Variation of White Spruce Carbon Content with Age, Height, Social Classes and Silvicultural Management
Abstract
:1. Introduction
2. Materials and Methods
2.1. Stand Description
2.2. Sample Collection and Preparation
2.3. Chemical Analysis
2.4. Statistical Analysis
3. Results
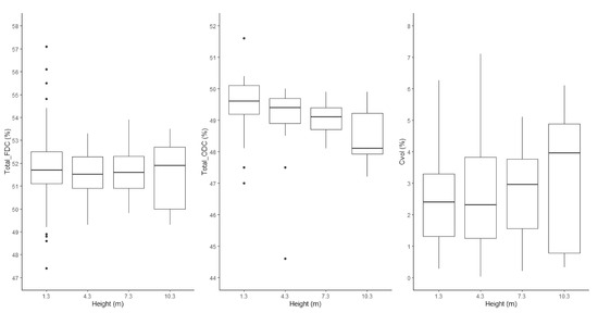
3.1. Comparison of Freeze-Dried Carbon and Oven-Dried Carbon, Radial and Longitudinal Variation of Carbon Content
3.2. Inter-Tree Variation: Impact of Stand Density Management and Social Class
4. Discussion
4.1. Comparison of Freeze-Dried Carbon and Oven-Dried Carbon, Variation of Carbon Content
4.2. Impact of Stand Density Management and Social Class
4.3. Practical Implications and Limitations
5. Conclusions
Author Contributions
Funding
Institutional Review Board Statement
Informed Consent Statement
Data Availability Statement
Acknowledgments
Conflicts of Interest
References
- Brown, S. Measuring carbon in forests: Current status and future challenges. Environ. Pollut. 2002, 116, 363–372. [Google Scholar] [CrossRef]
- Skovgaard, J.; Ferrari, S.S.; Knaggård, Å. Mapping and clustering the adoption of carbon pricing policies: What polities price carbon and why? Clim. Policy 2019, 19, 1173–1185. [Google Scholar] [CrossRef] [Green Version]
- Baker, T.R.; Phillips, O.L.; Malhi, Y.; Almeida, S.; Arroyo, L.; Di Fiore, A.; Erwin, T.; Higuchi, N.; Killeen, T.J.; Laurance, S.G.; et al. Increasing biomass in Amazonian forest plots. Philos. Trans. R. Soc. B Biol. Sci. 2004, 359, 353–365. [Google Scholar] [CrossRef]
- Cambronero, M.; Avalos, G.; Alvarez-Vergnani, C. Variation in the Carbon Fraction of Seven Neotropical Palm Species of Different Forest Strata. PALMS 2018, 62, 11. [Google Scholar]
- De Aza, C.H.; Turrión, M.B.; Pando, V.; Bravo, F. Carbon in heartwood, sapwood and bark along the stem profile in three Mediterranean Pinus species. Ann. For. Sci. 2011, 68, 1067. [Google Scholar] [CrossRef] [Green Version]
- Elias, M.; Potvin, C. Assessing inter- and intra-specific variation in trunk carbon concentration for 32 neotropical tree species. Can. J. For. Res. 2003, 33, 1039–1045. [Google Scholar] [CrossRef]
- Jones, D.A.; O’Hara, K.L. Variation in carbon fraction, density, and carbon density in conifer tree tissues. Forests 2018, 9, 430. [Google Scholar] [CrossRef] [Green Version]
- Lamlom, S.H.; Savidge, R.A. Carbon content variation in boles of mature sugar maple and giant sequoia. Tree Physiol. 2006, 26, 459–468. [Google Scholar] [CrossRef] [PubMed] [Green Version]
- Thomas, S.C.; Martin, A.R. Carbon content of tree tissues: A synthesis. Forests 2012, 3, 332–352. [Google Scholar] [CrossRef] [Green Version]
- Zhang, Q.; Wang, C.; Wang, X.; Quan, X. Carbon concentration variability of 10 Chinese temperate tree species. For. Ecol. Manag. 2009, 258, 722–727. [Google Scholar] [CrossRef]
- Bert, D.; Danjon, F. Carbon concentration variations in the roots, stem and crown of mature Pinus pinaster (Ait.). For. Ecol. Manag. 2006, 222, 279–295. [Google Scholar] [CrossRef]
- Gao, B.; Taylor, A.R.; Chen, H.Y.H.; Wang, J. Variation in total and volatile carbon concentration among the major tree species of the boreal forest. For. Ecol. Manag. 2016, 375, 191–199. [Google Scholar] [CrossRef]
- Kraenzel, M.; Castillo, A.; Moore, T.; Potvin, C. Carbon storage of harvest-age teak (Tectona grandis) plantations, Panama. For. Ecol. Manag. 2003, 173, 213–225. [Google Scholar] [CrossRef]
- Laiho, R.; Laine, J. Tree stand biomass and carbon content in an age sequence of drained pine mires in southern Finland. For. Ecol. Manag. 1997, 93, 161–169. [Google Scholar] [CrossRef]
- Martin, A.R.; Thomas, S.C. Size-dependent changes in leaf and wood chemical traits in two Caribbean rainforest trees. Tree Physiol. 2013, 33, 1338–1353. [Google Scholar] [CrossRef] [PubMed] [Green Version]
- Martin, A.R.; Thomas, S.C.; Zhao, Y. Size-dependent changes in wood chemical traits: A comparison of neotropical saplings and large trees. AoB Plants 2013, 5, plt039. [Google Scholar] [CrossRef]
- Herman, M.; Dutilleul, P.; Avella-Shaw, T. Growth rate effects on temporal trajectories of ring width, wood density, and mean tracheid length in Norway spruce (Picea abies (L.) Karst.). Wood Fiber Sci. 1998, 30, 6–17. [Google Scholar]
- Pelletier, G.; Pitt, D.G. Silvicultural responses of two spruce plantations to midrotation commercial thinning in New Brunswick. Can. J. For. Res. 2008, 38, 851–867. [Google Scholar] [CrossRef]
- Lasserre, J.P.; Mason, E.G.; Watt, M.S.; Moore, J.R. Influence of initial planting spacing and genotype on microfibril angle, wood density, fibre properties and modulus of elasticity in Pinus radiata D. Don corewood. For. Ecol. Manag. 2009, 258, 1924–1931. [Google Scholar] [CrossRef]
- Jelonek, T.; Pazdrowski, W.; Tomczak, A.; Splawa-Neyman, S. The efect of biological class and age on physical and mechanical properties of european larch (Larix decidua mill.) in Poland. Wood Res. 2009, 54, 1–14. [Google Scholar]
- Deng, X.W.; Zhang, L.Y.; Lei, P.F.; Xiang, W.H.; Yan, W.D. Variations of wood basic density with tree age and social classes in the axial direction within Pinus massoniana stems in Southern China. Ann. For. Sci. 2013, 71, 505–516. [Google Scholar] [CrossRef] [Green Version]
- Peri, P.L.; Gargaglione, V.; Pastur, G.M.; Lencinas, M.V. Carbon accumulation along a stand development sequence of Nothofagus antarctica forests across a gradient in site quality in Southern Patagonia. For. Ecol. Manag. 2010, 260, 229–237. [Google Scholar] [CrossRef]
- Martin, A.R.; Gezahegn, S.; Thomas, S.C. Variation in carbon and nitrogen concentration among major woody tissue types in temperate trees. Can. J. For. Res. 2015, 45, 744–757. [Google Scholar] [CrossRef]
- Mvolo, C.S.; Koubaa, A.; Beaulieu, J.; Cloutier, A.; Mazerolle, M.J. Variation in Wood Quality in White Spruce (Picea Glauca (Moench) Voss). Part I. Defining the Juvenile–Mature Wood Transition Based on Tracheid Length. Forests 2015, 6, 183–202. [Google Scholar] [CrossRef] [Green Version]
- Mvolo, C.S.; Koubaa, A.; Defo, M.; Beaulieu, J.; Yemele, M.-C.; Cloutier, A. Prediction of tracheid length and diameter in white spruce (Picea glauca (Moench) Voss). IAWA 2015, 36, 186–207. [Google Scholar] [CrossRef]
- Mvolo, C.S.; Koubaa, A.; Beaulieu, J.; Cloutier, A.; Defo, M.; Yemele, M.-C. Phenotypic correlations among growth and selected wood properties in white spruce (Picea glauca (Moench) Voss). Forests 2019, 10, 589. [Google Scholar]
- Larson, P.R.; Kretschmann, D.E.; Clark, A., III; Isebrands, J.G. Formation and Properties of Juvenile Wood in Southern Pines: A Synopsis; General Technical Report, FPL-GTR-129; US Department of Agriculture, Forest Service, Forest Products Laboratory: Madison, WI, USA, 2001; p. 42.
- Erol, M.; Haykiri-Acma, H.; Küçükbayrak, S. Calorific value estimation of biomass from their proximate analyses data. Renew. Energy 2010, 35, 170–173. [Google Scholar] [CrossRef]
- Mvolo, C.S. Valorisation Thermochimique et Biochimique de la Biomasse Ligneuse Forestiere au Quebec: Possibles Implications Pour L’amenagement Forestier et les Industries Traditionnelles de la Fibre. 2010. Available online: https://www.researchgate.net/publication/281110602_Valorisation_thermochimique_et_biochimique_de_la_biomasse_ligneuse_forestiere_au_Quebec_possibles_implications_pour_l’amenagement_forestier_et_les_industries_traditionnelles_de_la_fibre (accessed on 12 November 2021).
- Shen, Y.; Gao, Z.; Hou, X.; Chen, Z.; Jiang, J.; Sun, J. Spectral and thermal analysis of Eucalyptus wood drying at different temperature and methods. Dry. Technol. 2020, 38, 313–320. [Google Scholar] [CrossRef]
- Parikh, J.; Channiwala, S.A.; Ghosal, G.K. A correlation for calculating elemental composition from proximate analysis of biomass materials. Fuel 2007, 86, 1710–1719. [Google Scholar] [CrossRef]
- Telmo, C.; Lousada, J.; Moreira, N. Proximate analysis, backwards stepwise regression between gross calorific value, ultimate and chemical analysis of wood. Bioresour. Technol. 2010, 101, 3808–3815. [Google Scholar] [CrossRef] [PubMed]
- Kretschmann, D.E. Mechanical Properties of Wood. In Wood Handbook, Wood as an Engineering Material; Ross, R.J., Ed.; USDA Forest Service, Forest Products Laboratory: Madison, WI, USA, 2010; Volume FPL-GTR-190, p. 509. [Google Scholar]
- Ward, K.R.; Matejtschuk, P. The principles of freeze-drying and application of analytical technologies. Methods Mol. Biol. 2021, 2180, 99–127. [Google Scholar]
- Franks, F. Freeze-drying of bioproducts: Putting principles into practice. Eur. J. Pharm. Biopharm. 1998, 45, 221–229. [Google Scholar] [CrossRef]
- Lamlom, S.H.; Savidge, R.A. A reassessment of carbon content in wood: Variation within and between 41 North American species. Biomass Bioenergy 2003, 25, 381–388. [Google Scholar] [CrossRef]
- Nienstaedt, H.; Zasada, J.C. White Spruce. In Sylvics—Volume 1: Conifers; Burns, R.M., Honkala, B.H., Eds.; USDA, Forest Service: Washington, DC, USA, 1990; Agriculture Handbook 654; pp. 389–442. [Google Scholar]
- Little, E.L. Checklist of United States Trees (Native and Naturalized); US Department of Agriculture, Forest Service: Washington, DC, USA, 1979; Agriculture Handbook 541; p. 375.
- Thermofisher. Lindberg/Blue M™ Moldatherm™ Box Furnaces. Available online: https://www.thermofisher.com/order/catalog/product/BF51794C (accessed on 12 November 2021).
- Labconco. FreeZone 2.5 Liter -50C Benchtop Freeze Dryers. Available online: https://www.labconco.com/product/freezone-25-liter-50c-benchtop-freeze-dryers/6102 (accessed on 12 November 2021).
- Leco. 828 Series Combustion. Available online: https://www.leco.com/product/828 (accessed on 12 November 2021).
- R Core Team. R: A Language and Environment for Statistical Computing; R Foundation for Statistical Computing: Vienna, Austria, 2018. [Google Scholar]
- Martin, A.R.; Thomas, S.C. A reassessment of carbon content in tropical trees. PLoS ONE 2011, 6, e23533. [Google Scholar] [CrossRef] [PubMed] [Green Version]
- Castaño-Santamaría, J.; Bravo, F. Variation in carbon concentration and basic density along stems of sessile oak (Quercus petraea (Matt.) Liebl.) and Pyrenean oak (Quercus pyrenaica Willd.) in the Cantabrian Range (NW Spain). Ann. For. Sci. 2012, 69, 663–672. [Google Scholar] [CrossRef] [Green Version]
- Rosner, S. Acoustic detection of cavitation events in water conducting elements of norway spruce sapwood. J. Acoust. Emiss. 2004, 22, 9. [Google Scholar]
- Baldwin, C., Jr.; Peterson, K.D.; Clark III, A.; Ferguson, R.B.; Strub, M.R.; Bower, D.R. The effects of spacing and thinning on stand and tree characteristics of 38-year-old Loblolly Pine. For. Ecol. Manag. 2000, 137, 91–102. [Google Scholar] [CrossRef]
- Vincent, M.; Krause, C.; Koubaa, A. Variation in black spruce (Picea mariana (Mill.) BSP) wood quality after thinning. Ann. For. Sci. 2011, 68, 1115–1125. [Google Scholar] [CrossRef]
- Cown, D.J. Comparison of the effects of two thinning regimes on some wood properties of radiata pine. N. Z. J. For. Sci. 1974, 4, 540–551. [Google Scholar]
- Smith, D.M. Wood Quality of Loblolly Pine After Thinning; US Department of Agriculture, Forest Service, Forest Products Laboratory: Madison, WI, USA, 1968.
- Megraw, R.A. Wood Quality Factors in Loblolly Pine—The Influence of Tree Age, Position in Tree, and Cultural Practice on Wood Specific Gravity, Fiber Length, and Fibril Angle; Tappi Press: Atlanta, GA, USA, 1985; p. 88. [Google Scholar]
- Donaldson, L.A.; Grace, J.; Downes, G.M. Within-tree variation in anatomical properties of compression wood in radiata pine. IAWA J. 2004, 25, 253–271. [Google Scholar] [CrossRef] [Green Version]
- Wadenbäck, J.; Clapham, D.; Gellerstedt, G.; Von Arnold, S. Variation in content and composition of lignin in young wood of Norway spruce. Holzforschung 2004, 58, 107–115. [Google Scholar] [CrossRef]
- Savidge, R.A. Tree growth and wood quality. In Wood Quality and Its Biological Basis; Barnett, J.R., Jeronimidis, G., Eds.; CRC Press LLC: Boca Raton, FL, USA, 2003; p. 226. [Google Scholar]







| Silvicultural Treatment | Intensity | Tree Age (Years) | Tree Height (m) | Clear Bole Length (m) | Crown Length (m) | Diameter at Breast Height (cm) | FDC at Breast Height (%) |
|---|---|---|---|---|---|---|---|
| Treatment Averages for All Eight Trees Sampled in a Given Thinning Intensity | |||||||
| Thinning | Control | 72 | 21.5 | 15.4 | 6.1 | 28.3 | 51.14 |
| Light | 72 | 20.5 | 14.2 | 6.3 | 26.9 | 51.48 | |
| Medium | 72 | 19.9 | 12.6 | 7.3 | 26.6 | 51.44 | |
| Heavy | 72 | 22.6 | 15.2 | 7.4 | 34.4 | 53.20 | |
| Characteristics for Single Trees Sampled in a Given Initial Spacing | |||||||
| Initial spacing | 1.2 m | 43 | 16.4 | 10.1 | 6.3 | 19.5 | 52.02 |
| 1.8 m | 43 | 16 | 9.2 | 6.8 | 17.5 | 52.19 | |
| 4.3 m | 43 | 14.1 | 6.6 | 7.5 | 22.5 | 51.65 | |
| 6.1 m | 43 | 16.3 | 5.9 | 10.4 | 34.4 | 51.58 | |
| Parameter Estimates | Std. Error | t Value | Pr (>|t|) | |
|---|---|---|---|---|
| ODC at Breast Height | ||||
| Intercept | 50.11 | 0.285 | 176.0 | <0.001 |
| RFP | −0.041 | 0.016 | −2.621 | 0.014 |
| ODC for Full Tree | ||||
| Intercept | 50.15 | 0.258 | 194.0 | <0.001 |
| RFP | −0.033 | 0.012 | −2.687 | 0.009 |
| Height | −0.130 | 0.030 | −4.394 | <0.001 |
Publisher’s Note: MDPI stays neutral with regard to jurisdictional claims in published maps and institutional affiliations. |
© 2021 by the authors. Licensee MDPI, Basel, Switzerland. This article is an open access article distributed under the terms and conditions of the Creative Commons Attribution (CC BY) license (https://creativecommons.org/licenses/by/4.0/).
Share and Cite
Mvolo, C.S.; Stewart, J.D.; Helmeste, C.; Koubaa, A. Variation of White Spruce Carbon Content with Age, Height, Social Classes and Silvicultural Management. Energies 2021, 14, 8015. https://doi.org/10.3390/en14238015
Mvolo CS, Stewart JD, Helmeste C, Koubaa A. Variation of White Spruce Carbon Content with Age, Height, Social Classes and Silvicultural Management. Energies. 2021; 14(23):8015. https://doi.org/10.3390/en14238015
Chicago/Turabian StyleMvolo, Cyriac S., James D. Stewart, Christopher Helmeste, and Ahmed Koubaa. 2021. "Variation of White Spruce Carbon Content with Age, Height, Social Classes and Silvicultural Management" Energies 14, no. 23: 8015. https://doi.org/10.3390/en14238015
APA StyleMvolo, C. S., Stewart, J. D., Helmeste, C., & Koubaa, A. (2021). Variation of White Spruce Carbon Content with Age, Height, Social Classes and Silvicultural Management. Energies, 14(23), 8015. https://doi.org/10.3390/en14238015

