Next Article in Journal
A Multidimensional Comparative Analysis of Involvement in CSR Activities of Energy Companies in the Context of Sustainable Development Challenges: Evidence from Poland
Next Article in Special Issue
Comparison of the Efficiency and Load Power in Periodic Wireless Power Transfer Systems with Circular and Square Planar Coils
Previous Article in Journal
Control of Power Electronics Converters and Electric Motor Drives
Previous Article in Special Issue
LCC-S-Based Integral Terminal Sliding Mode Controller for a Hybrid Energy Storage System Using a Wireless Power System
 
 
Font Type:
Arial Georgia Verdana
Font Size:
Aa Aa Aa
Line Spacing:
Column Width:
Background:
Article

Shielded Capacitive Power Transfer (S-CPT) without Secondary Side Inductors

1
Interdisciplinary Graduate School of Engineering Sciences, Kyushu University, Fukuoka 816-8580, Japan
2
Faculty of Electrical and Electronic Engineering Technology, Universiti Teknikal Malaysia Melaka, Malacca 76100, Malaysia
3
Research Centre for Electrical Power and Mechatronics, Indonesian Institute of Sciences, Bandung 40135, Indonesia
4
CEMSE Division, King Abdullah University of Science and Technology (KAUST), Thuwal 23955-6900, Saudi Arabia
*
Author to whom correspondence should be addressed.
Energies 2021, 14(15), 4590; https://doi.org/10.3390/en14154590
Submission received: 8 June 2021 / Revised: 21 July 2021 / Accepted: 27 July 2021 / Published: 29 July 2021
(This article belongs to the Special Issue Research on Wireless Power Transfer System)

Abstract

:
In this study, we propose a four-plate structure with two shielding plates to produce shielded capacitive power transfer (S-CPT) at an operating frequency of 6.78 MHz for a 10 W system. By eliminating the inductors at the secondary side to form an asymmetrical topology, an S-CPT system was developed with a class-E power amplifier. Using MATLAB software, analysis was performed to obtain the parameters in the S-CPT system regarding resonance and impedance matching, and the proposed coupler structure was investigated through electric field simulation. The shield plate voltage stability was also investigated by analysing both the simulation and hardware experiment results. A prototype of S-CPT was established to validate the analysis results and to demonstrate the voltage at the shield plate of the proposed coupler structure. The experimental results are in good agreement with the simulation results. The proposed S-CPT exhibits an AC–AC efficiency of 84%, with a 56% voltage ground stability reduction because of implementing a balun.

Graphical Abstract

1. Introduction

Capacitive power transfer (CPT) has gained interest amongst researchers in wireless power transfer technology. In the CPT system, power is transferred between plates through an electric field (EF). Recently, CPT technology has become an interesting topic in several applications, such as electric vehicle charging systems [1,2,3,4], drones [5,6], and rotary operations [7,8,9,10].
CPT comprises a DC supply, an inverter, a capacitive coupler, and a load. A resonant inverter, such as a class-E inverter [4,11,12,13], is used to resonate the AC supply with the designated operating frequency of a CPT system. A major component of the CPT system is the coupler, which acts as an interface and transfers the electric field between the primary and secondary components. Furthermore, the coupler structure has been introduced in different designs of CPT systems, such as four-plate structure [1,14,15,16], six-plate structure [17], and four-plate structure with a shield plate [18,19,20]. The coupler is arranged either vertically or horizontally depending on the designated application. Compared with the four-plate structure, a six-plate coupler with a parallel arrangement can reduce the EF emission in CPT systems [17,19]. Therefore, the shielding plate system can enhance the safety of CPT. However, misalignment between the six-plate structure increases the EF emission and decreases CPT efficiency [17]. Furthermore, the four-plate structure minimises the EF emission by using a grounding connection to the plate [15].
S-CPT, comprising four coupler plates with shield plates, has been introduced [18,20,21]. Figure 1 shows an S-CPT system design in which the coupler plates and shield plates are arranged in parallel. Both the primary and secondary sides have two coupler plates and a shield plate. The principal advantage is that the shield plates minimise EF emission [19].
This study developed an S-CPT system with a class-E power amplifier that has an operating frequency of 6.78 MHz by eliminating the inductor at the secondary side. An analytical method was used to obtain the parameters in S-CPT by considering the resonance condition and impedance matching condition. The coupler was designed, and the EF emission was studied. The S-CPT system was connected to a class-E power amplifier. To investigate the voltage at the shield plates, S-CPT systems (with and without a balun) were constructed in both the simulation and experiment.

2. S-CPT System

A generalised circuit of S-CPT can be formed into symmetrical and asymmetrical topologies in which the symmetrical topology has advantages in terms of the stability of the load changing, whereas the asymmetrical topology has the advantage of being lightweight at the receiver side [20]. Symmetrical and asymmetrical S-CPTs systems must be designed in resonance and matching conditions as the major design requirements. In the resonance condition, the S-CPT system has a total impedance of the resistive part with zero reactance part, with a total admittance equal to 0.01 in the matching condition for transferring maximum power [20].
Figure 2a shows the S-CPT system with an inductor at both the primary and secondary sides. Eliminating the inductor on the secondary side transforms the symmetrical circuit into an asymmetrical topology. The inductor’s internal series resistance affects the total current in S-CPT in terms of loss and efficiency [20]. Eliminating the secondary circuit resulted in a lightweight and compact S-CPT design. Therefore, for applications such as drones and robots that must be lightweight, the symmetrical topology has a potential solution for wireless power transfer. Accordingly, this study focused on the asymmetrical configuration and investigated the ground voltage stability and EF emission.
Figure 2a shows the component arrangement in the S-CPT system, in which the capacitance represents the six-coupler plate structure with a voltage input Vi and load resistance RL. The capacitance of the S-CPT structure is modelled by the primary coupler to the secondary coupler and the parasitic capacitance between the coupler and shielding plate only. Other parasitic characteristics were excluded—such as cross-coupling capacitance, edge side-to-side capacitance, and shield plate to ground capacitance—from the analysis. Therefore, Figure 2a presents the capacitance model, with Cc as the capacitance between the coupler plate and at the primary and secondary sides. The parasitic capacitance at the primary CP is the capacitance between the coupler plate and shielding plate. The parasitic capacitance CS is the capacitance between the coupler and the shielding plate at the secondary part. The inductor LP is placed on the primary side, and the load RL is located in the secondary part. On the secondary side, the inductor LS is connected to the load. The S-CPT circuit diagram can be simplified into an equivalent circuit [20], as shown in Figure 2b, by mirroring the x-axis structure shown in Figure 2a.
Figure 2b shows the equivalent circuit of S-CPT to represent the symmetrical circuit, as shown in Figure 2a, where R0 is the internal characteristic of the power source. Figure 3a shows the coupler structure of S-CPT with four coupler and two shield plates, and Figure 3b shows the equivalent circuit of the coupler. In Figure 3b, the capacitance C1 is denoted by the total series capacitance CP on the primary side.
The secondary capacitance, C2, equals the total series of inductor CS. Obtaining the capacitance parameters shown in Figure 3b involves using the two-port network method, assuming that both circuits in Figure 3a,b have the same value as the ABCD transmission parameter matrix as in Equation (1) and s = j * ω, in which ω is the angular frequency. Solving both circuits in Figure 3 using a MATLAB simulation with the same parameters of the ABCD matrix implies Equation (2) provides the coupling capacitance Cc, whilst Equations (3) and (4) provide the primary and secondary capacitances, respectively.
V 1 A I 1 A   =   A B C D V 2 B I 2 B
C C = C C A 2
C 1 = C P 2
C 2 = C S 2
When the inductor at the primary L1 is inserted at the circuit, as shown in Figure 2b, the inductor in Figure 2a will become half of L1 because the total inductors for both circuits are the same. In the simplification expression, LP = 0.5 × L1, and LS = 0.5 × L2. On the secondary side, the secondary capacitance C2 and secondary inductor L2 are denoted by the total series capacitance C2 and double value of the secondary inductor LS. Therefore, the equivalent circuit shown in Figure 2b is formed from Figure 2a based on the relationship between the parameters. In Figure 2b, the Kirchhoff voltage law (KVL) represents I1, I2, and I3. Using the same analysis as described in [20], the KVL equations of I1, I2, and I3 can be obtained as in Equation (5). Solving the expressions of I1, I2, and I3 involves using linear methods with a variable method, and the current to voltage equation, I1/Vi, can be obtained as in Equation (6).
j ω L 1 + 1 j ω C 1 + R 0 1 j ω C 1 0 1 j ω C 1 1 j ω C 1 + 1 j ω C c + 1 j ω C 2 1 j ω C 2 0 1 j ω C 2 j ω L 2 + 1 j ω C 2 + R L I 1 I 2 I 3 = V i 0 0
I 1 V i = j ω C ω 2 M C L 2 + N + j ω M C R L ω 4 M C 2 L 1 L 2 + ω 2 C M C R 0 R L + N L 1 + Q L 2 + T j ω 3 M C 2 L 1 R L + L 2 R 0 ω C Q R L + N R 0
where M N Q T a r 2 a r 1 a 1 r 2 a r r 1 .
The ratio of the secondary capacitor C2 to the primary capacitor C1, r = C2/C1, and the relationship between the coupling capacitance and the shield coupler is a = 1 + C/Cc + 1/r.
The value of the operating frequency f and angular frequency ω = 2πf. The value C is equal to the primary capacitance, C = C1.
Two approximations have been used to analyse and simplify the S-CPT circuit. First, total impedance can be calculated if a resonance condition occurs in the circuit with the assumption that all components in the S-CPT system are modelled by the single impedance ZT. Second, the match impedance condition in which the impedance at the input is equal to the output impedance by considering that the input power supply device has a match impedance load to S-CPT. Therefore, the equivalent circuit in Figure 2b can be simplified into a series circuit, as shown in Figure 4, in which it is arranged with total impedance ZT. The circuit consists of the total impedance ZT as the output impedance, voltage source Vi with an operating frequency f, and internal series resistance R0 as the input load.
Figure 4 shows the simplified circuit model for the analysis process, assuming that the circuit is in the resonance and match impedance conditions. In the resonance condition, the total impedance ZT is given by the resistive part with zero reactance. In the match impedance circuit, the impedance ZT is equal to the input impedance R0 to transfer the maximum power. Therefore, the I1/Vi shown in Equation (6) is solved in the resonance condition to deduce the inductor value by taking the total reactance in the circuit to be equal to zero, in which the total circuit impedance is contributed by the resistive part with no imaginary part. In the match impedance condition, the magnitude of current to voltage, |I1/Vi|, is equal to 1/100 or 0.01 [19] by taking both the input internal resistance and output load impedance equal to 50 Ω, in which the total impedance is equal to 100 Ω. Therefore, the S-CPT system in this analysis considers a 50 Ω impedance match between the supply load and S-CPT load.
In the symmetrical circuit, the primary inductor L1 is equal to the secondary inductor L2, whereas the shield plate capacitance at both the primary and secondary parts are the same, C = C1, with the ratio of the primary capacitance to the secondary capacitance r = 1. Therefore, the deduced inductor value that uses Equation (2) with the resonance condition is obtained in Equation (7). A MATLAB simulation was used to perform the calculation process.
L 1 = L 2 =   C +   C C   C   2 + 2 C C C ω 2 ,   C +   C C   C   2 + 2 C C C ω 2 ± C   2 R l ω + 2 C C C R l ω + C C C   2 R l ω + 2 C C C R l ω C C   C   2 + 2 C C C ω 2
Equation (7) shows the relationship between the inductor and other parameters, which shows that the symmetrical circuit produces three possible values of inductors in which it can be formed into three topologies of symmetrical S-CPT. In reference to Equation (7), one of the S-CPT systems has no relationship between the RL load and the inductor value, whilst the other two systems have a relationship between the inductor and the RL load. Based on the symmetrical S-CPT analysis, the S-CPT topologies are formed into asymmetrical topologies, as shown in Figure 5.
Figure 5 shows asymmetrical S-CPT in which the primary inductor L1 is arranged with the shield plate capacitance C1 and C2 and the coupling capacitance CC with no inductance at the secondary side. Therefore, the primary inductor L1 can be expressed in Equation (6) by having the secondary inductor L2 equal to zero and the obtained equation calculated as in Equation (8).
L 1 = C 2 + C C C 1 C 2 + C 1 C C + C 2 C C R L 2 ω 3 +   C 1 + C C ω ω 3 C 1 + C C 2 + R L 2 ω 5 C 1 C 2 + C 1 C C + C 2 C C 2
Equation (8) shows the relationship between the primary inductor L1 and other parameters in the S-CPT system. Further analysis was performed to calculate the inductor value in both symmetrical and asymmetrical topologies using the analysis test parameters listed in Table 1. Moreover, these topologies were tested in a simulation to study the performance of the resonance and matching impedance conditions.
Table 1 lists the analysis test parameters for both the symmetrical and asymmetrical circuits. An operating frequency of 6.78 MHz is selected with a 50 Ω load. The S-CPT system uses an operating frequency of 6.78 MHz, which is the lowest value used for the industrial, scientific, and medical bands for MHz wireless power transfer. The International Telecommunication Union Radio recommends an operating frequency of 6.78 MHz because it has little or no negative effect on other licensed bands [19]. The primary capacitance C1 and the secondary capacitance C2 with the ratio r = 1 is selected in the analysis study. The relationship between the coupling capacitance and the shield coupler is given by a = 3.2.
Based on the analysis of the calculation process in the MATLAB simulation, the inductor value was obtained. In symmetrical S-CPT, Equation (3) was used to calculate the inductor’s value both at the primary and secondary sides as 34.46 µH, 63.14 µH, and 91.82 µH. Symmetrical S-CPT has three different values of inductor for the three topologies of symmetrical S-CPT, as discussed in the analysis section. In the asymmetrical S-CPT analysis, Equation (8) was used to calculate an inductor value at the primary side with zero inductance value at the secondary side. Table 2 presents the results of the analyses.
Table 2 shows the calculated results obtained from the MATLAB simulation. The analysis parts with calculated inductor values show that S-CPT can be formed into symmetrical and asymmetrical topologies. Symmetrical S-CPT has three topologies, considering the three different inductors, whereas asymmetrical S-CPT has an inductor value at the primary but no inductor at the secondary.
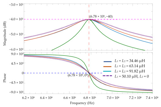
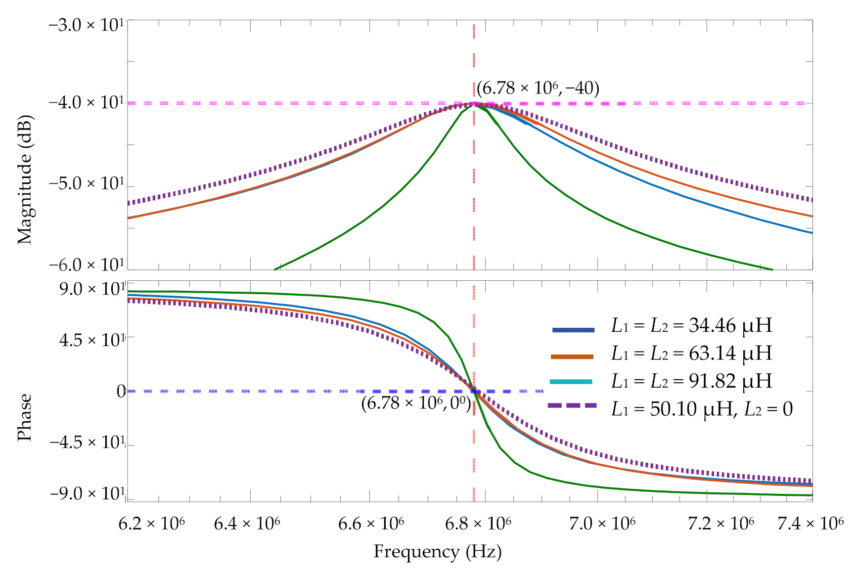
Based on the findings of the analysis, I1/Vi, as in Equation (6), was used to further analyse the symmetrical and asymmetrical S-CPT with the calculated values and parameters in Table 1. The magnitude |I1/Vi| for S-CPT was simulated in MATLAB software using the value of inductors, as shown in Table 2. The simulation of |I1/Vi| was performed to investigate the resonance and matching impedance conditions of the S-CPT system in both symmetrical and asymmetrical topologies. Figure 6 plots the results obtained based on the simulation.
Figure 6 shows the magnitude and phase of µH I1/Vi for symmetrical S-CPT (L1 = L2 = 34.46 µH, 63.14 µH = 91.82 µH) and asymmetrical S-CPT (L1 = 50.10 µH, L2 = 0). A straight line plotted in the graph at the x-axis of 6.78 MHz shows the operating frequency. In the phase part, all the topologies have the same value of 0° at 6.78 MHz. In the resonance condition, the current to magnitude |I1/Vi| is 0° in phase owing to the total impedance of S-CPT, and ZT has a resistive part and zero reactance. Therefore, the line plotted along the y-axis at the 0° phase serves as a reference to the obtained result. The result shows that both symmetrical and asymmetrical topologies are under the resonance condition by the plotting graph passing through the 0° phase at 6.78 MHz.
The S-CPT topology is under the match impedance condition at the magnitude of |I1/Vi| = 0.01 [19,20] or −40 dB, as discussed in the analysis section by referring to Figure 4, in which S-CPT has a match impedance between the input and output impedances to maximise the power transfer. Figure 6 shows the magnitude of both the symmetrical and asymmetrical S-CPT topologies approaching −40 dB at 6.78 MHz. In the match impedance condition, the total impedance ZT equals the internal series resistance of the power supply R0. Symmetrical S-CPT B (L1 = L2 = 63.14 µH), as shown in Table 2, approaches −40 dB at 6.78 MHz or in the match impedance when the load equals 30 kΩ because the inductor has no relationship with the load resistance RL, as reflected in Equation (2). Therefore, S-CPT B has an effective load of 30 kΩ to obtain the match impedance condition. S-CPT A and S-CPT C have an effective load of 50 Ω, and asymmetrical S-CPT has an effective load of 250 Ω. The effect of the load on asymmetrical S-CPT was studied and the results of the magnitude and phase |I1/Vi| are presented in Figure 7.
The values of the parameters in asymmetrical S-CPT were calculated under resonance and match impedance conditions. The circuit must comply with both resonance and match impedance conditions to ensure the best performance of the system. Therefore, Equations (6) and (8) were used, and the graph shown in Figure 7 was plotted to calculate the inductor L1. The value of the load resistance, RL, was adjusted from 50 Ω to 250 Ω to obtain the best fit at the 0° phase and −40 dB for the resonance condition and the match impedance condition, respectively. As shown in Figure 7, through a MATLAB simulation, the obtained load was determined to be 250 Ω, and symmetrical S-CPT attained the resonance condition and match impedance at 6.78 MHz. Notably, when the load resistance is 250 Ω, the magnitude value of |I1/Vi| approaches 0.01, or −40 dB, at 6.78 MHz with 0°. Therefore, S-CPT works in maximum power transfer with a load resistance of 250 Ω. In different applications with different loads, an additional matching impedance circuit is required to match the output of S-CPT to the application.
In the simulation, the symmetrical and asymmetrical topologies demonstrated a good agreement between the analysis and simulation results. It found that S-CPT can be formed into symmetrical and asymmetrical topologies. Therefore, the work proceeds with the asymmetrical S-CPT topology to investigate the hardware performance using the experimental setup.
In designing the asymmetrical S-CPT system, the coupler capacitance (Cc) and capacitance of the shield coupler (C1 and C2) were determined based on the coupler size; Table 3 lists the design values. The resistance load RL at 250 Ω was selected as the calculated load obtained in the analysis.
Table 3 lists the design and measurement values of S-CPT, which are the calculated and hardware measurement values. The hardware value was determined by measuring the fabricated coupler. The parameters show a slight difference between the design value and hardware value owing to the fabrication process of the coupler and inductor.

2.1. Coupler Structure

A four-coupler structure with a shielding plate was designed and fabricated, as shown in Figure 8. Figure 8a shows the S-CPT system fabricated on a printed circuit board comprising FR4 material with a thickness of 1.6 mm. Figure 8b shows the shield plate and coupler plate arranged in parallel, using air as the dielectric. Figure 8c shows the dimensions of the coupler design. The gap between the couplers was adjusted to meet the design value, as shown earlier in Table 1; the measured hardware value indicates that the fabricated coupler has a tolerance of +3% from the design value.
Figure 9 illustrates the EF emission in the S-CPT coupler with the actual dimensions of the fabricated coupler, as shown earlier in Figure 8c, in which the gap between the shield plate and coupler is 1 mm, whilst the gap between the coupler and coupler is 2.5 mm. Quick Field software was used to simulate the EF emission with the actual fabricated dimensions and with the material properties between the plate and the air. The loading source and model class in the simulation was set to AC conduction and plane parallel, respectively. Furthermore, the frequency of 6.78 MHz was set with the measurement in mm value in the Cartesian coordinate system and the voltage at the coupler plate to 50 V for analysis purposes. Figure 9 shows the EF emissions.
In Figure 9, the EF emission behind the shield plate is between 0 and 1 kV/m. EF emission occurs inside the coupler and at both the edges of the coupler. Based on the analysis result, the coupling and shield plates emit an EF with a maximum value of 35.4 kV/m, whereas the coupler-to-coupler has a maximum EF value of 28.3 kV/m. Moreover, an air breakdown voltage occurs when the EF reaches a limit value of 3000 kV/m or 30 kV/cm [19]. Therefore, the coupler design is under the breakdown voltage limit with a maximum EF emission of 35.4 kV/m. The simulated results also show that the shield plate in the S-CPT system minimises the EF reduction and acts as a safety feature in the system.
The International Commission on Non-Ionizing Radiation Protection (ICNIRP) guidelines set the exposure EF emission limit for humans to meet the safety requirements in designing S-CPT [22]. According to the ICNIRP guidelines, the EF emission with a 13.56 MHz frequency to the general public is 108.18 V/m and 48.48 V/m for 30 min and 6 min, respectively. Therefore, the EF emission was measured at the coupler edge to study the safety distance from the coupler. Figure 10 presents the data.
Figure 10 shows the electric emission at the edge of the S-CPT plates in which the measurement was performed on the x- and y-axes. The electric measurement was considered from 0 to 14.5 mm from the edge to study the electric field emission. Figure 10a shows the electric field emission measurement from the edge in the y-axis at the top shield point Y1 and bottom shield point Y2. Points X1, X2, and X3 show the measurement in the x-axis at the top shield and the centre point between the shield plate and bottom shield plate, respectively. Figure 10b shows the EF emission results at the edge, with the public exposure limit plotted at 108.18 V/m and 48.48 V/m in the graph. Notice in Figure 10b that the safe distance from EF emission is 12 mm from the coupler both at the x- and y-axes because the EF emission values from points X1, X2, X3, Y1, and Y2 are below the EF exposure limit. Y1 and Y2 indicate that the shield plate in S-CPT acts as a safety feature, with the EF emission values from 0 mm to 14.5 mm under both 108.18 V/m and 48.48 V/m. However, on the x-axis, the safe condition from EF exposure was 12 mm from the edge of the coupler.
Figure 11 shows the efficiency and impedance matching of the designed coupler and the fabricated hardware coupler. In terms of both efficiency and impedance matching, the fabricated hardware agrees with the designed coupler. Figure 11 indicates that the efficiency of the designed coupler is 1, whereas the hardware varies by 2%, which equals 0.98. The ideal value for the impedance matching of S-CPT is 0; however, the obtained design and hardware values are 0.03 and 0.13, respectively. Increasing the impedance matching value increases the reflected voltage through the primary side. Consequently, a high impedance matching value increases the loss. Therefore, good S-CPT designs have an impedance matching value close to 0.

2.2. Class-E Inverter with a Balun

The class-E power amplifier in Figure 12 was designed with a 10-W S-CPT system, with an operating frequency of 6.78 MHz. Class E was designed using the equations [23]. Figure 12 presents the components of class E, whereas Table 4 lists the obtained parameters.
The clock IC drives the voltage signal to the driver of the GanFET during the commuting process. Figure 13 shows the generated clock IC voltage and the output of the class-E inverter. The class-E inverter reached an efficiency of 79% with an output load of 50 Ω.
A balun converts a single unbalanced signal into two balanced differential signals [24]. The Ruthroff-type balun has a lower insertion loss than a transformer type and requires ferrite as the core material to maintain its performance [25]. A narrow bandwidth moderates the insertion loss of the transformer type owing to its resonance mechanism [26]. Therefore, the S-CPT system used a Ruthroff 1:1 balun to convert the differential voltage, which was used as input for the CPT system. Figure 14 shows the Ruthroff balun with two output voltages, and the relationship between the voltage outputs Vob and output voltage is given in Equations (5) and (6).
V 1 = V i n 2
V o b = V i n 2 V 2
The balun was analysed via both a simulation and an experiment, and Figure 15a,b presents the results, respectively. Figure 15a shows the simulated result of the balun with an input amplitude voltage of 15 V. Both the output voltages V1 and V2 exhibited an amplitude of 7.5 V. The experimental result in Figure 15b displays the input amplitude voltage of 15 V, in which the output voltages V1 and V2 were 6.1 and 7.1 V, respectively. These results show good agreement between the simulation and hardware values of the balun.
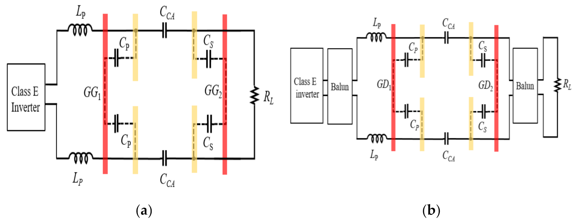
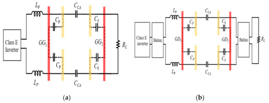
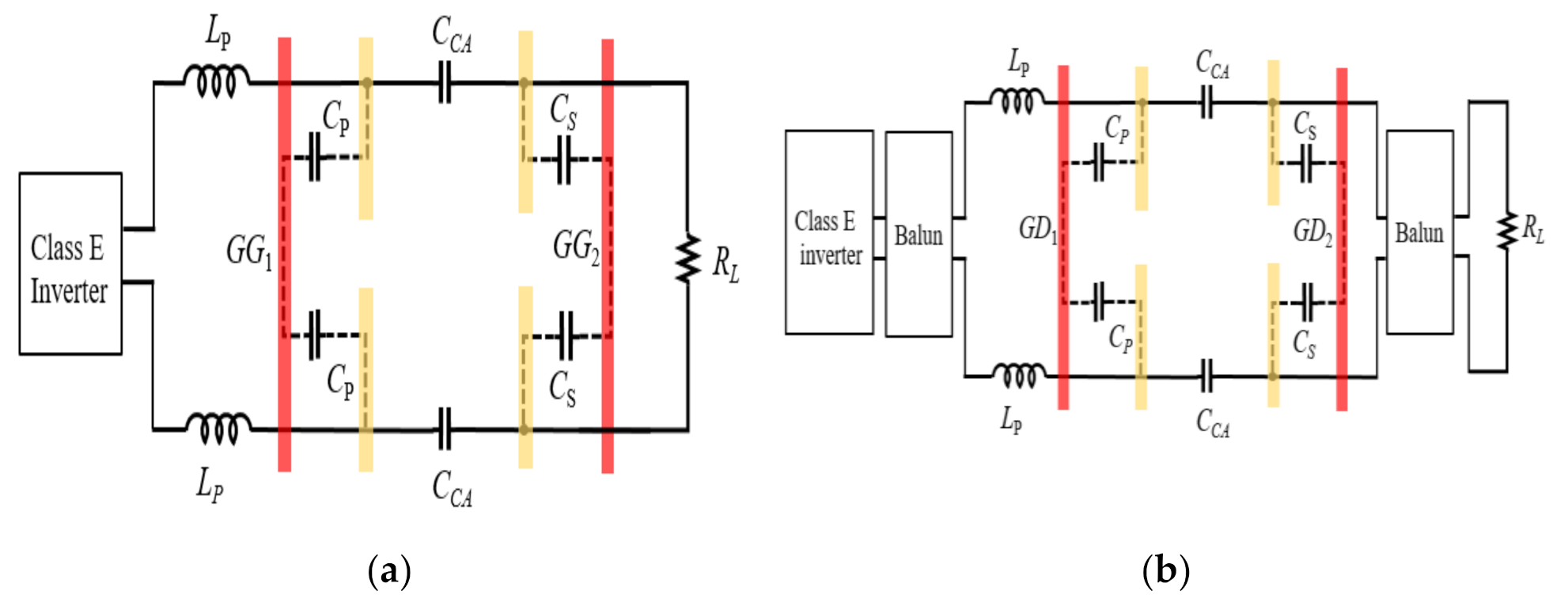
The S-CPT system was set up as shown in Figure 16a,b to compare the voltage at the shield plate with and without the balun circuit. Figure 16a shows the connection of the components in the S-CPT system with class E, with the voltage points at the primary and secondary sides represented by GG1 and GG2, respectively. The balun is connected to the inductor, and the complete topology is shown in Figure 16b with the voltage point at the shield plate in the primary part GD1 and that in the secondary part GD2.
Figure 17 shows the experimental setup with a balun. A Litz wire connects the balun to the air-core inductor. The coupler was fabricated and measured to meet the closest design value; Table 1 lists the measured values. The hardware experiment was set up to measure the voltage at the shield for S-CPT without and with the balun, as shown in Figure 16a,b, respectively.
An LTspice simulation was used to investigate the voltage point in both circuits using a sinusoidal approach to observe and compare both topologies with the simulation results. Figure 18 shows the simulation and experimental results.

3. Results and Discussion

Figure 18 shows the obtained simulation and experimental results for the voltage at the shield plate. A comparison was performed between the S-CPT system with and without a balun. The voltage input of both systems was 15 V in the amplitude value.
Figure 18 shows the simulated results for S-CPT with and without the balun at the primary and secondary sides, respectively. An ideal S-CPT system with a balun that has no internal resistance of the components and no unbalanced condition makes the voltage at the shield plate equal to zero. The balun produces two differential voltages at both S-CPT inputs, and the voltage becomes zero at the shield plate. Therefore, the S-CPT system becomes a grounding point and is safe for the shield plate. The design and measurement parameter values of S-CPT, as shown in Table 3, are simulated with a balun circuit, and the result shows the zero voltage at the shield plate, as plotted in Figure 18a,b. The measurement parameters of the fabricated S-CPT have voltages on both the primary and secondary sides, as shown in Figure 18a,b, owing to the unbalanced condition. Therefore, the ideal S-CPT system has zero voltage at the shield plate, with the difference in the fabricated component values contributing to the shield plate voltage.
Figure 18a illustrates that the voltage at the primary shield without the balun is 7.9 V in the amplitude value. Furthermore, the S-CPT system with the balun has a voltage of 2.8 V, which shows that the voltage at the shield plate of S-CPT without a balun is almost half of the input voltage of 15 V. Figure 18b shows that the secondary shield voltage with and without the balun generates amplitude voltages of 8 and 3 V, respectively. In comparison, the results in Figure 18a,b exhibit a reduction of 63% in the amplitude voltage in the S-CPT system with the balun. Therefore, the balun improves the ground stability by reducing the voltage at the shield plate.
Figure 18c shows the experimental results for both the primary and secondary shield plates with and without the balun. The results show that both the primary and secondary shield plates without a balun have an amplitude of 8.6 V. Furthermore, both the primary and secondary shield plates of the S-CPT balun reached an amplitude of 3.8 V. The experimental result of S-CPT with a balun demonstrated a reduction of 56% compared with S-CPT without a balun. Therefore, when the balun was used in the system, both the simulation and experimental results exhibited the same graph pattern and a 56% reduction in the voltage at the shield plate. Both the S-CPT system without balun and with a balun had an efficiency of 97.1% in the simulation value for transferring 7 W power. In the experiment, the system could transfer 7 W of power with an AC–AC efficiency of 84% and 80.5% for S-CPT without a balun and S-CPT with a balun, respectively. The reduction in the efficiency of S-CPT with a balun shows that the balun may be lost owing to internal resistance and core loss.
The results show voltage at the shield plate in the S-CPT system without a balun, which makes the S-CPT system less safe. Therefore, the balun can reduce the voltage at the shield plate to improve ground stability and safety considerations.

4. Conclusions

An S-CPT system was developed with an operating frequency of 7 W by using a class-E power amplifier. The parameters in S-CPT were obtained using an analysis method in MATLAB simulation. A coupler was designed using four coupler plates with two shield plates. The simulated EF results show that the coupler can minimise EF emission. The S-CPT system was constructed, and the efficiency and impedance matching were measured. The results showed that the fabricated S-CPT was in good agreement with the simulation. The S-CPT system with class E was analysed with and without a balun circuit. The balun S-CPT showed a reduction of 56% in voltage at the shield plate compared with S-CPT without the balun. The hardware result validates the simulation results for S-CPT with and without a balun.

Author Contributions

Conceptualization and methodology, S.A., R.H., A.M. and T.M.M.; validation, S.A., A.M., and A.U.; hardware experiments, S.A. and A.U.; writing—original draft preparation, S.A. and A.U.; writing—review and editing, S.A., R.H., A.M. and A.U.; supervision, R.H., A.M., and T.M.M. All authors have read and agreed to the published version of the manuscript.

Funding

This research received no external funding.

Institutional Review Board Statement

Not applicable.

Informed Consent Statement

Not applicable.

Data Availability Statement

Not applicable.

Acknowledgments

The authors would like to thank members of Automotive System and Device Laboratories, Furukawa Electric Co., Ltd. through their technical support. Ministry of Higher Education (MOHE) Malaysia and Universiti Teknikal Malaysia Melaka through the SLAB scholarship support to S.A.

Conflicts of Interest

The authors declare no conflict of interest.

References

  1. Lu, F.; Zhang, H.; Hofmann, H.; Mi, C. A CLLC-compensated high power and large air-gap capacitive power transfer system for electric vehicle charging applications. In Proceedings of the 2016 IEEE Applied Power Electronics Conference and Exposition (APEC), Long Beach, CA, USA, 20–24 March 2016; pp. 1721–1725. [Google Scholar] [CrossRef]
  2. Sinha, S.; Regensburger, B.; Doubleday, K.; Kumar, A.; Pervaiz, S.; Afridi, K.K. High-power-transfer-density capacitive wireless power transfer system for electric vehicle charging. In Proceedings of the 2017 IEEE Energy Conversion Congress and Exposition (ECCE), Cincinnati, OH, USA, 1–5 October 2017; pp. 967–974. [Google Scholar] [CrossRef]
  3. Vu, V.B.; Dahidah, M.; Pickert, V.; Phan, V.T. An Improved LCL-L Compensation Topology for Capacitive Power Transfer in Electric Vehicle Charging. IEEE Access 2020, 8, 27757–27768. [Google Scholar] [CrossRef]
  4. Muharam, A.; Mostafa, T.M.; Ahmad, S.; Masuda, M.; Obara, D.; Hattori, R.; Hapid, A. Preliminary study of 50 W Class-E GaN FET amplifier for 6.78 MHz capacitive wireless power transfer. J. Mechatron. Electr. Power Veh. Technol. 2020, 11, 22. [Google Scholar] [CrossRef]
  5. Mostafa, T.M.; Muharam, A.; Hattori, R. Wireless battery charging system for drones via capacitive power transfer. In Proceedings of the 2017 IEEE PELS Workshop on Emerging Technologies: Wireless Power Transfer (WoW), Chongqing, China, 20–22 May 2017. [Google Scholar] [CrossRef]
  6. Park, C.; Park, J.; Shin, Y.; Kim, J.; Huh, S.; Kim, D.; Park, S.; Ahn, S. Separated Circular Capacitive Coupler for Reducing Cross-Coupling Capacitance in Drone Wireless Power Transfer System. IEEE Trans. Microw. Theory Technol. 2020, 68, 3978–3985. [Google Scholar] [CrossRef]
  7. Yusop, Y.; Saat, S.; Ghani, Z.; Husin, H.; Adie, M.K.; Kiong Nguang, S. Cascaded Boost-Class-E for rotary capacitive power transfer system. J. Eng. 2019, 2019, 3742–3748. [Google Scholar] [CrossRef]
  8. Ahmad, S.; Muharam, A.; Hattori, R. Rotary capacitive power transfer with class-E inverter and balun circuit. In Proceedings of the 2020 IEEE PELS Workshop on Emerging Technologies: Wireless Power Transfer (WoW), Seoul, Korea, 15–19 November 2020; pp. 330–333. [Google Scholar] [CrossRef]
  9. Wu, X.; Su, Y.; Zou, L.J.; Member, S.; Liu, Z.H.E. A Sleeve-Type Capacitive Power Transfer System With Different Coupling Arrangements for Rotary Application. IEEE Access 2020, 8, 69148–69159. [Google Scholar] [CrossRef]
  10. Dai, J.; Hagen, S.; Ludois, D.C.; Brown, I.P. Synchronous Generator Brushless Field Excitation and Voltage Regulation via Capacitive Coupling Through Journal Bearings. IEEE Trans. Ind. Appl. 2017, 53, 3317–3326. [Google Scholar] [CrossRef]
  11. Yusop, Y.; Saat, S.; Nguang, S.K.; Husin, H.; Ghani, Z. Design of Capacitive Power Transfer Using a Class-E Resonant Inverter. J. Power Electron. 2016, 16, 1678–1688. [Google Scholar] [CrossRef] [Green Version]
  12. Sun, Y.; Yu, J.; Liu, X. Design of class-E power amplifier for capacitive power transfer system. Microelectron. J. 2018, 80, 69–74. [Google Scholar] [CrossRef]
  13. Corti, F.; Reatti, A.; Wu, Y.-H.; Czarkowski, D.; Musumeci, S. Zero Voltage Switching Condition in Class-E Inverter for Capacitive Wireless Power Transfer Applications. Energies 2021, 14, 911. [Google Scholar] [CrossRef]
  14. Zhang, H.; Lu, F.; Hofmann, H.; Liu, W.; Mi, C.C. A Four-Plate Compact Capacitive Coupler Design and LCL-Compensated Topology for Capacitive Power Transfer in Electric Vehicle Charging Application. IEEE Trans. Power Electron. 2016, 31, 8541–8551. [Google Scholar] [CrossRef]
  15. Zhu, Q.; Zou, L.J.; Su, M.; Hu, A.P. Four-plate capacitive power transfer system with different grounding connections. Int. J. Electr. Power Energy Syst. 2020, 115, 105494. [Google Scholar] [CrossRef]
  16. Lu, F.; Zhang, H.; Hofmann, H.; Mi, C. A Double-Sided LCLC-Compensated Capacitive Power Transfer System for Electric Vehicle Charging. IEEE Trans. Power Electron. 2015, 30, 6011–6014. [Google Scholar] [CrossRef]
  17. Zhang, H.; Lu, F.; Hofmann, H.; Liu, W.; Mi, C.C. Six-Plate Capacitive Coupler to Reduce Electric Field Emission in Large Air-Gap Capacitive Power Transfer. IEEE Trans. Power Electron. 2018, 33, 665–675. [Google Scholar] [CrossRef]
  18. Muharam, A.; Ahmad, S.; Hattori, R.; Obara, D.; Masuda, M.; Ismail, K.; Hapid, A. An Improved Ground Stability in Shielded Capacitive Wireless Power Transfer. In Proceedings of the 2019 International Conference on Sustainable Energy Engineering and Application (ICSEEA), Tangerang, Indonesia, 23–24 October 2019; pp. 16–20. [Google Scholar] [CrossRef]
  19. Muharam, A.; Ahmad, S.; Hattori, R. Scaling-factor and design guidelines for shielded-capacitive power transfer. Energies 2020, 13, 4240. [Google Scholar] [CrossRef]
  20. Ahmad, S.; Hattori, R.; Muharam, A. Generalized Circuit Model of Shielded Capacitive Power Transfer. Energies 2021, 14, 2826. [Google Scholar] [CrossRef]
  21. Muharam, A.; Ahmad, S.; Hattori, R.; Hapid, A. 13.56 MHz scalable shielded-capacitive power transfer for electric vehicle wireless charging. In In Proceedings of the 2020 IEEE PELS Workshop on Emerging Technologies: Wireless Power Transfer (WoW), Seoul, Korea, 15–19 November 2020; pp. 298–303. [Google Scholar] [CrossRef]
  22. International Commission on Non-Ionizing Radiation Protection (ICNIRP). Guidelines for Limiting Exposure to Electromagnetic Fields (100 kHz to 300 GHz). Health Phys. 2020, 105, 483–524. [Google Scholar] [CrossRef]
  23. Sokal, B.N.O. Class-E RF Power Amplifiers. Notes 2001, 204, 9–20. [Google Scholar]
  24. Li, E.S.; Lin, C.T.; Jin, H.; Chin, K.S. A broadband balun with complex impedance transformation and high isolation. IEEE Access 2019, 7, 112295–112303. [Google Scholar] [CrossRef]
  25. Chung, H.; Chiou, H.; Hsu, Y.; Yang, T.; Chang, C. Design of Step-Down Broadband and Low-Loss Ruthroff-Type Baluns Using IPD Technology. IEEE Trans. Compon. Packag. Manuf. Technol. 2014, 4, 967–974. [Google Scholar] [CrossRef]
  26. Chiou, H.K.; Chung, H.Y. Design of 9:4 step-down impedance transformation ruthroff balun with center tap in GIPD technology. In Proceedings of the 2018 IEEE CPMT Symposium Japan (ICSJ), Kyoto, Japan, 19–21 November 2018; Volume 2, pp. 193–196. [Google Scholar] [CrossRef]
Figure 1. Four-plate couplers with shielded plates.
Figure 1. Four-plate couplers with shielded plates.
Energies 14 04590 g001
Figure 2. S-CPT diagram. (a) Symmetrical S-CPT circuit. (b) Equivalent circuit of the symmetrical S-CPT circuit.
Figure 2. S-CPT diagram. (a) Symmetrical S-CPT circuit. (b) Equivalent circuit of the symmetrical S-CPT circuit.
Energies 14 04590 g002
Figure 3. S-CPT coupler. (a) Coupler with the capacitance model. (b) Equivalent circuit of the coupler.
Figure 3. S-CPT coupler. (a) Coupler with the capacitance model. (b) Equivalent circuit of the coupler.
Energies 14 04590 g003
Figure 4. A simplified circuit of the S-CPT circuit.
Figure 4. A simplified circuit of the S-CPT circuit.
Energies 14 04590 g004
Figure 5. An equivalent of asymmetrical S-CPT.
Figure 5. An equivalent of asymmetrical S-CPT.
Energies 14 04590 g005
Figure 6. |I1/Vi| value in magnitude and phase for both symmetrical and asymmetrical topologies.
Figure 6. |I1/Vi| value in magnitude and phase for both symmetrical and asymmetrical topologies.
Energies 14 04590 g006
Figure 7. |I1/Vi| value in magnitude and phase.
Figure 7. |I1/Vi| value in magnitude and phase.
Energies 14 04590 g007
Figure 8. Four-coupler structure with a shielding plate. (a) Fabricated coupler hardware. (b) Coupler arrangement. (c) Two-dimensional (2D) drawing of the coupler structure.
Figure 8. Four-coupler structure with a shielding plate. (a) Fabricated coupler hardware. (b) Coupler arrangement. (c) Two-dimensional (2D) drawing of the coupler structure.
Energies 14 04590 g008
Figure 9. EF emission of S-CPT.
Figure 9. EF emission of S-CPT.
Energies 14 04590 g009
Figure 10. Emission field at the edge. (a) Measurement point at the edge (b) Emission field measurement result.
Figure 10. Emission field at the edge. (a) Measurement point at the edge (b) Emission field measurement result.
Energies 14 04590 g010
Figure 11. Efficiency and match impedance for the hardware and design value.
Figure 11. Efficiency and match impedance for the hardware and design value.
Energies 14 04590 g011
Figure 12. Class-E power inverter with an impedance matching circuit.
Figure 12. Class-E power inverter with an impedance matching circuit.
Energies 14 04590 g012
Figure 13. Clock voltage output and class-E voltage output.
Figure 13. Clock voltage output and class-E voltage output.
Energies 14 04590 g013
Figure 14. Ruthroff balun. (a) Circuit diagram. (b) Balun fabrication.
Figure 14. Ruthroff balun. (a) Circuit diagram. (b) Balun fabrication.
Energies 14 04590 g014
Figure 15. Voltage output and input of the balun. (a) Simulation. (b) Experiment.
Figure 15. Voltage output and input of the balun. (a) Simulation. (b) Experiment.
Energies 14 04590 g015
Figure 16. S-CPT system topology (a) without a balun and (b) with a balun.
Figure 16. S-CPT system topology (a) without a balun and (b) with a balun.
Energies 14 04590 g016
Figure 17. Experimental setup of the S-CPT system.
Figure 17. Experimental setup of the S-CPT system.
Energies 14 04590 g017
Figure 18. Shield plate voltage. (a) Primary shield voltage in the simulation. (b) Secondary shield voltage in the simulation. (c) Shield voltage in the experiment.
Figure 18. Shield plate voltage. (a) Primary shield voltage in the simulation. (b) Secondary shield voltage in the simulation. (c) Shield voltage in the experiment.
Energies 14 04590 g018
Table 1. Analysis test parameters of the S-CPT system.
Table 1. Analysis test parameters of the S-CPT system.
ParameterSymbolAnalysis S-CPT
Operating frequencyf6.78 MHz
Coupling capacitanceCC5 pF
Shield-coupling primaryC16 pF
Shield-coupling secondaryC26 pF
Load resistanceRL50 Ω
Table 2. Analysis results on the S-CPT systems.
Table 2. Analysis results on the S-CPT systems.
ParameterSymbolSymmetrical S-CPTAsymmetrical
S-CPT
ABC
Primary inductorL134.46 µH63.14 µH91.82 µH50.10 µH
Secondary inductorL234.46 µH63.14 µH91.82 µH0
Table 3. Parameters of S-CPT based on the design and measurement values.
Table 3. Parameters of S-CPT based on the design and measurement values.
ParameterSymbolDesign ValueHardware Value
Primary inductor topLP,top25.26 µH25.2 µH
Primary inductor bottomLP,bottom25.26 µH25.4 µH
Coupling capacitance topCCA,top10.0 pF10.02 pF
Coupling capacitance bottomCCA,bottom10.0 pF10.08pF
Shield-coupling primary topCCP,top12.0 pF12.05 pF
Shield-coupling primary bottomCCP,bottom12.0 pF12.11 pF
Shield-coupling secondary topCS,top12.0 pF12.20 pF
Shield-coupling secondary bottomCS,bottom12.0 pF12.12 pF
Table 4. Parameters of S-CPT based on the design and measurement values.
Table 4. Parameters of S-CPT based on the design and measurement values.
ParameterSymbolDesign Value
Operating frequencyf6.78 MHz
DC voltageVcc12 V
Choke resistorLrf3 µH
Shunt CapacitorCsh1.74 nF
Series inductorLe1+ Lr0.94 uH
Series capacitorCe12.06 nF
Resonant capacitanceCr919 pF
Q valueQL5
LoadRload50 Ω
Publisher’s Note: MDPI stays neutral with regard to jurisdictional claims in published maps and institutional affiliations.

Share and Cite

MDPI and ACS Style

Ahmad, S.; Muharam, A.; Hattori, R.; Uezu, A.; Mostafa, T.M. Shielded Capacitive Power Transfer (S-CPT) without Secondary Side Inductors. Energies 2021, 14, 4590. https://doi.org/10.3390/en14154590

AMA Style

Ahmad S, Muharam A, Hattori R, Uezu A, Mostafa TM. Shielded Capacitive Power Transfer (S-CPT) without Secondary Side Inductors. Energies. 2021; 14(15):4590. https://doi.org/10.3390/en14154590

Chicago/Turabian Style

Ahmad, Suziana, Aam Muharam, Reiji Hattori, Anyu Uezu, and Tarek M. Mostafa. 2021. "Shielded Capacitive Power Transfer (S-CPT) without Secondary Side Inductors" Energies 14, no. 15: 4590. https://doi.org/10.3390/en14154590

APA Style

Ahmad, S., Muharam, A., Hattori, R., Uezu, A., & Mostafa, T. M. (2021). Shielded Capacitive Power Transfer (S-CPT) without Secondary Side Inductors. Energies, 14(15), 4590. https://doi.org/10.3390/en14154590

Note that from the first issue of 2016, this journal uses article numbers instead of page numbers. See further details here.

Article Metrics

Back to TopTop