Abstract
Coke is an integral component of the blast furnace charge; therefore, it plays an important role in the integrated steelmaking process. Achieving the required coke quality parameters by producers requires the use of a high proportion of the highest quality coking coals (hard coking coals) in the coking blends, which significantly increases the unit production costs. Approximately 75% of these costs are constituted by the cost of the coal blend’s preparation. There is a deficit in the best quality coking coals on the world market and their supply are characterized by large fluctuations in quality parameters. Therefore, from the point of view of the economics of coke production, it is advantageous to produce high-quality coke from a coke blend with the highest possible content of cheaper coals. The paper presents the results of the influence of coal charge bulk density and semi-soft coking coal content in the coking blend on the textural and structural parameters of coke, which determine its quality. Research has shown that the application of increased density influences the parameters of the texture and structure of the coke, which shape its quality parameters. The use of stamp-charging technology contributes to the improvement of the coke quality or enables the production of coke of a predetermined quality from blends containing cheaper semi-soft coals.
Keywords:
CSR; CRI; coke quality; coke making; stamp charging; bulk density; structure; hard coking coal; semi-soft coal 1. Introduction
World economic development is related to the production of steel. Steel products are used, among others, by the construction, transport, machine and automotive industries, as well as for the production of household appliances. The production and consumption of steel can be treated as a general indicator of the condition of the economy [1]. In 2019, world crude steel production amounted to approx. 1.875 billion tons and was by approx. 2.7% higher than in 2018 [2]. The BOF (basic oxygen furnace) process plays a key role in the structure of steel production, which uses pig iron produced in blast furnaces (over 70% of steel produced in the world). The problem of coke quality plays a key role in the operation of blast furnaces—the main recipient and user of coke [3,4,5]. Coke is an integral component of the blast furnace charge; therefore, it plays an important role in the integrated steelmaking process [3]. Coke in the blast furnace process performs the following functions: energetic (providing heat to the process), chemical (a source of reducing gases and elemental carbon for pig iron reduction) and physical (supporting the column of charge materials, ensuring the flow of reducing gases through the furnace and the flow of liquid metal to the lower parts of the furnace). The dynamic technological development of the steel industry observed in the last decade, including on the operation of blast furnaces with an increasing volume and the use of substitute fuels (PCI, liquid fuels and natural gas), led to an increase in the importance of the physical role of coke and, consequently, an increase in the requirements for its strength parameters [6,7,8] Therefore, the key role is currently assigned to the coke quality parameters assessed by the NSC (Nippon Steel Corporation) method, i.e., CRI (coke reactivity index) and CSR (coke strength after reaction) [9,10,11]. The quality parameters of coke are shaped by a number of factors, including, first of all, the quality of the coal raw material (including the degree of carbonation, chemical composition, coking properties, rheological, petrological and mineralogical characteristics) and the parameters of the coking blend preparation (e.g., batch density, grain size and moisture content) [12,13]. The coke quality also depends on the conditions of the coking process (coking time and final process temperature) and the applied methods of secondary coke processing [4]. The aforementioned factors influence the development of the texture and structure of coke, which largely determines its technological properties [14,15]. Achieving the required coke quality parameters by producers requires the use of a high proportion of the highest quality coking coals (hard coking coals) in the coking blends, which significantly increases the unit production costs. Approximately 75% of these costs are constituted by the cost of the coal blend’s preparation [4]. Generally, there is a deficit in the best quality coking coals on the world market and their supply are characterized by large fluctuations in quality parameters. Hard coking coals are over 50% more expensive than semi-soft coals [16]. This relationship holds historically, and the forecasts for the coming years also indicate an increase in coking coal prices. Assuming the aforementioned price differences and the forecasted prices of semi-soft and hard coking coals in the years 2021–2024 [16], each 1% increase in the content of cheaper semi-soft coal results in savings of about USD 0.5 per ton of coal blend (average prices were assumed at USD 143.1 and USD 92.6/metric ton, respectively, for hard coking and semi-soft—according to [16]). Considering that coking plants, depending on the production capacity, annually process from several hundred thousand to several dozen million tons of coal, the savings on this account may have a significant impact on the economic balance. Therefore, from the point of view of the economics of coke production, it is advantageous to produce high-quality coke from a coke blend with the highest possible content of cheaper coals.
In view of the current and forecasted situation, bearing in mind the strategic importance of steel production, in accordance with the decision of the European Commission of 3 September 2020 coking coal has been placed on the updated list of critical raw materials—strategic from the point of view of the functioning and economic development of the European Union [17]. Therefore, it is necessary to ensure the appropriate economy and efficiency of coke production while optimizing the consumption of scarce raw material. One of the solutions is the use of appropriate charge preparation techniques to increase its density (drying, oiling, partial briquetting or compacting the charge), which increases the quality of the produced coke, or allows to increase the share of cheaper and worse semi-soft coals in the coal charge while maintaining coke quality [9,18]. The use of each of these methods has a direct impact on the coal bulk density and, consequently, the quality of the obtained coke and the production capacity of the coking chambers. Technologies of drying, oiling and partial briquetting can be used in existing and operating industrial facilities—top-charged (gravity-charged) coke oven batteries.
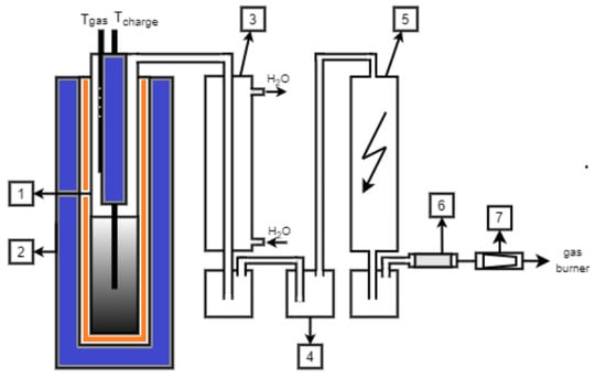
Stamped-charge technology is used in newly built facilities or in the case of replacement investments (including the change of the production system from top-charging to stamp-charging). Of all the available methods, the best results of improving its density are obtained by using the stamp-charging method. The achieved charge density may in this case be over 1100 kg/m3 (wet basis), while in the case of the top-charging system, it is at the level of approx. 780–820 kg/m3. A general scheme of the top-charged and stamp-charged coke oven batteries is presented in Figure 1. The use of the abovementioned methods also has a positive effect on the environmental impact of coke production—by increasing the productivity of the coke oven battery, the specific emission of substances into the environment decreases. Therefore, in recent years, there has been an increase in interest in this technology, expressed in the construction of a stamp-charged coke oven batteries both in Europe (Germany, Poland, Czech Republic, Ukraine and Russia) and in the rest of world (China and India) [19,20].
Figure 1.
The general scheme of a top-charged (a) and stamp-charged coke oven battery (b) (adapted from [21]): (1) coal tower; (2) quenching tower; (3) cross-section of the ceramic massif of the coke oven battery; (4) charging car; (5) SCP car (stamping–charging–pushing); (6) stamped coal cake; (7) gravity-charged coal; (8) pushing car; and (9) roof car.
Despite the fact that both coke oven technologies have been used for a long time, the literature on the influence of density on the parameters of coke quality is very scarce and obsolete. Old publications on this topic are not widely available—only in classic library collections. In addition, the problem is approached in a simplified way by simply comparing the two systems, sometimes without providing details as to the test conditions (density and blend composition); they lack information on structural parameters and the mentioned quality parameters are only the parameters assessed by the Micum method—classic drum strength M40 and abrasion index M10. Moreover, the conclusions in these articles are inconsistent. As for the M10 parameter of coke, there is generally agreement that it improves with densification of the coal charge [22,23,24], while for M40, the authors conclude that stamping the coal charge (i.e., its higher density) in some cases improves the quality of the coke [23,25], and in some that it does not improve or may even worsen the quality [22].
Over the last 20 years, the parameters of the coke assessed by the NSC method have gained importance, which allow to assess the behavior of the coke under conditions similar to those prevailing in a blast furnace. Unfortunately, there are only a few items in the literature, which directly refer to the influence of bulk density on CRI and CSR parameters, which are currently crucial in assessing the quality of blast furnace coke. Researchers [26], analyzing the effect of charge density in the range of approx. 725–840 kg/m3 of dry charge on coke quality, found that an increase in density results in an improvement of the CSR post-reaction strength index and a reduction in the CRI reactivity index. According to [27], the use of the stamp-charging system leads to an improvement in the CSR index by about 2–8 percentage points in relation to the coke from the gravity-charging system. A similar relationship was observed in Indian works [28,29]. A decrease in coke reactivity CRI by approx. 3–7 percentage points was also noticed. In another publication [30], a slight improvement in the CRI and CSR was found with an increase in the coal cake density from 1120 to 1150 kg/m3 (authors remark: relatively significantly higher density values in the case of coal blends used in Indian coking plants result from a much higher content of the mineral matter in Indian coals compared to other coals—the actual density of the mineral matter components is much higher than that of the coal substance). Similar studies were also conducted in Australia at the Illawara Coke Company (ICC) [31]. A standard blend of coal was used for batteries operating in the gravity-charging system. Compared to the coke obtained from the gravity charge, the coke obtained from the stamped charge was characterized by a slightly higher value of the CSR index and a similar value of the CRI index. The impact of coal charge density on coke quality in industrial tests was also assessed at the Sesa Kembla Coking Plant (two-product coking plant in India) [32]. The coke obtained from the compacted coal charge was characterized by a similar value of NSC indices as in the case of the gravity-charging system. In work [33], the research was carried out in a pilot oven with the use of an industrial blend for two charge densities of 926 and 996 kg/m3. It was found that the increase in density in the tested range had a positive effect on the CSR index, which increased from 57.5 to 62.9%.
The positive influence of the use of the stamp-charging system (in relation to the gravity-charging system) was observed in [34]. The tests were carried out for three types of coal blends. The coke produced from stamped blends was characterized by a higher value of the CSR index and a lower value of the CRI index (except for one blend for which no significant changes were observed). Other researchers [35], when examining four coal blends under the conditions of the gravity- and stamp-charged system, found that the coke produced in the stamping system was characterized by a similar value of the reactivity index CRI and a higher index of post-reaction strength CSR.
Only in the works [33,35] an evaluation was made of the selected structural or textural parameters of coke, which in principle determine the quality parameters. In the work of [33], an increase in the level of order (anisotropy) of the coke matrix and a decrease in the total porosity of the mesopore volume and the SBET specific surface of the coke was noted. In [35], contrary to the research of [33], no significant differences were found in the degree of coke matrix ordering level. The authors did not provide data on the density of the coked charges or other structural parameters of the obtained coke. There is no information in the widely available literature on the impact of the content of semi-soft coals in coking blends on the parameters of texture and structure, shaping the coke quality parameters. We found only two publications, with the participation of the co-authors of this work, that partially address this problem [8,36].
As can be seen from the literature review presented above, the issues related to the influence of the charge density on the parameters of the structure and texture of coke are not well and widely recognized. Similarly, this also applies to the quality parameters—the information presented usually concerns a certain segment of changes in the density range (a certain segment possible for a gravity-charged system or stamp-charged system) or simply a comparison of two systems without providing specific information on the density levels. Taking into account the full spectrum of possibilities of the coking technologies, including, above all, the possible density range (which actually differentiates both technologies), the knowledge currently available in the literature is not sufficient for a full, comprehensive assessment of the capabilities of both technologies—in the context of both the quality of the produced coke and the economics of production (the possibility of increasing the share of cheaper semi-soft coals). These are currently the key problems and dilemmas of the coke producers who, faced with a deficit of adequate quality of coals, are faced with the choice of whether to build a coke oven battery in a gravity-charged or stamp-charged system, or a gravity-charged battery that is nearing the end of its life to replace it with a stamp-charged battery. Due to the investment level—the cost of a coke oven battery can be up to several hundred million euros, such decisions are extremely important and affect the economic balance of the coking plant in the next 30–40 years (the average lifetime of a coke oven battery).
The novelty of our article is to present a comprehensive evaluation of the impact of the density of the coal charge (for the full range of densities applicable to the industry—from the level of the top-charged to the stamp-charged coke ovens) on the texture and structure parameters of the coke determining the quality parameters (coke reactivity index CRI and post-reactive strength CSR) commonly used for blast furnace coke quality evaluation. Research results in such a broad technological context of coke production have not been published in the literature so far. The article also shows the practical technological aspect of increasing the density of the coal charge, i.e., the possibility of using a coal blend with a higher content of semi-soft coal (i.e., cheaper) and producing coke of the same quality as using a blend with a lower content of these coals (i.e., more expensive coking blends), which has not been taken up in the literature, but is crucial from the point of view of industrial coke production.
2. Materials and Methods
2.1. Coal and Coking Blends
The analyses of the coals and blends were carried out according to the standards for moisture content (Mad), PN-ISO 589:2006; for ash content (Ad), PN-ISO 1171:2002; and for volatile matter content (VMdaf), ISO 562:2010. The Free Swelling Index was determined according to ISO 501:2012. Contraction (a) and dilatation (b) were determined according to ISO 349:1975 and fluidity (Fmax) according to ISO 10329:2009. The alkalinity index (AI) was assessed according to Formula (1)—(CaO, MgO, etc.—the content of individual ash components, %):
Microscopic studies of the coals and resulting cokes were performed using a polarized microscope (Axio Imager M1 m, Carl Zeiss, Germany, MSP 400-J&M), which is described in more detail in [37]. The petrographic analysis of the hard coals was performed according to ISO 7404:2009. The coal samples used originate from the mines of the Upper Silesian Coal Basin (USCB). These coals are the basic components of the coking blends used in Polish coke plants for the production of metallurgical coke. The coal codes are based on the mines’ names JM, Jas-Mos coal mine; ZB, Zofiówka—Borynia coal mine; PN, Pniówek coal mine; and BD, Budryk coal mine. The coals differ in rank and in coking properties, and their basic parameters are presented in Table 1. JM, ZB and PN are ortho-coking coals (hard coking coal, Type 35 according to Polish Standard PN-G-97002:2018–11); the BD coal is a semi-soft coal (gas-coking, Type 34) and it is the cheapest one from among of all coals studied in this work. The series of tests were carried out with four-component coking blends. Three different coking blends were prepared (B20, B30 and B40—with increasing amounts of semi-soft coals in the coking blend). The composition and selected properties of the prepared blends are presented in Table 2. The investigated blends were similar to a blend used in industrial practice for blast furnace coke production. For each of the tested blends, five coking charges of different densities were prepared: 762–778, 840, 1000, 1050 and 1100 kg/m3 (wet basis); and 686–700, 756, 900, 945 and 990 kg/m3 (dry basis) for coking in the KARBOTEST experimental installation. The charge density levels used correspond to those used in the industry for top-charged and stamp-charged coke oven batteries. The results of the performed determinations for the coals and blends are presented in Table 1 and Table 2.
Table 1.
Coking blend components’ properties.
Table 2.
Coking blends’ composition and their properties.
2.2. Coking Process Simulation and Coke Properties Evaluation
The prepared coal charges were carbonized in a Karbotest apparatus (Figure 2). The coking procedure is described in more detail in [37] and [38]. The NSC parameters CRI and CSR were determined according to ISO:18894:2006. X-ray analysis (XRD) of the coke structure was performed using the X’Pert Panalytical Pro diffractometer with a cobalt lamp emitting X-rays with a wavelength of λ = 0.15418 nm. For each sample, a diffractogram was obtained in the range of deflection angles 2θ = 2.5–65°. Using the Scherrer equation, the La crystallite width and its Lc height were determined [39]. The interplanar distance d002 was determined from the Bragg equation [40].
Figure 2.
Scheme of the Karbotest apparatus (adapted from [38]): (1) retort; (2) furnace; (3) water cooler; (4) pyrolysis gas pressure regulator; (5) electrostatic precipitator; (6) filter; and (7) gas meter.
Coke optical anisotropy was evaluated using the fibrosity index Wx according to the method described in [39]. A Micromeritics 3Flex analyzer was used to assess the porous structure of the coke with use of N2 and CO2 sorption at 77 and 273 K, respectively. Detailed description of analytical procedure is described in [41]. For the measurement of real density (ρt) and total pore volume ((He) VTOTAL), an AccuPyc II 1340 helium pycnometer from Micromeritics (USA) was used. For the measurement of apparent density (ρapp), a GeoPyc 1350 from Micromeritics was used. Total porosity (P) was obtained via Formula (2)—(ρt—real density of coke particle, kg/m3; ρapp—apparent density of coke particle kg/m3):
For the qualitative assessment of the impact of the coal charge density and the share of semi-soft coal in the coking blend on the structural and technological properties of the coke, the variance analysis method (ANOVA) was used, specifically, the so-called two-factor data classification [42]. To assess the significance of the influence of individual input (independent) variables on the output (dependent) variable, the F test was used. For analysis of the impact of the parameters characterizing the structure and texture of the coke on its technological parameters, i.e., the CRI and CSR, the Spearman rank correlation test was used, which is often used as a tool to measure dependency that exists between variables [43,44]. Tabulated data on the parameters of the structure, texture and technological properties of the coke as well as the results of the statistical analyses are included in Appendix A.
3. Results
3.1. Coke Texture—XRD and Optcal Parameters of Obtainded Cokes
The aim of the analysis was to assess the significance of the influence of the coal charge density and the share of semi-soft coal in coking blends (in terms of changes in these parameters analyzed in the study) on the size of the graphite-like crystallites constituting the coke matrix, i.e., their width along the La plane, height along the crystallographic axis Lc and the interplanar distance d002. The results are presented in Table A1 and in Figure 3 and Figure 4. Analysis of the significance of the impact of the charge bulk density and share of semi-soft coking coal content was performed by the analysis of variance method (ANOVA) and are presented in Table A2. The data in Figure 3 show that the La parameter values for the considered cokes were within a quite narrow range of 3.31–4.68 nm. Similarly, the narrow range of the Lc parameter values was 1.35–1.44 nm (Figure 4). The interplanar distance d002 for all coke samples was in the range 0.349–0.353 nm. Based on the results of the analysis of statistical significance (Table A2), it can be concluded that the change in the charge density and the content of the semi-soft coal in the coking blend (in terms of their changes analyzed by the author) did not significantly affect the values of the La and d002 parameters. On the other hand, a small but statistically significant influence of the share of semi-soft coal on the obtained value of the Lc parameter was noted (the value of F test was slightly higher than Fcr).
Figure 3.
Influence of the coal bulk density and share of semi-soft coking coal on the La parameter.
Figure 4.
Influence of the coal bulk density and share of semi-soft coking coal on the Lc parameter.
The detailed results of optical microscopy analysis are presented in Table A3 and the results of analysis of variance (ANOVA) are presented in Table A4. For all tested coking blends, the increase in the batch density results in a decrease in the share of smaller, circular-type textures (domains) and an increase in the share of larger domains, i.e., lenticular and, to a lesser extent, ribbon domains. A statistically significant influence was also noted in the case of changes in the share of semi-soft coal in the coking blend, but they are not as unambiguous as in the case of the charge density. The increase in the share of semi-soft coal from 20 to 30% resulted in an increase in the average level of circular-type textures and a decrease in lenticular-type textures, with a slight increase in ribbon-type textures. However, the share of the latter in relation to the number of other types of domains is relatively small. Taking into account the above-mentioned trends, a further increase in the circular domains and a decrease in the lenticular domains should be expected for a 40% share of semi-soft coal, which, however, was not recorded. On the other hand, a relatively small decrease in the amount of circular-type texture and an increase in lenticular-type textures was observed. The use of the Wx texture fibrosity index, determined on the basis of the weighted average of the shares of individual types of optical texture and their individual optical fibrosity indexes and reducing the entire analysis of the optical texture of the tested coke samples to the evaluation of one parameter, greatly facilitates the interpretation of the collected data [41]. In the case of the Wx index, a significant influence was noted only in the case of the batch density. Along with the increase in coal charge density, an increase in the level of fibrous coke optical texture expressed by the Wx index (Figure 5) is noted, which proves an increase in the degree of order (the level of molecular organization) of the coke matrix. The highest values of the Wx parameter were recorded in the density range of 900–945 kg/m3. Above this density, a decrease in the value of the fibrosity index Wx was observed. Interestingly, no significant changes in the fibrosity index Wx were observed along with changes in the share of semi-soft coal in the coking blend directed to the coking process (Table A4).
Figure 5.
Influence of the coal bulk density and share of semi-soft coking coal on the coke fibrosity index.
3.2. Coke Structure
3.2.1. CO2 and N2 Sorption Methods Parameters
The obtained test results are presented collectively in Table A5, and selected results are presented in Figure 6, Figure 7, Figure 8 and Figure 9. Based on the analysis of variance (Table A6) of the impact of the change in charge density and semi-soft coal content (independent variables) on the structural parameters of coke (dependent variables), there is no basis to conclude that they significantly affect the determined structural parameters of the coke matrix. The VMICRO volume of micropores and VMESO volume of mesopores determined by N2 adsorption (at 77 K) are relatively small. The VMICRO volume of the micropores oscillated within the range of 1.03–1.50 · 104 cm3/g. The value of the determined volume of the mesopores VMESO was in the range of 5.01–8.41 cm3/g, and the SBET specific surface in the range of 0.28–0.47 m2/g. Similar results were recorded for the volume of the micropores VMICRO and their specific surface SDR—determined by the CO2 adsorption method (at 273 K). The value of both parameters ranged from 32.35 to 58.68 cm3/g and 7.0 to 12.7 m2/g, respectively.
Figure 6.
Influence of the coal bulk density and share of semi-soft coking coal on the coke mesopore volume VMESO.
Figure 7.
Influence of the coal bulk density and share of semi-soft coking coal on the coke BET surface.
Figure 8.
Influence of the coal bulk density and share of semi-soft coking coal on the coke micropore volume VMICRO.
Figure 9.
Influence of coal bulk density and share of semi-soft coking coal on the coke Dubinin–Raduskevich surface.
3.2.2. Pycnometric Methods Parameters—Total Pore Volume, Real and Apparent Density, and Total Porosity
The results of the evaluation of the structural parameters of the produced coke with the use of pycnometric methods are presented in Table A7 and in Figure 10, Figure 11 and Figure 12. As can be seen from the data presented in Table A8, for the tested case, both the increase in the coal charge density from 686–700 to 990 kg/m3 and the change in the composition of the coking blend did not significantly affect the real density ρt of the coke substance, which was at the level of ~1.8 g/cm3. Total pore volume VTOTAL values ranged from 0.438 to 0.567 cm3/g, while apparent density ranged from 0.927 to 1.001 g/cm3. The range in total porosity P was from 44.2 to 50.5%. Based on the analysis of variance carried out concerning the effect of the charge density and the content of semi-soft coal in the coking blend on the abovementioned parameters, it appears that only the charge density has a significant influence in the tested range (Table A8). A significant effect of density was noted for total porosity P, total pore volume VTOTAL and apparent coke grain density ρapp. Along with the increase in the density, the following was observed: an increase in the apparent density of the coke, and a decrease in the total pore volume and thus the total porosity.
Figure 10.
Influence of the coal bulk density and share of semi-soft coking coal on the coke total pore volume VTOTAL.
Figure 11.
Influence of the coal bulk density and share of semi-soft coking coal on the coke apparent density ρapp.
Figure 12.
Influence of the coal bulk density and share of semi-soft coking coal on the coke total porosity P.
3.3. Technological Parameters of Obtainded Cokes
The results of the analysis of the technological parameters of coke, determined according to the NSC method, are presented in Table A9 and in Figure 13 and Figure 14. In the case of the B20 blend with 20% semi-soft coal, the CRI value generally did not change and was at the level of approx. 34. However, for the highest density value, it increased to 36.4. In the case of the CSR index, it also improved by several percentage points (from 46.6 to 52.4). Above the density of 900 kg/m3, it did not improve, and for the highest density, the value of the CSR index returned to the level as for the gravity-charged blend. Similar dependencies were observed for the other blends BD30 and BD40. For BD30, the CRI decreased slightly from 38.6 to 36.2 and the CSR increased from 38.2 to 51.2. For BD40, the CRI dropped from 39.0 to 37.1 and the CSR index increased from 40.3 to 49.9.
Figure 13.
Influence of the coal bulk density and share of semi-soft coking coal on the CRI index of coke.
Figure 14.
Influence of the coal bulk density and share of semi-soft coking coal on the CSR index of coke.
In order to determine the effect of the share of semi-soft coal and the charge density on the CRI and CSR parameters of coke, a variance analysis was performed. The results of the analysis of variance for these parameters are presented in Table A10. Based on the results contained in this table, it cannot be unequivocally stated that the increase in charge compaction caused significant changes in the coke reactivity expressed by the CRI index. On the other hand, a significant impact was noted in the case of semi-soft coal in the coking blend; i.e., with an increase in its content, an increase in CRI was observed. Based on the analysis performed, using the multiple linear regression method, the following Equation (3) was established, valid for the share of semi-soft coal from 20 to 40% (where Sc—share of semi-soft coal in coking blends, %):
CRI = 31.953 + 0.15 × Sc
The statistical significance of the obtained equation was verified using an F test (for the significance level α = 0.05). The value of the F test for Equation (3) was equal to 23.25 and exceeded the value of the Fcr test (0.05; 1; 13) of 4.67, which proves the statistical significance of the obtained equation. The coefficient of determination R2 was equal to 0.64. A different relationship was obtained for the CSR post-reaction strength index. In this case, there was no significant influence of the share of semi-soft coal in the coking blend on the value of the CSR parameter, but a significant influence of the coal charge density was observed (Table A9 and Table A10, Figure 14).
Based on the analysis of regression, the following Equation (4) was obtained, valid for the density range from 686 to 990 kg/m3 (where ρd—coal charge density calculated on the dry basis, kg/m3):
CSR = 24.417 + 0.0266 × ρd
The statistical significance of the obtained equation was verified using the F-ratio test (for the significance level α = 0.05). The value of the F test for Equation (3) was equal to 12.74 and exceeded than the value of Fcr (0.05; 1; 13) of 4.67, which proves the statistical significance of the obtained equation. The coefficient of determination R2 was equal to 0.49.
3.4. Analysis of the Impact of Parameters Characterizing the Structure and Texture of Coke on Its Quality Indicators
The work described in the previous subsections concerned the assessment of the impact of the coal charge bulk density and the share of semi-soft coal in the coking blend on the texture, structure and quality parameters (CRI and CSR) of the obtained coke, while in this subsection the results of the analysis of the impact of the aforementioned texture and structure parameters on the CRI and CSR quality parameters were presented. The evaluation was made using the Spearman rank correlation test. The results of the Spearman’s rank analysis, the significance of the influence of particular parameters of the structure and texture of coke on the CRI and CSR coke quality indicators, are presented in Table 3. Additionally, Figure 15 shows the direct relationships between the parameters for which statistically significant correlations were obtained using the Spearman’s rank method. On the other hand, Figure A1, Figure A2 and Figure A3 (in Appendix A) show the relationships for which statistically insignificant correlations were obtained.
Table 3.
Spearman’s rank correlation matrix (rs).
Figure 15.
Graphical representation of the relationships between the quality parameters and structural and textural parameters of coke (for the presented relationships, positive correlations were obtained using the Spearman’s rank method—for α = 0.05 and n = 15).
As expected, in the case of assessing the influence of semi-soft coal in the coking blend and the coal charge density on CRI and CSR, the obtained results are consistent with those obtained in the variance analysis (Table A10); i.e., in the case of CRI, a significant influence of the share of semi-soft coal, and in the case of CSR, the coal charge bulk density.
4. Discussion
The basic structural unit (BSU) of carbon materials, including coal and coke, are the so-called graphite-like crystallites made of polyaromatic planes (lamellas) appearing alone or connected in a stack consisting of 2–3 approximately parallel layers [9,15,45]. Each of the planes consists of 4–10 aromatic rings and has a diameter of approx. 1 nm. Between individual BSU units there are oxygen cross-linking or aliphatic cross-linking, limiting their mobility and ability to group. Depending on the type of coal (its degree of coalification and chemical composition), the basic structural units show a smaller or larger spatial order, creating parallel oriented packages, the so-called MOD (molecular orientation domain) or LMO (local molecular orientation). Low-coalified coals show a low degree of order, while high-coalified coals are much higher. MOD domains range in size from a few nm in the case of medium-coalified coals and up to 1 µm in the case of anthracites [45]. The heat supplied to the pyrolysis process and the associated increase in temperature causes the cross-linking of the units to break. The mobility of units obtained in this way (plastic state) enables the development of the coke microtexture. The BSUs present in the feed coal rearrange in parallel to form larger regions with a local MOD orientation. The degree of ordering of the carbon texture within the units constituting it can be assessed using the XRD method, which, as previously mentioned, allows the assessment of changes in relation to BSU (mean dimensions and interplanar distance). Larger MOD domains formed from BSU create a unique coke microtexture—domains greater than 0.3–1 µm can be observed by optical microscopy in the form of various types of textures. According to [46,47], the reactivity of such objects decreases with the increase in their size, which is caused by the increase in the number of carbon atoms located outside the aromatic lamellae, which accompanies the increase in the average domain size. Carbon atoms located on the edges of the lamellae are more susceptible to the action of the gasifying agent (CO2) due to easier accessibility.
In addition to the chemical character of coal that forms the coke, the conditions of the carbonization process also influence the development of the microtexture. Changes in XRD parameters are especially observed with increasing carbonization temperature, with the greatest changes observed at temperatures above 1500 °C. [48]. The average width and height of the crystallites increases, while the interplanar distance decreases. Certain changes in these parameters are also observed in the temperature range of industrial coke production; i.e., up to approx. 1000 °C [49]. Therefore, a change in the coal blend composition (an increase in the proportion of semi-soft coal) as well as a change in the bulk density may potentially affect the development of microtexture and, consequently, the XRD parameters, for which, according to the data, relations with selected quality parameters of coke were noted. According to the authors in [15,50,51], coke microtexture influences its strength parameters and reactivity. The lower reactivity of coke with higher values of the La and Lc parameters was reported in [52,53,54]. The change in these parameters, in our case, may be related to the change in plastic conditions (allowing for the rearrangement of structural units) related to the increase in the share of semi-soft coal and the change in pressure in the plastic layer related to the increased coal charge density. This is because, according to the authors of [55,56,57], an increase in charge density leads to an increase in the expansion pressure or internal gas pressure, which are related to the pressure in the plastic layer.
There is not much information in the literature on the influence of coal charge density on the XRD parameters of coke. In [33], where the influence of two charge density levels—926 and 996 kg/m3—on the parameters of the structure and quality of coke was investigated, a slight increase in the Lc parameter from 3.3 to 3.6 nm was noted (averages for coke pieces taken from different parts of the furnace). However, the dispersion of the data was relatively large and amounted to 2.9–3.8 and 3.3–4.3, respectively. It does not allow to draw unequivocal conclusions as to the influence of density on this parameter and it is also difficult due to the relatively small difference in density. A similar situation was also with the value of parameter d002. For the aforementioned densities, it was 0.355 and 0.352 nm, respectively. La parameter values were not provided. Nevertheless, the authors, in relation to all the obtained data (coking rate was also evaluated), found that the Lc values correlate with the CRI and CSR parameters. Moreover, the authors observed a certain increase in pore wall thickness (by 4.1 p.p.), a decrease in the surface area SBET measured by N2 sorption (from 6.25 to 2.47 m2/g), a decrease in the total porosity (from 49.6 to 44.6%), slight increase in the optical anisotropy index by 1.5 pp and an increase in CSR by 5.4 p.p. (no information about CRI). Other authors [58] investigated the effect of drying and partial briquetting of coal charge on the structure and quality of coke. The value of the obtained charge density was not given, but taking into account that this type of technique is used for the gravity-charged coke oven batteries, the range of density changes could be in the range of approx. 700–800 kg/m3. Regardless of the implemented method of increasing the batch density, the tested values of La and Lc were respectively ca. 3.05 and ca. 3.71 nm. Slight fluctuations were noted for d002—range 0.346–0.361 nm. Along with the use of coal blend densification, the abovementioned authors also observed a decrease in total coke porosity, an increase in pore wall thickness and a slight improvement in the coke optical anisotropy index. The quality parameters of the obtained coke have also improved; i.e., lowering the CRI by 1–3 p.p. by increasing CSR by 1–5 p.p.
Taking into account the values of the XRD parameters obtained for the tested cokes, it should be stated that their values are comparable to those reported in the literature for this material [33,49,58,59]. The above-presented literature data on the XRD parameters refer only to a certain segment of the density range. In general, the lack of changes in these parameters with changes in density in our studies can be considered as consistent with the abovementioned data. Most likely, the increase in pressure in the plastic layer during the pyrolysis process does not affect the structural changes within the BSU crystallites. The only significant change noted was a slight increase in the Lc parameter along with an increase in the share of semi-soft coal. This can be surprising since the addition of a lower coalified coal component in the blend would rather have a negative effect. The coal with a lower degree of coalification is a “donor” of textural elements with a lower level of molecular organization (the lowest average mean random vitrinite reflectance value R0 = 0.89), which was confirmed by a decrease in the mean R0 value for the tested coking blends from 1.07 to 1.03 (along with an increase in the BD coal content from 20 to 40%). One would expect a decrease in this parameter, because it is known that parameters such as Lc and La decrease with the decrease in the degree of coalification degree [60].
The mechanism of this phenomenon is not entirely clear, although the increase in the fluidity Fmax of blends with a higher content of BD coal may be of great importance, which may create conditions for the reorganization of BSU units and the addition of crystallites in the direction perpendicular to the carbon planes—which results in an increase in the average Lc value. As proof of this hypothesis, the results of work [49] can be cited, in which the influence of the carbonization temperature of various coals on the value of the La, Lc and d002 parameters for the produced chars was investigated. For chars produced at about 900 °C (except for one), the values of La, Lc and d002 were lower than for raw coals, which was related to the formation of new crystallites (of smaller sizes). As a result, despite the increase in the degree of crystallization of the structure of the chars (due to the release of volatile parts), their average size decreases, which was manifested by a decrease in the La and Lc values. This phenomenon did not occur in the case of one of the coals characterized by high fluidity and also coming from the same mine as used by us. Most likely, as mentioned before, the high fluidity of this type of coal may have a positive effect on the arrangement of the BSU along this axis.
The positive effect of increased fluidity may also be the reason for the lack of significant changes in the optical anisotropy of the coke (assessed by fibrosity index Wx) together with the increase of the semi-soft coal—as in the case of XRD parameters, a deterioration is also to be expected. Increased fluidity, paradoxically, could compensate for its unfavorable addition, preventing significant changes (deterioration) in the level of coke optical anisotropy. A higher value of plasticity can favor the formation of domains into larger ordered objects and, consequently, an increase in the level of coke optical anisotropy.
The improvement of the optical anisotropy of the coke along with the increase in density from the level of the gravity charge to the level of the stamped charge may be caused by an increase in gas pressure in the plastic layer, which, apart from fluidity, may also favor the formation of texture elements into larger objects. On the other hand, a later decrease, especially visible for the highest densities, may indicate that, above a certain level of density, the pressure generated inside the plastic layer is excessive and does not favorably affect the arrangement of the coke microtexture.
Apart from the texture parameters, also the structure parameters related to the porous substance of the coke may influence its quality parameters. The character of the coke’s porous structure (i.e., total pore volume, size distribution and morphology) significantly affects the reactivity and strength of the coke [13,46]. In general, an increase in the total pore volume reduces the coke strength [61]. The increase in the total pore volume and the mean pore size increases the reactivity of the coke [13]. The relation between reactivity and the volume and surface area of the micropores was noticed in different works [59,62]. In [61,63], the relations between coke reactivity and SBET (from N2 adsorption) were noticed. The parameters determined by the N2 adsorption method allow the assessment of the porous structure of coke in relation to micropores (<2 nm), mesopores (2–50 nm) and some macropores (~50–150 nm). The method enables the evaluation of micropores with dimensions larger than ~1.5 nm. The micropores with dimensions <1.5 nm, in particular slit-shaped micropores (<0.6–0.7 nm), can only be assessed with use of CO2 adsorption; this is due to the fact that nitrogen at 77 K has a lower kinetic energy than carbon dioxide at 273 K [64]. Therefore, both techniques provide complementary data on the structure of coke in relation to micropores and mesopores. Both the increase in the volume of the micropores and mesopores and the surface area associated with it can significantly affect the coke reactivity. The larger surface area makes it easier for the gasifying agent, i.e., CO2, to access the coke matrix. Higher values of the SDR surface area than the SBET surface obtained for our cokes may indicate that the tested coke samples have slit pores with sizes <0.6–0.7 nm, inaccessible to N2 molecules at 77 K, and available for CO2 at 273 K. However, the conditions of the pyrolysis process caused by both the charge density and the content of semi-soft coal did not significantly affect the porous structure of obtained coke with respect to these specific groups of pores. However, the coal blend bulk density significantly influences the pore structure characterized by pycnometric methods. An increase in the apparent density ρapp of the coke and decrease in the total pore volume VTOTAL and the total porosity P was found. When comparing the pore volume values (data from Table A5 and Table A7), the sum of the values of VMICRO (CO2) relating to pores smaller than 1.5 nm and VMICRO (N2) and VMESO relating to pores with the size of ~1.5–50 nm constitute only a thousandths of the VTOTAL determined using the pycnometric method. This proves the strongly macroporous nature of the tested coke samples—the vast majority are pores with an area of approx. 50 nm. According to [65], the level of charge density does not have a significant impact on the real density of carbonates obtained at a temperature above plastic state resolidation (and thus coke), while the properties of the base coal (content of element C and volatile parts) exert some influence. Hence the lack of significant changes in the actual density with the change of the bulk density is in line with the literature data. Theoretically, the obtained real density could be influenced by an increased content of semi-soft coal with a higher volatile content. However, the changes in the content of volatile parts in the prepared coal blends were not large enough to significantly affect this parameter. Observed changes in other parameters may be the result of a higher concentration of the coal charge, and thus the grains getting closer to each other (lower external porosity of the bed → higher degree of filling the bed → more tight packing of the grains), which in the pyrolysis process generate coke with a lower porosity and lower total pore volume VTOTAL and higher apparent density ρapp.
Taking into account some changes in the parameters discussed in this chapter, one should expect changes in the quality parameters of the produced coke along with changes in the density and content of semi-soft coal. The qualitative parameters of the coke depend primarily on the nature of its texture and structure but may also result from the influence of other factors, e.g., the influence of certain components of a mineral substance. The assessment of the impact of changes in individual factors in the three-variable system (Figure 16 and Figure 17) is facilitated by the interpretation of data on a global basis, and certain trends are more visible than in the system of bar graphs (in Section 3), which, in turn, allow the comparison of specific measurement points.
Figure 16.
Influence of bulk density and semi-soft coal content on the CRI of coke.
Figure 17.
Influence of bulk density and semi-soft coal content on the CSR of coke.
The results of this analysis—the Spearman’s rank correlation—suggest that CRI is influenced by the share of lower rank coal in the coking blend—with the increase in the proportion of this coal (BD coal), the reactivity of coke, assessed using the CRI parameter, increases. In the light of the obtained data, also supported by the Spearman’s rank correlation analysis, it can be concluded that the increase in CRI is the result of an increase in the share of semi-soft coal. This is in line with literature data that states that the coke NSC parameters are roughly additive values. The tested coal BD was characterized by the worst NSC values among the tested coals (Table 1); therefore, the deterioration of these values for cokes obtained from coal blends with its increased addition can be considered justified. This deterioration may also result from the intensification of the catalytic interaction of the alkaline components of the mineral substance. The obtained data clearly show (Table 2) that with the increase in BD coal content, the Alkalinity Index AI slightly increased. It is directly related to the increase in the content of alkaline components, which catalytically affect the gasification of the coke substance with carbon dioxide (Boudouard reaction), thus increasing the CRI index.
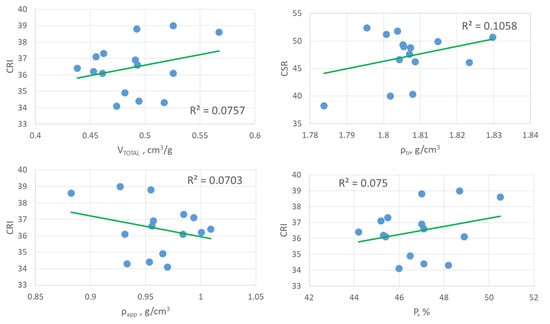
The improvement of the CRI index (its reduction) with the increase of the coal blend density may result mainly from the reduction of the total pore volume and, consequently, the total porosity of the coke. As previously mentioned, in the case under study, it is related to changes mainly in macropores. There were no significant relationships in terms of the parameters relating to micro- and mesopores (determined by CO2 and N2 adsorption methods), both in terms of charge density, semi-soft coal content as well as the CRI and CSR indices themselves. This conclusion is generally consistent with some literature reports according to which the gasification of coke with carbon dioxide takes place mainly in pores with a size of 100 to 10,000 nm; i.e., in some macropores [13]. Larger pores play the role of transport for the gasifying agent. The gasification reaction itself can take place only in that part of the micro- or mesopores to which direct CO2 access is possible from the transport pores [65].
Moreover, the reduction of the CRI value may also be influenced by the improvement of the optical anisotropy of coke expressed by the fibrosity index Wx. Its increase was observed for cokes produced from coal blends with a higher density. A higher value of the Wx index is associated with a higher content of larger objects forming the coke texture, which are less reactive forms. However, there was no statistically significant correlation between the CRI index and the Wx index; therefore, it is not entirely clear. It should be noted, however, that statistical tools have a certain sensitivity, so they should be used as a support tool for the analysis of data and trends, and not as an oracle.
It is a surprise that the CRI did not improve for the BD20 blend for the highest density. The value of both CRI and CSR was similar to that of the gravity charged, although the obtained values of texture and structure parameters would not indicate this—the lowest total porosity, the highest apparent density and the improvement of optical anisotropy were obtained. At the same time, it can be noticed that the increase in charge density partially compensates for the negative impact of the increased content of BD coal. It is manifested by a much smaller slope of the curve (Figure 16) of the dependence of CRI on the share of semi-soft coal, for higher density values. This effect is particularly visible in the case of the CSR index, where the improvement of CSR results mainly from the reduction of the total porosity of the coke, which makes its structure more resistant to mechanical impact. In addition to the total porosity itself, the average pore wall thickness could be increased, which also contributes to the increase in the strength of the coke matrix—such relationships were observed in the works [33,58]. Dependence of the mechanical strength of coke on the amount of macropores (including the so-called coarse pores) was reported in [13,65,66]. Reducing their content (which is associated with a decrease in total porosity) was associated with a reduction in strength, which also justifies our conclusions. Increased CSR may also be caused by an increase in the fibrosity index Wx with an increase in density (both a significant effect of density on Wx and Wx on CSR was noted). The coke substance formed from larger textural objects may have better mechanical properties, which in turn increases its strength.
In general, the results obtained for CSR are consistent with the results of CRI, which is obvious because the CSR index is roughly dependent on the CRI, which has been confirmed in the literature [67]—the more degraded coke matrix after the CRI test is characterized by lower mechanical strength, which results in lower CSR. Taking this into account, this result is not entirely clear, but is partially consistent with the literature [35], which states that the use of stamping technology for the best coking blends is not beneficial. The results of our research (which is shown in Figure 16 and Figure 17) may also suggest that the better the coking blend (the less semi-soft coal), the lower the stamping effect.
The values of the NSC parameters of the coke produced on a laboratory scale differ from those obtained in the case of industrial production in coke oven batteries, which can be the result of different process conditions. The time of the coking process in the conditions of the coke oven battery, depending on the chamber filling system (as well as their dimensions—width), lasts from approx. 16 to 25 h, with approx. 3.5 h of coking in the Karbotest laboratory installation. At the same time, the temperature in the battery heating channels exceeds 1300 °C, while in the Karbotest installation the temperature of the reactor chamber wall is 950 °C. Due to the impact of the abovementioned conditions for the course of the coking process, the quality parameters of the coke obtained from analogous coal blends differ—they are usually less favorable in the case of a laboratory scale. Nevertheless, using the coefficients of the transformation of the NSC parameters from a laboratory scale to an industrial scale, established based on many years of experience, it is possible to predict their value in industrial conditions. In the case of the CRI indicator, the value obtained in the batteries is approx. 10–15% lower. In the case of the CSR index, the value obtained in industrial conditions is approx. 14–30% higher [68].
5. Conclusions
The aim of the investigation was to evaluate the influence of the coal charge bulk density and semi-soft coking coal content in a coking blend on the textural and structural parameters of the coke, which determine its quality. The results are summarized as follows:
- -
- No significant influence of the aforementioned factors on the parameters related to the coke microtexture, assessed by the XRD method (only a slight increase in the Lc parameter was observed with the increase in the semi-soft carbon content), or on the structure parameters, assessed by N2 and CO2 sorption method.
- -
- Both the share of semi-soft coal and the coal charge density have an impact on the selected parameters of the structure and texture of the coke: along with the increase in the density of the charge, an increase in the texture anisotropy assessed by fibrosity index Wx and an increase in apparent coke density ρapp were observed. The value of total porosity P and the total pore volume VTOTAL of coke decreased.
- -
- Both factors also influenced the change in the coke quality indices assessed with the NSC method. Coal blend density affected CSR the most (increase in CSR with increase in batch density) and to a lesser extent on CRI. On the other hand, the content of semi-soft coal had a greater impact on CRI (increase in CRI with an increase in the content of semi-soft carbon) and less on CSR—a slight decrease in CSR, visible especially for the lowest charge densities. The increase in charge density resulted in partial compensation of the unfavorable effect of the increased content of semi-soft coal.
- -
- The aforementioned changes in the NSC indices are attributed to the aforementioned textural and structural changes, i.e., an increase in CSR results primarily from a decrease in total porosity (including total pore volume) and an increase in coke anisotropy. The decrease in CRI with an increase in density is also attributed to an improvement in anisotropy and a decrease in porosity—limited access to the gasifying agent. On the other hand, the increase in CRI with an increase in the content of semi-soft coal is most likely due to the higher reactivity of this coal as well as the increase in the share of alkaline components catalyzing the gasification reaction of the coke matrix.
- -
- Increasing the coal charge density (by use of stamp charging method) enables the introduction of a larger amount of cheaper and weaker semi-soft coal into the coking blend without deteriorating the coke quality. The coke produced with 40% share of the semi-soft coal for the density corresponding to the stamp charging system was characterized by the value of the CSR index at a level similar to that obtained for 20% of its content for the density corresponding to the top-charging system. It follows that the use of a higher charge density, in particular the stamping technology, allows to reduce the cost of the coal blend and improve the economy of coke production.
- -
- Taking into account the current and forecast situation on the global coal and coke market, including the deficit in the best quality coals, in the case of new investments it is recommended to build a battery using the stamp-charging technology. However, when making a decision to renew the production capacity of the operating gravity-charged batteries, it is recommended to change the technology to the compacted charge. In addition to the aforementioned benefit in the form of a reduction in the cost of the blend (assuming the production of coke of similar quality), this will allow in the future to meet the requirements of customers in a situation of further increases in coke quality requirements—especially the CSR index.
Author Contributions
Conceptualization, M.R., A.S. (Andrzej Strugała) and A.S. (Aleksander Sobolewski); methodology, M.R. and A.S. (Andrzej Strugała); formal analysis, M.R., investigation, M.R.; writing—original draft preparation, M.R., A.S. (Andrzej Strugała) and A.S. (Aleksander Sobolewski); writing—review and editing, M.R., A.S. (Andrzej Strugała) and A.S. (Aleksander Sobolewski). All authors have read and agreed to the published version of the manuscript.
Funding
This study was carried out within the framework of “Smart coking plant meeting the requirements of the Best Available Techniques”, contract no. 01.01.02-24-017/08 financed by the Innovative Economy Operational Program funding of the European Regional Development Fund.
Data Availability Statement
The data is contained in the article in Appendix A.
Conflicts of Interest
The authors declare no conflict of interest.
Appendix A
Table A1.
XRD parameters of the obtained cokes.
Table A1.
XRD parameters of the obtained cokes.
| Coal Charge | XRD Parameters | |||
|---|---|---|---|---|
| No. | ρd, kg/m3 | La, nm | Lc, nm | d002, nm |
| BD20 | 686 | 4.16 | 1.35 | 0.351 |
| 756 | 4.31 | 1.38 | 0.351 | |
| 900 | 4.10 | 1.40 | 0.351 | |
| 945 | 3.78 | 1.39 | 0.352 | |
| 990 | 3.86 | 1.38 | 0.349 | |
| BD30 | 691 | 3.31 | 1.37 | 0.350 |
| 756 | 3.72 | 1.38 | 0.351 | |
| 900 | 3.56 | 1.37 | 0.353 | |
| 945 | 4.04 | 1.37 | 0.351 | |
| 990 | 4.62 | 1.42 | 0.352 | |
| BD40 | 700 | 3.93 | 1.39 | 0.351 |
| 756 | 4.14 | 1.42 | 0.352 | |
| 900 | 4.02 | 1.38 | 0.352 | |
| 945 | 3.85 | 1.43 | 0.352 | |
| 990 | 4.22 | 1.44 | 0.353 | |
| ue * ±, nm | 0.2 | 0.04 | n/a | |
* expanded uncertainty (α = 0.05, k = 2).
Table A2.
Results of the ANOVA analysis—assessment of the significance of the impact of coal charge bulk density and the share of semi-soft coal on the XRD parameters.
Table A2.
Results of the ANOVA analysis—assessment of the significance of the impact of coal charge bulk density and the share of semi-soft coal on the XRD parameters.
| Dependent Variables | Independent Variables | SS | df | MS | F | Fcr | Significance |
|---|---|---|---|---|---|---|---|
| La | Sc | 0.1168 | 2 | 0.0584 | 0.49 | 4.46 | No |
| ρd | 0.3538 | 4 | 0.0884 | 0.75 | 3.84 | No | |
| residual value | 0.9494 | 8 | 0.1187 | - | - | - | |
| total | 1.4200 | 14 | - | - | - | - | |
| Lc | Sc | 0.0032 | 2 | 0.0016 | 4.50 | 4.46 | Yes |
| ρd | 0.0031 | 4 | 0.0008 | 2.18 | 3.84 | No | |
| residual value | 0.0029 | 8 | 0.0004 | - | - | - | |
| total | 0.0092 | 14 | - | - | - | - | |
| d002 | Sc | 0.000004 | 2 | 0.000002 | 1.59 | 4.46 | No |
| ρd | 0.000003 | 4 | 0.000001 | 0.65 | 3.84 | No | |
| residual value | 0.000009 | 8 | 0.000001 | - | - | - | |
| total | 0.000016 | 14 | - | - | - | - |
Table A3.
Results of the optical microscope analysis of the obtained cokes.
Table A3.
Results of the optical microscope analysis of the obtained cokes.
| Coal Charge | Texture Content, % | Fibrosity Index Wx | |||
|---|---|---|---|---|---|
| No. | ρd, kg/m3 | Circular | Lenticular | Ribbon | |
| BD20 | 686 | 40.00 | 27.20 | 5.40 | 0.33 |
| 756 | 33.53 | 35.12 | 6.35 | 0.37 | |
| 900 | 27.80 | 33.6 | 12.20 | 0.39 | |
| 945 | 27.20 | 38.00 | 7.40 | 0.38 | |
| 990 | 20.96 | 40.32 | 8.59 | 0.38 | |
| BD30 | 691 | 51.98 | 18.38 | 3.36 | 0.29 |
| 756 | 47.30 | 16.94 | 9.41 | 0.31 | |
| 900 | 42.00 | 26.00 | 13.00 | 0.38 | |
| 945 | 35.24 | 33.24 | 14.64 | 0.40 | |
| 990 | 42.02 | 24.51 | 5.06 | 0.32 | |
| BD40 | 700 | 44.40 | 28.87 | 2.56 | 0.33 |
| 756 | 41.35 | 29.03 | 3.58 | 0.33 | |
| 900 | 22.37 | 42.18 | 5.35 | 0.38 | |
| 945 | 29.43 | 38.15 | 6,49 | 0.38 | |
| 990 | 32.61 | 38.57 | 1.20 | 0.36 | |
Table A4.
Results of the ANOVA analysis—assessment of the significance of the impact of coal charge bulk density and the share of semi-soft coal on the optical microscope parameters.
Table A4.
Results of the ANOVA analysis—assessment of the significance of the impact of coal charge bulk density and the share of semi-soft coal on the optical microscope parameters.
| Dependent Variables | Independent Variables | SS | df | MS | F | Fcr | Significance |
|---|---|---|---|---|---|---|---|
| Content of circular texture | Sc | 502.4 | 2 | 251.2 | 15.58 | 4.46 | Yes |
| ρd | 556.9 | 4 | 139.2 | 8.63 | 3.84 | Yes | |
| residual value | 129.0 | 8 | 16.1 | - | - | - | |
| total | 1188.2 | 14 | - | - | - | - | |
| Content of lenticular texture | Sc | 425.5 | 2 | 212.8 | 16.04 | 4.46 | Yes |
| ρd | 311.5 | 4 | 77.9 | 5.87 | 3.84 | Yes | |
| residual value | 106.1 | 8 | 13.3 | - | - | - | |
| total | 843.2 | 14 | - | - | - | - | |
| Content of ribbon texture | Sc | 76.85 | 2 | 38.42 | 6.54 | 4.46 | Yes |
| ρd | 94.05 | 4 | 23.51 | 4.00 | 3.84 | No | |
| residual value | 47.02 | 8 | 5.88 | - | - | - | |
| total | 217.92 | 14 | - | - | - | - | |
| Fibrosity index Wx | Sc | 0.002253 | 2 | 0.001127 | 3.13 | 4.46 | No |
| ρd | 0.010840 | 4 | 0.002710 | 7.53 | 3.84 | Yes | |
| residual value | 0.002880 | 8 | 0.000360 | - | - | - | |
| total | 0.015973 | 14 | - | - | - | - |
Table A5.
CO2 and N2 adsorption parameters of the obtained cokes.
Table A5.
CO2 and N2 adsorption parameters of the obtained cokes.
| Coal Charge | CO2 Adsorption | N2 Adsorption | ||||
|---|---|---|---|---|---|---|
| No. | ρd, kg/m3 | VMICRO, cm3/g (10−4) (CO2) | SDR, m2/g (CO2) | VMICRO, cm3/g (10−4) (N2) | VMESO, cm3/g (10−4) (N2) | SBET m2/g (N2) |
| BD20 | 686 | 42.38 | 9.16 | 1.29 | 8.41 | 0.47 |
| 756 | 58.68 | 12.69 | 1.27 | 6.17 | 0.35 | |
| 900 | 32.35 | 7.00 | 1.50 | 6,79 | 0.42 | |
| 945 | 39.35 | 8.81 | 1.09 | 5.09 | 0.32 | |
| 990 | 47.94 | 10.36 | 1.03 | 5.01 | 0.31 | |
| BD30 | 691 | 35.78 | 7.73 | 1.44 | 6.08 | 0.38 |
| 756 | 39.01 | 8.43 | 1.42 | 5.86 | 0.39 | |
| 900 | 41.85 | 9.01 | 1.20 | 6.62 | 0.33 | |
| 945 | 42.18 | 9.12 | 1.26 | 7.62 | 0.35 | |
| 990 | 37.18 | 8.03 | 1.18 | 5.95 | 0.33 | |
| BD40 | 700 | 37.97 | 8.21 | 1.44 | 6.0 | 0.39 |
| 756 | 50.18 | 10.85 | 1.16 | 5.9 | 0.36 | |
| 900 | 44.91 | 9.71 | 1.43 | 6.4 | 0.41 | |
| 945 | 48.11 | 10.40 | 1.36 | 5.72 | 0.38 | |
| 990 | 44.87 | 9.70 | 1.05 | 5.86 | 0.28 | |
| ue ±,% | 10.7 | 10.7 | 8.7 | 4.7 | 5.1 | |
Table A6.
Results of the ANOVA analysis—assessment of the significance of the impact of coal charge bulk density and the share of semi-soft coal on the CO2 and N2 adsorption parameters.
Table A6.
Results of the ANOVA analysis—assessment of the significance of the impact of coal charge bulk density and the share of semi-soft coal on the CO2 and N2 adsorption parameters.
| Dependent Variables | Independent Variables | SS | df | MS | F | Fcr | Significance |
|---|---|---|---|---|---|---|---|
| VMICRO (CO2) | Sc | 102.73 | 2 | 51.37 | 1.36 | 4.46 | No |
| ρd | 206.63 | 4 | 51.66 | 1.37 | 3.84 | No | |
| residual value | 301.72 | 8 | 37.71 | - | - | - | |
| total | 611.08 | 14 | - | - | - | - | |
| SDR (CO2) | Sc | 5.07 | 2 | 2.54 | 1.52 | 4.46 | No |
| ρd | 9.79 | 4 | 2.45 | 1.46 | 3.84 | Nie | |
| residual value | 13.38 | 8 | 1.67 | - | - | - | |
| total | 28.24 | 14 | - | - | - | - | |
| VMICRO (N2) | Sc | 0.0116 | 2 | 0.0058 | 0.34 | 4.46 | No |
| ρd | 0.1817 | 4 | 0.0454 | 2.65 | 3.84 | No | |
| residual value | 0.1373 | 8 | 0.0172 | - | - | - | |
| total | 0.3306 | 14 | - | - | - | - | |
| VMESO (N2) | Sc | 0.5351 | 2 | 0.2675 | 0.29 | 4.46 | No |
| ρd | 2.8788 | 4 | 0.7197 | 0.78 | 3.84 | No | |
| residual value | 7.3534 | 8 | 0.9192 | - | - | - | |
| total | 10.7672 | 14 | - | - | - | - | |
| SBET (N2) | Sc | 0.0008 | 2 | 0.0004 | 0.25 | 4.46 | No |
| ρd | 0.0193 | 4 | 0.0048 | 3.00 | 3.84 | No | |
| residual value | 0.0129 | 8 | 0.0016 | - | - | - | |
| total | 0.0330 | 14 | - | - | - | - |
Table A7.
Structural parameters of the produced coke with the use of pycnometric methods.
Table A7.
Structural parameters of the produced coke with the use of pycnometric methods.
| Coal Charge | Parameters | ||||
|---|---|---|---|---|---|
| No. | ρd, kg/m3 | ρt, g/cm3 | VTOTAL, cm3/g | ρapp, g/cm3 | P, % |
| BD20 | 686 | 1.8043 | 0.5175 | 0.933 | 48.2 |
| 756 | 1.8053 | 0.4816 | 0.9656 | 46.5 | |
| 900 | 1.7955 | 0.474 | 0.9699 | 46.0 | |
| 945 | 1.8038 | 0.4944 | 0.9534 | 47.1 | |
| 990 | 1.8086 | 0.4381 | 1.009 | 44.2 | |
| BD30 | 691 | 1.7838 | 0.5672 | 0.8824 | 50.5 |
| 756 | 1.8234 | 0.5256 | 0.931 | 48.9 | |
| 900 | 1.8074 | 0.4929 | 0.9558 | 47.1 | |
| 945 | 1.8008 | 0.461 | 0.9839 | 45.4 | |
| 990 | 1.8297 | 0.4528 | 1.0006 | 45.3 | |
| BD40 | 700 | 1.8079 | 0.5257 | 0.9268 | 48.7 |
| 756 | 1.8019 | 0.4923 | 0.9548 | 47.0 | |
| 900 | 1.8055 | 0.491 | 0.957 | 47.0 | |
| 945 | 1.8071 | 0.4622 | 0.9845 | 45.5 | |
| 990 | 1.8148 | 0.4553 | 0.9937 | 45.2 | |
| ue ± (%) | 0.1 | 2.2 | 0.8 | 1.4 | |
Table A8.
Results of the ANOVA analysis—assessment of the significance of the impact of coal charge bulk density and the share of semi-soft coal on structural parameters.
Table A8.
Results of the ANOVA analysis—assessment of the significance of the impact of coal charge bulk density and the share of semi-soft coal on structural parameters.
| Dependent Variables | Independent Variables | SS | df | MS | F | Fcr | Significance |
|---|---|---|---|---|---|---|---|
| P | Sc | 2.90 | 2 | 1.45 | 1.77 | 4.46 | No |
| ρd | 30.42 | 4 | 7.61 | 9.31 | 3.84 | Yes | |
| residual value | 6.54 | 8 | 0.82 | - | - | - | |
| total | 39.86 | 14 | - | - | - | - | |
| VTOTAL | Sc | 0.0010 | 2 | 0.0005 | 1.49 | 4.46 | No |
| ρd | 0.0129 | 4 | 0.0032 | 9.90 | 3.84 | Yes | |
| residual value | 0.0026 | 8 | 0.0003 | - | - | - | |
| total | 0.0165 | 14 | - | - | - | - | |
| ρtr | Sc | 0.0019 | 2 | 0.0009 | 1.14 | 4.46 | No |
| ρd | 0.0026 | 4 | 0.0006 | 0.77 | 3.84 | No | |
| residual value | 0.0066 | 8 | 0.0008 | - | - | - | |
| total | 0.0111 | 14 | - | - | - | - | |
| ρapp | Sc | 0.0007 | 2 | 0.0003 | 1.15 | 4.46 | No |
| ρd | 0.0123 | 4 | 0.0031 | 10.45 | 3.84 | Yes | |
| residual value | 0.0023 | 8 | 0.0003 | - | |||
| total | 0.0153 | 14 | - | - | - | - |
Table A9.
NSC parameters of the obtained cokes.
Table A9.
NSC parameters of the obtained cokes.
| Coal Charge | NSC Parameters | ||
|---|---|---|---|
| No. | ρd, kg/m3 | CRI, % | CSR, % |
| BD20 | 686 | 34.3 | 46.6 |
| 756 | 34.9 | 49.3 | |
| 900 | 34.1 | 52.4 | |
| 945 | 34.4 | 51.8 | |
| 990 | 36.4 | 46.2 | |
| BD30 | 691 | 38.6 | 38.2 |
| 756 | 36.1 | 46.1 | |
| 900 | 36.6 | 48.8 | |
| 945 | 36.1 | 51.2 | |
| 990 | 36.2 | 50.7 | |
| BD40 | 700 | 39.0 | 40.3 |
| 756 | 38.8 | 40 | |
| 900 | 36.9 | 49 | |
| 945 | 37.3 | 47.6 | |
| 990 | 37.1 | 49.9 | |
| ue ± p. % | 0.5 | 1.1 | |
Table A10.
Results of the ANOVA analysis—assessment of the significance of the impact of coal charge bulk density and the share of semi-soft coal on NSC parameters.
Table A10.
Results of the ANOVA analysis—assessment of the significance of the impact of coal charge bulk density and the share of semi-soft coal on NSC parameters.
| Dependent Variables | Independent Variables | SS | df | MS | F | Fcr | Significance |
|---|---|---|---|---|---|---|---|
| CRI | Sc | 23.03 | 2 | 11.52 | 11.59 | 4.46 | Yes |
| ρd | 4.10 | 4 | 1.02 | 1.03 | 3.84 | No | |
| residual value | 7.95 | 8 | 0.99 | - | - | - | |
| total | 35.08 | 14 | - | - | - | - | |
| CSR | Sc | 38.35 | 2 | 19.17 | 2.06 | 4.46 | No |
| ρd | 164.23 | 4 | 41.06 | 4.41 | 3.84 | Yes | |
| residual value | 74.55 | 8 | 9.32 | - | - | - | |
| total | 277.13 | 14 | - | - | - | - |
Figure A1.
Graphical representation of the relationships between the quality parameters and structural and textural parameters of coke (for the presented relationships, negative correlations were obtained using the Spearman’s rank method—for α = 0.05 and n = 15)—part 1.
Figure A2.
Graphical representation of the relationships between the quality parameters and structural and textural parameters of coke (for the presented relationships, negative correlations were obtained using the Spearman’s rank method—for α = 0.05 and n = 15)—part 2.
Figure A3.
Graphical representation of relationships between quality parameters and structural and textural parameters of coke (for the presented relationships, negative correlations were obtained using the Spearman’s rank method—for α = 0.05 and n = 15)—part 3.
References
- Papież, M.; Śmiech, S. Using Svecm Model for the Analysis of the Relations between Raw Material Prices and Steel Prices on the European Market in the Period 2003–2011. Stat. Rev. 2012, 59, 504. [Google Scholar]
- Available online: www.worldsteel.org and https://www.worldsteel.org/steel-by-topic/statistics/annual-production-steel-data/P1_crude_steel_total_pub/CHN/IND and https://www.worldsteel.org/steel-by-topic/statistics/steel-data-viewer_new/P1_crude_steel_total_pub/CHN/IND (accessed on 8 June 2021).
- Kosyrczyk, L.; Stelmach, S.; Gaska, K.; Generowicz, A.; Iwaszczuk, N.; Kardaś, D. Optimization of Thermal Parameters of the Coke Oven Battery by Modified Methodology of Temperature Measurement in Heating Flues as the Management Tool in the Cokemaking Industry. Energies 2021, 14, 904. [Google Scholar] [CrossRef]
- Karcz, A.; Strugała, A. Increasing chances of utilizing the domestic coking coal resources through technological operations in coal blend preparation. Miner. Resour. Manag. 2008, 24, 5–18. [Google Scholar]
- Ahmed, H. New Trends in the Application of Carbon-Bearing Materials in Blast Furnace Iron-Making. Minerals 2018, 8, 561. [Google Scholar] [CrossRef]
- Zołotuchin, J.A.; Andrejczikov, N.S.; Kukolev, J.B. Quality Requirements on Coke for Blast Furnaces Operating with Coal-Dust Fuel. Coke Chem. 2009, 52, 110. [Google Scholar] [CrossRef]
- Zhou, D.; Cheng, S.; Wang, Y.; Jiang, X. Production and Development of Large Blast Furnaces from 2011to 2014 in China. ISIJ Int. 2015, 55, 2519. [Google Scholar] [CrossRef]
- Żarczyński, P.; Strugała, A. Studies on the Possibility of Extending Coal Resources for Coke Production through the Application of Coal Predrying. Energy Fuels 2018, 32, 5666. [Google Scholar] [CrossRef]
- Li, K.; Khanna, R.; Zhang, J.; Liu, Z.; Sahajwalla, V.; Yang, T.; Deven, K. The evolution of structural order, microstructure and mineral matter of metallurgical coke in a blast furnace: A review. Fuel 2014, 133, 194. [Google Scholar] [CrossRef]
- Tiwari, H.P.; Haldar, S.K.; Das, A.; Mishra, P.; Kumar, A.; Khattri, P. Potential Use of High Ash Indian Medium Coking Coal in Stamp Charged Coke Making. Int. J. Coal Prep. Util. 2017, 39, 101. [Google Scholar] [CrossRef]
- Nag, D.; Haldar, S.K.; Choudhary, P.K.; Banerjee, P.K. Prediction of Coke CSR from Ash Chemistry of Coal Blend. Int. J. Coal Prep. Util. 2009, 29, 243. [Google Scholar] [CrossRef]
- Loison, R.; Foch, P.; Boyer, A. Coke. Quality and Production; Butterworths: London, UK, 1989. [Google Scholar]
- Patrick, J.W.; Walker, A. Macroporosity in cokes: Its significance, measurement, and control. Carbon 1989, 27, 117. [Google Scholar] [CrossRef]
- Pusz, S.; Kwiecińska, B.; Koszorek, A.; Krzesińska, M.; Pilawa, B. Relationships between the optical reflectance of coal blends and the microscopic characteristics of their cokes. Int. J. Coal Geol. 2009, 77, 356. [Google Scholar] [CrossRef]
- Rouzaud, J.N.; Vogt, D.; Oberlin, A. Coke properties and their microtexture; Part I: Micro textural analysis: A guide for cokemaking. Fuel Process. Technol. 1988, 20, 143. [Google Scholar] [CrossRef]
- Available online: www.statista.com and https://www.statista.com/statistics/779868/forecasted-price-of-coking-coal-by-type/ (accessed on 15 May 2021).
- European Commission. Study on the EU’s List of Critical Raw Materials, Factsheets on Critical Raw Materials; European Union: Luxembourg, 2020. [Google Scholar] [CrossRef]
- Sobolewski, A.; Rejdak, M.; Czaplicki, A.; Janusz, M.; Mianowski, A. The effect of coal charge preparation on coke quality. Przemysł Chem. 2014, 93, 2103. [Google Scholar]
- Madias, J.; de Cordova, M. A Review on Stamped Charging of Coals. In Proceedings of the 43rd Ironmaking and Raw Materials Seminar, Belo Horizonte, Brazil, 4 September 2013; p. 29. [Google Scholar]
- Rudyka, V.I.; Kravchenko, S.A.; Solovjov, M.A.; Malyna, V.P. Innovations in World Cokemaking Technologies: A Report on the ESTAD 2019 Steel Conference. Coke Chem. 2020, 63, 283–293. [Google Scholar] [CrossRef]
- Rejdak, M.; Wasielewski, R. Mechanical compaction of coking coals for carbonization in stamp-charging coke ovens. Physicochem. Probl. Miner. Process. 2015, 51, 151. [Google Scholar] [CrossRef]
- Janta, F. Experience in determining the functional dependence of coke quality indicators on the method of filling coke chambers and density. Koks Smoła Gaz 1965, 10, 225. (In Polish) [Google Scholar]
- Byrtus, F.; Foerster, A. Research on the use of high compaction of coal charge for the production of metallurgical coke. Works Inst. Metall. Gliw. 1952, 4, 213. (In Polish) [Google Scholar]
- Kalinowski, B.; Grossman, A.; Kowalski, B. Influence of coal charge concentration on coke strength parameters. Hutnik 1955, 7–8, 247. (In Polish) [Google Scholar]
- Leibrock, H.; Petak, H. Coke production from low-coking coal blends by densification. Fuel Process. Technol. 1983, 7, 91. [Google Scholar] [CrossRef]
- Arendt, P.; Huhn, F.; Kühl, H.; Sbierczik, G. CRI and CSR—An assessment of influential factors. Cokemak. Int. 2000, 12, 62. [Google Scholar]
- Veit, G.; Yassin, K. Economic efficiency of stamp charging technology. Cokemak. Int. 1998, 10, 56. [Google Scholar]
- Chatterjee, A.; Prasad, H.N. Advent of Stamp Charging—A Boon for Cokemaking in Integrated Steel Plants in India. Cokemak. Int. 1994, 6, 12. [Google Scholar]
- Chatterjee, A. Changeover of the coke production at Tata Steel from top charging to stamp charging technology. Cokemak. Int. 2001, 2, 75. [Google Scholar]
- Prasad, H.M.; Singh, B.K.; Chatterjee, A. Production of high CSR coke by Stamp charging-possibilities and limitation. Cokemak. Int. 1999, 1, 50. [Google Scholar]
- Wright, R. Compacting of coal for heat recovery ovens Illawarra coke company pty ltd coalcliffe, Nsw, Australia. In Proceedings of the 5th European Iron & Cokemaking Conference, Stockholm, Sweden, 12–15 June 2005. [Google Scholar]
- Veit, G.; D’Lima, P.F.X. Combining stamp charging with the heat recovery process. AISE Steel Technol. 2002, 19, 24–29. [Google Scholar]
- Nyathi, M.S.; Kruse, R.; Mastalerz, M.; Blish, D. Impact of Oven Bulk Density and Coking Rate on Stamp-Charged Metallurgical Coke Structural Properties. Energy Fuels 2013, 27, 7876. [Google Scholar] [CrossRef]
- Meng, Q.; Wang, Q. Achievements of cokemaking industry and their supports to iron and Steel industry in China. In Proceedings of the 6th ICSTI, Rio de Janeiro, Brazil, 14–18 October 2012; p. 520. [Google Scholar]
- Zhang, Y.; Bai, J.; Xu, J.; Zhong, X.; Zhao, Z.; Liu, H. Effects of stamp-charging coke making on strength and high temperature thermal properties of coke. J. Environ. Sci. 2013, 25, 190. [Google Scholar] [CrossRef]
- Wasielewski, R.; Rejdak, M.; Piechaczek, M. Study on the influence of coal charge densification on coke quality parameters and its optical properties. Karbo 2012, 3, 173. [Google Scholar]
- Rejdak, M.; Bigda, R.; Wojtaszek, M. Use of Alternative Raw Materials in Coke-Making: New Insights in the Use of Lignites for Blast Furnace Coke Production. Energies 2020, 13, 2832. [Google Scholar] [CrossRef]
- Sciazko, M.; Mertas, B.; Kosyrczyk, L.; Sobolewski, A. A Predictive Model for Coal Coking Based on Product Yield and Energy Balance. Energies 2020, 13, 4953. [Google Scholar] [CrossRef]
- Scherrer, P. Bestimmung der Grösse und der Inneren Struktur von Kolloidteilchen Mittels Röntgenstra-hlen.J. Nachrichten von der Gesellschaft derWissenschaften, Göttingen. Math. Phys. 1918, 2, 98. [Google Scholar]
- Stan, C.V.; Beavers, C.M.; Kunz, M.; Tamura, N. X-ray Diffraction under Extreme Conditions at the Advanced Light Source. Quantum Beam Sci. 2018, 2, 4. [Google Scholar] [CrossRef]
- Piechaczek, M.; Mianowski, A.; Sobolewski, A. The original concept of description of the coke optical texture. Int. J. Coal Geol. 2015, 139, 184–190. [Google Scholar] [CrossRef]
- Volk, W. Applied Statistic for Engineers, 2nd ed.; Krieger Pub Co: Huntington, NY, USA, 1980. [Google Scholar]
- Shi, F.; Su, X.; Qian, H.; Yang, N.; Han, W. Research on the Fusion of Dependent Evidence Based on Rank Correlation Coefficient. Sensors 2017, 17, 2362. [Google Scholar] [CrossRef] [PubMed]
- Kang, J.-S.; Shin, D.-H.; Baek, J.-W.; Chung, K. Activity Recommendation Model Using Rank Correlation for Chronic Stress Management. Appl. Sci. 2019, 9, 4284. [Google Scholar] [CrossRef]
- Thrower, P.A. Chemistry and Physics of Carbon, 1st ed.; Marcel Dekker, Inc.: New York, NY, USA, 1989. [Google Scholar]
- Koba, K.; Sakata, K.; Ida, S. Gasification studies of cokes from coals. The effects of carbonization pressure on optical texture and porosity. Fuel 1981, 60, 499. [Google Scholar] [CrossRef]
- Vogt, D.; Veber, J.V.; Rozaud, J.N.; Schneider, R. Coke properties and their microstructure: Part II: Coke carboxyreactivity—Relations to their texture. Fuel Process. Technol. 1988, 20, 155. [Google Scholar] [CrossRef]
- Pusz, S.; Gomez-Borrego, A.; Alvarez, D.; Camean, I.; du Cann, V.; Duber, S.; Kalkreuth, W.; Komorek, J.; Kus, J.; Kwiecińska, B.; et al. Application of Reflectance Parameters in the Estimation of the Structural Order of Coals and Carbonaceous Materials. Precision and bias of measurements derived from the ICCP Structural Working Group. Int. J. Coal Geol. 2014, 131, 147. [Google Scholar] [CrossRef][Green Version]
- Strójwąs, A. Comparative Analysis of the Course of Chemical and Structural Chemical Changes of Coal with Different Sinterity during Pyrolysis. Ph.D. Thesis, Jan Kochanowski University of Kielce, Kielce, Poland, 2012. (In Polish). [Google Scholar]
- Suarez-Ruiz, I.; Garcia, A.B. Optical parameters as a toll to study the microtextural evolution of carbonized anthracites during high temperature treatment. Energy Fuels 2007, 21, 2935. [Google Scholar] [CrossRef]
- Smędowski, Ł.; Krzesińska, M. Molecular oriented domains (MOD) and their effect on technological parameters within the structure of cokes produced from binary and ternary coal blends. Int. J. Coal Geol. 2013, 111, 90. [Google Scholar] [CrossRef]
- Radovic, L.R.; Walker, P.L., Jr.; Jenkins, R.G. Importance of carbon active sites in the gasification of coal chars. Fuel 1983, 62, 849. [Google Scholar] [CrossRef]
- Kim, B.C. High Temperature Properties and Reactivity of Coal and Coke for Ironmaking. Ph.D. Thesis, The University of New South Wales, Sydney, Australia, 2012. [Google Scholar]
- Tian, C.; Pang, H.; He, J.; Zhang, H.; Zhao, T. Effect of microwave irradiation on reactivity of metallurgical coke in CO2 atmosphere. Metalurgija 2018, 57, 19. [Google Scholar]
- Lee, W.J.; Lee, Y.K. Internal Gas Pressure Characteristics Generated during Coal Carbonization in a Coke Oven. Energy Fuels 2001, 15, 618. [Google Scholar] [CrossRef]
- Karcz, A.; Winnicka, G. Ciśnienie rozprężania, Cz. II. Wpływ czynników technologicznych na ciśnienie rozprężania. Karbo 2001, 6, 204. [Google Scholar]
- Bai, J.; Yang, C.; Zhao, Z.; Zhong, X.; Zhang, Y.; Xu, Y.; Xi, B.; Liu, H. Effect of bulk density of coking coal on swelling pressure. J. Environ. Sci. 2013, 25, 205. [Google Scholar] [CrossRef]
- Grigore, M.; Sakurows, R.; French, D.; Sahajwalla, S. Properties and CO2 reactivity of the inert and reactive maceral derived components in cokes. Int. J. Coal Geol. 2012, 98, 1. [Google Scholar] [CrossRef]
- Cui, P.; Qu, L.; Ling, Q.; Cheng, L.; Cao, Y. Effects of Coal Moisture Control and Coal Briquette Technology on Structure and Reactivity of Cokes. Coke Chem. 2015, 5, 162. [Google Scholar] [CrossRef]
- Blayden, W.E.; Gibbon, J.; Riley, H.L. An X-ray study of the structure of coals, cokes and chars. In Ultrafine Structure of Coals and Cokes; BCURA: London, UK, 1944; p. 176. [Google Scholar]
- Krzesińska, M.; Pusz, S.; Smędowski, Ł. Characterization of the porous structure of cokes produced from the blends of three Polish bituminous coking coals. Int. J. Coal Geol. 2009, 78, 169. [Google Scholar] [CrossRef]
- Diez, M.A.; Borrego, A.G. Evaluation of CO2-reactivity patterns in cokes from coal and woody biomass blends. Fuel 2013, 113, 59–68. [Google Scholar] [CrossRef]
- Zhang, S.; Peng, L.; Rui, G.; Pengfei, L.; Yinhua, L. Preparation of high strength and highly reactive coke by the addition of steel slag. Coke Chem. 2014, 57, 391. [Google Scholar] [CrossRef]
- Lozano-Castello, D.; Cazorla-Amor, D.; Linares-Solano, A. Usefulness of CO2 adsorption at 273 K for the characterization of porous carbons. Carbon 2004, 42, 1231–1236. [Google Scholar] [CrossRef]
- Strugała, A. The Role of Material and Technological Factors in the Formation Process of Coke Porous Structure; AGH University Press: Kraków, Poland, 2006. [Google Scholar]
- Marsh, H. Metallurgical coke: Formation, structure and properties. Ironmak. Conf. Proc. 1982, 4, 2. [Google Scholar]
- Menendez, J.A.; Álvarez, R.; Pis, J.J. Determination of metallurgical coke reactivity at INCAR: NSC and ECE-INCAR reactivity tests. Ironmak. Steelmak. 1999, 26, 117. [Google Scholar] [CrossRef]
- Żarczyński, P. Technological and Economic Evaluation of the Pre-Drying Operation of the Coal Charge in Zdzieszowice Coking Plant. Ph.D. Thesis, University of Science and Technology, AGH Kraków, Kraków, Poland, 2015. [Google Scholar]
Publisher’s Note: MDPI stays neutral with regard to jurisdictional claims in published maps and institutional affiliations. |
© 2021 by the authors. Licensee MDPI, Basel, Switzerland. This article is an open access article distributed under the terms and conditions of the Creative Commons Attribution (CC BY) license (https://creativecommons.org/licenses/by/4.0/).