Next Article in Journal
Wind Flow Characterisation over a PV Module through URANS Simulations and Wind Tunnel Optical Flow Methods
Next Article in Special Issue
Eco-Efficient Ventilated Facades Based on Circular Economy for Residential Buildings as an Improvement of Energy Conditions
Previous Article in Journal
Combustion of Fuel Surrogates: An Application to Gas Turbine Engines
Previous Article in Special Issue
Estimating the Smart Readiness Indicator in the Italian Residential Building Stock in Different Scenarios
 
 
Font Type:
Arial Georgia Verdana
Font Size:
Aa Aa Aa
Line Spacing:
Column Width:
Background:
Article

Verification and Improving the Heat Transfer Model in Radiators in the Wide Change Operating Parameters

by
Mieczysław Dzierzgowski
Faculty of Building Services, Hydro and Environmental Engineering, Warsaw University of Technology, Nowowiejska 20, 00-953 Warszawa, Poland
Energies 2021, 14(20), 6543; https://doi.org/10.3390/en14206543
Submission received: 14 September 2021 / Revised: 29 September 2021 / Accepted: 30 September 2021 / Published: 12 October 2021

Abstract

:
Laboratory measurements and analyses conducted in a wide range of changes of water temperature and mass flow rate for different types of radiators allowed to provides limitations and assessment of the current radiators heat transfer model according to E N 442. The inaccuracy to determinate the radiator heat output according to E N 442, in case of low water mass flow rates may achieve up to 22.3% A revised N e w E x t e n d e d H e a t T r a n s f e r M o d e l i n R a d i a t o r s N E H T M i R m d is general and suitable for different types of radiators both new radiators and radiators existing after a certain period of operation is presented. The N E H T M i R m d with very high accuracy describes the heat transfer processes not only in the nominal conditions—in which the radiators are designed, but what is particularly important also in operating conditions when the radiators water mass flow differ significantly from the nominal value and at the same time the supply temperature changes in the whole range radiators operating during the heating season. In order to prove that the presented new model N E H T M i R m d is general, the article presents numerous calculation examples for various types of radiators currently used. Achieved the high compatibility of the results of the s i m u l a t i o n calculations with the m e a s u r e m e n t results for different types of radiators: iron elements (not ribbed), plate radiators (medium degree ribbed), convectors (high degree ribbed) in a very wide range of changes in the water m a s s f l o w r a t e s and the s u p p l y temperature indicates that a verified N E H T M i R m d can also be used in designing and simulating calculations of the central heating installations, for the rational conversion of existing installations and district heating systems into l o w t e m p e r a t u r e e n e r g y e f f i c i e n t s y s t e m s as well as to directly determine the actual e n e r g y e f f i c i e n c y , also to improve the indications of the h e a t c o s t a l l o c a t o r s . In addition, it may form the basis for the future modification of the E u r o p e a n S t a n d a r d s for radiator testing.

1. Introduction

Studies and analyses have shown that obtaining up to a good operating thermal characteristics of the radiators currently tested according to the “ E N 442 -2 R a d i a t o r s . T h e r m a l p o w e r a n d t e s t m e t h o d s ” is not possible. Analyses of the conducted measurement results have shown that the current description of the heat transfer process in convection radiator according to E N 442 [1,2] equation is practically correct only for radiators with a low degree of ribbings and mass flow rate close to the nominal value. In the case of smaller radiators mass flows, according to conducted analysis, the discrepancies are up to a dozen percent depending on the type of radiators and the water mass flow rate. The need to correctly determine the influence of the water mass flow on the heat output of the radiators was felt and signalled in some way, and various attempts were made to solve this problem. For example, Calisir et al. [3], for various connection configurations of the tested radiators, provided formulas determining the radiator heat output depending on the mass flow rate and the temperature difference of the supply and return water the form of exponential equations. After the measurements in accordance with EN 442-2 [2], the general formula for the radiator heat output was given in the form:
Φ = K T · Δ T w m · q m c
where:
  • K T , m —radiator constants based on the test results.
  • Δ T w —water temperature drop in the radiator
For example, for the TBSE (Top-Bottom-Same-Ends) radiator connection system
Φ I = 4064.9 · Δ T w 1.033 · q m 1.014
for the TBOE (Top-Bottom-Opposite-Ends) radiator connection system
Φ I I = 3456.0 · Δ T w 0.997 · q m 0.955
When it is well known from the “Physics Laws” that if the water temperature drops in the radiator Δ T w and the radiator mass flow rate q m are known—the radiator heat output is determined only by the equation:
Φ I = q m · c p · Δ T w
The comparison of the radiator heat output in the TBSE system obtained from the formula above and according to the “Laws of Physics” in this case is shown in Figure 1.
Some researchers try to attribute the influence of heat transfer conditions in the radiator from the water side only to the phenomenon of convection from the heated room side—which leads to mathematically correct relationships to a very limited extent, but at the same time contradicting the source research of this phenomenon carried out by Nusselt [4].
According to pioneering research performed by Nusselt on the of the heat transfer process in the free convection conditions the exponent of the power taking into account the influence of the temperature difference between the wall and the surrounding air in the case of laminar air flows does not exceed the value 0.25 while in the conditions of turbulent air flows it does not exceed the value 0.33.
For example, A. B. Erdogamus [5] in order to obtain acceptable accuracy for the various types of radiators tested with different water mass flow rate, suggested the following dependence for the radiator 1-row type:
Φ I = 2.795 · Δ T 1.4115
for the radiator 3-row type:
Φ I = 7.908 · Δ T 1.3846
Ássessing the results from the “mathematical” point of view, they may seem correct, but looking from the p h y s i c a l side of the convection phenomenon, we cannot forget about the pioneering source studies by Nusselt [4]—that in convection conditions the exponent “m” must not exceed the value of 1.33 .
In the publication [6] by Marchesi, R., at al., it was emphasized that the actual operating conditions of the radiators differ significantly from the conditions in the chamber test according to EN 442, among others—curtains, water mass flow rate, supply temperature and the connection method of the radiator. After the t e s t s , it was found that the radiators heat output decreased to 15% due to hydraulic connections and due to changes in the water mass flow from 10% to 20%. It should be clearly stated that according to the regulations of the currently binding [2] EN 442 standard, it is not possible to determine in accordance with the “Physics Laws”, neither the actual thermal performance nor the energy efficiency of radiators. In principle, according to current practice, only the thermal heat output obtained by the radiator is tested in the assumed n o m i n a l and reconstructed design parameters in the radiator test chamber: water temperature drop in the radiator Δ T r = 20 K or 10 K air temperature in the room t i = +20 C and the difference between the average water temperature and the air temperature in the room Δ T m = 50 K. Even if at the request of the M a n u f a c t u r e r s , tests were carried out on the heat output of radiators with a variable water mass flow q m -the equations predicted for this case in the currently valid E N 442 -2 s t a n d a r d [2] led to results that are inconsistent with the “Physics Laws”. According to the proposed Equations (7)–(9) with a constant value of the exponent “c” it follows, that there is a continuous increase in the radiators heat output only due to the increasing of the water mass flow rate through the radiator q m c .
In addition, it is very difficult to measure accurately the actual average temperature of the radiator—while measuring the temperature difference between the water supplying the radiator and the air temperature in the room—is indisputable and simple.
It is also known that the radiators will not work in heated rooms at the design air temperature equal to t i = +20 C, but at the operating air temperature which in case of using Individual billing for heating costs, may be for example t i = +18 C, while in case of oversized radiators and dysregulated central heating system or because of the individual thermal comfort requirements of the inhabitants may achieved t i = +24 C.
There is also a fundamental question about the p h y s i c a l and e c o n o m i c sense of obtaining and maintaining during the currently conducted approval tests of radiators—air temperature exactly equal to t i = +20 C with acceptable small deviations while cooling the walls of the chamber and looking for such a radiator water mass flow rate with a yet unknown radiator thermal power to obtain the nominal radiator return water temperature—waiting for the stabilization of the heat transfer conditions, depending on the type of the tested radiator several dozen hours—when we know that obtained t e s t r e s u l t s are useless in terms of the operation?
In addition at present a lot of emphasis is placed on activities related to the reduction of the air pollutant emissions e.g., by introducing high efficiency, low—temperature heating installations and low—temperature district heating systems—without changing the current standard E N 442 it will be very difficult to achieve.
Tests for the actual thermal characteristics of different types of radiators were carried out: iron 10-elements radiator, plate radiator, convectors in different connection configurations and operating conditions—temperature and water mass flow rates generally changes from 20 % to 200 % of the nominal value. The iron elements T1-type radiator constitute the vast majority of the existing central heating installations in Poland. Of course, in currently designed central heating installations, plate radiators and convector radiators are most often used.
On the basis of the s t u d i e s and a n a l y s e s carried out the N e w E x t e n d e d H e a t T r a n s f e r M o d e l i n R a d i a t o r s has been developed and verified. The N E H T M i R m d properly describes the heat transfer processes taking place in radiators used in heating systems over a wide range of operating conditions and not only under conditions close to the nominal.
This issue is particularly important in the case of existing buildings after their refurbished, where central heating installations with substantial oversized radiators and with too high supply temperature operate during the heating season practically at a mass flow rate of 2 times to 4 times smaller than the nominal value [7,8].
Conducted analyses of the actual heat consumption in more than 600 refurbished buildings showed that the vast majority did not achieve the expected reduction in actual heat consumption (and in some cases actual consumption i n c r e a s e d ) [7], due to unproperly operating conditions of radiators with very high supply temperature, low mass flow rate and the associated low energy efficiency of the heating systems (Most of which use the Iron Element Radiator T1-type).
In such facilities there is an urgent need to develop “Individual projects” for the thermal and hydraulic adaptation of existing oversized central heating systems to new actual heat demand of the rooms, which is not possible without knowledge of a good model describing the heat transfer in radiators under these conditions.
In addition in such buildings the individual heat cost allocator is commonly used and the current heat transfer model in radiators according to E N 442 [2] is used for their s o f t w a r e . As the m e a s u r e m e n t s and a n a l y s e s carried out have shown, errors due to differing significantly from the nominal of the radiators and the incorrect installation point the heat allocators reach up to 40%.
The developed N E H T M i R m d model is essential for: directly assessing the actual energy efficiency of the heating system in the heating season and in the Individual Heating Costs Allocation System, while established the suitable conditions for operational regulation of the Central heating installations and district heating systems.
In addition it will also allow for an appropriate modification of the EU Standards regarding the scope and test conditions of the radiators.

2. Description of the Existing State

Currently to determine the thermal characteristics of a convector and radiators of different types the E N 442 [2] is commonly used. The general equation describing the radiators heat output according to the E N 442 [2] standard is in the form of:
Φ I = K T · L a · H b · Δ T c 0 + c 1 H · q m c
where:
c o , c 1 , K T , a , b , c
radiator constants based on the tests
Δ T—arithmetic mean temperature difference, [K]
Φ I —radiator heat output. [W]
L—radiator length. [m]
H—radiator height. [m]
q m —water mass flow. [kg/s]
In the case that the M a n u f a c t u r e r requests testing of radiators of varying lengt and fixed height, with a variable water mass flux, the equation describing the radiators thermal power shall take the form of:
Φ I = K T · L a · H b · Δ T c o · q m c
On the other hand, when conducting tests on radiators of varying height and fixed length with a variable water mass fluxequations in the form of:
Φ I = K T · L a · H b · Δ T c 0 + c 1 H · q m c
It should be emphasized that at present there is practically nothing tested on the dependence of the radiator’s heat power output on the variable water mass flux. However. all the above models do not properly describe the heat transfer process in the area of the radiators mass flows rates much smaller than the n o m i n a l values.
The problem of determining the actual radiators thermal characteristics under a wide changes of the water mass flow rate conditions is not a new issue. Pioneering research was carried out in the 1969 [9], 1970 [10] by W. Wasilewski and in the 1974 [11], 1981 [12] by R. Rabjasz in which he proposed an equation describing the radiators thermal output in the form of:
Φ I = q m · c w · Δ t 1 · [ 1 ( 1 + m · K M · Δ t 1 m · 1 q m · c w ) 1 m ]
where c w is the specific heat of the water, m , K M —the constant thermal characteristics of the radiator, Δ t 1 —temperature difference between the s u p p l y water and the a i r temperature in the room.

3. NEHTMiR—New Extended Model of the Heat Transfer in Radiators

Studies and analyses have shown that the best current model of description of the h e a t t r a n s f e r process in the r a d i a t o r s proposed by by W. Wasilewski [9,10] and by R. Rabjasz [11,12] described by the Equation (10) is correct for water flows through the radiators not less than around 40 % of the n o m i n a l value. Below these mass water flow values differences between a c t u a l and c a l c u l a t e d radiator heat outpu are unacceptable and the problem is bigger in the case of ribbed radiators with larger quotient of the outer surface transmitting heat to the a i r in the room and the surface contacting the w a t e r .
The main assumption in the verified N e w E x t e n d e d H e a t T r a n s f e r M o d e l i n R a d i a t o r s N E H T M i R m d is the v a r i a b i l i t y of the radiator heat transfer coefficient depending on the water mass flow rate and temperature difference described in the equation:
u x = K M 1 · Δ T x m · q m d m
In operating conditions the heat transfer process in r a d i a t o r s takes place at a v a r i a b l e value of the heat transfer coefficient due to temperature and water mass flow rate changes described by Equation (11). The N e w E x t e n d e d H e a t T r a n s f e r M o d e l i n R a d i a t o r s , N E H T M i R m d is presented in Figure 2.
For the elementary surface of the radiator d A x the heat flux transferring to the a i r in the room describes the equation:
d Q r x = u r x · Δ t x · d A x
Taking into account Equation (11) we will get:
d Q r x = K M 1 · Δ t x m + 1 · q m d m · d A x
An elementary change in the temperature difference between w a t e r and a i r along element dAx describes the equation:
d ( Δ t x ) = d Q r x q m · c p
On the basis of the above relationship substitute the Equation (13) we will receive:
d ( Δ t x ) = K M 1 · Δ t x m + 1 · d A x · q m d m q m · c p
After conversion Equation (15) we will get:
d ( Δ t x ) Δ t x m + 1 = K M 1 · d A x · q m d m q m · c p
Integrating in the boundaries for: A x = 0 , Δ t x = Δ t 1 and for A x = A r , Δ t x = Δ t 2
Δ t 1 Δ t 2 d ( Δ t x ) Δ t x m + 1 = 0 A r K M 1 · d A x q m · c p
after the transformation we will get the equation describing the energy efficiency of the radiators in the form of:
E F r m d = [ 1 ( 1 + m · K M 1 · Δ t 1 m · A r · 1 q m 1 d m · c w ) 1 m ]
and radiator heat output:
Q r = E F r m d · q m · ( t s t i ) · c w
Equation describing the temperature of the return water from the radiator:
t r = t s Δ t 1 · [ 1 ( 1 + m · K M 1 · Δ t 1 m · A r · 1 q m 1 d m · c w ) 1 m ]
The exponent d m is v a r i a b l e and its value depends on the radiator water mass flow rate and the radiator type. In the case of the plate, multi-row radiator with a r i b b i n g level up to ϕ = 8.0 good result can be achieved using Equation (21):
d m = C 1 · l n ( q m ) + C 2
For the convectors with a higher degree of r i b b i n g , especially in forced airflow conditions, a better result can be achieved by describing the exponent d m as a power function in the form of Equation (22):
d m = D 1 · q m D 2
Generally, in the case of radiators optimalization of the temperature distribution on the surface of the heater in terms of obtaining the greatest possible radiator heat output —it is important but solved only once at the stage of c o n s t r u c t i o n ( d e s i g n ) of the radiator. However, during the o p e r a t i o n —only the actual thermal characteristics of the radiator used are important. That means, how the actual radiator heat output is changing at the set temperature of the a i r in the heated room—when changing the parameters over which we are influenced i.e., the s u p p l y temperature t s and the radiator water mass flow q m . And also whether the radiator heat output corresponds to the actual thermal needs of the room.
During the radiators thermal characteristics tests the actual e n e r g y e f f i c i e n c y can be directly determined in a very wide range of parameter changes by measuring for the specified ater mass flow rates q m and the set supply temperature t s and air in room t i —two standard radiator response parameters: the heat output Q r and return water temperature t r .
E F m d = ( t s t r ) ( t s t i )

4. Purpuse and Scope of the Studies Carried Out

The primary purpose of the studies was to verify the developed N e w E x t e n d e d H e a t T r a n s f e r M o d e l i n R a d i a t o r s N E H T M i R m d and also experimentally verify the relationship between the indications of heat c o s t a l l o c a t o r s located at different heights on the radiator and the measured actual amount of heat transferred by the radiator to the environment.

Test Methodology

The research used a closed-type chamber located in the Accredited C.O. Armature Laboratory of the Institute of Heating and Sanitary Technology in R a d o m and the open-type chamber located in the Heating and Air Conditioning Institute of the Warsaw University of Technology.
The temperature and water mass flow rate measurements were automatically taken every 10 s and recorded using the AL 154 DAO system. Temperature measurements were made using a multi-channel temperature measurement system. The system ensures the accuracy of the temperature measurement at 0.1 K and the automatic recording of measurement values. And the thermographic camera AGA 750 and AGEMA 470 Pro with digital thermographic image recording system for recording and processing thermal images was used to determine the actual temperature distribution on the surface of the radiator and chamber walls and determine the emissivity of the surface of walls and radiator on the basis of a known measured temperature. The instruments and measuring systems used were checked and periodically checked prior to the start of the t e s t s .
During the tests it was measured: the temperature of the water supply t s , return t r , air temperature in room t i at the reference point at height of (0.75 m from the floor at a distance of 1.5 m from the heater), the temperature on the surface of the radiator at 8 p o i n t s , the temperature on the mounting plate of the heat cost allocators and the water mass flow rates q m .
In order to ensure high accuracy of the measurement water mass flow rates q m , especially at the lowest flows, it was carried out from time to time the check measurements by w e i g h t method. An additionally three programmed heat cost allocators located at a height of 0.5 h, 0.52 h and at the height currently commonly used by Heat Cost Allocation Companies 0.75 h have been installed on radiator.
According to thermography measurements, an example of a temperature distribution on the surface of heater T1 is shown on Figure 3.
The location of the heat cost allocators and the arrangement of the radiator temperature measuring points are shown in the Figure 4.
The study was conducted over s e v e r a l w e e k s in a wide range of changes in the temperature and the radiator mass flow rates.
Throughout the test period:
-
temperature of the radiator supply water changed from 37.7 C to 68.8 C, the average value 51.2 C.
-
temperature of return from the radiator changed from 25.6 C to 60.8 C, the average value 40.0 C.
-
the radiator water mass flow varies from 0.0036 kg/s, 29.6% (nominal value) to 0.0256 kg/s, 212.1% (nominal value)—the average water mass flow 0.0121 kg/s
-
the radiator heat output varies from 122.9 W to 788.6 W—the average heat output 409.0 W.
Graphically the cumulative range of parameter changes such as: t s , t r , t i , q m , during the studies are shown in the following drawings in the Figure 5, Figure 6, Figure 7, Figure 8 and Figure 9.
Measuring series II.
Measuring series III.
Measuring series IV.
Measuring series V.
An additional range of quantitatively managed tests to determine the actual operational thermal characteristics of the T1 10-elements iron radiator is shown graphically in Figure 10.
-
temperature of the radiator supply water 70.2 C + −0.4 K,
-
return temperature from the radiator changed from 35.3 C to 63.4 C,
-
the radiator water mass flow varies changed from 0.0034 kg/s (39.0% nominal value) to 0.031 kg/s (356.0% nominal value)
-
the radiator heat output varies from 481 W to 924 W.

5. Result and Analysis

The comparison between the m e a s u r e m e n t and simulation calculations result of radiator heat output, radiator e f f i c i e n c y and r e t u r n water temperature according to the N E H T M i R m d for 10-elements iron radiator T1 with no extended external surface (ribbed degree around 1.0) at t s = 70.0 C is presented in the Table 1 and Table 2.
Across a wide range of tests and measurements carried out, the discrepancy between the results obtained from simulation calculations based on the N E H T M i R m d and the actual values obtain from measurement’s had not exceed 2.5%.
On the other hand, using the E N 442 model, discrepancies in the radiator heat output under low water mass flow conditions reach up to −22.3%.
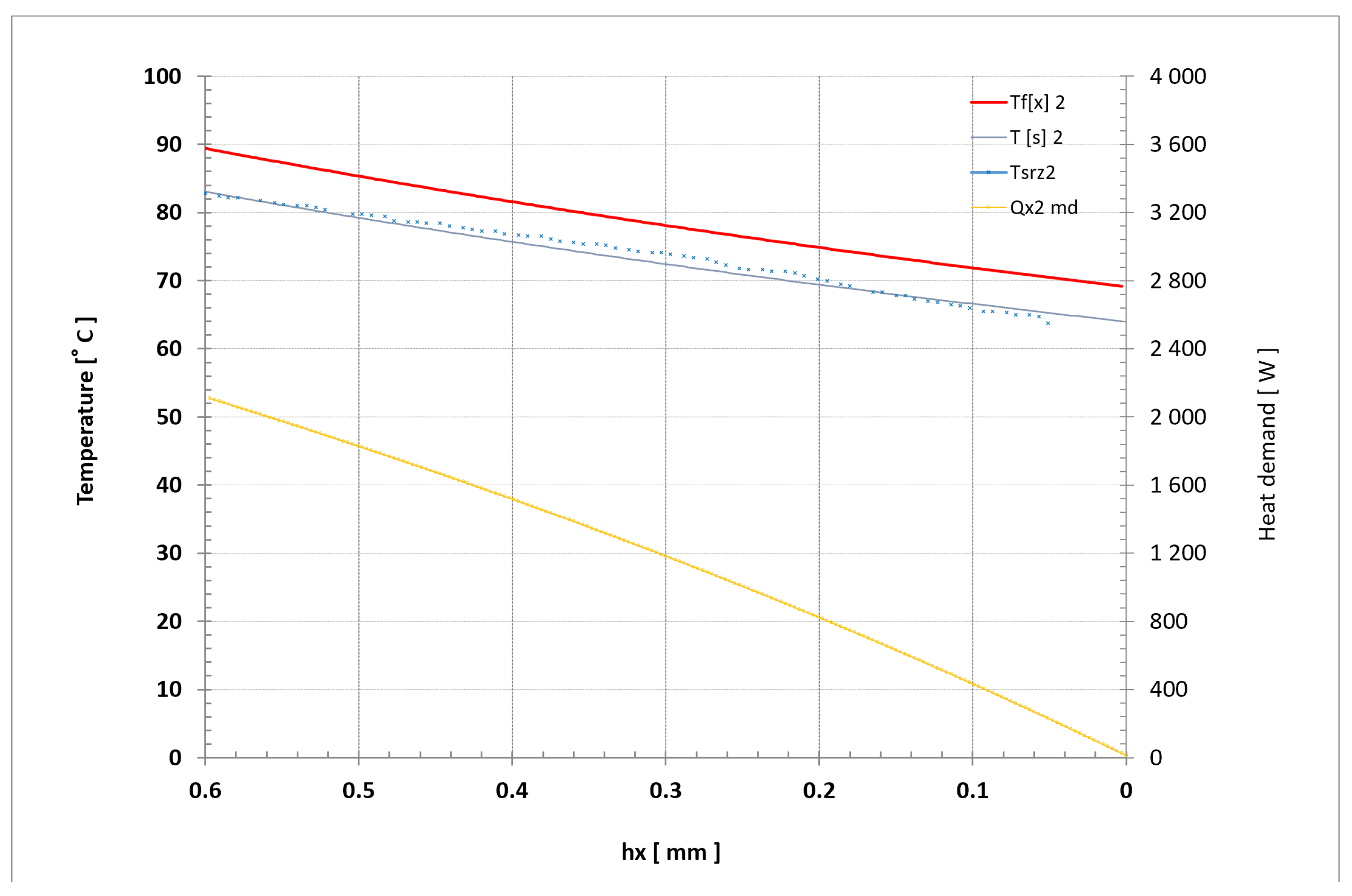
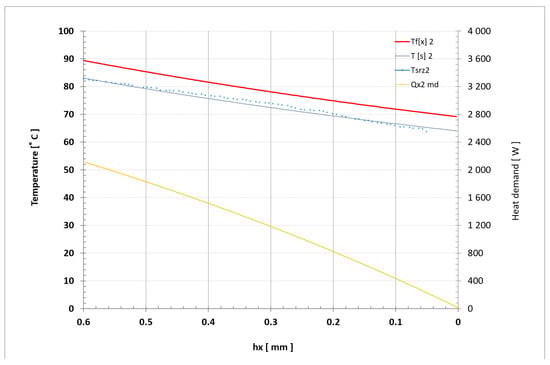
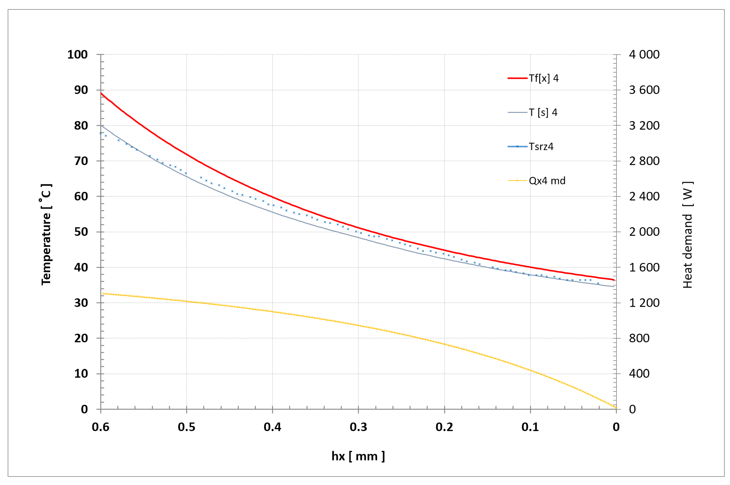
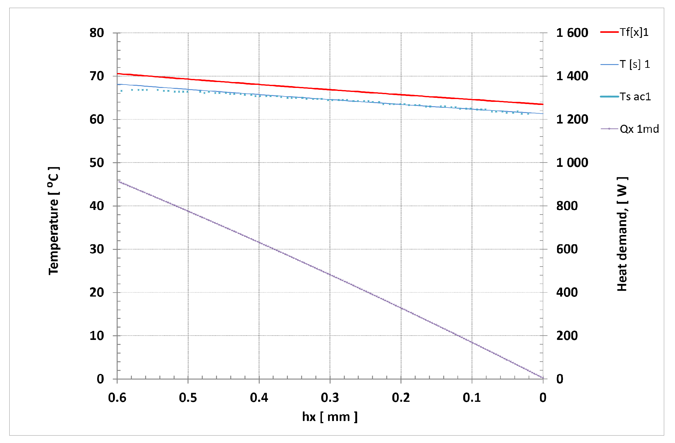
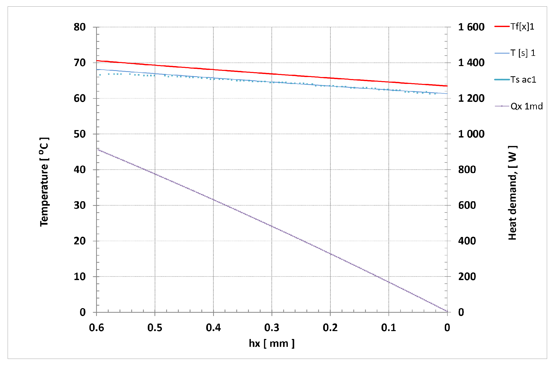
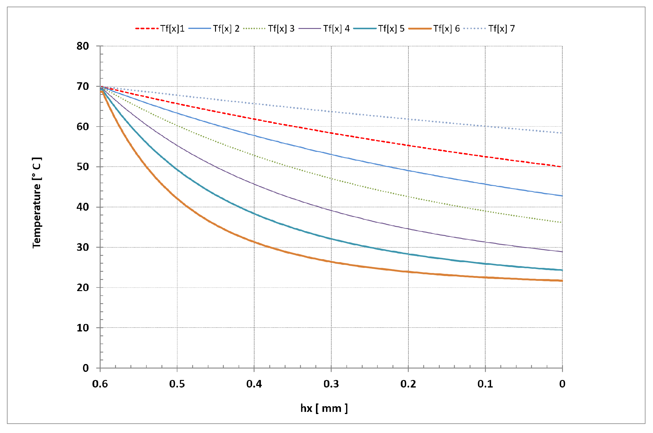
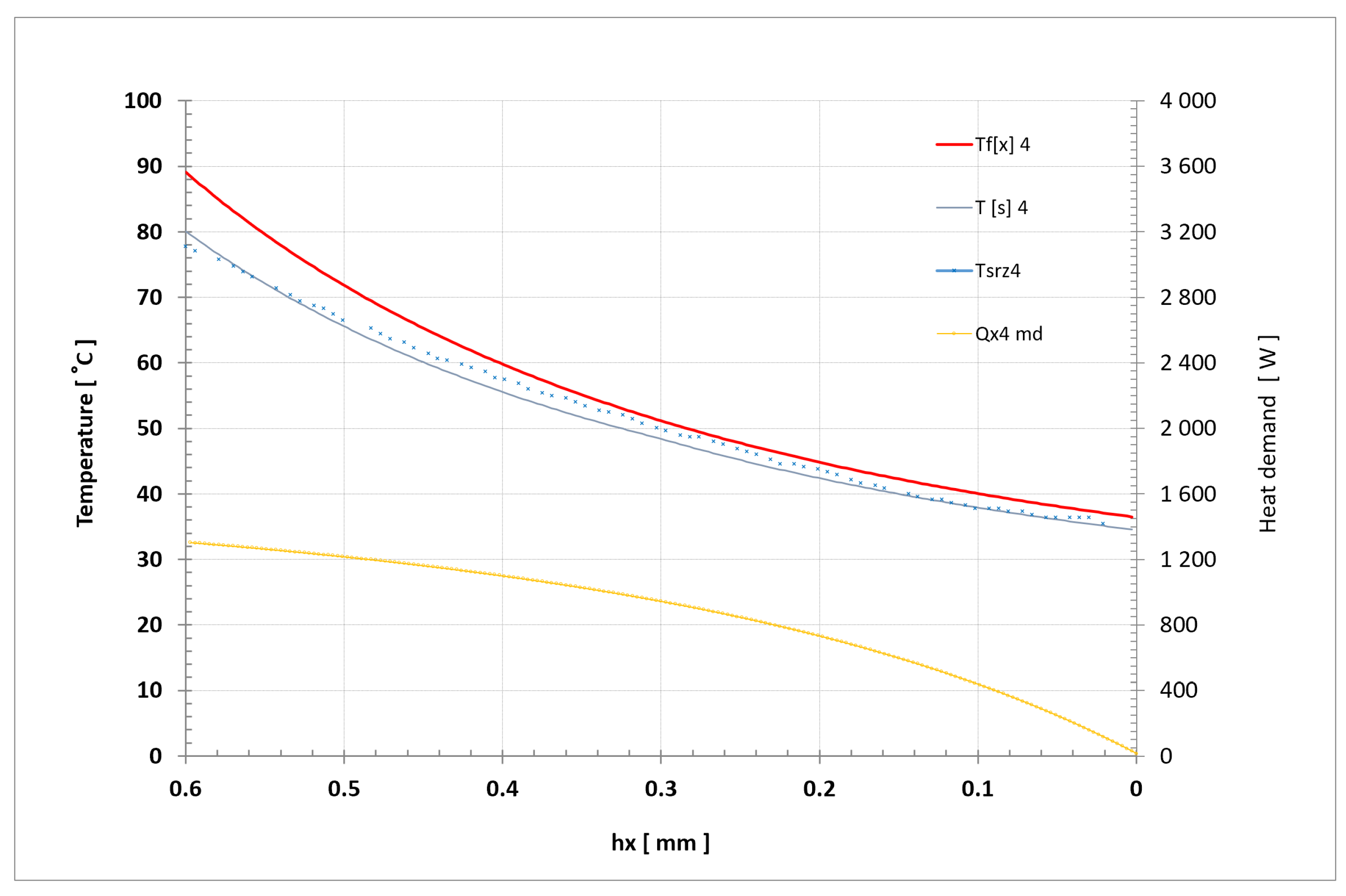
On Figure 11 and Figure 12 for example a comparison between the result of the simulation calculations based on developed N E H T M i R m d and measurements the temperature distribution of the water flowing through the radiator and radiator surface temperature distribution along its height obtain from thermography measurements are provided (measurement 1 and 4).
In the drawings above the radiator heat demand output means the heat transmitted to a given point at the height of the heater measured from the top. For example, if the water flow q m = 0.0051 kg/s, measurement 4 and h x = 0.6 m, Q x = 602 W—heat output transferred by the entire radiator, if h x = 0.3 m, Q x = 381 W—heat output of the upper half of the radiator, if h x = 0.4 m, Q x = 467 W—heat output transferred by the upper 2 3 of the radiator surface.
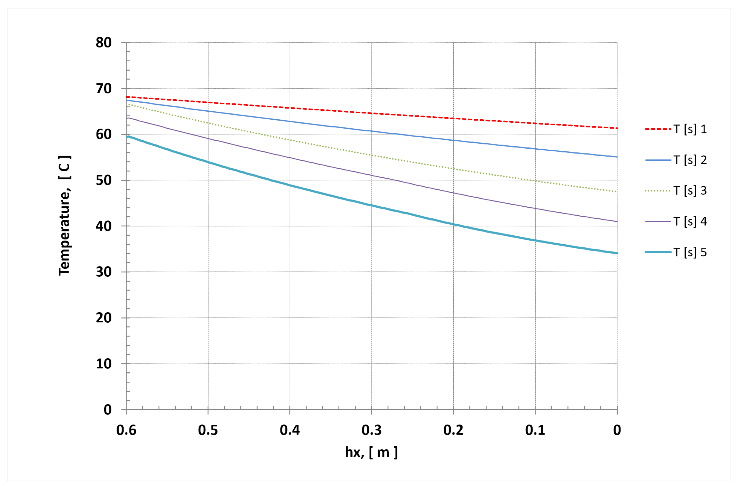
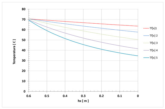
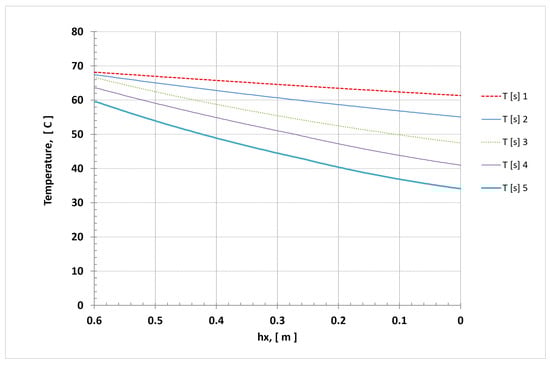
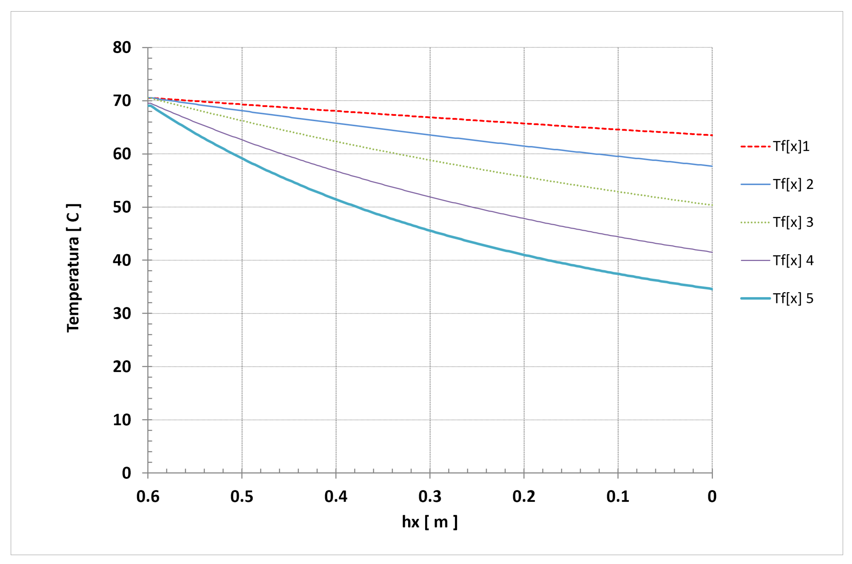
For the entire range carried out of the measurement from 1 to 5 the result of simulation calculations according the N E H T M i R m d of the water and radiator surface temperature distribution along its height at t s = 70.2 C and mass flow rate q m x from 39% to 356% of the nominal value are presented on Figure 13 and Figure 14.
Profile of the radiator T1 surface temperature change, at t s = 70.2 C, and mass flow rate q m x from 39 % to 356 %  nominal flow rate is presented in Figure 14.
As it can be seen in Figure 13 under the high radiator water mass flow rate conditions, the p r o f i l e of temperature changes and changes in radiator heat output along the heat transfer surface is close to l i n e a r . However, in the case of a mall mass water flow rate (Figure 13—measurement 4)—the profile of the temperature distribution and radiator heat output changes are clearly different from the linear. In addition Figure 14 shows, that for a small water mass flow in the upper zone of the radiator there is the largest difference between the temperature of the water and the radiator wall of about 6.0 K. From the level less than half of the heater in this case, the temperature difference between the flowing water and the radiator wall T f T s does not exceed 0.9 K.
Along the entire heat transfer area of the radiator the difference between the surface temperature determined from the thermography measurements and simulation calculations according to N E H T M i R m d for Elements Iron Radiator T1-type does not exceed 2%.
The developed N E H T M i R m d with high accuracy describes heat transfer processes under significant changes of the radiator water mass flow rate and temperature supply. It is highly recommended and useful for determination of seasonal operating conditions and actual e n e r g y e f f i c i e n c y of the radiators and the whole central heating installations.
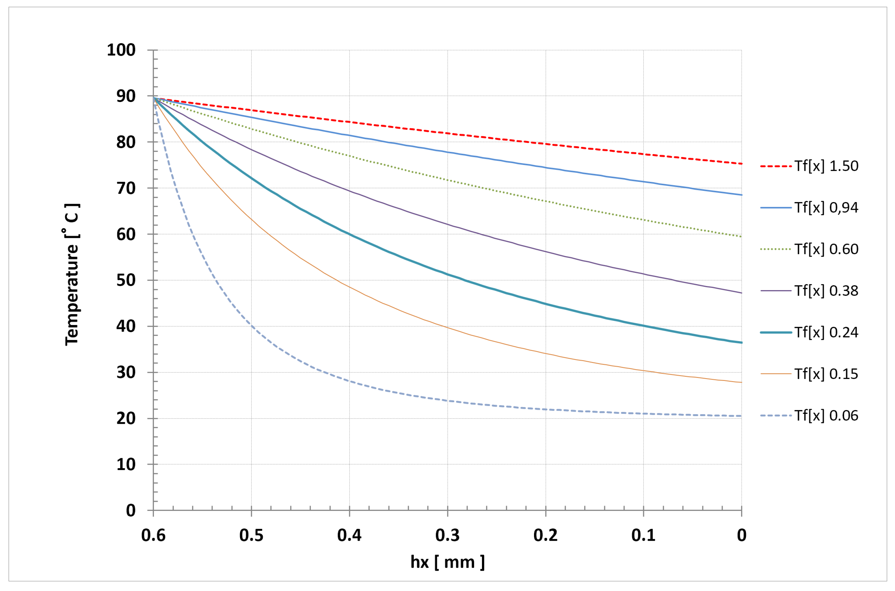
On Figure 15 and Figure 16 for example, the radiator T-1 surface temperature distribution according the thermography measurements at t s = 89.7 C and mass flow rate q m x = 0.0307 kg/s and q m x = 0.0051 kg/s are presented.
On Figure 17 and Figure 18 the profile of the water and radiator T1 surface temperature change according simulation calculations by N E H T M i R m d for mass flow rate from 24% to 153% of the nominal value are presented.
The comparison between the m e a s u r e m e n t and simulation calculations result of radiator heat output, radiator e f f i c i e n c y and return water temperature according to the N E H T M i R m d for 2-row plate radiator Delonghi 22 with extended external surface (ribbed degree around 4.76) at t s = 89.8 C and radiator water mass flow rate from 0.0059 kg/s, 24% (nominal value) to 0.0379 kg/s, 153% (nominal value) are presented in the Table 3 and Table 4.
Across a wide range of t e s t s and m e a s u r e m e n t s carried out for ribbed radiator Delonghi type 22, the discrepancy between the results obtained from s i m u l a t i o n c a l c u l a t i o n s based on the N E H T M i R m d and the actual values obtain from measurement’s had not exceed 2.0%.
On the other hand, using the E N 442 model, discrepancies in the radiator heat output under low water mass flow conditions reach up to −9.2%.
On Figure 19 and Figure 20 for example, the radiator Delonghi type 22, surface temperature distribution according the thermography measurements at t s = 89.6 C and mass flow rate q m x = 0.0247 kg/s, (measurement 2) and q m x = 0.0012 kg/s, (measurement 3) are presented.
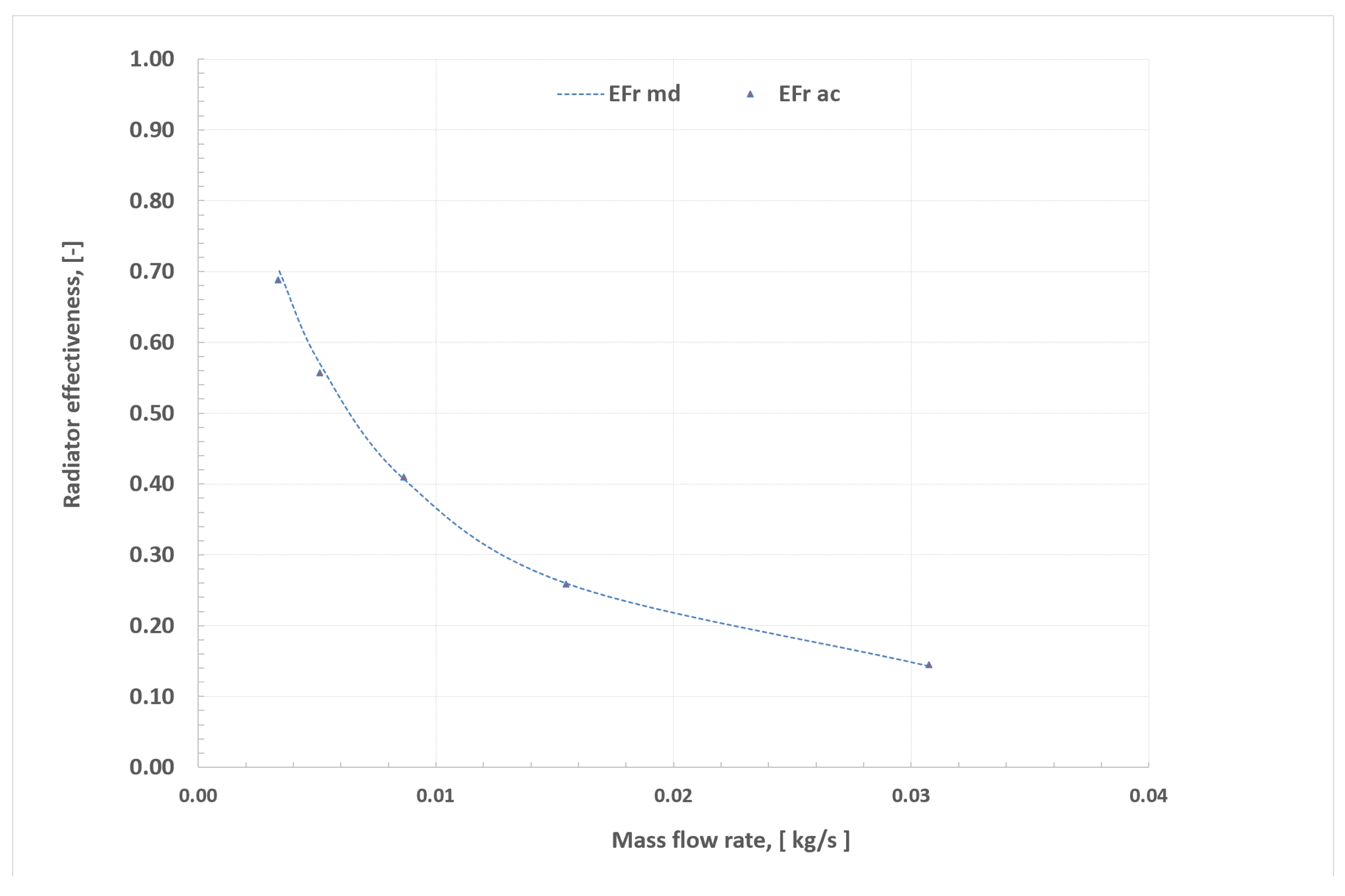
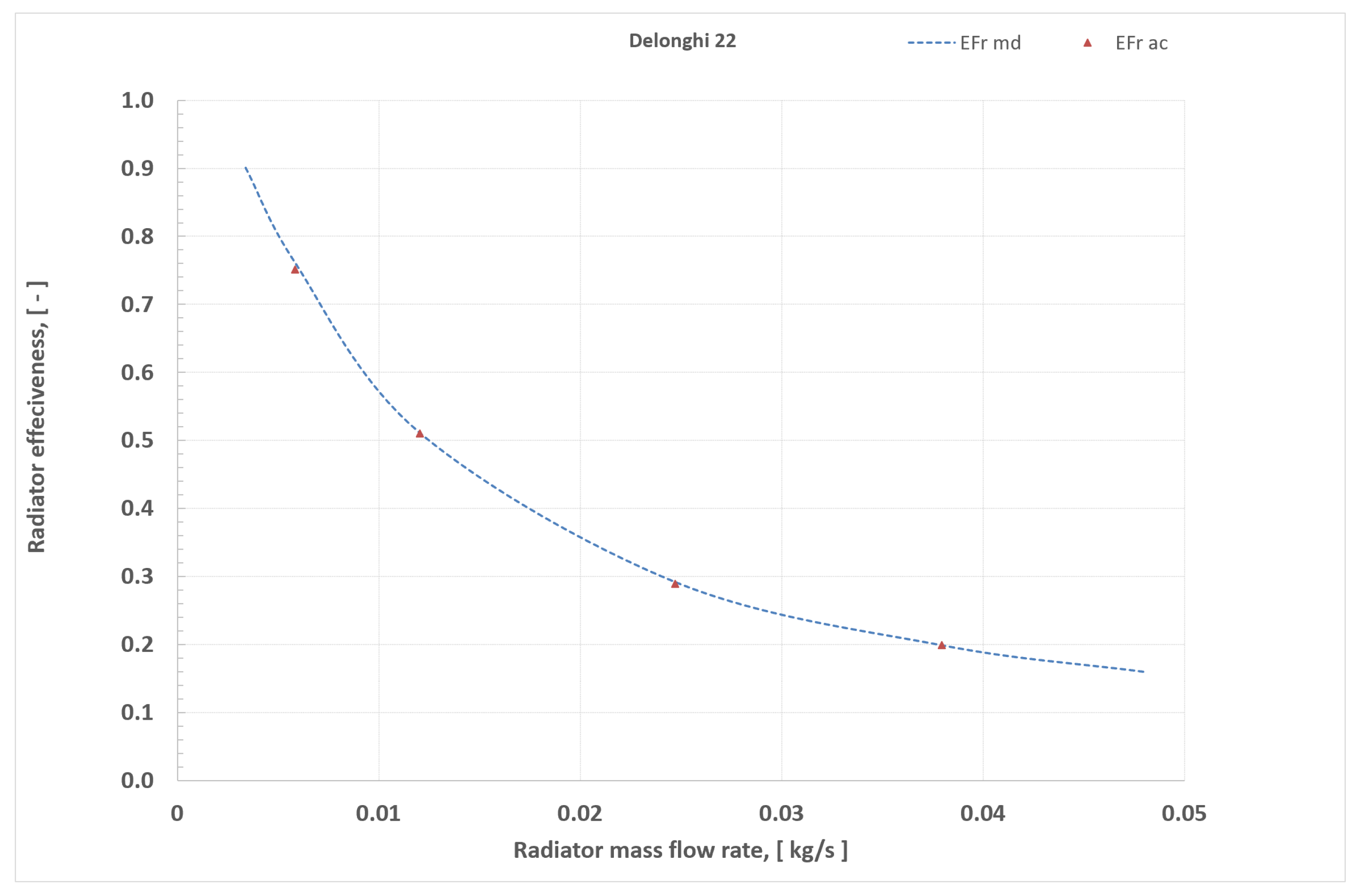
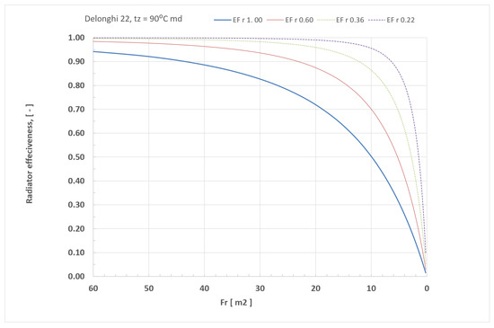
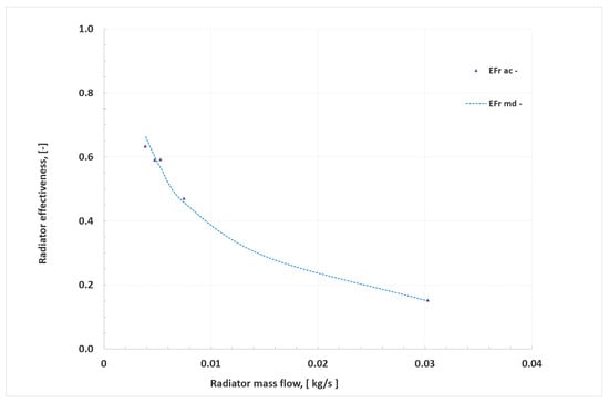
The comparison radiator Delonghi type 22 effectiveness according the t e s t s and s i m u l a t i o n calculations based on the N E H T M i R m d  (measurements from 1 to 4) for radiator water mass flow rate from 22% to 100% of the nominal value are presented are presented on Figure 21.
The radiator Delonghi type 22, effectiveness according s i m u l a t i o n calculations based on the N E H T M i R m d as a function of the radiator surface area for radiator water mass flow rate from 22% to 100% of the nominal value are presented on Figure 22.
The developed “New Extended Heat Transfer Model in Radiators” describes very well heat transfer processes under wide changes of the seasonal operating conditions also in the r i b b e d types of radiators.
On Figure 23 and Figure 24 for example, comparison between the result of the s i m u l a t i o n calculations based on developed N E H T M i R m d and m e a s u r e m e n t s the temperature distribution of the water flowing through the radiator Delonghi type 22 and radiator surface temperature distribution along its height obtain from thermography measurements are provided (measurement 1 and 4).
Along the entire heat transfer area of the radiator Delonghi-22, the differences between the c t u a l temperature determined from the thermal measurements on the radiator Delonghi-22 surface and the results of the s i m u l a t i o n calculations based on developed N E H T M i R m d does not exceed 2.0%.
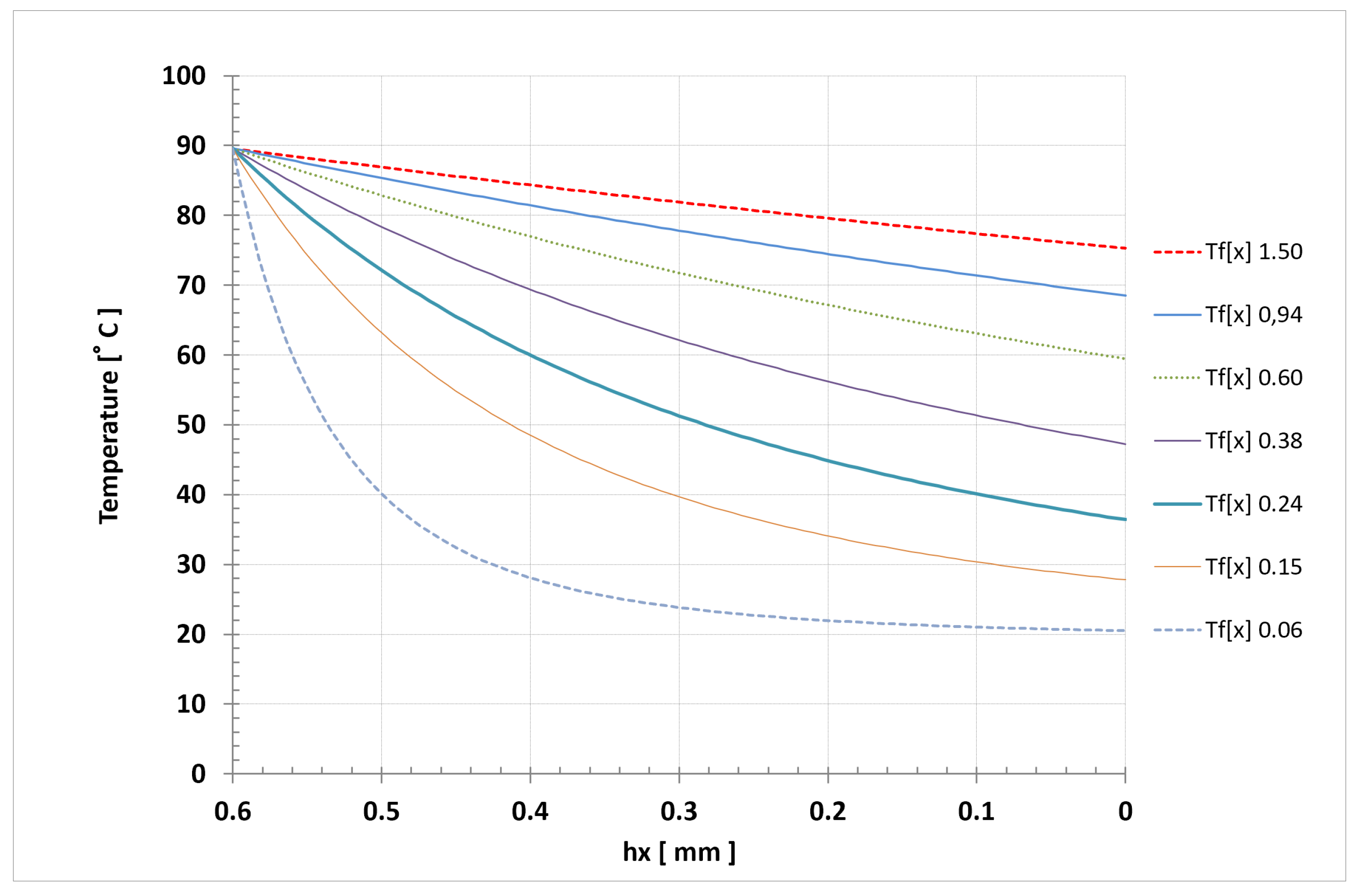
The results of the s i m u l a t i o n calculations based on the N E H T M i R m d of the water and surface temperature profile for ribbed radiator Delonghi type 22, at water supply temperature t s = 90 C and t i = 20 C in the extended range of changes in the radiator water mass flow rate from 0.0009 kg/s (10% n o m i n a l value) to 0.0178 kg/s (203% n o m i n a l value) q m o , are presented on Figure 25 and Figure 26.
As can be seen on Figure 26, under conditions of high water mass flowing through the Delonghi-22 (ribbed degree 4.76), the profile of radiator temperature and heat output changes along the heat transfer surface is practically linear. In the case of a small mass water flow rate q m i n = 0.0059 kg/s, 24% nominal q m o , see Figure 24 m e a s u r e m e n t 4—the profile of temperature and radiator heat output changes are more non-linear compared to the non-ribbed radiator T 1 - t y p e .
In order to carry out a complete verification of the N e w E x t e n d e d H e a t T r a n s f e r M o d e l i n R a d i a t o r s , N E H T M i R m d an additional test cycle of convector type radiators with a very high degree of ribbing (from 22.1 to 36.9) also with forced airflow was carried out using a 3-steped drum fan.
The radiators were made up of 8 copper tubes dimeter 18 × 0.5 mm, on which aluminum ribs of 0.15 mm thickness, diameter 125 × 200 mm, and spacing 5 mm were mounted. Tubes arranged in two rows in a combination 2 tubes of parallel or in a serial connection. The convector radiator housing is made of steel sheet. The view of the convector radiators are showed on Figure 27 and Figure 28.
A number of measuring series were carried out over a wide range of changes in the water mass flow rate through the convector radiators from approximately from 26% to 216% of the n o m i n a l mas flow rate.
The comparison between the m e a s u r e m e n t and simulation calculations result of radiator heat output, radiator efficiency and return water temperature according to the N E H T M i R m d for Convector Radiator type-8RR and type-8RS with extended external surface (ribbed degree around 22.1) at t s = 51.1 + 0.1 C and radiator water mass flow rate from 0.0047 kg/s ( 34 % nominal) value to 0.0303 kg/s ( 216 % nominal) value are presented in the Table 5.
The comparison between the m e a s u r e m e n t and simulation calculations result of radiator h e a t o u t p u t , radiator e f f i c i e n c y and r e t u r n water temperature according to the N E H T M i R m d for Convector Radiator type-8RS with extended external surface (ribbed degree around 22.1) at t s = 58.8 + 0.2 C and radiator water mass flow rate from 0.0047 kg/s, 26% (nominal) value to 0.0303 kg/s 168% (nominal) value are presented in the Table 6 and Table 7.
The comparison between the m e a s u r e m e n t and simulation calculations result of the Convector Radiator type-8RR heat output, with extended external surface (ribbed degree around 22.1) according to the N E H T M i R m d at t s = 51.1 C and radiator water mass flow rate from 0.0047 kg/s, 34% (nominal) value to 0.0303 kg/s, 216% (nominal) value are presented on the Figure 29.
The comparison between the m e a s u r e m e n t and simulation calculations result of the convector radiator type-8RS heat output, with extended external surface (ribbed degree around 22.1) according to the N E H T M i R m d at t s = 58.8 + 0.2 C and radiator water mass flow rate from 0.0035 kg/s, 26% (nominal) value to 0.0226 kg/s, 168% (nominal) value are presented on the Figure 30.
The difference between the a c t u a l heat output of the convector radiators with extended external surface (ribbed degree around 22.1) and c a l c u l a t e d according to the N E H T M i R m d do not exceed 4.3%.

6. Calculations Examples

6.1. Implementation of the “NEHTMiR”—Iron Elements Radiator T-1

Data input: m = 0.27 , A r = 2.4 m 2 , K M = 3.0 , d m = 0.00
The result of the m e a s u r e m e n t from 1 to 4 and simulation calculations of the R a d i a t o r T-1 e f f e c t i v e n e s s are presented on the Figure 31.
Example 1.
q m x = 0.0307 kg/s, t s = 70.6 C, t i = 21.1 C, Δ t 1 = 70.6 − 21.1 = 49.5 K ( Q a c = 924 W, t r a c = 63.4 C).
The radiator energy efficiency according N E H T M i R m d :
E F r m d = [ 1 ( 1 + 0.27 × 3.0 × 49 . 0 0.27 × 2.4 × 1 0 . 0307 ( 1 0.00 ) × c w ) 1 0.27 ] = 0.143
E F a c = ( 70.6 63.4 ) ( 70.6 21.1 ) = 0.145
Actual radiator heat output: Q r a c = 924 W
Heat output according to radiator effectiveness:
Q r = ( 70.6 21.1 ) × 4186 × 0.143 = 911 W, Q r a c = 924 W
Actual radiator return temperature t r a c = 63.4 C
The return water temperature according to radiator effectiveness:
t r = t s Δ t 1 · [ 1 ( 1 + m · K M 1 · Δ t 1 m · A r · 1 q m 1 d m × c w ) 1 m ]
t r m d = 70.6 49.5 × 0.143 = 63.5 C, d t r = 1.3 %
Example 2.
q m x = 0.0155 kg/s, t s = 70.6 C, t i = 20.9 C, Δ t 1 = 70.6 − 20.9 = 49.7 K ( Q a c = 832 W, t r a c = 57.8 C).
The radiator energy efficiency according N E H T M i R m d :
E F r m d = [ 1 ( 1 + 0.27 × 3.0 × 49 . 7 0.27 × 2.4 × 1 0 . 0155 ( 1 0.00 ) × c w ) 1 0.27 ] = 0.260
E F a c = ( 70.6 57.8 ) ( 70.6 20.9 ) = 0.259
Actual radiator heat output:
Q r a c = 832 W Heat output according to radiator effectiveness:
Q r = ( 70.6 20.9 ) × 4186 × 0.260 = 837 W, Q r a c = 832 W, d Q r = 0.6 %
Actual radiator return temperature t r a c = 57.8 C
The return water temperature according to radiator effectiveness:
t r m d = 70.6 49.7 × 0.260 = 57.7 C, d t r = 0.00 %
Example 3.
q m x = 0.0086 kg/s, t s = 70.5 C, t i = 20.7 C, Δ t 1 = 70.5 − 20.7 = 49.8 K ( Q a c = 737 W, t r a c = 50.1 C).
The radiator energy efficiency according N E H T M i R m d :
E F r m d = [ 1 ( 1 + 0.27 × 3.0 × 49 . 8 0.27 × 2.4 × 1 0 . 0086 ( 1 0.00 ) × c w ) 1 0.27 ] = 0.408
E F a c = ( 70.5 50.1 ) ( 70.5 20.7 ) = 0.410
Actual radiator heat output:
Q r a c = 737 W Heat output according to radiator effectiveness:
Q r = ( 70.6 20.7 ) × 4186 × 0.408 = 733 W, Q r a c = 737 W, d Q r = 0.5 %
Actual radiator return temperature t r a c = 50.1 C
The return water temperature according to radiator effectiveness:
t r m d = 70.6 49.8 × 0.408 = 50.2 C, d t r = 0.20 %
Example 4.
q m x = 0.0051 kg/s, t s = 69.7 C, t i = 20.3 C, Δ t 1 = 69.7 − 20.3 = 49.4 K ( Q a c = 588 W, t r a c = 42.2 C).
The radiator energy efficiency according N E H T M i R m d :
E F r m d = [ 1 ( 1 + 0.27 × 3.0 × 49 . 4 0.27 × 2.4 × 1 0 . 0051 ( 1 0.00 ) × c w ) 1 0.27 ] = 0.571
E F a c = ( 69.7 42.2 ) ( 69.7 20.3 ) = 0.56
Actual radiator heat output:
Q r a c = 588 W Heat output according to radiator effectiveness:
Q r = ( 69.7 20.3 ) × 4186 × 0.571 = 602 W, Q r a c = 588 W, d Q r = 2.5 %
t r a c = 42.2 C
The return water temperature according to radiator effectiveness:
t r m d = 69.7 49.4 × 0.571 = 41.5 C, d t r = 2.5 %
Example 5.
q m x = 0.0034 kg/s, t s = 69.4 C, t i = 19.9 C, Δ t 1 = 69.4 − 19.9 = 49.5 K ( Q a c = 481 W, t r a c = 35.3 C).
The radiator energy efficiency according N E H T M i R m d :
E F r m d = [ 1 ( 1 + 0.27 × 3.0 × 49 . 5 0.27 × 2.4 × 1 0 . 0034 ( 1 0.00 ) × c w ) 1 0.27 ] = 0.704
E F a c = ( 69.4 35.3 ) ( 69.4 19.9 ) = 0.690
Actual radiator heat output:
Q r a c = 481 W Heat output according to radiator effectiveness:
Q r = ( 69.4 19.9 ) × 4186 × 0.704 = 491 W, Q r a c = 481 W, d Q r = 2.2 %
t r a c = 35.3 C
Actual radiator return temperature: t r a c = 35.3 C
The return water temperature according to radiator effectiveness:
t r m d = 69.7 49.5 × 0.704 = 34.6 C, d t r = 2.2 %

The Discrepancy

The discrepancy in the results of m e a s u r e m e n t s and s i m u l a t i o n calculations of the radiator efficiency, radiator heat output and return temperature in terms of mass flow rate changes from 39% to 179% of the radiator nominal mass flow rate does not exceed 2.5 % .

6.2. Implementation of the “NEHTMiR” for 2-Row Delonghi-22 Ribbed Radiator

Data input: m = 0.32 , A r = 8.37 m 2 , K M = 0.137 , ribbing level ϕ = 4.3 , D 1 = 0.0199 , D 2 = 0.0721 .
The result of the m e a s u r e m e n t from 1 to 5 and simulation calculations of the R a d i a t o r D e l o n g h i -22 e f f e c t i v e n e s s are presented on the Figure 32.
Example 6.
q m x = 0.0379 kg/s, t s = 89.8 C, t i = 19.9 C, Δ t 1 = 89.8 − 19.9 = 69.9 K, D 1 = 0.0199, D 2 = 0.0721. ( Q a c = 2215 W, t r a c = 75.9 C).
The radiator energy efficiency according “ N E H T M i R m d ”:
d m = 0.0199 × l n ( 0.0379 ) 0.0721 = 0.00025
E F r m d = [ 1 ( 1 + 0.32 × 8.37 × 69 . 9 0.32 × 2.4 × 1 0 . 0379 ( 1 0.00025 ) × c w ) 1 0.32 ] = 0.199
E F a c = ( 89.9 75.9 ) ( 89.9 19.9 ) = 0.199
Actual radiator heat output:
Q r a c = 2221 W
Heat output according to radiator effectiveness:
Q r = ( 89.9 19.9 ) × 4186 × 0.199 = 2208 W, Q r a c = 2221 W, d Q r = 0.34 %
Actual radiator return temperature: t r a c = 75.93 C
The return water temperature according to radiator effectiveness:
t r m d = 89.97 69.9 × 0.1889 = 75.9 C, d t r = 0.0 %
Example 7.
q m x = 0.0247 kg/s, t s = 89.6 C, t i = 19.5 C, Δ t 1 = 89.6 − 19.5 = 70.1 K, D 1 = 0.0199, D 2 = 0.0721. ( Q a c = 2103 W, t r a c = 69.3 C).
The radiator energy efficiency according “ N E H T M i R m d ”:
d m = 0.0199 × l n ( 0.0247 ) 0.0721 = 0.008275
E F r m d = [ 1 ( 1 + 0.32 × 8.37 × 70 . 1 0.32 × 2.4 × 1 0 . 0247 ( 1 0.008275 ) × c w ) 1 0.32 ] = 0.2915
E F a c = ( 89.6 69.3 ) ( 89.6 19.5 ) = 0.2892
Actual radiator heat output according to “ N E H T M i R m d ”:
Q r a c = 2103 W
Heat output according to radiator effectiveness:
Q r = ( 89.6 19.5 ) × 4186 × 0.2915 = 2115 W, Q r a c = 2103 W, d Q r = 0.55 %
Actual radiator return temperature: t r a c = 69.3 C
The radiator return temperature according the “ N E H T M i R m d ”: radiator effectiveness:
t r m d = 89.6 70.1 × 0.2915 = 69.2 C, d t r = 0.2 %
Example 8.
q m x = 0.0120 kg/s, t s = 89.8 C, t i = 19.7 C, Δ t 1 = 89.8 − 19.5 = 70.1 K, D 1 = 0.0199. D 2 = 0.0721. ( Q a c = 2103 W, t r a c = 69.3 C).
The radiator energy efficiency according “ N E H T M i R m d ”:
d m = 0.0199 × l n ( 0.0120 ) 0.0721 = 0.0226
E F r m d = [ 1 ( 1 + 0.32 × 8.37 × 70 . 1 0.32 × 2.4 × 1 0 . 0120 ( 1 + 0.0226 ) × c w ) 1 0.32 ] = 0.5108
E F a c = ( 89.8 54.0 ) ( 89.8 19.7 ) = 0.5108
Actual radiator heat output according to “ N E H T M i R m d ”: Q r a c = 1806 W
Heat output according to radiator effectiveness:
Q r = ( 89.8 19.7 ) × 4186 × 0.5108 = 1804 W, Q r a c = 1806 W, d Q r = 0.0 %
Actual radiator return temperature: t r a c = 54.03 C
The radiator return temperature according the “ N E H T M i R m d ” radiator effectiveness:
t r m d = 89.8 70.1 × 0.5108 = 54.0 C, d t r = 0.0 %
Example 9.
q m x = 0.0059 kg/s, t s = 89.7 C, t i = 19.7 C, Δ t 1 = 89.7 − 19.7 = 70.0 K, D 1 = 0.0199. D 2 = 0.0721. ( Q a c = 1289 W, t r a c = 37.1 C).
The radiator energy efficiency according “ N E H T M i R m d ”:
d m = 0.0199 × l n ( 0.0059 ) 0.0721 = 0.0369
E F r m d = [ 1 ( 1 + 0.32 × 8.37 × 70 . 0 0.32 × 2.4 × 1 0 . 0059 ( 1 + 0.0369 ) × c w ) 1 0.32 ] = 0.7602
E F a c = ( 89.7 37.1 ) ( 89.7 19.7 ) = 0.7513
Actual radiator heat output according to “ N E H T M i R m d ”: Q r a c = 1289 W
Heat output according to radiator effectiveness:
Q r = ( 89.7 19.7 ) × 4186 × 0.7602 = 1304 W, Q r a c = 1289 W, d Q r = 1.2 %
Actual radiator return temperature: t r a c = 37.1 C
The radiator return temperature according the “ N E H T M i R m d ” radiator effectiveness:
t r m d = 89.7 70.0 × 0.7602 = 36.5 C, d t r = 1.7 %

The Discrepancy

The discrepancy in the results of m e a s u r e m e n t s and s i m u l a t i o n calculations of the Radiator D e l o n g h i -22 efficiency, radiator heatoutput and return temperature in terms of mass flow changes from 23% to 151% of the radiator nominal mass flow rate does not exceed 1.5 % .

6.3. Implementation of the “ N E H T M i R m d ” for High Ribbed Convective Radiator type-8RR

Data input:
m = 0.30 , A r = 3.99 m 2 , K M = 1.912 , ribbing level ϕ = 8.20 , D 3 = 0.01124 ,
D 4 = 0.3952 .
The result of the m e a s u r e m e n t from 1 to 5 and simulation calculations of the High Ribbed R a d i a t o r - 8 R R e f f e c t i v e n e s s are presented on the Figure 33.
Example 10.
q m x = 0.0303 kg/s, t s = 51.2 C, t i = 21.0 C, Δ t 1 = 51.2 − 21.0 = 30.2 K, D 3 = 0.01124, D 4 = 0.0721. ( Q a c = 1289 W, t r a c = 37.1 C).
The radiator energy efficiency according “ N E H T M i R m d ”:
d m = 0.01124 × 0 . 0303 0.3952 = 0.00282
E F r m d = [ 1 ( 1 + 0.30 × 1.912 × 30 . 2 0.30 × 3.99 · 1 0 . 0303 ( 1 0.00282 ) × c w ) 1 0.30 ] = 0.149
E F a c = ( 51.2 46.6 ) ( 51.2 21.0 ) = 0.151
Actual radiator heat output according to “ N E H T M i R m d ”:
Q r a c = 583 W
Heat output according to radiator effectiveness:
Q r = ( 51.2 21.0 ) × 4186 × 0.149 = 573 W, Q r a c = 583 W, d Q r = 1.7 %
Actual radiator return temperature: t r a c = 46.6 C
The radiator return temperature according the “ N E H T M i R m d ” radiator effectiveness:
t r m d = 51.2 30.2 × 0.149 = 46.7 C, d t r = 0.2 %
Example 11.
q m x = 0.0047 kg/s, t s = 51.1 C, t i = 21.0 C, Δ t 1 = 51.1 − 21.0 = 30.1 K, D 3 = 0.01124, D 4 = 0.0721, ( Q a c = 352 W, t r a c = 33.3 C).
The radiator energy efficiency according “ N E H T M i R m d ”:
d m = 0.01124 × 0 . 0047 0.3952 = 0.0001355
E F r m d = [ 1 ( 1 + 0.30 × 1.912 × 30 . 1 0.30 × 3.99 × 1 0 . 0047 ( 1 0.0001355 ) × c w ) 1 0.30 ] = 0.602
E F a c = ( 51.1 33.3 ) ( 51.1 21.0 ) = 0.591
Actual radiator heat output according to “ N E H T M i R m d ”:
Q r a c = 352 W
Heat output according to radiator effectiveness:
Q r = ( 51.1 21.0 ) × 4186 × 0.602 = 358 W, Q r a c = 352 W, d Q r = 1.9 %
Actual radiator return temperature: t r a c = 33.3 C
The radiator return temperature according the “ N E H T M i R m d ” radiator effectiveness:
t r m d = 51.1 30.1 × 0.602 = 32.9 C, d t r = 1.3 %
Example 12.
q m x = 0.0226 kg/s, t s = 59.0 C, t i = 22.0 C, Δ t 1 = 59.8 − 22.0 = 37.0 K, D 3 = 0.01124, D 4 = 0.0721, ( Q a c = 709 W, t r a c = 51.5 C).
The radiator energy efficiency according " N E H T M i R m d " :
d m = 0.01124 · 0 . 0226 0.3952 = 0.00251
E F r m d = [ 1 ( 1 + 0.30 × 1.912 × 37 . 0 0.30 × 3.99 × 1 0 . 0226 ( 1 0.00251 ) × c w ) 1 0.30 ] = 0.2058
E F a c = ( 59.0 51.5 ) ( 59.0 22.0 ) = 0.2024
Actual radiator heat output according to “ N E H T M i R m d ”: Q r a c = 709 W
Heat output according to radiator effectiveness:
Q r = ( 59.0 22.0 ) × 4186 × 0.2058 = 721 W, Q r a c = 709 W, d Q r = 1.7 %
Actual radiator return temperature: t r a c = 51.5 C
The radiator return temperature according the “ N E H T M i R m d ” radiator effectiveness:
t r m d = 59.0 37.0 × 0.2058 = 51.4 C, d t r = 0.2 %
Example 13.
q m x = 0.0035 kg/s, t s = 58.6 C, t i = 20.8 C, Δ t 1 = 58.6 − 20.8 = 37.8 K, D 3 = 0.01124, D 4 = 0.3952, ( Q a c = 388 W, t r a c = 32.1 C).
The radiator energy efficiency according “ N E H T M i R m d ”:
d m = 0.01124 × 0 . 0035 0.3952 = 0.00120
E F r m d = [ 1 ( 1 + 0.30 × 1.912 × 37 . 8 0.30 × 3.99 × 1 0 . 00035 ( 1 0.00120 ) × c w ) 1 0.30 ] = 0.720
E F a c = ( 58.6 32.1 ) ( 58.6 20.8 ) = 0.701
Actual radiator heat output according to “ N E H T M i R m d ”: Q r a c = 388 W
Heat output according to radiator effectiveness:
Q r = ( 58.6 . 0 20.8 ) × 4186 × 0.720 = 399 W, Q r a c = 388 W, d Q r = 2.8 %
Actual radiator return temperature: t r a c = 32.1 C
The radiator return temperature according the “ N E H T M i R m d ” radiator effectiveness:
t r m d = 58.6 37.8 × 0.720 = 31.4 C, d t r = 2.2 %

The Discrepancy

The discrepancy in the results of m e a s u r e m e n t s and s i m u l a t i o n calculations of the high ribbed convective R a d i a t o r - 8 R R efficiency, radiator heat output and return temperature in terms of mass flow changes from 26% to 202% of the radiator nominal mass flow rate does not exceed 4.3 % .

7. Conclusions

A revised N e w E x t e n d e d H e a t T r a n s f e r M o d e l i n R a d i a t o r s N E H T M i R m d is general and suitable for all types of radiators, both new radiators and existing radiators after a certain period of operation. It describes the heat transfer processes with very high accuracy in panel radiators (medium ribbed), iron elements radiators (not ribbed), convectors (high ribbed) not only in the n o m i n a l conditions - in which the radiators are designed, but what is particularly important also in the o p e r a t i n g parameters when the radiators water mass flow rate changes from 10 % to 200 % of the nominal value and at the same time the supply temperature changes whole range of radiators operation during the heating season (in all tests range m a x inaccuracies are below 4.3 % ).
In order to prove the general nature of the N E H T M i R m d the comparison of the calculations and measurements results for older iron elements radiators previously commonly used in central heating installations, new plate radiators and convectors currently designed are presented.
Across a wide range of t e s t s and m e a s u r e m e n t s carried out for ribbed radiator Delonghi type 22, the discrepancy between the results obtained from s i m u l a t i o n calculations based on the N E H T M i R m d and the actual values obtain from measurement’s in terms of mass flow changes from 23% to 151% of the nominal value—do not exceed 2.0%.
The discrepancy in the results of the m e a s u r e m e n t s and based on the N E H T M i R m d s i m u l a t i o n calculations for the Iron Elements Radiator T-1 in terms of mass flow changes from 39% to 179% of the radiator n o m i n a l mass flow rate—not exceed 2.5 % .
In case of the tests and measurements carried out for High Ribbed Convective Radiator t y p e - 8 R R across a very wide range of change: supply temperature from t s = 42.3 C to t s = 59.0 C and water mass flow from 29 % to 258 % of the n o m i n a l flow rate, maximum discrepancy between the m e a s u r e d and obtain from s i m u l a t i o n calculations result according N E H T M i R m d —do not exceed 4.3%.
The additional thermography m e a s u r e m e n t s of the temperature distribution on the radiators surface, in the entire range fully confirmed the results obtained from the s i m u l a t i o n calculations based on the N E H T M i R m d .
This issue is particularly important in the case of the existing buildings after their refurbished, where central heating installations with substantial oversized radiators and with too high supply temperature operate during the heating season practically at a mass flow rate of 2-times to 4-times smaller than the n o m i n a l value [7,8,13].
Conducted analyses of the actual heat consumption in more than 600 refurbished buildings showed that the vast majority did not achieve the expected reduction in actual heat consumption (and in some cases actual consumption i n c r e a s e d ) [7] due to unproper operating conditions of radiators with to high supply temperature, low mass flow rate and the associated low energy efficiency of the heating systems. In such facilities there is an urgent need to develop “Individual projects” for the thermal and hydraulic adaptation of existing oversized central heating systems to new actual heat demand of the rooms, which is not possible without knowledge of the “good model” describing the heat transfer proces in radiators under these conditions.
In addition, in such building the individual heat cost allocators are commonly used and the current heat transfer model in radiators according to E N 442 is used for their s o f t w a r e . As the m e a s u r e m e n t s and a n a l y s e s carried out have shown, errors due to differing significantly from the nominal radiators operating conditions and the incorrect installation point of the heat cost allocators reach up to 40%, [13].
Achieved the high compatibility of the results of the s i m u l a t i o n calculations with the m e a s u r e m e n t results for different types of radiators: Iron Elements, Plate Radiators, Convectors in a very wide range of changes in the water m a s s f l o w rates and the s u p p l y temperature indicates that the developed N E H T M i R m d model is also essential for:
  • directly assessing the actual energy efficiency of the heating system in the heating season.
  • improve the indications of the heat allocator due their proper programming in the Individual Heating Costs Allocation Systems [14].
  • to establish the suitable conditions for o p e r a t i o n a l regulation of the Central Heating Installations especially in existing buildings after their refurbishment as well as for the District Heating Systems with s u b s t a n t i a l oversized heat exchangers.
Verified N E H T M i R m d can also be used in: d e s i g n i n g and s i m u l a t i n g calculations of the central heating installations, for the rational conversion of the existing installations and district heating systems into l o w t e m p e r a t u r e energy efficient systems.
In addition, it may form the basis for an a p p r o p r i a t e modification of the EU Standards regarding the scope and test conditions of the radiators.

Funding

This research received no external funding.

Institutional Review Board Statement

Not applicable.

Informed Consent Statement

Not applicable.

Conflicts of Interest

The author declares no conflict of interest.

Abbreviations

The following abbreviations are used in this manuscript:
DOAJDirectory of open access journals
TLAThree letter acronym
LDLinear dichroism

References

  1. EN 442-1. Radiators and Convectors—Part 1: Technical Specification and Requirements; European Committee for Standardization: Brussels, Belgium, 2014. [Google Scholar]
  2. EN 442-2. Radiators and Convectors—Part 2: Test Methods and Rating; European Committee for Standardization: Brussels, Belgium, 2014. [Google Scholar]
  3. Calisir, T.; Baskaya, S.; Yazar, H.O.; Yucedag, S. Experimental investigation of panel radiator heat output enhancement for efficient thermal use under actual operating conditions. EPJ Web Conf. 2015, 92, 02010. [Google Scholar] [CrossRef] [Green Version]
  4. Nusselt, W. Fundamental Law of Heat Transfer—Natural and Forced Convection. Gesundheits Ing. 1915, 38, 477–496. Available online: https://nrc-publications.canada.ca/eng/view/ft/?id=36494c75-ac61-4b40-b5cc-12fb6484532b (accessed on 1 July 2021).
  5. Erdogmus, A.B. Simulations of the Heater Test Room Defined by EN 442 Standard and Virtual Testing of Different Type of Heaters. Ph.D. Thesis, Graduate School of Engineering and Science, Department of Mechanical Ingeneering, Izmir Institute of Technology, Urla, Turkey, 2011. [Google Scholar]
  6. Marchesi, R.; Rinaldi, F.; Tarini, C.; Aroino, F.; Cortellessa, G.; Dell’isola, M.; Ficco, G. Experimental Analysis of Radiators’ Thermal output for heat accounting. Therm. Sci. 2019, 23, 989–1002. [Google Scholar] [CrossRef] [Green Version]
  7. Dzierzgowski, M. Influence of behaviour of energy-saving inhabitants on accuracy of individual cost accounts for heating energy in multi-family buildings with increased thermal isolation of inner partitions. Dist. Heating Heating Vent. (COW) 2004, 37, 27–31. Available online: https://www.infona.pl/resource/bwmeta1.element.baztech-article-BAR5-0001-0592 (accessed on 1 July 2021).
  8. Dzierzgowski, M.; Rabjasz, R. Research and Analysis of the Factors Influencing the Efficiency of the Use of Heat Provided by the Central Heating Installation in Thermoinsulated Buildings, 3rd ed.; Print. Scientific Works; Environmental Engineering, Warsaw University of Technology: Warsaw, Poland, 1999. [Google Scholar]
  9. Wasilewski, W. Changing the rules for selecting the size of heaters in water heating installations. J. Sanit. Tech. Probl. Rev. 1969. Unpublished. (In Polish) [Google Scholar]
  10. Wasilewski, W. Convection Heaters in Central Heating Installations; CZSBM (Central Union of Construction Cooperatives): Warsaw, Żurawia, 1970; Unpublished. (In Polish) [Google Scholar]
  11. Rabjasz, R. Thermal Characteristics of Convection Heaters and Their Influence on the Room Temperature under the Conditions of Fixed Heat Exchange; Print. Scientific Works; Environmental Engineering, Warsaw University of Technology: Warsaw, Poland, 1974; Available online: http://katkart.bg.pw.edu.pl/przeszukiwanie.html (accessed on 1 July 2021).
  12. Rabjasz, R. Static and Dynamic Thermal Properties of Convection Heaters; Print. Scientific Works; Warsaw University of Technology Publishing House, Warsaw University of Technology: Warsaw, Poland, 1974. (In Polish) [Google Scholar]
  13. Dzierzgowski, M.; Rabjasz, R.; Turlejski, S. System and Quality Criteria for Accounting for Heating Costs in Domestic Conditions Determined by the Multivariate Analysis Method; Research Project No. 7 T07 G005 15; State Committee for Scientific Research: Warsaw, Poland, 2001; Unpublished. (In Polish) [Google Scholar]
  14. EN 834. Heat Cost Allocators for the Determination of the Consumption of Room Heating Radiators. Appliances with Electrical Energy Supply; European Committee for Standardization: Brussels, Belgium, 2013. [Google Scholar]
Figure 1. The discrepancy between the actual radiator power heat output and calculated according to the equation for the T B O E system.
Figure 1. The discrepancy between the actual radiator power heat output and calculated according to the equation for the T B O E system.
Energies 14 06543 g001
Figure 2. New heat transfer model in radiators, NEHTMiR.
Figure 2. New heat transfer model in radiators, NEHTMiR.
Energies 14 06543 g002
Figure 3. An example of a temperature distribution on the surface of heater T1 according to thermography measurements—measurement 2.
Figure 3. An example of a temperature distribution on the surface of heater T1 according to thermography measurements—measurement 2.
Energies 14 06543 g003
Figure 4. Location of the heat cost allocators and radiator T1 temperature measuring points.
Figure 4. Location of the heat cost allocators and radiator T1 temperature measuring points.
Energies 14 06543 g004
Figure 5. Measuring series I.
Figure 5. Measuring series I.
Energies 14 06543 g005
Figure 6. Measuring series II.
Figure 6. Measuring series II.
Energies 14 06543 g006
Figure 7. Measuring series III.
Figure 7. Measuring series III.
Energies 14 06543 g007
Figure 8. Measuring series IV.
Figure 8. Measuring series IV.
Energies 14 06543 g008
Figure 9. Measuring series V.
Figure 9. Measuring series V.
Energies 14 06543 g009
Figure 10. Additional test range, T1 iron element radiator—quantitative.
Figure 10. Additional test range, T1 iron element radiator—quantitative.
Energies 14 06543 g010
Figure 11. Comparison of measurement and calculations results of water temperature, radiator surface temperature and radiator heat out distribution—measurement 1: t s = 70.0 C, t r = 63.4 C, t i = 21.1 C, m r = 0.0307 kg/s ( m r m a x ) .
Figure 11. Comparison of measurement and calculations results of water temperature, radiator surface temperature and radiator heat out distribution—measurement 1: t s = 70.0 C, t r = 63.4 C, t i = 21.1 C, m r = 0.0307 kg/s ( m r m a x ) .
Energies 14 06543 g011
Figure 12. Comparison of measurement and calculations results of water temperature, radiator surface temperature and radiator heat out distribution—measurement 4: t s = 69.7 C, t r = 42.2 C, t i = 20.3 C, m r = 0.0051 kg/s ( m r m i n ) .
Figure 12. Comparison of measurement and calculations results of water temperature, radiator surface temperature and radiator heat out distribution—measurement 4: t s = 69.7 C, t r = 42.2 C, t i = 20.3 C, m r = 0.0051 kg/s ( m r m i n ) .
Energies 14 06543 g012
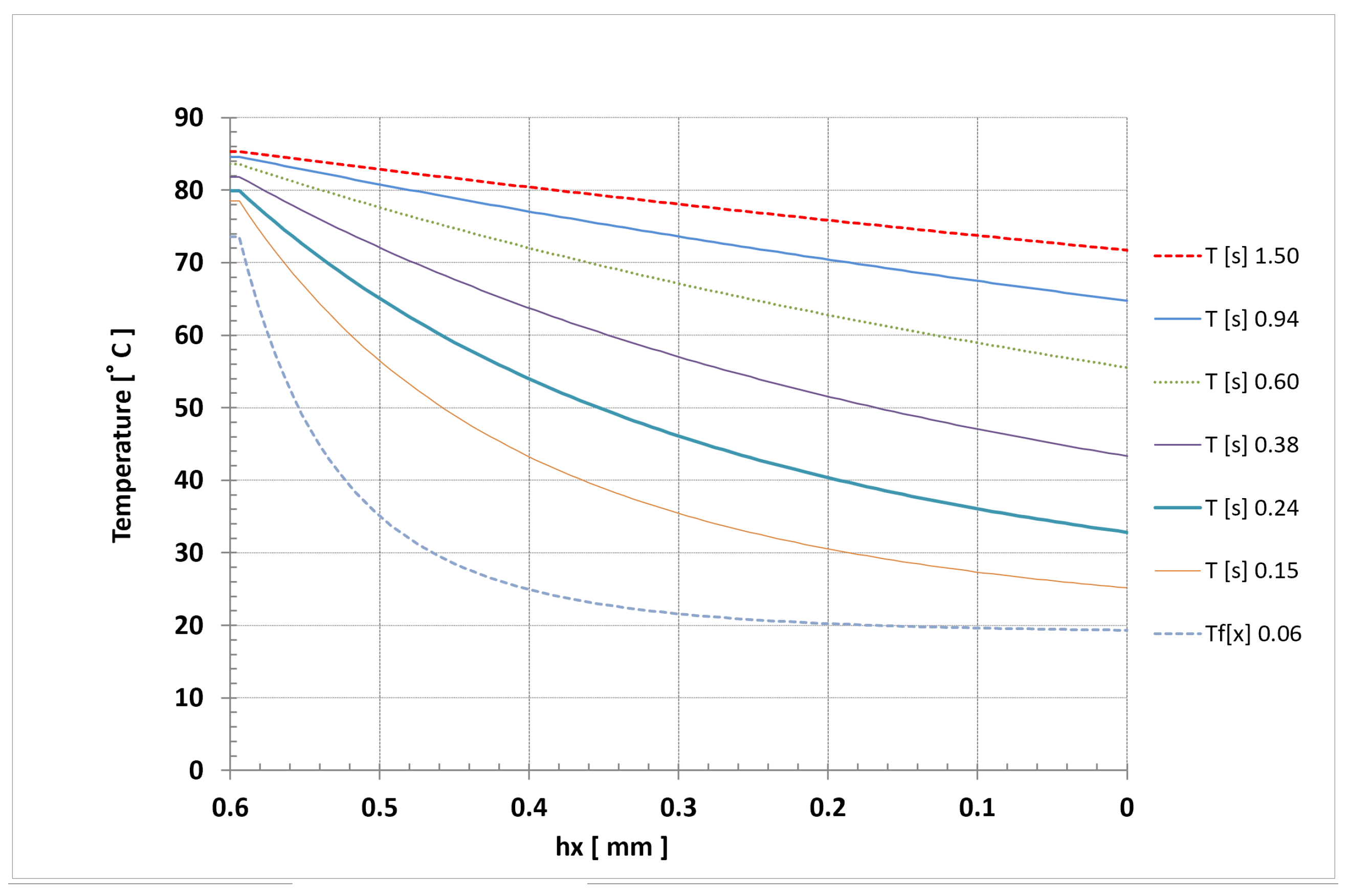
Figure 13. Profile of the radiator surface temperature temperature change, radiator T1. t s = 70.2 C, q m x from 39 % to 356 % q m o (nominal flow rate).
Figure 13. Profile of the radiator surface temperature temperature change, radiator T1. t s = 70.2 C, q m x from 39 % to 356 % q m o (nominal flow rate).
Energies 14 06543 g013
Figure 14. Profile of the radiator surface temperature temperature change, radiator T1. t s = 70.2 C, q m x from 39 % to 356 % q m o (nominal flow rate).
Figure 14. Profile of the radiator surface temperature temperature change, radiator T1. t s = 70.2 C, q m x from 39 % to 356 % q m o (nominal flow rate).
Energies 14 06543 g014
Figure 15. Radiator T1 surface temperature distribution according thermography measurements, measurements 1, flow q m x = 0.0307 kg/s ( q m a x )—356% nominal value.
Figure 15. Radiator T1 surface temperature distribution according thermography measurements, measurements 1, flow q m x = 0.0307 kg/s ( q m a x )—356% nominal value.
Energies 14 06543 g015
Figure 16. Radiator T1 surface temperature distribution according thermography measurements, measurements 4, flow q m x = 0.0051 kg/s—59% nominal value.
Figure 16. Radiator T1 surface temperature distribution according thermography measurements, measurements 4, flow q m x = 0.0051 kg/s—59% nominal value.
Energies 14 06543 g016
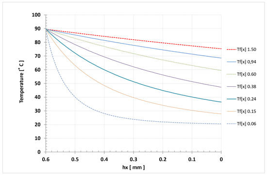
Figure 17. Iron Element Radiator T1 type—water temperature distribution according s i m u l a t i o n c a l c u l a t i o n s , t s = 89.7 C, mass flow q m x from 24% to 153% nominal value.
Figure 17. Iron Element Radiator T1 type—water temperature distribution according s i m u l a t i o n c a l c u l a t i o n s , t s = 89.7 C, mass flow q m x from 24% to 153% nominal value.
Energies 14 06543 g017
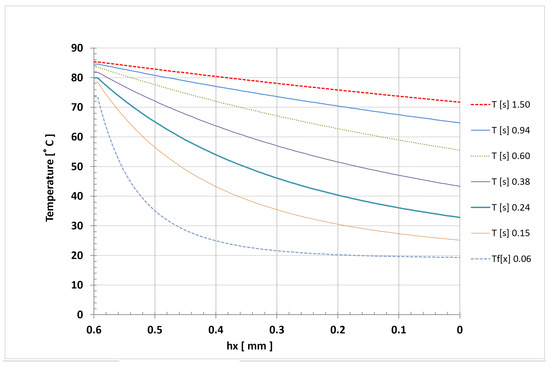
Figure 18. Iron Element Radiator T1 type—surface temperature distribution according s i m u l a t i o n c a l c u l a t i o n s , t s = 89.7 C, mass flow q m x from 24% to 153% nominal value.
Figure 18. Iron Element Radiator T1 type—surface temperature distribution according s i m u l a t i o n c a l c u l a t i o n s , t s = 89.7 C, mass flow q m x from 24% to 153% nominal value.
Energies 14 06543 g018
Figure 19. D e l o n g h i -22 radiator—surface temperature distribution according thermography measurements, t s = 89.6 C, t r = 69.3 C, t i = 19.5 C, mass flow rate q m = 0.0247 kg/s—measurement 2.
Figure 19. D e l o n g h i -22 radiator—surface temperature distribution according thermography measurements, t s = 89.6 C, t r = 69.3 C, t i = 19.5 C, mass flow rate q m = 0.0247 kg/s—measurement 2.
Energies 14 06543 g019
Figure 20. D e l o n g h i -22 radiator—surface temperature distribution according thermography measurements, t s = 89.8 C. t r = 54.0 C, t i = 19.7 C, m a s s f l o w r a t e q m = 0.0120 kg/s—measurement 3.
Figure 20. D e l o n g h i -22 radiator—surface temperature distribution according thermography measurements, t s = 89.8 C. t r = 54.0 C, t i = 19.7 C, m a s s f l o w r a t e q m = 0.0120 kg/s—measurement 3.
Energies 14 06543 g020
Figure 21. Comparison of measurement and calculations results of the D e l o n g h i -22 radiator effectiveness, measurement 1–4.
Figure 21. Comparison of measurement and calculations results of the D e l o n g h i -22 radiator effectiveness, measurement 1–4.
Energies 14 06543 g021
Figure 22. D e l o n g h i -22, Radiator e f f e c t i v e n e s s as a function of radiator surface area.
Figure 22. D e l o n g h i -22, Radiator e f f e c t i v e n e s s as a function of radiator surface area.
Energies 14 06543 g022
Figure 23. D e l o n g h i -22 comparison of measurement and calculations results of water temperature, radiator surface temperature and radiator heat out distribution—measurement 1, t s = 89.8 C, t r = 75.9 C, t i = 19.9 C, q m x = 0.0379 kg/s, ( q m . m a x ) .
Figure 23. D e l o n g h i -22 comparison of measurement and calculations results of water temperature, radiator surface temperature and radiator heat out distribution—measurement 1, t s = 89.8 C, t r = 75.9 C, t i = 19.9 C, q m x = 0.0379 kg/s, ( q m . m a x ) .
Energies 14 06543 g023
Figure 24. D e l o n g h i -22 comparison of measurement and calculations results of water temperature, radiator surface temperature and radiator heat out distribution—measurement 4, t s = 89.7 C, t r = 37.1 C, t i = 19.7 C, q m x = 0.0059 kg/s, ( q m . m i n ) .
Figure 24. D e l o n g h i -22 comparison of measurement and calculations results of water temperature, radiator surface temperature and radiator heat out distribution—measurement 4, t s = 89.7 C, t r = 37.1 C, t i = 19.7 C, q m x = 0.0059 kg/s, ( q m . m i n ) .
Energies 14 06543 g024
Figure 25. D e l o n g h i -22 water temperature change profile, t s = 90.0 C, t i = 19.9 C, q m x from 6.0 % to 150 % , ( q n o m ).
Figure 25. D e l o n g h i -22 water temperature change profile, t s = 90.0 C, t i = 19.9 C, q m x from 6.0 % to 150 % , ( q n o m ).
Energies 14 06543 g025
Figure 26. D e l o n g h i -22 surface temperature change profile, t s = 90.0 C, t i = 19.9 C, q m x from 6.0 % to 150 % , ( q n o m ).
Figure 26. D e l o n g h i -22 surface temperature change profile, t s = 90.0 C, t i = 19.9 C, q m x from 6.0 % to 150 % , ( q n o m ).
Energies 14 06543 g026
Figure 27. C o n v e c t o r R a d i a t o r - 8 R S , 8 tubes in series connection.
Figure 27. C o n v e c t o r R a d i a t o r - 8 R S , 8 tubes in series connection.
Energies 14 06543 g027
Figure 28. C o n v e c t o r R a d i a t o r - 8 R R , 8 tubes in parallel connection.
Figure 28. C o n v e c t o r R a d i a t o r - 8 R R , 8 tubes in parallel connection.
Energies 14 06543 g028
Figure 29. Comparison of the test and calculations results of the convection radiator type-8RR heat output change as a function of the mass flow rate, t s = 51.1 C.
Figure 29. Comparison of the test and calculations results of the convection radiator type-8RR heat output change as a function of the mass flow rate, t s = 51.1 C.
Energies 14 06543 g029
Figure 30. Comparison of test and calculations results of the convector radiator type-8RS heat output change as a function of the mass flow rate, t s = 58.9 C.
Figure 30. Comparison of test and calculations results of the convector radiator type-8RS heat output change as a function of the mass flow rate, t s = 58.9 C.
Energies 14 06543 g030
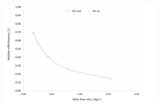
Figure 31. R a d i a t o r T-1, effectiveness according to the tests and simulations calculations by “ N E H T M i R m d ” in the mass flow range m r from 39% to 356% of the nominal value.
Figure 31. R a d i a t o r T-1, effectiveness according to the tests and simulations calculations by “ N E H T M i R m d ” in the mass flow range m r from 39% to 356% of the nominal value.
Energies 14 06543 g031
Figure 32. R a d i a t o r Delonghi-type 22—effectiveness according to the tests and simulations calculations by “ N E H T M i R m d ” in the mass flow range m r from 20% to 150% of the nominal value.
Figure 32. R a d i a t o r Delonghi-type 22—effectiveness according to the tests and simulations calculations by “ N E H T M i R m d ” in the mass flow range m r from 20% to 150% of the nominal value.
Energies 14 06543 g032
Figure 33. C o n v e c t o r R a d i a t o r - 8 R R —effectiveness according to the tests and simulations calculations by “ N E H T M i R m d ” in the mass flow range m r from 23% to 150% of the nominal value.
Figure 33. C o n v e c t o r R a d i a t o r - 8 R R —effectiveness according to the tests and simulations calculations by “ N E H T M i R m d ” in the mass flow range m r from 23% to 150% of the nominal value.
Energies 14 06543 g033
Table 1. The comparison between the measurement and the calculations results Radiator T1. t s = 70.0 C.
Table 1. The comparison between the measurement and the calculations results Radiator T1. t s = 70.0 C.
No. t s t r t i qmQr acQr ENdQr ENQr mddQr mdqmx/qmo
-°C°C°Ckg/sWW%W%-
170.663.421.10.03079249131.29111.33.56
270.657.820.90.01558328471.8837−0.61.79
370.550.120.70.00867377562.67330.51.00
469.742.220.30.005158866212.7602−2.50.59
569.435.319.90.003448158822.3491−2.20.39
Table 2. The comparison between the measurement and the calculations results Radiator T1. t s = 70 C.
Table 2. The comparison between the measurement and the calculations results Radiator T1. t s = 70 C.
No. t s t r t i qmQr acEFr mdEFr acdEFrtr mddtrTs 0.75qmx/qmo
-°C°C°Ckg/sW-°C%°C%-
170.663.421.10.03079240.14300.1450−1.363.5−1.366.13.56
270.657.820.90.01558320.26010.25850.657.70.663.31.79
370.550.120.70.00867370.40750.4097−0.550.2−0.560.31.00
469.742.220.30.00515880.57090.55712.541.52.556.20.59
569.435.319.90.00344810.70390.68852.234.62.250.40.39
Table 3. The comparison between the measurement and the calculations results Radiator Delonghi 22, t s = 89.8 C.
Table 3. The comparison between the measurement and the calculations results Radiator Delonghi 22, t s = 89.8 C.
No. t s t r t i qmQr acQr ENdQr ENQr mddQr mdTs 0.75qmx/qmo
-°C°C°Ckg/sWW%W%C-
189.875.919.90.037922222277−2.4622080.3480.41.53
289.669.319.50.024721032135−1.522115−0.5577.51.00
389.854.019.70.0120180617791.4618040.0957.00.49
489.737.119.70.005912891407−9.161304−1.1960.50.24
Table 4. The comparison between the measurement and the calculations results Radiator Delonghi 22, t s = 89.8 C.
Table 4. The comparison between the measurement and the calculations results Radiator Delonghi 22, t s = 89.8 C.
No. t s t r t i qmQr acEFr acEFr mddEFrtr mddtrTs 0.75qmx/qmo
-°C°C°Ckg/sW--%C%C-
189.875.919.90.037922220.19890.19890.075.90.080.41.53
289.669.319.50.024721030.28920.2915−0.869.20.277.51.00
389.854.019.70.012018060.51060.51080.054.00.057.00.49
489.737.119.70.005912890.75130.7602−1.236.51.760.50.24
Table 5. The comparison between the measurement results and the simulation calculations Convector Radiator type-8RR, t s = 51.1 C.
Table 5. The comparison between the measurement results and the simulation calculations Convector Radiator type-8RR, t s = 51.1 C.
No. t s t r t i qmQr acQr mddQr mdEFr acEFr mddEFrtrdtrqmx/qmo
-°C°C°Ckg/sWW%--%°C%-
151.246.621.00.03035835731.70.1520.149441.746.7−0.22.16
251.136.921.00.00754434322.50.47020.458382.537.3−1.00.53
351.133.220.90.00533963794.30.59180.566564.334.0−2.30.38
451.033.321.00.0047352358−1.90.59070.60201−1.932.91.00.34
Table 6. The comparison between the measurement results and the simulation calculations Convector Radiator type-8RS, t s = 58.9 C.
Table 6. The comparison between the measurement results and the simulation calculations Convector Radiator type-8RS, t s = 58.9 C.
No. t s t r t i qmQr acQr mddQr mdqmx/qmo
-°C°C°Ckg/sWW%-
158.632.121.00.0035388399.1−2.80.26
259.039.921.00.0064511531.9−4.10.47
359.046.920.90.0131662658.60.50.97
459.051.521.00.0226709720.9−1.71.68
Table 7. The comparison between the measurement results and the simulation calculations Convector Radiator type-8RS, t s = 58.9 C, Part 2.
Table 7. The comparison between the measurement results and the simulation calculations Convector Radiator type-8RS, t s = 58.9 C, Part 2.
No. t s t r t i qmEFr acEFr mddEFrtr mddtrqmx/qmo
-°C°C°Ckg/s--%°C%-
158.632.120.80.00350.70110.71998−2.731.42.20.26
259.039.921.40.00640.5090.53006−4.139.12.00.47
359.046.921.70.01310.32360.322040.547.0−0.10.97
459.051.522.00.02260.20240.20584−1.751.40.21.68
Publisher’s Note: MDPI stays neutral with regard to jurisdictional claims in published maps and institutional affiliations.

Share and Cite

MDPI and ACS Style

Dzierzgowski, M. Verification and Improving the Heat Transfer Model in Radiators in the Wide Change Operating Parameters. Energies 2021, 14, 6543. https://doi.org/10.3390/en14206543

AMA Style

Dzierzgowski M. Verification and Improving the Heat Transfer Model in Radiators in the Wide Change Operating Parameters. Energies. 2021; 14(20):6543. https://doi.org/10.3390/en14206543

Chicago/Turabian Style

Dzierzgowski, Mieczysław. 2021. "Verification and Improving the Heat Transfer Model in Radiators in the Wide Change Operating Parameters" Energies 14, no. 20: 6543. https://doi.org/10.3390/en14206543

APA Style

Dzierzgowski, M. (2021). Verification and Improving the Heat Transfer Model in Radiators in the Wide Change Operating Parameters. Energies, 14(20), 6543. https://doi.org/10.3390/en14206543

Note that from the first issue of 2016, this journal uses article numbers instead of page numbers. See further details here.

Article Metrics

Back to TopTop