Irradiation Flux Modelling for Thermal–Electrical Simulation of CubeSats: Orbit, Attitude and Radiation Integration
Abstract
1. Introduction
2. Background
3. Methodology
- an algorithm to estimate the orbit of a satellite and its position, valid for elliptical and circular orbits subject to perturbations caused by the atmospheric drag and the effect of the Earth oblateness, available at [40];
- a simplified algorithm developed by the authors herein to mimic the attitude of the satellite;
- a model to project the surfaces of a CubeSat towards the irradiance sources, namely solar, albedo, and infrared radiation of the Earth.
3.1. Orbit Model
- Earth’s gravitational parameter: km/s;
- Earth’s radius: km;
- Second zonal harmonics J2 [-].
- i: orbit inclination [];
- : right ascension of the ascending node [];
- e: eccentricity [-];
- : argument of perigee [];
- M: mean anomaly [];
- n: mean motion [rev/day];
3.1.1. Drag
3.1.2. Gravitational Perturbation
3.2. Gauss’s Variational Equations
Define the Position of the Sun
3.3. Attitude Model
3.3.1. Nadir
3.3.2. RAM
3.3.3. Sun-Fixed
- Sun1: , ;
- Sun2: , ;
- Sun3: , ;
3.4. Irradiance Source Model
- Orbit around the Earth;
- Non-circular and non-equatorial orbits;
- Orbits in LEO, below 600 km, since only the drag and gravitational perturbations are assumed;
- Constant ballistic coefficient;
- CubeSat geometry of any size, without deployable parts.
3.4.1. Temperature
3.4.2. Angle
4. Cases of Study
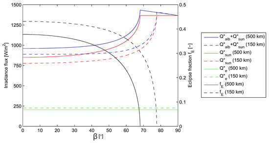
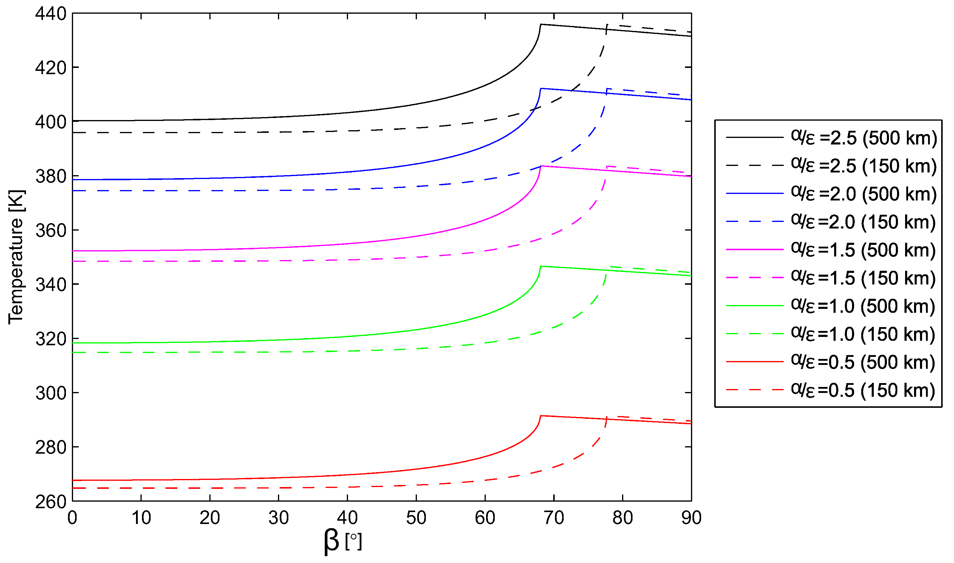
Results
5. Illustrative Application
Offline Task Scheduling
6. Conclusions
Author Contributions
Funding
Conflicts of Interest
Abbreviations
| AU | Astronomical Unit |
| BOL | Begin-of-Life |
| COE | Classical Orbital Element |
| EOL | End-of-Life |
| EPS | Electrical Power system |
| IP | Integer Programming |
| ISS | International Space Station |
| LEO | Low Earth Orbit |
| PV | Photovoltaic solar panel |
| TLE | Two Line Element |
References
- Dida, A.H.; Bekhti, M. Study, modeling and simulation of the electrical characteristic of space satellite solar cells. In Proceedings of the 2017 IEEE 6th International Conference on Renewable Energy Research and Applications (ICRERA), San Diego, CA, USA, 5–8 November 2017; pp. 983–987. [Google Scholar]
- Langer, M.; Bouwmeester, J. Reliability of CubeSats-Statistical Data, Developers’ Beliefs and the Way Forward. In Proceedings of the 2016 30th Annual AIAA/USU Conference on Small Satellites, SSC16-X-2, Logan, UT, USA, 6–11 August 2016; pp. 1–12. [Google Scholar]
- ESA/ESTEC. Product and Quality Assurance Requirements for In-Orbit Demonstration CubeSat Projects. Available online: http://emits.sso.esa.int/emits-doc/ESTEC/AO8352_AD2_IOD_CubeSat_PQA_Reqts_Iss1_Rev1.pdf (accessed on 3 December 2020).
- Rigo, C.A.; Seman, L.O.; Camponogara, E.; Morsch Filho, E.; Bezerra, E.A. Task scheduling for optimal power management and quality-of-service assurance in CubeSats. Acta Astronaut. 2021, 179, 550–560. [Google Scholar] [CrossRef]
- Cho, M.; Hirokazu, M.; Graziani, F. Introduction to lean satellite and ISO standard for lean satellite. In Proceedings of the 2015 7th International Conference on Recent Advances in Space Technologies (RAST), Istanbul, Turkey, 16–19 June 2015; pp. 789–792. [Google Scholar]
- Chin, A.; Coelho, R.; Nugent, R.; Munakata, R.; Puig-Suari, J. CubeSat: The pico-satellite standard for research and education. In Proceedings of the AIAA Space 2008 Conference & Exposition, San Diego, CA, USA, 9–11 September 2008. [Google Scholar] [CrossRef]
- Oh, H.; Park, T. Experimental feasibility study of concentrating photovoltaic power system for cubesat applications. IEEE Trans. Aerosp. Electron. Syst. 2015, 51, 1942–1949. [Google Scholar] [CrossRef]
- Dehbonei, H.; Lee, S.R.; Nehrir, H. Direct Energy Transfer for High Efficiency Photovoltaic Energy Systems Part I: Concepts and Hypothesis. IEEE Trans. Aerosp. Electron. Syst. 2009, 45, 31–45. [Google Scholar] [CrossRef]
- Chin, K.B.; Brandon, E.J.; Bugga, R.V.; Smart, M.C.; Jones, S.C.; Krause, F.C.; West, W.C.; Bolotin, G.G. Energy Storage Technologies for Small Satellite Applications. Proc. IEEE 2018, 106, 419–428. [Google Scholar] [CrossRef]
- Qiao, L.; Rizos, C.; Dempster, A.G. Analysis and comparison of CubeSat lifetime. In Proceedings of the 12th Australian Space Conference, Melbourne, Australia, 24–26 September 2012; pp. 249–260. [Google Scholar]
- Knap, V.; Vestergaard, L.K.; Stroe, D.I. A Review of Battery Technology in CubeSats and Small Satellite Solutions. Energies 2020, 13, 4097. [Google Scholar] [CrossRef]
- Aung, H.; Soon, J.J.; Goh, S.T.; Lew, J.M.; Low, K. Battery Management System With State-of-Charge and Opportunistic State-of-Health for a Miniaturized Satellite. IEEE Trans. Aerosp. Electron. Syst. 2020, 56, 2978–2989. [Google Scholar] [CrossRef]
- Filho, E.M.; de Paulo Nicolau, V.; de Paiva, K.V.; Possamai, T.S. A comprehensive attitude formulation with spin for numerical model of irradiance for CubeSats and Picosats. Appl. Therm. Eng. 2020, 168, 114859. [Google Scholar] [CrossRef]
- Corpino, S.; Caldera, M.; Nichele, F.; Masoero, M.; Viola, N. Thermal design and analysis of a nanosatellite in low earth orbit. Acta Astronaut. 2015, 115, 247–261. [Google Scholar] [CrossRef]
- Bonnici, M.; Mollicone, P.; Fenech, M.; Azzopardi, M.A. Analytical and numerical models for thermal related design of a new pico-satellite. Appl. Therm. Eng. 2019, 159, 113908. [Google Scholar] [CrossRef]
- Claricoats, J.; Dakka, S.M. Design of Power, Propulsion, and Thermal Sub-Systems for a 3U CubeSat Measuring Earth’s Radiation Imbalance. Aerospace 2018, 5, 63. [Google Scholar] [CrossRef]
- Kovács, R.; Józsa, V. Thermal analysis of the SMOG-1 PocketQube satellite. Appl. Therm. Eng. 2018, 139, 506–513. [Google Scholar] [CrossRef]
- Hawkins, E.M.; Kanapskyte, A.; Maria, S.R.S. Developing Technologies for Biological Experiments in Deep Space. Proceedings 2020, 60, 28. [Google Scholar] [CrossRef]
- Diaz-Aguado, M.F.; Ghassemieh, S.; Van Outryve, C.; Beasley, C.; Schooley, A. Small Class-D spacecraft thermal design, test and analysis—PharmaSat biological experiment. In Proceedings of the 2009 IEEE Aerospace Conference, Big Sky, MT, USA, 7–14 March 2009; pp. 1–9. [Google Scholar] [CrossRef]
- Ibrahim, S.A.; Yamaguchi, E. Comparison of Solar Radiation Torque and Power Generation of Deployable Solar Panel Configurations on Nanosatellites. Aerospace 2019, 6, 50. [Google Scholar] [CrossRef]
- Piedra, S.; Torres, M.; Ledesma, S. Thermal Numerical Analysis of the Primary Composite Structure of a CubeSat. Aerospace 2019, 6, 97. [Google Scholar] [CrossRef]
- Scheeres, D.J. Satellite dynamics about small bodies: Averaged solar radiation pressure effects. J. Astronaut. Sci. 1999, 47, 25–46. [Google Scholar] [CrossRef]
- Marcelino, G.M.; Vega-Martinez, S.; Seman, L.O.; Kessler Slongo, L.; Bezerra, E.A. A Critical Embedded System Challenge: The FloripaSat-1 Mission. IEEE Lat. Am. Trans. 2020, 18, 249–256. [Google Scholar] [CrossRef]
- Slongo, L.K.; Martínez, S.V.; Eiterer, B.V.; Pereira, T.G.; Bezerra, E.A.; Paiva, K.V. Energy-driven scheduling algorithm for nanosatellite energy harvesting maximization. Acta Astronaut. 2018, 147, 141–151. [Google Scholar] [CrossRef]
- Corpino, S.; Stesina, F. Verification of a CubeSat via hardware-in-the-loop simulation. IEEE Trans. Aerosp. Electron. Syst. 2014, 50, 2807–2818. [Google Scholar] [CrossRef]
- Kiesbye, J.; Messmann, D.; Preisinger, M.; Reina, G.; Nagy, D.; Schummer, F.; Mostad, M.; Kale, T.; Langer, M. Hardware-In-The-Loop and Software-In-The-Loop Testing of the MOVE-II CubeSat. Aerospace 2019, 6, 130. [Google Scholar] [CrossRef]
- Raif, M.; Walter, U.; Bouwmeester, J. Dynamic system simulation of small satellite projects. Acta Astronaut. 2010, 67, 1138–1156. [Google Scholar] [CrossRef]
- Gilmore, D.; Donabedian, M. Spacecraft Thermal Control Handbook: Fundamental Technologies; Spacecraft Thermal Control Handbook; Aerospace Press: El Segundo, CA, USA, 2002. [Google Scholar]
- Berg, L.K.; Long, C.N.; Kassianov, E.I.; Chand, D.; Tai, S.L.; Yang, Z.; Riihimaki, L.D.; Biraud, S.C.; Tagestad, J.; Matthews, A.; et al. Fine-Scale Variability of Observed and Simulated Surface Albedo Over the Southern Great Plains. J. Geophys. Res. Atmos. 2020, 125, e2019JD030559. [Google Scholar] [CrossRef]
- Cui, Y.; Mitomi, Y.; Takamura, T. An empirical anisotropy correction model for estimating land surface albedo for radiation budget studies. Remote Sens. Environ. 2009, 113, 24–39. [Google Scholar] [CrossRef]
- NASA. Earth Albedo and Emitted Radiation; NASA SP-8067; NASA: Washington, DC, USA, 1971.
- Rodriguez-Solano, C.J.; Hugentobler, U.; Steigenberger, P. Impact of Albedo Radiation on GPS Satellites. In Geodesy for Planet Earth; Kenyon, S., Pacino, M.C., Marti, U., Eds.; Springer: Berlin/Heidelberg, Germany, 2012; pp. 113–119. [Google Scholar]
- Román, M.O.; Schaaf, C.B.; Lewis, P.; Gao, F.; Anderson, G.P.; Privette, J.L.; Strahler, A.H.; Woodcock, C.E.; Barnsley, M. Assessing the coupling between surface albedo derived from MODIS and the fraction of diffuse skylight over spatially-characterized landscapes. Remote Sens. Environ. 2010, 114, 738–760. [Google Scholar] [CrossRef]
- Goode, P.R.; Qiu, J.; Yurchyshyn, V.; Hickey, J.; Chu, M.C.; Kolbe, E.; Brown, C.T.; Koonin, S.E. Earthshine observations of the Earth’s reflectance. Geophys. Res. Lett. 2001, 28, 1671–1674. [Google Scholar] [CrossRef]
- Brennan, M.; Abramase, A.; Andrews, R.; Pearce, J. Effects of spectral albedo on solar photovoltaic devices. Sol. Energy Mater. Sol. Cells 2014, 124, 111–116. [Google Scholar] [CrossRef]
- Li, S.; Wang, Y.; Zhang, H.E.A. Thermal Analysis and Validation of GF-4 Remote Sensing Camera. J. Therm. Sci. 2020, 29, 992–1000. [Google Scholar] [CrossRef]
- Zheng, C.; Qi, J.; Song, J.; Cheng, L. Numerical investigation on the thermal performance of Alpha Magnetic Spectrometer main radiators under the operation of International Space Station. Numer. Heat Transf. Part A Appl. 2020, 77, 538–558. [Google Scholar] [CrossRef]
- Reyes, L.A.; Cabriales-Gómez, R.; Chávez, C.E.; Bermúdez-Reyes, B.; López-Botello, O.; Zambrano-Robledo, P. Thermal modeling of CIIIASat nanosatellite: A tool for thermal barrier coating selection. Appl. Therm. Eng. 2020, 166, 114651. [Google Scholar] [CrossRef]
- Haneveer, M.R. Orbital Lifetime Predictions: An assessment of Model-Based Ballistic Coefficient Estimations and Adjustment for Temporal Drag Coefficient Variations. Master’s Thesis, Delft University of Technology, Delft, The Netherlands, 2017. [Google Scholar]
- Curtis, H.D. Orbital Mechanics for Engineering Students, 3rd ed.; Butterworth-Heinemann: Boston, MA, USA, 2014; p. 751. [Google Scholar] [CrossRef]
- Capderou, M. Handbook of Satellite Orbits: From Kepler to GPS; Springer International Publishing: Cham, Switzerland, 2014. [Google Scholar]
- McClain, W.; Vallado, D. Fundamentals of Astrodynamics and Applications; Space Technology Library; Springer: Dordrecht, The Netherlands, 2001. [Google Scholar]
- Atallah, A.M.I. A Implementation and Verification of a High-Precision Orbit Propagator. Master’s Thesis, Cairo University, Cairo, Egypt, 2018. [Google Scholar]
- Vallado, D.; Finkleman, D. A Critical Assessment of Satellite Drag and Atmospheric Density Modeling. Acta Astronaut. 2014, 95, 141–165. [Google Scholar] [CrossRef]
- Picone, J.M.; Hedin, A.E.; Drob, D.P.; Aikin, A.C. NRLMSISE-00 empirical model of the atmosphere: Statistical comparisons and scientific issues. J. Geophys. Res. Space Phys. 2002, 107, 15–16. [Google Scholar] [CrossRef]
- Park, D.; Miyata, K.; Nagano, H. Thermal design and validation of radiation detector for the ChubuSat-2 micro-satellite with high-thermal-conductive graphite sheets. Acta Astronaut. 2017, 136, 387–394. [Google Scholar] [CrossRef]
- Mason, J.P.; Lamprecht, B.; Woods, T.N.; Downs, C. CubeSat On-Orbit Temperature Comparison to Thermal-Balance-Tuned-Model Predictions. J. Thermophys. Heat Transf. 2018, 32, 237–255. [Google Scholar] [CrossRef]
- Lee, S.; Hong, Z.; Peng, K.; Leu, L. Analysis the Unsteady-State Temperature Distribution of Micro-Satellite Under Stabilization Effects. In Microsatellites as Research Tools; COSPAR Colloquia Series; Hsiao, F.B., Ed.; Pergamon: Kaohsiung, Taiwan, 1999; Volume 10, pp. 324–332. [Google Scholar] [CrossRef]
- Farhani, F.; Anvari, A. Effects of Some Parameters on Thermal Control of a LEO Satellite. J. Space Sci. Technol. 2014, 7, 13–24. [Google Scholar]
- Roldugin, D.; Testani, P. Spin-stabilized satellite magnetic attitude control scheme without initial detumbling. Acta Astronaut. 2014, 94, 446–454. [Google Scholar] [CrossRef]
- Xing, Y.; Cao, X.; Zhang, S.; Guo, H.; Wang, F. Relative position and attitude estimation for satellite formation with coupled translational and rotational dynamics. Acta Astronaut. 2010, 67, 455–467. [Google Scholar] [CrossRef]
- Auret, J.; Steyn, W. Design of an aerodynamic attitude control system for a CubeSat. In Proceedings of the 62nd International Astronautical Congress 2011 (IAC 2011) Cape Town, South Africa, 3–7 October 2011; Volume 11, pp. 9009–9017. [Google Scholar]
- Bate, R.; Mueller, D.; White, J. Fundamentals of Astrodynamics; Dover Books on Aeronautical Engineering Series; Dover Publications: New Yourk, USA, 1971. [Google Scholar]
- Schaub, H.; Junkins, J. Analytical Mechanics of Space Systems; AIAA Education Series; American Institute of Aeronautics and Astronautics, Incorporated: Reston, VA, USA, 2014. [Google Scholar]
- Xiao, B.; Huo, M.; Yang, X.; Zhang, Y. Fault-Tolerant Attitude Stabilization for Satellites Without Rate Sensor. IEEE Trans. Ind. Electron. 2015, 62, 7191–7202. [Google Scholar] [CrossRef]
- Pham, M.D.; Low, K.S.; Goh, S.T.; Chen, S. Gain-scheduled extended kalman filter for nanosatellite attitude determination system. IEEE Trans. Aerosp. Electron. Syst. 2015, 51, 1017–1028. [Google Scholar] [CrossRef]
- Richmond, J. Adaptive Thermal Modeling Architecture For Small Satellite Applications. Ph.D. Thesis, Massachusetts Institute of Technology, Department of Aeronautics and Astronautics, Cambridge, MA, USA, 2010. [Google Scholar]
- Mahooti, M. NRLMSISE00 Atmospheric Density Model. MATLAB Central File Exchange. Available online: https://www.mathworks.com/matlabcentral/fileexchange/54673-nrlmsise00-atmospheric-density-model (accessed on 10 October 2020).
- Yamagiwa, Y.; Fujii, T.; Nakashima, K.; Oshimori, H.; Okino, T.; Komua, S.; Arita, S.; Nohmi, M.; Ishikawa, Y. Space experimental results of STARS-C CubeSat to verify tether deployment in orbit. Acta Astronaut. 2020, 177, 759–770. [Google Scholar] [CrossRef]
- Kim, O.J.; Shim, H.; Yu, S.; Bae, Y.; Kee, C.; Kim, H.; Lee, J.; Han, J.; Han, S.; Choi, Y. In-Orbit Results and Attitude Analysis of the SNUGLITE Cube-Satellite. Appl. Sci. 2020, 10, 1507. [Google Scholar] [CrossRef]
- Nies, G.; Stenger, M.; Krčál, J.; Hermanns, H.; Bisgaard, M.; Gerhardt, D.; Haverkort, B.; Jongerden, M.; Larsen, K.G.; Wognsen, E.R. Mastering operational limitations of LEO satellites—The GomX-3 approach. Acta Astronaut. 2018, 151, 726–735. [Google Scholar] [CrossRef]
- Tejumola, T.R.; Zarate Segura, G.W.; Kim, S.; Khan, A.; Cho, M. Validation of double Langmuir probe in-orbit performance onboard a nano-satellite. Acta Astronaut. 2018, 144, 388–396. [Google Scholar] [CrossRef]
- Ostrufka, A.; Filho, E.; Borba, A.; Spengler, A.; Possamai, T.; Paiva, K. Experimental evaluation of thermoelectric generators for nanosatellites application. Acta Astronaut. 2019, 162, 32–40. [Google Scholar] [CrossRef]
- Kessler Slongo, L.; Vega Martínez, S.; Vale Barbosa Eiterer, B.; Augusto Bezerra, E. Nanosatellite electrical power system architectures: Models, simulations, and tests. Int. J. Circuit Theory Appl. 2020, 48, 2153–2189. [Google Scholar] [CrossRef]
- Wertz, J.; Larson, W. Space Mission Analysis and Design; Space Technology Library; Springer: Dordrecht, The Netherlands, 1999. [Google Scholar]
- Rigo, C.A.; Seman, L.O.; Camponogara, E.; Morsch Filho, E.; Slongo, L.K.; Bezerra, E.A. Mission plan optimization strategy to improve nanosatellite energy utilization and tasks QoS capabilities. In Proceedings of the IV IAA Latin American Cubesat Workshop (IAA-LACW’2020), Rome, Italy, 28–31 January 2020. [Google Scholar]
- Gurobi Optimization, LCC. Gurobi Optimizer Reference Manual. Available online: https://www.gurobi.com/wp-content/plugins/hd_documentations/documentation/9.1/refman.pdf (accessed on 10 September 2020).

















| Case | i | e | M | n | ||
|---|---|---|---|---|---|---|
| TLE1 | 51.63 | 142.83 | 0.00026 | 168.63 | 191.47 | 15.451 |
| [] | Nadir [K] | RAM [K] | Sun1 [K] | Sun2 [K] | Sun3 [K] |
|---|---|---|---|---|---|
| 0 | 256 | 258 | 248 | 259 | 265 |
| 72 | 289 | 293 | 274 | 292 | 304 |
| Notation | Definition |
|---|---|
| Sets | |
| set of tasks to be scheduled. | |
| set of available power. | |
| set of units of time. | |
| Variables | |
| a decision variable that takes the value of 1 for each unit of time that job is executing, otherwise it assumes value 0. | |
| an auxiliary decision variable that takes the value of 1 at each time that a job was initiated, otherwise it assumes value 0. | |
| Constants | |
| amount of power input at time t. | |
| power consumed by executing a job j. | |
| priority of job j. | |
| / | minimum/maximum CPU time of job j. |
| / | minimum/maximum number of startups of job j. |
| / | minimum/maximum period of job j. |
| Name | Attitude | Condition |
|---|---|---|
| Nadir | Circular orbit, altitude of 430 km and inclination of 51.6 | |
| Nadir | Circular orbit, altitude of 150 km, and inclination of 51.6 | |
| Nadir | Circular orbit, altitude of 150 km, inclination of 51.6 and solar degradation in the PV | |
| RAM | TLE1 | |
| RAM | Orbital conditions of TLE1, 30 days before the reentry | |
| RAM | Orbital conditions of TLE1, 30 days before the reentry, and degradation in the PV |
| Payload | j | [W] | [min] | [min] | [min] | [min] | |||
|---|---|---|---|---|---|---|---|---|---|
| A | 1 | 5 | 1 | 1 | 100 | 3 | 100 | 2 | 100 |
| B | 2 | 2 | 0.23 | 1 | 100 | 2 | 100 | 2 | 100 |
| C | 3 | 1 | 0.8 | 1 | 100 | 3 | 100 | 2 | 100 |
| D | 4 | 4 | 1.3 | 1 | 100 | 6 | 100 | 2 | 100 |
| E | 5 | 1 | 0.5 | 1 | 100 | 1 | 100 | 2 | 100 |
| F | 6 | 3 | 0.1 | 1 | 100 | 2 | 100 | 2 | 100 |
| G | 7 | 1 | 1.1 | 1 | 100 | 4 | 100 | 2 | 100 |
| H | 8 | 1 | 0.9 | 1 | 100 | 3 | 100 | 2 | 100 |
Publisher’s Note: MDPI stays neutral with regard to jurisdictional claims in published maps and institutional affiliations. |
© 2020 by the authors. Licensee MDPI, Basel, Switzerland. This article is an open access article distributed under the terms and conditions of the Creative Commons Attribution (CC BY) license (http://creativecommons.org/licenses/by/4.0/).
Share and Cite
Filho, E.M.; Seman, L.O.; Rigo, C.A.; Nicolau, V.d.P.; Ovejero, R.G.; Leithardt, V.R.Q. Irradiation Flux Modelling for Thermal–Electrical Simulation of CubeSats: Orbit, Attitude and Radiation Integration. Energies 2020, 13, 6691. https://doi.org/10.3390/en13246691
Filho EM, Seman LO, Rigo CA, Nicolau VdP, Ovejero RG, Leithardt VRQ. Irradiation Flux Modelling for Thermal–Electrical Simulation of CubeSats: Orbit, Attitude and Radiation Integration. Energies. 2020; 13(24):6691. https://doi.org/10.3390/en13246691
Chicago/Turabian StyleFilho, Edemar Morsch, Laio Oriel Seman, Cezar Antônio Rigo, Vicente de Paulo Nicolau, Raúl García Ovejero, and Valderi Reis Quietinho Leithardt. 2020. "Irradiation Flux Modelling for Thermal–Electrical Simulation of CubeSats: Orbit, Attitude and Radiation Integration" Energies 13, no. 24: 6691. https://doi.org/10.3390/en13246691
APA StyleFilho, E. M., Seman, L. O., Rigo, C. A., Nicolau, V. d. P., Ovejero, R. G., & Leithardt, V. R. Q. (2020). Irradiation Flux Modelling for Thermal–Electrical Simulation of CubeSats: Orbit, Attitude and Radiation Integration. Energies, 13(24), 6691. https://doi.org/10.3390/en13246691

