Sensitivity Analysis of 4R3C Model Parameters with Respect to Structure and Geometric Characteristics of Buildings
Abstract
1. Introduction
2. Materials and Methods
2.1. Heavy- and Light-Structured Building Simulation in TRNSYS
2.1.1. Structure Properties of Roof, Floor, Walls, and Windows
2.1.2. Geometric Characteristics of Simulated Buildings
- α: corresponds to the building’s floor surface area [m2], denoted as SA
- β: corresponds to the building’s aspect ratio [unitless], denoted as AR
- γ: corresponds to the building’s windows-to-floor surface ratio [%], denoted as WF
- δ: corresponds to the building’s orientation angle [°], denoted OA.
2.1.3. Indoor Conditions and Heat Gains
2.2. Development of RC Model
3. Results and Discussion
3.1. Sensitivity Analysis of Heat Consumption in Heavy- and Light-Structured Buildings with Respect to Their Geometric Characteristics
3.2. Sensitivity Analysis of Estimated Parameters in RC Model with Respect to Geometric Characteristics of Simulated Buildings in TRNSYS
- Different nature of the model structures: In TRNSYS, a building is modeled with detailed information about multi-layer walls, roof, floor, windows, internal and external conditions, whereas in 4R3C model all material properties are accumulated in few parameters.
- Different representation of model input: All input information, such as solar radiation on various walls and their distribution, are accumulated in one or two inputs that are directly inserted to a node in 4R3C model. Therefore, the state of model excitation in 4R3C model is different than TRNSYS model, where every building element is treated individually.
- Complex nature of thermal capacitance determination in buildings: Thermal capacitances model the dynamic behavior of the building, therefore accurate estimation of thermal capacitances requires more informative dataset and experiments to excite the building under various conditions to be able to activate the thermal mass of the building in order to be captured in a data-driven model, here 4R3C model. On the contrary, average values and temperature differences and heat flows are sufficient information to estimate thermal resistances.
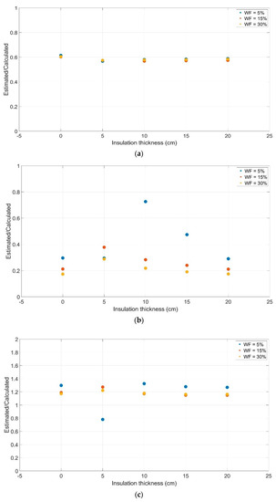
3.3. Effects of Insulation Level on Estimated Parameters of RC Model
4. Conclusions
Author Contributions
Funding
Conflicts of Interest
References
- European Commission. In Focus: Energy Efficiency in Buildings. Brussels. 17 February 2020. Available online: https://ec.europa.eu/info/sites/info/files/energy_climate_change_environment/events/documents/in_focus_energy_efficiency_in_buildings_en.pdf (accessed on 23 November 2020).
- Pérez-Lombard, L.; Ortiz, J.; Pout, C. A review on buildings energy consumption information. Energy Build. 2008, 40, 394–398. [Google Scholar] [CrossRef]
- European Parliament. Directive (EU) 2018/844 of the European Parliament and of the Council of 30 May 2018 amending Directive 2010/31/EU on the energy performance of buildings and Directive 2012/27/EU on energy efficiency. Off. J. Eur. Union 2018, 156, 75–91. [Google Scholar]
- European Commission. European Commission. Communication from The Commission to the European Parliament, The Council, The European Economic and Social Committee and The Committee of The Regions A Renovation Wave for Europe—Greening Our Buildings, Creating Jobs, Improving Lives. COM/2020/662 Final. Available online: https://eur-lex.europa.eu/legal-content/EN/TXT/?uri=CELEX%3A52020DC0662 (accessed on 23 November 2020).
- European Commission. Energy, Transport and GHG emissions: Trends to 2050, EU Reference Scenario 2016; Publications Office of the European Union: Luxembourg, 2013. [Google Scholar] [CrossRef]
- Iturriaga, E.; Aldasoro, U.; Terés-Zubiaga, J.; Campos-Celador, A. Optimal renovation of buildings towards the nearly Zero Energy Building standard. Energy 2018, 160, 1101–1114. [Google Scholar] [CrossRef]
- Good, N.; Martínez Ceseña, E.A.; Mancarella, P. Ten questions concerning smart districts. Build. Environ. 2017, 118, 362–376. [Google Scholar] [CrossRef]
- De Jaeger, I.; Reynders, G.; Saelens, D. Impact of spatial accuracy on district energy simulations. Energy Procedia 2017, 132, 561–566. [Google Scholar] [CrossRef]
- De Jaeger, I.; Reynders, G.; Ma, Y.; Saelens, D. Impact of building geometry description within district energy simulations. Energy 2018, 158, 1060–1069. [Google Scholar] [CrossRef]
- Loga, T.; Stein, B.; Diefenbach, N. TABULA building typologies in 20 European countries—Making energy-related features of building stocks comparable. Energy Build. 2016, 132, 4–12. [Google Scholar] [CrossRef]
- Schweiger, G.; Heimrath, R.; Falay, B.; O’Donovan, K.; Nageler, P.; Pertschy, R.; Engel, G.; Streicher, W.; Leusbrock, I. District energy systems: Modelling paradigms and general-purpose tools. Energy 2018, 164, 1326–1340. [Google Scholar] [CrossRef]
- Bagheri, A.; Feldheim, V.; Ioakimidis, C.S. On the Evolution and Application of the Thermal Network Method for Energy Assessments in Buildings. Energies 2018, 11, 890. [Google Scholar] [CrossRef]
- Bagheri, A.; Feldheim, V.; Thomas, D.; Ioakimidis, C.S. The adjacent walls effects in simplified thermal model of buildings. Energy Procedia 2017, 122, 619–624. [Google Scholar] [CrossRef]
- Ogunsola, O.T.; Song, L. Application of a simplified thermal network model for real-time thermal load estimation. Energy Build. 2015, 96, 309–318. [Google Scholar] [CrossRef]
- Harb, H.; Boyanov, N.; Hernandez, L.; Streblow, R.; Müller, D. Development and validation of grey-box models for forecasting the thermal response of occupied buildings. Energy Build. 2016, 117, 199–207. [Google Scholar] [CrossRef]
- Thomas, D.; Bagheri, A.; Feldheim, V.; Deblecker, O.; Ioakimidis, C.S. Energy and thermal comfort management in a smart building facilitating a microgrid optimization. In Proceedings of the IECON 2017—43rd Annual Conference of the IEEE Industrial Electronics Society, Beijing, China, 29 October–1 November 2017; pp. 3621–3626. [Google Scholar] [CrossRef]
- Mugnini, A.; Coccia, G.; Polonara, F.; Arteconi, A. Performance Assessment of Data-Driven and Physical-Based Models to Predict Building Energy Demand in Model Predictive Controls. Energies 2020, 13, 3125. [Google Scholar] [CrossRef]
- De Rosa, M.; Brennenstuhl, M.; Andrade Cabrera, C.; Eicker, U.; Finn, D.P. An Iterative Methodology for Model Complexity Reduction in Building Simulation. Energies 2019, 12, 2448. [Google Scholar] [CrossRef]
- Ahmad, T.; Chen, H.; Guo, Y.; Wang, J. A comprehensive overview on the data driven and large scale based approaches for forecasting of building energy demand: A review. Energy Build. 2018, 165, 301–320. [Google Scholar] [CrossRef]
- Wei, Y.; Zhang, X.; Shi, Y.; Xia, L.; Pan, S.; Wu, J.; Han, M.; Zhao, X. A review of data-driven approaches for prediction and classification of building energy consumption. Renew. Sustain. Energy Rev. 2018, 82, 1027–1047. [Google Scholar] [CrossRef]
- Idowu, S.; Saguna, S.; Åhlund, C.; Schelén, O. Applied machine learning: Forecasting heat load in district heating system. Energy Build. 2016, 133, 478–488. [Google Scholar] [CrossRef]
- TABULA WebTool. Available online: http://webtool.building-typology.eu/#bm (accessed on 7 December 2020).
- Kreider, J.F.; Curtiss, P.S.; Rabl, A. Heating and Cooling of Buildings: Design for Efficiency, 2nd ed.; McGraw-Hill: New York, NY, USA, 2002. [Google Scholar]
- Touly, Y. Study of the Impact of Changes in a building’s Geometry and Envelope on its 4R3C Model’s Components. Master Thesis, University of Mons, Mons, Belgium, 2017. [Google Scholar]
- Solchaga Erneta, M. Development of Thermal Network to Simulate Light Structured Buildings and Comparison with Heavy Structured Buildings. Master Thesis, University of Mons, Polytechnic University of Catalonia, Mons, Belgium, 2018. [Google Scholar]
- Fraisse, G.; Viardot, C.; Lafabrie, O.; Achard, G. Development of a simplified and accurate building model based on electrical analogy. Energy Build. 2002, 34, 1017–1031. [Google Scholar] [CrossRef]
- Ljung, L. System Identification ToolboxTM Getting Started Guide; The MathWorks, Inc.: Natick, MA, USA, 2015. [Google Scholar]














| Layer | Physical Property [Unit] | Value |
|---|---|---|
| Mineral wool | Thickness [m] | 0.15 |
| Conductivity [W/m K] | 0.045 | |
| Wood | Thickness [m] | 0.02 |
| Conductivity [W/mK] | 0.12 | |
| Capacity [J/kgK] | 2500 | |
| Density [kg/m3] | 400 |
| Layer | Physical Property [Unit] | Value |
|---|---|---|
| Tiles | Thickness [m] | 0.01 |
| Conductivity [W/mK] | 1.705 | |
| Capacity [J/kgK] | 700 | |
| Density [kg/m3] | 2300 | |
| Cement mortar | Thickness [m] | 0.08 |
| Conductivity [W/mK] | 1.4 | |
| Capacity [J/kgK] | 1000 | |
| Density [kg/m3] | 2000 | |
| Concrete | Thickness [m] | 0.2 |
| Conductivity [W/mK] | 2.1 | |
| Capacity [J/kgK] | 1000 | |
| Density [kg/m3] | 2400 | |
| Polyurethane | Thickness [m] | 0.16 |
| Conductivity [W/mK] | 0.03 | |
| Capacity [J/kgK] | 837 | |
| Density [kg/m3] | 35 |
| Layer | Physical Property [Unit] | Value |
|---|---|---|
| Plaster | Thickness [m] | 0.01 |
| Conductivity [W/mK] | 0.351 | |
| Capacity [J/kgK] | 1000 | |
| Density [kg/m3] | 1500 | |
| Concrete blocs | Thickness [m] | 0.2 |
| Conductivity [W/mK] | 1.053 | |
| Capacity [J/kgK] | 650 | |
| Density [kg/m3] | 1300 | |
| Polystyrene expanded | Thickness [m] | 0.16 |
| Conductivity [W/mK] | 0.039 | |
| Capacity [J/kgK] | 1380 | |
| Density [kg/m3] | 25 | |
| Exterior coat (clay) | Thickness [m] | 0.01 |
| Conductivity [W/mK] | 1.153 | |
| Capacity [J/kgK] | 1000 | |
| Density [kg/m3] | 1700 |
| Layer | Physical Property [Unit] | Value |
|---|---|---|
| Plasterboard | Thickness [m] | 0.01 |
| Conductivity [W/mK] | 0.331 | |
| Capacity [J/kgK] | 801 | |
| Density [kg/m3] | 790 | |
| Composite | Thickness [m] | 0.14 |
| Conductivity [W/mK] | 0.671 | |
| Capacity [J/kgK] | 876 | |
| Density [kg/m3] | 60.8 | |
| Glass wool | Thickness [m] | 0.09 |
| Conductivity [W/mK] | 0.041 | |
| Capacity [J/kgK] | 840 | |
| Density [kg/m3] | 12 |
| Material Property | Unit | Value |
|---|---|---|
| Conductivity | W/mK | 0.03 |
| Capacity | J/kgK | 837 |
| Density | kg/m3 | 35 |
| SA (m²) | Side Walls Surface (m2) | Front/Back Walls Surface (m2) | Volume (m3) | Compactness |
|---|---|---|---|---|
| 50 | 15.00 | 30.00 | 150 | 0.79 |
| 75 | 18.37 | 36.74 | 225 | 0.86 |
| 100 | 21.21 | 42.42 | 300 | 0.92 |
| 150 | 25.98 | 51.96 | 450 | 0.99 |
| 200 | 30.00 | 60.00 | 600 | 1.03 |
| WF | Windows Surface on the Front Wall (m2) | Windows Surface on the Side Wall (m2) |
|---|---|---|
| 5% | 2.50 | 1.25 |
| 10% | 5.00 | 2.50 |
| 15% | 7.50 | 3.75 |
| 20% | 10.00 | 5.00 |
| 30% | 15.00 | 7.50 |
| SA (m²) | FitPercent for Light-Structured Building | FitPercent for Heavy-Structured Building |
|---|---|---|
| 50 | 83.76 | 85.53 |
| 75 | 84.39 | 86.01 |
| 100 | 83.15 | 86.23 |
| 150 | 82.00 | 86.41 |
| 200 | 83.17 | 86.82 |
| x-2-15-0 SA | 100-2-x-0 WF | 100-x-15-0 AR | 100-2-15-x OA | |||||||||
|---|---|---|---|---|---|---|---|---|---|---|---|---|
| min | max | R2 | min | max | R2 | min | max | R2 | min | max | R2 | |
| Renvelope | 0.80 | 0.90 | 0.92 | 0.80 | 0.97 | 0.99 | 0.87 | 0.93 | 0.99 | 0.87 | 0.90 | 0.75 |
| Rfloor | 0.47 | 0.71 | 0.90 | 0.38 | 0.60 | 0.96 | 0.55 | 0.57 | 0.95 | 0.52 | 0.62 | 0.62 |
| C1 | 0.96 | 0.99 | 0.84 | 0.95 | 0.99 | 0.91 | 0.96 | 0.97 | 0.69 | 0.96 | 0.97 | 0.05 |
| C2 | 0.45 | 2.04 | 0.42 | 0.38 | 4.41 | 0.84 | 0.55 | 4.14 | 1.00 | 0.67 | 2.28 | 0.12 |
| C3 | 1.90 | 2.02 | 0.97 | 1.95 | 2.03 | 0.11 | 1.91 | 2.03 | 1.00 | 1.94 | 1.95 | 0.57 |
| x-2-15-0 SA | 100-2-x-0 WF | 100-x-15-0 AR | 100-2-15-x OA | |||||||||
|---|---|---|---|---|---|---|---|---|---|---|---|---|
| min | max | R2 | min | max | R2 | min | max | R2 | min | max | R2 | |
| Renvelope | 1.02 | 1.12 | 0.61 | 0.95 | 1.20 | 0.97 | 1.04 | 1.09 | 1.00 | 1.05 | 1.05 | 0.79 |
| Rfloor | 0.46 | 0.68 | 0.65 | 0.43 | 0.62 | 0.74 | 0.45 | 0.53 | 0.99 | 0.49 | 0.62 | 0.98 |
| C1 | 0.95 | 1.30 | 0.98 | 1.13 | 1.18 | 0.02 | 1.13 | 1.24 | 1.00 | 1.12 | 1.16 | 0.97 |
| C2 | 8.40 | 14.54 | 0.91 | 7.44 | 22.71 | 0.53 | 7.71 | 11.06 | 0.97 | 9.21 | 22.06 | 0.99 |
| C3 | 1.26 | 1.60 | 0.66 | 1.41 | 1.58 | 0.38 | 1.47 | 1.53 | 0.98 | 1.39 | 1.50 | 0.98 |
Publisher’s Note: MDPI stays neutral with regard to jurisdictional claims in published maps and institutional affiliations. |
© 2021 by the authors. Licensee MDPI, Basel, Switzerland. This article is an open access article distributed under the terms and conditions of the Creative Commons Attribution (CC BY) license (http://creativecommons.org/licenses/by/4.0/).
Share and Cite
Bagheri, A.; Genikomsakis, K.N.; Feldheim, V.; Ioakimidis, C.S. Sensitivity Analysis of 4R3C Model Parameters with Respect to Structure and Geometric Characteristics of Buildings. Energies 2021, 14, 657. https://doi.org/10.3390/en14030657
Bagheri A, Genikomsakis KN, Feldheim V, Ioakimidis CS. Sensitivity Analysis of 4R3C Model Parameters with Respect to Structure and Geometric Characteristics of Buildings. Energies. 2021; 14(3):657. https://doi.org/10.3390/en14030657
Chicago/Turabian StyleBagheri, Ali, Konstantinos N. Genikomsakis, Véronique Feldheim, and Christos S. Ioakimidis. 2021. "Sensitivity Analysis of 4R3C Model Parameters with Respect to Structure and Geometric Characteristics of Buildings" Energies 14, no. 3: 657. https://doi.org/10.3390/en14030657
APA StyleBagheri, A., Genikomsakis, K. N., Feldheim, V., & Ioakimidis, C. S. (2021). Sensitivity Analysis of 4R3C Model Parameters with Respect to Structure and Geometric Characteristics of Buildings. Energies, 14(3), 657. https://doi.org/10.3390/en14030657

