-jet unit.
As far as we know, most of the previous investigations on the DJFC were performed on a flat surface. However, the film cooling performance is significantly influenced by the surface curvature and pressure gradient of the primary flow passage. Apparently, the assessment of shaped-hole film cooling on its potential use in real gas turbines is an obligatory issue. Although the effects of major variables in the DJFC have been extensively investigated, little attention has been paid to DJFC application in gas turbine vanes. Aiming at this issue, a numerical investigation is conducted in the current study to provide more detailed insight into the DJFC roles in the application of a turbine guide vane under the high-temperature and high-pressure conditions of gas turbines. From this work, the influence of the blowing ratio, spanwise injection angle, and spanwise spacing in a double-jet unit on film cooling performance is illustrated. Of particular, the different influential roles of the DJFC on the suction and pressure surfaces of a specific guide vane are identified.
2. Computational Procedures
2.1. Brief Description of the Physical Model
The simulated turbine guide vane was simply treated as a linear two-dimensional vane without considering its complicated contours. Its sectional profile was extracted from the mid-span of a real gas turbine guide vane, referring to Zhu et al. [37], as schematically displayed in Figure 1a. The main geometric parameters are listed in Table 1, including the chord length (C), axial chord length (Cx), cascade pitch (Pvane), inflow angle (φ), orientation angle (θ), and segment height in the computational domain. In this study, the baseline case was set by positioning a single row of cylindrical holes at specific streamwise locations, with 57% Cx on the suction side or 28% Cx on the pressure side with respect to the leading edge of guide vane, as displayed in Figure 1a. With regard to the DJFC, the cylindrical hole was replaced by the double-jet unit, wherein the streamwise location of the rear-hole outlet was kept the same with the baseline case, as displayed in Figure 1b.
Figure 1.
Schematic of the turbine guide vane and coolant injection position. (a) turbine guide vane, (b) coolant injection position on the vane surface.
Table 1.
Main parameters of the turbine guide vane.
Figure 2 shows the schematic layout of the double-jet unit, wherein the double jets are arranged with opposite orientation angles. The geometric parameters in the DJFC configuration include the hole diameter (d), hole height (t), streamwise injection angle (α) and spanwise injection angle (β) with respect to each hole, streamwise spacing (X) and spanwise spacing (Z) between staggered holes, and the hole-to-hole pitch of adjacent double-jet units (P). In this work, two key geometric parameters (β and Z) were selected as the variable parameters for consideration, as they have been well demonstrated to be the main influential parameters in the DJFC. The other geometric parameters were kept constant, such as d = 0.8 mm, t/d = 2.5, P/d = 3, X/d = 3, and α = 30°. All of the geometric parameters in the DJFC are summarized in Table 2, wherein four spanwise injection angles (β = 11°, 17°, 23°, and 29°) and three spanwise spacings (Z/d = 0, 0.5, and 1.0) were taken into consideration. For the purpose of comparison, the film-hole diameter in the baseline case was set to d to ensure that it had the same equivalent film-hole outlet area as that of the double-jet unit. As displayed in Figure 2, the coordinate system originated at the crossing point between the line linking the centers of rear-hole outlets (related to the leading edge of the guide vane) and the middle line of the spanwise spacing. This origin was the center of cylindrical hole in the baseline case. The x-direction (also s-direction along the respective surface) denoted the streamwise direction; y- and z- directions denoted the normal direction and spanwise direction, respectively.
Figure 2.
Schematic layout of the DJFC holes.
Table 2.
Main geometric parameters in the DJFC.
2.2. Computational Model
On account that the cascade flow was of periodicity, one cascade pitch was considered, as schematically shown in Figure 3. In addition, a segment of guide vane was selected as the spanwise size of computational domain, wherein one pitch of adjacent double-jet units was included, by defining the spanwise-end sections as the periodic boundaries. The plenum-fed mode was adopted to supply cooling air for coolant jet injection. In accordance with the current computational domain, the boundary conditions included the inlet and outlet of cascade flow, inlet of coolant flow, film-cooled surface, and the periodic boundaries that enclose the computational domain. They are briefly summarized as follows.
Figure 3.
Schematic diagram of the computational domain.
Cascade channel: the cascade inlet that was located at a position 1.0 Cx upstream of the guide vane leading edge. At the cascade inlet, a velocity-inlet condition was applied, corresponding to a specified mainstream Reynolds number of Re∞ = 425,000, as defined in Equation (1). The total inlet temperature of the mainstream (Tt,∞) was 2100 K. Referring to Ragab and El-Gabry [38], the turbulence intensity level was selected as 8% under engine-representative conditions. The cascade outlet was set downstream the guide vane trailing edge, with an axial distance of 1.5 Cx. At the cascade outlet, a constant static pressure (pout) of 1.3 MPa was applied.
where ρ∞ is the mainstream density, u∞ is the mainstream inlet velocity, and μ∞ is the mainstream dynamic viscosity.
Coolant plenum: the coolant-plume inlet was set as the mass-flow inlet condition. It was set in accordance with the required blowing ratio (M), as defined in Equation (2). The coolant had a total temperature (Tt,c) of 900 K and a turbulence intensity level of 5%. In the present study, four blowing ratios were considered. They were 0.5, 1.0, 1.5, and 2.0.
where ρc is the coolant density, and uc is the bulk-average coolant jet injection velocity.
Periodic planes: on the periodic planes that enclosed the computational domain, the periodic boundary condition was applied.
Film-cooled surface: on the film-cooled surface, both the adiabatic thermal boundary condition and the no-slip flow boundary condition were applied.
2.3. Computational Methodology and Validation
Numerical simulations were conducted with the use of Fluent-CFD solver [39], wherein 3-D steady-state Reynolds-average N-S equations together with turbulence transport equations were solved. The SIMPLEC algorithm was adopted for the treatment of pressure-velocity coupling. The second-order upwind scheme and the central differencing scheme were used for the spatial discretization of convection terms and diffusion terns in the governing equations, respectively. On account of a compressible effect, an ideal air approach was applied for the working fluid, with the uses of ideal-gas-based density, Sutherland law-based viscosity, Kinetic theory-based specific heat, and thermal conductivity in the computations. Referring to previous works (e.g., Ely and Jubran [40], Silieti et al. [41], Balasubramaniyan and Jubran [42], Zhu et al. [43]), the realizable k-ε turbulence model was adopted in the present study. The computation process was regarded to be convergent when the residual descended to five orders of magnitude.
Based on the computed film-cooled surface temperature under thermally adiabatic film-cooled conditions (Taw), the adiabatic film cooling effectiveness was determined as:
where T∞ and Tc are the respective static temperatures of primary flow and coolant flow at their respective inlets.
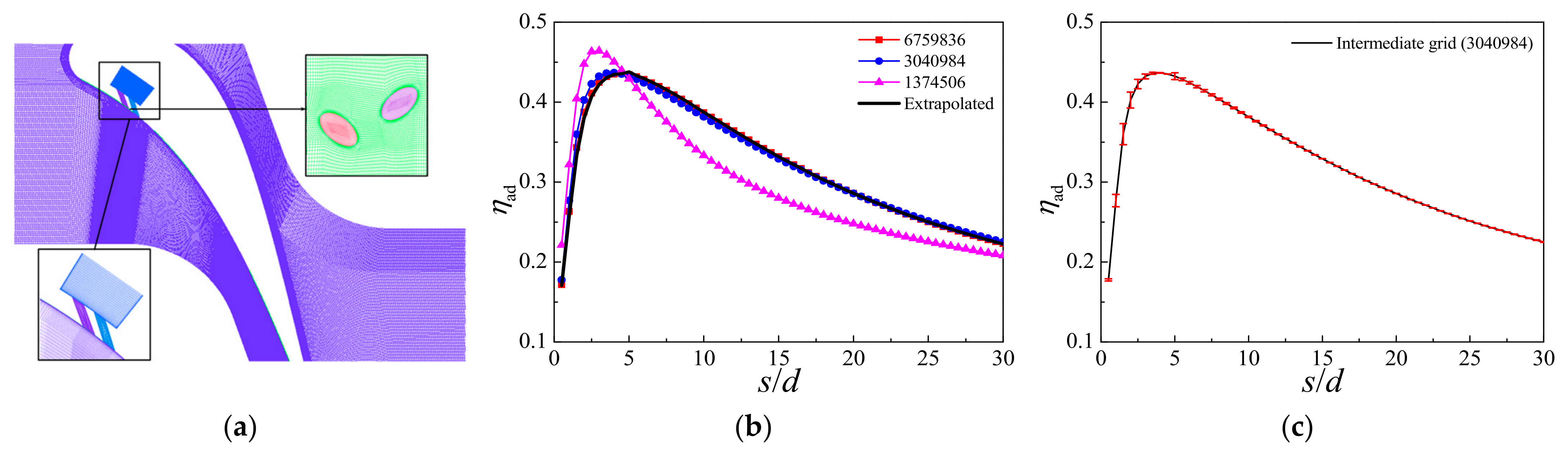
In the entire computational domain, multi-block meshes were generated in different computational zones, such as the cascade channel, coolant chamber, and film holes. Figure 4a shows the local meshes in the film-hole center-line section and in the vicinity of the double-jet unit. Viscous clustering was applied to the near-wall zone of the guide vane to ensure that y+ was less than unity. In the present study, the grid independence and numerical uncertainty were evaluated in advance with the use of the grid convergence index method (GCI) [44] by applying three sample grid systems (coarse, intermediate, and fine). Figure 4b displays the center-line ηad distributions with the uses of three sets of grids and the extrapolated curve. Figure 4c presents the discretization error bars along with the intermediate-grid solution. When the grid number exceeded 3.0 million, the numerical simulation was not sensitive to the grid number. Therefore, the final computational mesh set was selected with approximately 3.0 million grids. In this situation, the maximum discretization error was less than 5%.
Figure 4.
Representative meshes and grid independence test. (a) computational meshes, (b) adiabatic film cooling effectiveness along the centerline, (c) intermediate grid solution with discretization error bars.
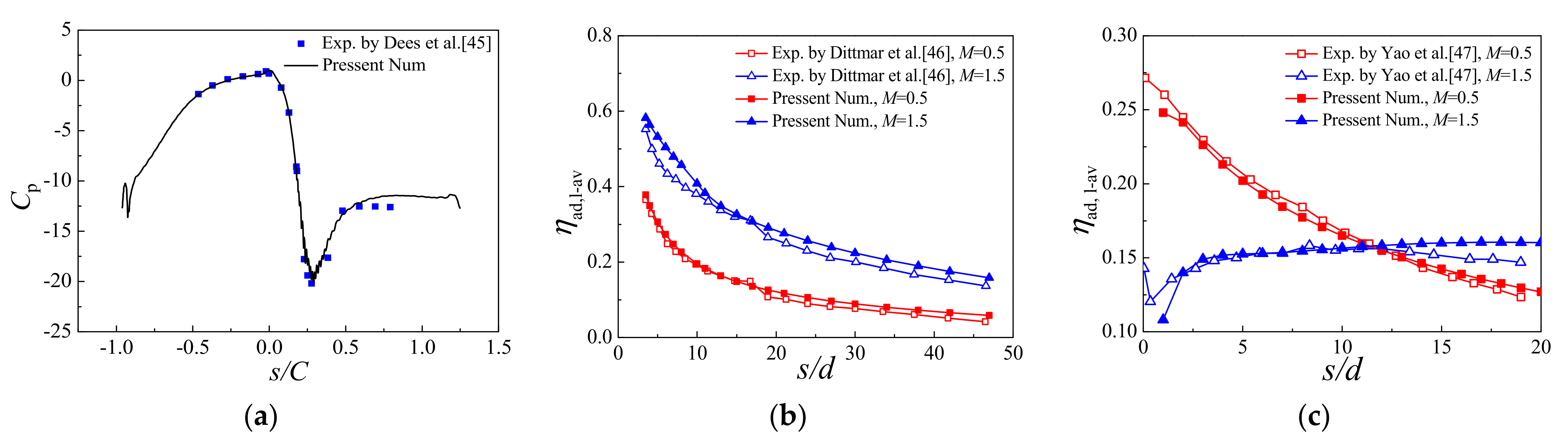
Three examples were selected to validate the computational scheme in advance against the published experimental results. The first example was selected to validate the static pressure distribution simulation against a scaled turbine guide vane model test performed by Dees et al. [45], as displayed in Figure 5a. The static pressure coefficient is defined as , where ps and pt∞ are the static pressure on the guide vane surface and the total pressure of the mainstream at the entrance. It was found that the simulation agreed well with the experimental result. The second example was selected to validate the simulation of ηad against a scaled fan-shaped-hole film-cooled guide vane test model presented by Dittmar et al. [46], as displayed in Figure 5b. The last example was the DJFC on a flat plat presented by Yao et al. [47], as displayed in Figure 5c. It was confirmed that the current simulation with the use of a realizable k-ε turbulence model presented a better prediction of the film cooling performance. In comparison with the experimental results, the relative deviation of numerical prediction was generally less than 7%.
Figure 5.
Validation of the computational scheme. (a) static pressure coefficient distribution, (b) fan-shaped hole film cooling on the pressure side, (c) DJFC on a flat surface.
3. Results and Discussion
3.1. DJFC on the Pressure Surface
Figure 6 presents local ηad contours on the pressure surface downstream film cooling holes, for a specific double-jet layout with β = 29° and Z/d = 1.0. For the DJFC, local ηad distribution immediately behind the front-hole (relative to the leading edge of the turbine guide vane) was very similar to the single compound-angle hole film cooling before the front jet interacted with the rear jet. When two coolant jets merged together in the downstream flow field, the cooling film coverage in the spanwise direction broadened rapidly, taking on a “branched” feature along the streamwise direction. At M = 0.5, the local film cooling effectiveness in the vicinity of film cooling holes was higher, as found Figure 6a. As the ejecting jets with a small blowing ratio have a weaker normal penetration momentum, they would remain closer to the downstream surface nearby the film cooling holes, as displayed in Figure 7a with the use of definition of Θ = (T − Tc)/(T∞ − Tc). At this blowing ratio, only one pair of vortices was observed on the left side of z/d = 0 (negative z-direction), corresponding to the rear jet of double jets. On the right side (positive z-direction) in the DJFC, the kidney-like vortex was seriously destroyed due to the interaction between double jets. At M = 1.5, as the coolant jets had stronger injection momentum, a stronger normal penetration would occur in the double-jet film cooling. As displayed in Figure 8a, two pairs of counter-rotating vortices were clearly observed in the immediate downstream section of s/d = 3. Each individual pair of vortices retained a kidney-vortex feature, but took on an asymmetric distribution. It was also seen that the scale of the kidney-vortex on the left side of z/d = 0 was distinct from that on the right side in the DJFC. As the kidney-like vortex on the right side was generated from the front jet of the double-jet unit, in the same streamwise location, it developed with a longer distance compared to the rear jet. Farther downstream the film cooling holes, two pairs of counter-rotating vortexes gradually coupled together to form a single pair of counter-rotating vortices, as displayed in Figure 8b–d. Interestingly, although these central vortices in the DJFC were similar to the conventional kidney vortices of a single jet, their rotational directions were completely opposite with respect to the conventional kidney vortices originating from a baseline cylindrical hole (as displayed in Figure 9). For the cylindrical hole with compound injection angles, the flow field will not form a symmetric kidney vortex pair. Due to the existence of the compound angle, the branch of the vortex facing the mainstream will be weakened upon the impact of the mainstream. At the same time, the branch facing away from the mainstream will be strengthened by the mainstream, thus forming an asymmetric vortex pair. The flow field of the DJFC coolant jet can be considered the combination of flow fields caused by two ‘individual’ cylindrical holes with opposite compound angles. It was composed of two asymmetric vortex pairs, and the outer branches of these two vortex pairs quickly disappeared upon the impact of mainstream. As a result, only one anti-kidney-shaped vortex pair was left in the far downstream flow field. By observing the secondary flow field of the anti-kidney vortex pair on a series of cross-sections along the mainstream direction, it can be seen that in the middle area of the anti-kidney vortex pair, the cooling air flowed towards the surface. At the bottom of anti-kidney vortex pair, the cooling air was pushed towards the outside of the vortex pair, which not only prevented the high-temperature mainstream from moving to the bottom of the anti-kidney vortex pair, but also increased the coverage area of the film layer on the wall surface. Therefore, dominated by these anti-kidney vortices, the normal penetration of coolant jets in the far downstream position was suppressed effectively. Even at a large blowing ratio, the detachment of coolant jet from the film-cooled surface could be eliminated in the DJFC, by comparing Figure 8d and Figure 9d. At the same time, as the coolant jets with a higher blowing ratio had a stronger injection momentum, so their downward spreading capacity was enhanced. As a consequence, among the current range of blowing ratios, the film layer coverage on the far downstream surface increased with the increase in the blowing ratio in the DJFC, as demonstrated in Figure 6.
Figure 6.
Local film cooling effectiveness distribution on the pressure surface for DJFC with β = 29° and Z/d = 1.0. (a) M = 0.5, (b) M = 1.0, (c) M = 1.5, (d) M = 2.0.
Figure 7.
Dimensionless temperature contours and streamlines in downstream normal sections on the pressure side for DJFC under M = 0.5. (a) s/d = 3, (b) s/d = 6, (c) s/d = 9, (d) s/d = 15.
Figure 8.
Dimensionless temperature contours and streamlines in downstream normal sections on the pressure side for DJFC under M = 1.5. (a) s/d = 3, (b) s/d = 6, (c) s/d = 9, (d) s/d = 15.
Figure 9.
Dimensionless temperature contours and streamlines in downstream normal sections on the pressure side for cylindrical holes under M = 1.5. (a) s/d = 3, (b) s/d = 6, (c) s/d = 9, (d) s/d = 15.
For the DJFC, because of the additional interaction between double jets, the flow dynamics of jet-in-crossflow are tightly affected by the layout of double jets. To illustrate the effects of the spanwise injection angle and spanwise spacing in a double-jet unit, Figure 10 displays the streamlines and dimensionless temperature contours in the specified downstream normal sections of s/d = 3 and s/d = 6 for two typical double-jet units under M = 1.5. Combined with Figure 8, it is distinctly demonstrated that vortical structures of the DJFC behind the film cooling holes varied significantly in accordance with the spanwise injection angle and spanwise spacing. When the double jets were aligned with zero spanwise spacing (Z/d = 0), the development of the vortical structure originated from the front jet would be more seriously affected by the rear jet. On the contrary, the coolant jet ejected from the rear hole would also be affected seriously by the front jet. For this cause, in this situation, the near field behind the film cooling holes was mainly dominated by a single central vortex, as displayed in Figure 10a. Seen from Figure 11 wherein the streamwise vortices distributions are displayed, this single central vortex dominated nearly the entire downstream flow field (as demonstrated in Figure 11b). With the increase in spanwise spacing in the double-jet unit, the interaction between double jets would be alleviated such that the anti-kidney vortices are able to generate. As displayed in Figure 11c, in the situation of Z/d = 0.5 and β = 29°, the anti-kidney vortices were identified. When compared to the situation of Z/d = 1.0 and β = 29° (as seen in Figure 11d), the scale of vortices in situation of Z/d = 0.5 and β = 29° was smaller. In general, when the double jets were arranged with a spanwise spacing of Z/d = 1.0, two pairs of counter-rotating vortices would form at the near field behind the film cooling holes, regardless of the coolant injection angle. However, if the spanwise injection angle is small, these two pairs of counter-rotating vortices cannot easily merge together along the streamwise direction, as displayed in Figure 10b and Figure 11e.
Figure 10.
Dimensionless temperature contours and streamlines in downstream normal sections on the pressure side for two typical situations under M = 1.5. (a) Z/d = 0, β = 29°, (a-1) s/d = 3, (a-2) s/d = 6; (b) Z/d = 1.0, β = 11°, (b-1) s/d = 3, (b-2) s/d = 6.
Figure 11.
Streamwise vorticity distributions in downstream normal sections for some situations under M = 1.5. (a) cylindrical hole, (b) Z/d = 0, β = 29°, (c) Z/d = 0.5, β = 29°, (d) Z/d = 1.0, β = 29°, (e) Z/d = 1.0, β = 11°.
From the flow dynamics of jet-in-crossflow in the DJFC as mentioned above, it is conjectured that the layout of double jets would significantly affect the DJFC performance. Figure 12 displays the dimensionless temperature contours in downstream normal sections as well as film-cooled surface on the pressure side under M = 0.5. At a small blowing ratio, the coolant jet ejecting from cylindrical hole generally demonstrated good attachment on the downstream surface, as displayed in Figure 12a. Therefore, the positive role of the DJFC on suppressing coolant-jet detachment was conjectured to be weakly reflected, although the vortical structures were altered. For the DJFC, when the spanwise spacing in double-jet unit was zero, the coolant jet spreading in spanwise direction as well as the film layer coverage was nearly the same as that in the cylindrical hole film cooling, as seen in Figure 12b. With the increase in spanwise spacing in the double-jet unit, the coolant jet spreading in the spanwise direction as well as the film layer coverage on the downstream surface broadened gradually, as demonstrated in Figure 12c,d, so that the positive potential of the DJFC on film cooling enhancement could be realized. Under a large blowing ratio, the single cylindrical hole coolant jet showed a serious detachment on the downstream surface, as displayed in Figure 13a. The DJFC provided dual roles on film cooling enhancement, as demonstrated in Figure 13b–d. On the first aspect, the coolant jet detachment was effectively suppressed. On the second aspect, the cooling film coverage in the lateral direction broadened. In particular, for the double-jet with a larger spanwise spacing, these positive roles were more pronounced due to the significant alteration of vortical structures.
Figure 12.
Dimensionless temperature contours in downstream normal sections on the pressure side under M = 0.5. (a) cylindrical hole, (b) Z/d = 0, β = 29°, (c) Z/d = 0.5, β = 29°, (d) Z/d = 1.0, β = 29°.
Figure 13.
Dimensionless temperature contours in downstream normal sections on the pressure side under M = 1.5. (a) cylindrical hole, (b) Z/d = 0, β = 29°, (c) Z/d = 0.5, β = 29°, (d) Z/d = 1.0, β = 29°.
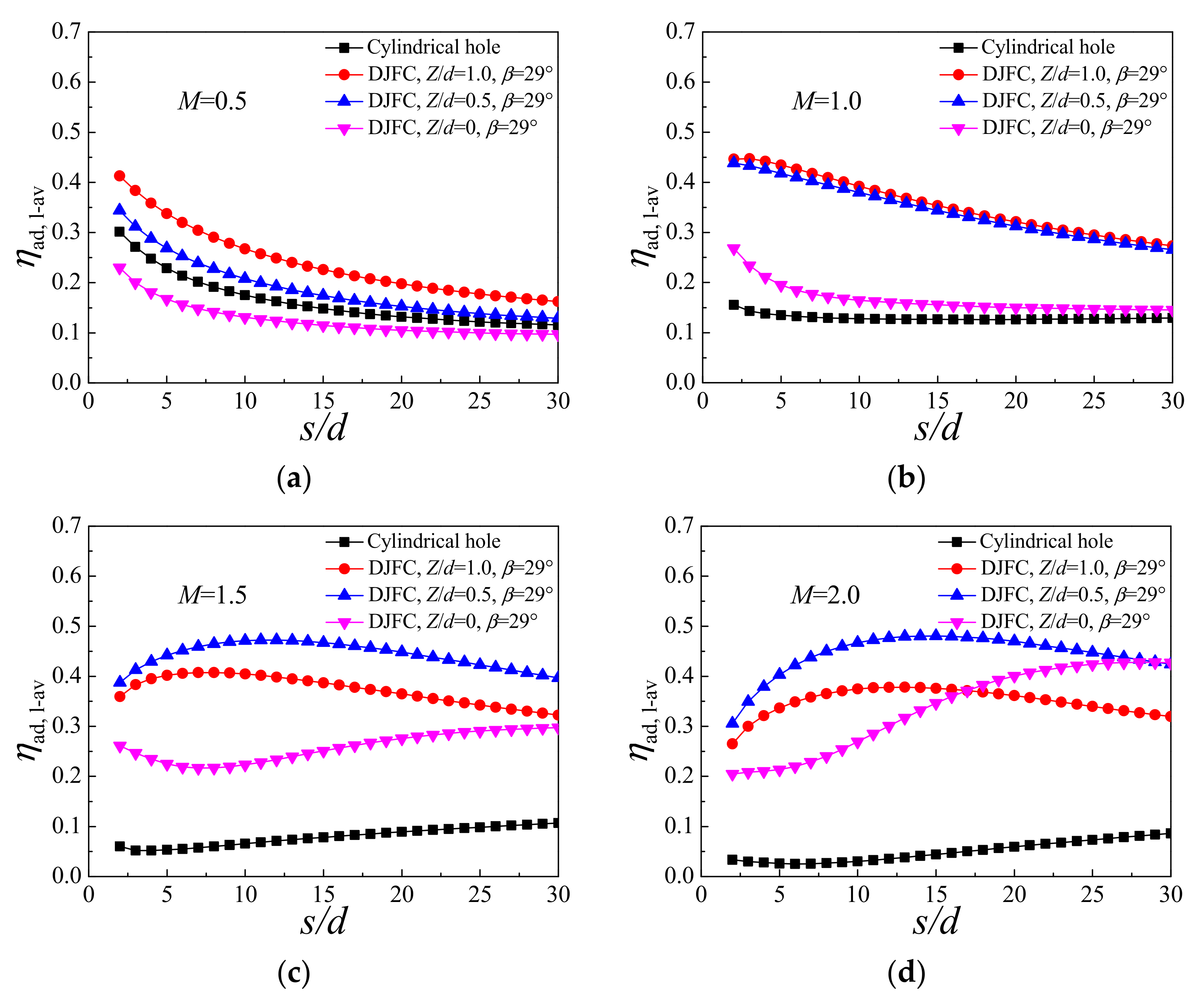
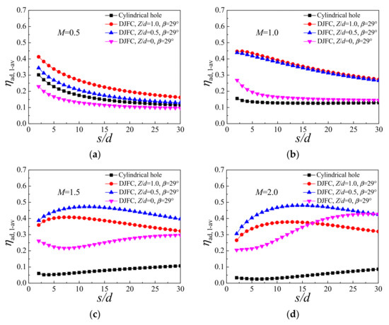
Figure 14 presents the effects of spanwise spacing in a double-jet unit on ηad,l-av distribution at the pressure surface, at a specified spanwise injection angle of β = 29°. Seen from Figure 14, the spanwise spacing in double-jet unit was confirmed to be an extremely important geometric parameter that affects the DJFC performance. At M = 0.5, as seen in Figure 14a, an unreasonable layout of double jets would reduce the film cooling effectiveness compared to the cylindrical hole, such as the Z/d = 0 case. Under larger blowing ratios, the advantage of double-jet film cooling behaves significantly when compared to the cylindrical hole, owing to its positive roles on preventing the coolant jet detachment from the film-cooled surface and broadening the coolant jet spreading in a spanwise direction. It is also found from Figure 14a that a larger spanwise spacing in the double-jet unit is more favourable under a smaller blowing ratio, by comparing the Z/d = 0.5 case and Z/d = 1.0 case, but under large blowing ratios, the Z/d = 0.5 layout produces stronger film cooling enhancement than the Z/d = 1.0 case, as seen in Figure 14c,d. In general, a certain spanwise spacing in the double-jet unit is needed to ensure the formation of anti-vortexes in the downstream flow field. As previously mentioned in Figure 11c,d, the scale of vortices in the situation of Z/d = 0.5 and β = 29° was smaller than that in the situation of Z/d = 1.0 and β = 29°. Therefore, the film layer in the downstream position was more stable to be weakly destroyed by the hot primary flow invasion in the situation of Z/d = 0.5 and β = 29° compared to the situation of Z/d = 1.0 and β = 29°, as demonstrated in Figure 15.
Figure 14.
Effect of spanwise spacing on laterally averaged film cooling effectiveness on the pressure surface. (a) M = 0.5, (b) M = 1.0, (c) M = 1.5, (d) M = 2.0.
Figure 15.
Dimensionless temperature contours and streamlines on a normal section of s/d = 18 on the pressure side under M = 1.5. (a) Z/d = 0.5 and β = 29°, (b) Z/d = 1.0 and β = 29°.
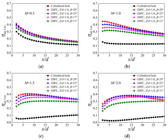
Figure 16 shows the influence of spanwise injection angle on ηad,l-av distribution on the pressure surface at a specified spanwise spacing of Z/d = 1.0 in the double-jet unit. It was confirmed that ηad was certainly enhanced when the double jets were arranged with a spanwise spacing of Z/d = 1.0, regardless of the coolant injection angle. With the increase in the spanwise injection angle in the current range, ηad,l-av increased in general. It was also noted that when the spanwise injection angle increased from β = 23° to β = 29°, the film cooling effectiveness barely improved.
Figure 16.
Effect of the spanwise injection angle on laterally averaged film cooling effectiveness on the pressure surface. (a) M = 0.5, (b) M = 1.0, (c) M = 1.5, (d) M = 2.0.
3.2. DJFC on the Suction Surface
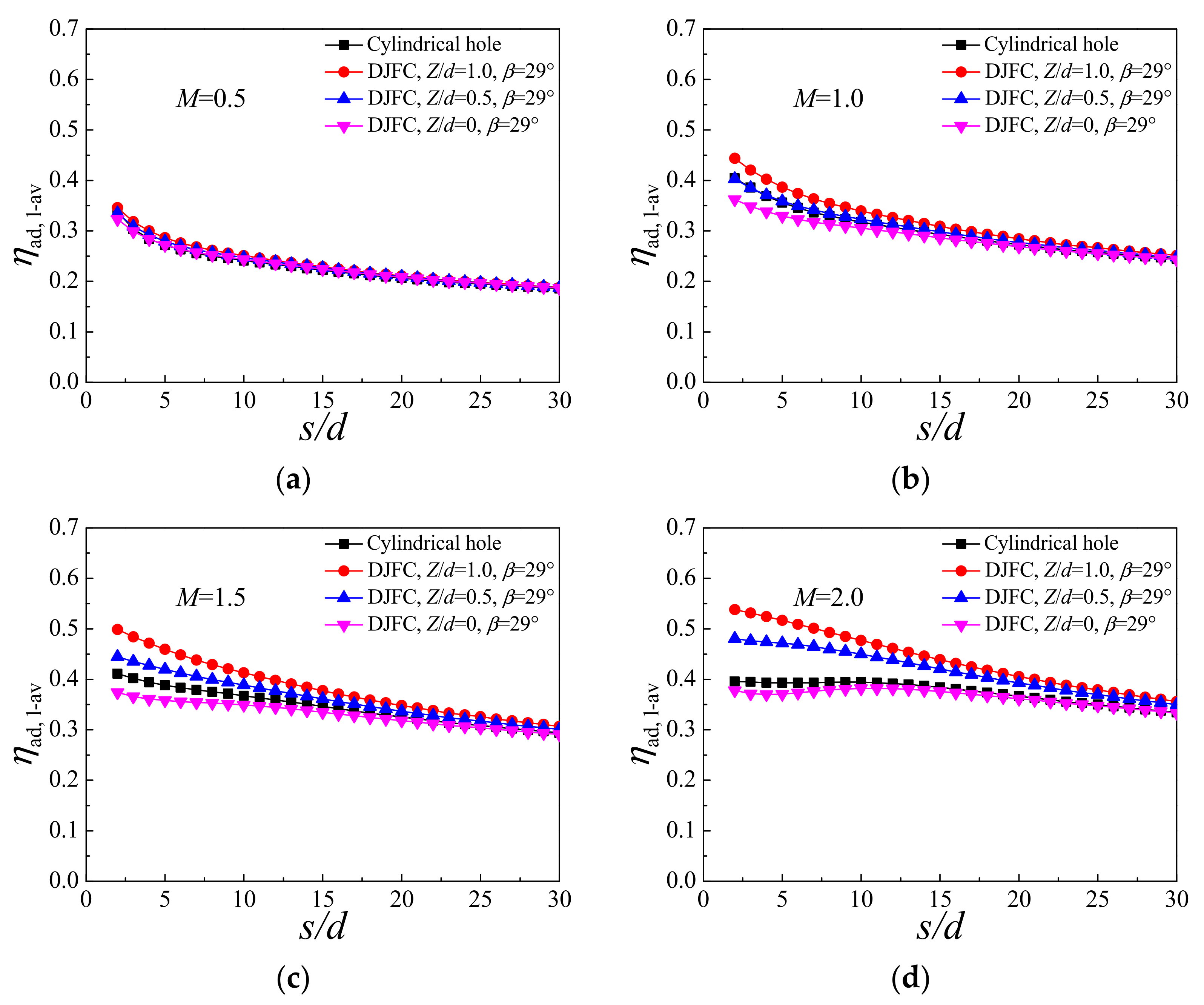
On the suction surface, the DJFC did not show any benefit on film cooling improvement under smaller blowing ratios. Only under larger blowing ratios did its positive potential on film cooling enhancement start to show, as displayed in Figure 17. When compared to Figure 14, it was confirmed that the effect of the double-jet layout on ηad,l-av distribution on the suction surface was similar to that on the pressure surface. That is, a larger spanwise spacing in the double-jet unit generally produced a higher film cooling enhancement. Evaluated under the spatially averaged film cooling effectiveness (ηad,s-av) over a specified zone between s/d = 0 and s/d = 30, a direct comparison is presented here to illustrate the different roles of the DJFC on the suction side and pressure side by selecting the most favourable layout of double jets (Z/d = 1.0 and β = 29°). On the suction side, according to Figure 17, the ηad,s-av for this double-jet film cooling was nearly the same as the baseline cylindrical hole under M = 0.5. Under large blowing ratios (M = 1.5 and M = 2.0), the ηad,s-av increased by about 11–15% by using the double-jet scheme with respect to the baseline cylindrical hole. On the pressure side, according to Figure 14, the ηad,s-av increased by about 12.5% under M = 0.5 by using this double-jet layout with respect to the cylindrical hole. This value could reach nearly 300% under large blowing ratios.
Figure 17.
Laterally averaged film cooling effectiveness on the suction surface. (a) M = 0.5, (b) M = 1.0, (c) M = 1.5, (d) M = 2.0.
It is well known that at the suction side, the mainstream experiences a significant acceleration from the leading edge to the middle chord of the turbine guide vane. Due to this strong acceleration process, the static temperature of oncoming primary flow is reduced and the oncoming flow velocity is increased. Regarding the flow dynamics of jet-in-crossflow for the film cooling hole positioned under such a flow-accelerated circumstance, the normal penetration of coolant jet injection is effectively suppressed. As a consequence, the mutual interaction between double jets would be altered compared to that on the pressure side. Figure 18 displays temperature contours and streamlines in downstream normal sections on the suction side for the DJFC (Z/d = 1.0 and β = 29°) under M = 1.5. In the immediate downstream section of s/d = 3, only a single pair of counter-rotating vortices is observed, as displayed in Figure 18a. Comparing with Figure 8, wherein the appearance of dual counter-rotating vortex pairs are clearly observed on the pressure side, it is suggested that the merger of vortical structures that originated from double jets would be stronger on the suction side. Figure 19 displays temperature contours and streamlines in downstream normal sections on the suction side for DJFC (Z/d = 0 and β = 29°) under M = 1.5. When compared to Figure 18, the main feature of vortical development nearly remained, but the coolant layer was more concentrated in the central zone around z = 0 at a small spanwise spacing.
Figure 18.
Dimensionless temperature contours and streamlines in downstream normal sections on the suction side for DJFC (Z/d = 1.0 and β = 29°) under M = 1.5. (a) s/d = 3, (b) s/d = 6, (c) s/d = 12, (d) s/d = 18.
Figure 19.
Dimensionless temperature contours and streamlines in downstream normal sections on the suction side for DJFC (Z/d = 0 and β = 29°) under M = 1.5. (a) s/d = 3, (b) s/d = 6, (c) s/d = 12, (d) s/d = 18.
Figure 20 displays the dimensionless temperature contours in downstream normal sections as well as the film-cooled surface on the suction side under M = 1.5. As seen in Figure 20a, the cylindrical hole the film layer is well attached to the downstream surface, without the appearance of serious detachment as occurred on the pressure side. This is the main reason for the positive potential of the DJFC in improving film-cooling behavior more significantly on the pressure surface when compared to the suction surface. In particular, as the coolant jet detachment could be suppressed well on the suction side, the main role of the DJFC on film cooling enhancement should rely on the improvement of the spanwise spreading of coolant jets and subsequent film layer coverage in the spanwise direction. For the DJFC, when the spanwise spacing in double-jet unit was zero, the film layer coverage was nearly the same as that in the cylindrical hole film cooling, as seen in Figure 20b. With the increase in spanwise spacing in the double-jet unit, the film layer coverage on downstream surface broadened, as demonstrated in Figure 20d, so that the positive potential of the DJFC on film cooling enhancement was realized.

Figure 20.
Dimensionless temperature contours in downstream normal sections on the suction side under M = 1.5. (a) cylindrical hole, (b) Z/d = 0, β = 29°, (c) Z/d = 0.5, β = 29°, (d) Z/d = 1.0, β = 29°.
Figure 21 presents the local ηad distribution on the guide vane surface for a specific double-jet layout with β = 23° and Z/d = 1.0. While the blowing ratio increases, the coverage of the cooling jet on film-cooled surface expands in the spanwise direction, either on the pressure surface or suction surface. By comparing the ηad on the turbine surfaces, it can be seen that the coolant jet ejecting from DJFC holes had a stronger downward tracing capacity on the pressure surface compared to the suction surface.
Figure 21.
Local film cooling effectiveness distribution on the guide vane surface for DJFC with β = 23° and Z/d = 1.0. (a) M = 0.5, (b) M = 1.0, (c) M = 1.5, (d) M = 2.0.
4. Conclusions
This paper presents a numerical study to research the film cooling performance of a single line double-jet unit on a turbine guide vane under high-temperature and high-pressure conditions. The double-jet unit was positioned at an axial location of 57% Cx on the suction surface or 28% Cx on the pressure surface apart from the leading edge of guide vane. Four spanwise injection angles (β = 11°, 17°, 23°, and 29°) and three spanwise spacings in the double-jet unit (Z/d = 0, 0.5, and 1.0) were taken into consideration. According to the current research, the conclusions are deduced as the follows.
(1) The layout of double jets affects the mutual interaction between adjacent jets and subsequently changes the jet-in-crossflow dynamics. Relative to the spanwise injection angle, the spanwise spacing in the double-jet unit is a more important geometric parameter that affects the vortical structures in the downstream flow field. In particular, a certain spanwise spacing in the double-jet unit is needed for producing stronger anti-kidney vortices and better film cooling performance. By increasing the spanwise injection angle and spanwise spacing in double-jet unit, the film cooling effectiveness is improved in general.
(2) On the suction surface, the DJFC does not show any benefit on film cooling improvement under smaller blowing ratios. Only under larger blowing ratios does its positive potential on film cooling enhancement start to show. When compared to the suction surface, the positive potential of the DJFC on improving film cooling behaves significantly on the pressure surface, especially under large blowing ratios. In the viewing of spatially-averaged film cooling effectiveness over a specified zone between s/d = 0 and s/d = 30, an increase of about 11~15% is achieved by the most favorable double-jet layout on the suction surface with respect to the cylindrical hole under large blowing ratios, while on the pressure side, this value could reach nearly 300%.
(3) On the pressure side, dual roles of the DJFC on film cooling enhancement are identified under large blowing ratios. On the first aspect, the coolant jet detachment is effectively suppressed. On the second aspect, the coolant jet spread in a spanwise direction is broadened, while under small blowing ratios, the film cooling enhancement with the use of the DJFC on the pressure side mainly relies on the second role. With regard to the DJFC on the suction surface, its main role in film cooling enhancement relies on the improvement of the spanwise film layer coverage on the film-cooled surface
Author Contributions
Computation and writing—original draft preparation, J.H.; methodology and formal analysis, funding acquisition, C.W.; supervision, Y.S.; funding acquisition, J.Z. All authors have read and agreed to the published version of the manuscript.
Funding
This research was funded by the Fundamental Research Funds of the Central Universities, grant number NS2020013; the National Natural Science Foundation of China, grant number U1508212; the National Science and Technology Major Project, grant number J2019-III-0019-0063.
Conflicts of Interest
The authors declare no conflict of interest.
Nomenclature
| C | chord length (m) |
| Cp | static pressure coefficient |
| Cx | axial chord length (m) |
| d | film hole diameter (m) |
| H | segment height of guide vane (m) |
| M | nominal blowing ratio |
| m | mass flow-rate (kg/s) |
| P | hole-to-hole pitch (m) |
| Pvane | cascade pitch (m) |
| p | static pressure (Pa) |
| Re | Reynolds number |
| s | streamwise direction |
| T | temperature (K) |
| t | film hole height (m) |
| u | velocity (m/s) |
| X | streamwise spacing between double jets (m) |
| x | axial direction |
| y | normal direction |
| Z | spanwise spacing between double jets (m) |
| z | lateral or spanwise direction |
| Greek Letters | |
| α | streamwise injection angle (°) |
| β | lateral injection angle (°) |
| η | film cooling effectiveness |
| ϕ | inflow angle of vane (°) |
| μ | dynamic viscosity (N∙s/m2) |
| θ | orientation angle of vane (°) |
| ρ | density (kg/m3) |
| ω | vorticity (1/s) |
| Θ | dimensionless temperature |
| Subscripts | |
| ad | adiabatic |
| aw | adiabatic wall |
| c | coolant or secondary flow |
| l-av | laterally-averaged |
| s-av | spatially-averaged |
| s | static condition |
| t | total condition |
| ∞ | primary flow |
References
- Bogard, D.G.; Thole, K.A. Gas turbine film cooling. AIAA J. Propul. Power 2006, 22, 249–269. [Google Scholar] [CrossRef] [Green Version]
- Acharya, S.; Kanani, Y. Advances in film cooling heat transfer. Adv. Heat Transfer 2017, 49, 91–156. [Google Scholar]
- Zhang, J.Z.; Zhang, S.C.; Wang, C.H.; Tan, X.M. Recent advances in film cooling enhancement: A review. Chin. J. Aeronaut. 2020, 33, 1119–1136. [Google Scholar] [CrossRef]
- Bunker, R.S. A review of turbine shaped film cooling technology. ASME J. Heat Transfer 2005, 127, 441–453. [Google Scholar] [CrossRef]
- Goldstein, R.J.; Eckert, E.R.G.; Burggraf, F. Effects of hole geometry and density on three-dimensional film cooling. Int. J. Heat Mass Transfer 1974, 17, 595–607. [Google Scholar] [CrossRef]
- Thole, K.A.; Gritsch, M.; Schulz, A.; Wittig, S. Flowfield measurements for film-cooling holes with expanded exits. ASME J. Turbomach. 1998, 120, 327–336. [Google Scholar] [CrossRef]
- Gritsch, M.; Schulz, A.; Wittig, S. Adiabatic wall effectiveness measurements of film-cooling holes with expanded exit. ASME J. Turbomach. 1998, 120, 549–556. [Google Scholar] [CrossRef]
- Gritsch, M.; Colban, W.; Schar, H. Effect of hole geometry on the thermal performance of fan-shaped film cooling holes. ASME J. Turbomach. 2005, 127, 718–725. [Google Scholar] [CrossRef]
- Lee, K.D.; Kim, K.Y. Shape optimization of a fan-shaped hole to enhance film-cooling effectiveness. Int. J. Heat Mass Transfer 2010, 53, 2996–3005. [Google Scholar] [CrossRef]
- Saumweber, C.; Schulz, A. Effect of geometry variations on the cooling performance of fan-shaped cooling holes. ASME J. Turbomach. 2012, 134, 061008. [Google Scholar] [CrossRef]
- Huang, Y.; Zhang, J.Z.; Wang, C.H.; Zhu, X.D. Multi-objective optimization of laidback fan-shaped film cooling hole on turbine vane suction surface. Heat Mass Transfer 2019, 55, 1181–1194. [Google Scholar] [CrossRef]
- Lenzi, T.; Picchi, A.; Bacci, T.; Andreini, A.; Faccini, B. Unsteady flow field characterization of effusion cooling systems with swirling main flow: Comparison between cylindrical and shaped holes. Energies 2020, 13, 4993. [Google Scholar] [CrossRef]
- Kim, Y.S.; Jeong, J.Y.; Kwak, J.S.; Chung, H. The effects of hole arrangement and density ratio on the heat transfer coefficient augmentation of fan-shaped film cooling holes. Energies 2021, 14, 186. [Google Scholar] [CrossRef]
- Baek, S., II; Ryu, J.; Ahn, J. Large eddy simulation of film cooling with forward expansion hole: Comparative study with LES and RANS simulations. Energies 2021, 14, 2063. [Google Scholar] [CrossRef]
- Lee, S.I.; Jung, J.Y.; Song, Y.J.; Kwak, J.S. Effect of mainstream velocity on the optimization of a fan-shaped film-cooing hole on a flat plate. Energies 2021, 14, 3573. [Google Scholar] [CrossRef]
- Okita, Y.; Nishiura, M. Film effectiveness performance of an arrowhead-shaped film-cooling hole geometry. ASME J. Turbomach. 2007, 129, 331–339. [Google Scholar] [CrossRef]
- Kusterer, K.; Elyas, A.; Bohn, D.; Sugimoto, T.; Tanaka, R.; Kazari, M. The NEKOMIMI cooling technology: Cooling holes with ears for high-efficient film cooling. In Proceedings of the ASME Turbo Expo 2011, GT2011-45524, Vancouver, BC, Canada, 6–10 June 2011. [Google Scholar]
- Dai, P.; Lin, F. Numerical study on film cooling effectiveness from shaped and crescent holes. Heat Mass Transfer 2011, 47, 147–154. [Google Scholar] [CrossRef]
- Kim, S.M.; Lee, K.D.; Kim, K.Y. A comparative analysis of various shaped film-cooling holes. Heat Mass Transfer 2012, 48, 1929–1939. [Google Scholar] [CrossRef]
- Yang, C.F.; Zhang, J.Z. Experimental investigation on film cooling characteristics from a row of holes with ridge-shaped tabs. Exp. Therm. Fluid Sci. 2012, 37, 113–120. [Google Scholar] [CrossRef]
- Ramesh, S.; Ramirez, D.G.; Ekkad, S.V.; Alvin, M.A. Analysis of film cooling performance of advanced tripod hole geometries with and without manufacturing features. Int. J. Heat Mass Transfer 2016, 94, 9–19. [Google Scholar] [CrossRef]
- Zhang, J.Z.; Zhu, X.D.; Huang, Y.; Wang, C.H. Investigation on film cooling performance from a row of round-to-slot holes on flat plate. Int. J. Therm. Sci. 2017, 118, 207–225. [Google Scholar] [CrossRef]
- Kusterer, K.; Bohn, D.; Sugimoto, T.; Tanaka, R. Double-jet ejection of cooling air for improved film cooling. ASME J. Turbomach. 2007, 129, 809–815. [Google Scholar] [CrossRef]
- Kusterer, K.; Bohn, D.; Sugimoto, T.; Tanaka, R. Influence of blowing ratio on the double-jet ejection of cooling air. In Proceedings of the ASME Turbo Expo 2007, GT2007-27301, Montreal, QE, Canada, 14–17 May 2007. [Google Scholar]
- Kusterer, K.; Elyas, A.; Bohn, D.; Sugimoto, T.; Tanaka, R. Double-jet film-cooling for highly efficient film-cooling with low blowing ratios. In Proceedings of the ASME Turbo Expo 2008, GT2008-50073, Berlin, Germany, 9–13 June 2008. [Google Scholar]
- Kusterer, K.; Elyas, A.; Bohn, D.; Sugimoto, T.; Tanaka, R.; Kazari, M. A parametric study on the influence of the lateral ejection angle of double-jet holes on the film cooling effectiveness for high blowing ratios. In Proceedings of the ASME Turbo Expo 2009, GT2009-59321, Orlando, FL, USA, 8–12 June 2009. [Google Scholar]
- Wang, Z.; Liu, J.J.; An, B.T.; Zhang, C. Effects of axial row spacing for double-jet film-cooling on the cooling effectiveness. In Proceedings of the ASME Turbo Expo 2011, GT2011-46055, Vancouver, BC, Canada, 6–10 June 2011. [Google Scholar]
- Han, C.; Ren, J.; Jiang, H.D. Multi-parameter influence on combined-hole film cooling system. Int. J. Heat Mass Transfer 2012, 55, 4232–4240. [Google Scholar] [CrossRef]
- Choi, D.W.; Lee, K.D.; Kim, K.Y. Analysis and optimization of double-jet film-cooling holes. J. Thermophy. Heat Transfer 2013, 27, 246–254. [Google Scholar] [CrossRef]
- Lee, K.D.; Choi, D.W.; Kim, K.Y. Optimization of ejection angles of double-jet film-cooling holes using RBNN model. Int. J. Therm. Sci. 2013, 73, 69–78. [Google Scholar] [CrossRef]
- Khalatov, A.A.; Borisov, I.I.; Dashevsky, Y.J.; Panchenko, N.A.; Kovalenko, A.S. Flat-plate film cooling from a double jet holes: Influence of free-stream turbulence and flow acceleration. Thermphy. Aeromech. 2014, 21, 545–552. [Google Scholar] [CrossRef]
- Graf, L.; Kleiser, L. Film cooling using antikidney vortex pairs: Effects of blowing conditions and yaw angle on cooling and losses. ASME J. Turbomach. 2014, 136, 011008. [Google Scholar] [CrossRef]
- Yao, J.X.; Xu, J.; Zhang, K.; Lei, J.; Wright, L.M. Interaction of flow and film-cooling effectiveness between double-jet film-cooling holes with various spanwise distances. ASME J. Turbomach. 2018, 140, 121011. [Google Scholar] [CrossRef]
- Yao, J.X.; Zhang, K.; Wu, J.M.; Lei, J.; Fang, Y.; Wright, L.M. An experimental investigation on streamwise distance and density ratio effects on double-jet film-cooling. Appl. Therm. Eng. 2019, 156, 410–421. [Google Scholar] [CrossRef]
- He, J.H.; Yao, J.X.; Yang, X.; Duan, J.T.; Lei, J.; Xie, G.N. Effects of mainstream attack angle on film cooling effectiveness of double-jet film-cooling. Int. J. Therm. Sci. 2020, 149, 106183. [Google Scholar] [CrossRef]
- Liao, G.L.; Wang, J.J.; Li, J.; Zhang, F. Effects of curvature on the film cooling effectiveness of double-jet film cooling. In Proceedings of the ASME Turbo Expo 2014, GT2014-26263, Dusseldorf, Germany, 16–20 June 2014. [Google Scholar]
- Zhu, X.D.; Zhang, J.Z.; Tan, X.M. Numerical assessment of round-to-slot film cooling performances on a turbine blade under engine representative conditions. Int. Commun. Heat Mass Transfer 2019, 100, 98–110. [Google Scholar] [CrossRef]
- Ragab, K.E.; El-Gabry, L. Heat transfer analysis of the surface of nonfilm-cooled and film-cooled nozzle guide vanes in transonic annular cascade. In Proceedings of the ASME Turbo Expo 2017, GT2017-64982, Charlotte, NC, USA, 26–30 June 2017. [Google Scholar]
- ANSYS. Fluent 14.0 User’s Guide; ANSYS Inc.: Canonsburg, PA, USA, 2012. [Google Scholar]
- Ely, M.J.; Jubran, B.J. A numerical evaluation on the effect of sister holes on film cooling effectiveness and the surrounding flow filed. Heat Mass Transfer 2009, 45, 1435–1446. [Google Scholar] [CrossRef]
- Silieti, M.; Kassab, A.J.; Divo, E. Film cooling effectiveness: Comparison of adiabatic and conjugate heat transfer CFD models. Int. J. Therm. Sci. 2009, 48, 2237–2248. [Google Scholar] [CrossRef]
- Balasubramaniyan, S.; Jubran, B.A. Numerical analysis of film cooling from micro-hole. Heat Mass Transfer 2015, 51, 1277–1285. [Google Scholar] [CrossRef]
- Zhu, R.; Simon, T.W.; Xie, G.N. Influence of secondary hole injection angle on enhancement of film cooling effectiveness with horn-shaped or cylindrical primary holes. Num. Heat Transfer Part A 2018, 74, 1207–1227. [Google Scholar] [CrossRef]
- Celik, I.B.; Ghia, U.; Roache, P.J.; Freitas, C.J.; Coleman, H.; Raad, P.E. Procedure for estimation and reporting of uncertainty due to discretization in CFD applications. ASME J. Fluids Eng. 2008, 130, 0780011. [Google Scholar]
- Dees, J.E.; Bogard, D.G.; Laskowski, G.M. Experimental measurements and computational predictions for an internally cooled simulated turbine vane. ASME J. Turbomach. 2012, 134, 061003. [Google Scholar] [CrossRef]
- Dittmar, J.; Schulz, A.; Wittig, S. Adiabatic effectiveness and heat transfer coefficient of shaped film cooling holes on a scaled guide vane pressure side model. Int. J. Rotating Mach. 2004, 10, 345–354. [Google Scholar] [CrossRef] [Green Version]
- Yao, J.X.; Su, P.F.; He, J.H.; Wu, J.M.; Lei, J.; Fang, Y. Experimental and numerical investigations on double-jet film-cooling with different mainstream incidence angles. Appl. Therm. Eng. 2020, 166, 114737. [Google Scholar] [CrossRef]
Publisher’s Note: MDPI stays neutral with regard to jurisdictional claims in published maps and institutional affiliations. |
© 2021 by the authors. Licensee MDPI, Basel, Switzerland. This article is an open access article distributed under the terms and conditions of the Creative Commons Attribution (CC BY) license (https://creativecommons.org/licenses/by/4.0/).