Investigation of Non-Isothermal Kinetics and Thermodynamic Parameters for the Pyrolysis of Different Date Palm Parts
Abstract
1. Introduction
2. Materials and Methods
2.1. Sample Preparation and Determination of Physicochemical Properties
2.2. Lignin and Carbohydrate Analysis
2.3. Thermogravimetric Analysis (TGA)
2.4. Scanning Electron Microscopy (SEM)
2.5. Fourier-Transform Infrared (FTIR) Spectroscopy
2.6. Non-Isothermal Kinetics and Thermodynamic Parameter Mathematical Modeling
3. Results and Discussion
3.1. Date Palm Waste Parts (DPWP) Characteristics
3.2. Thermogravimetric Analysis (TGA)
3.3. Micrographic Image Properties
3.4. FTIR Analysis of DPWP
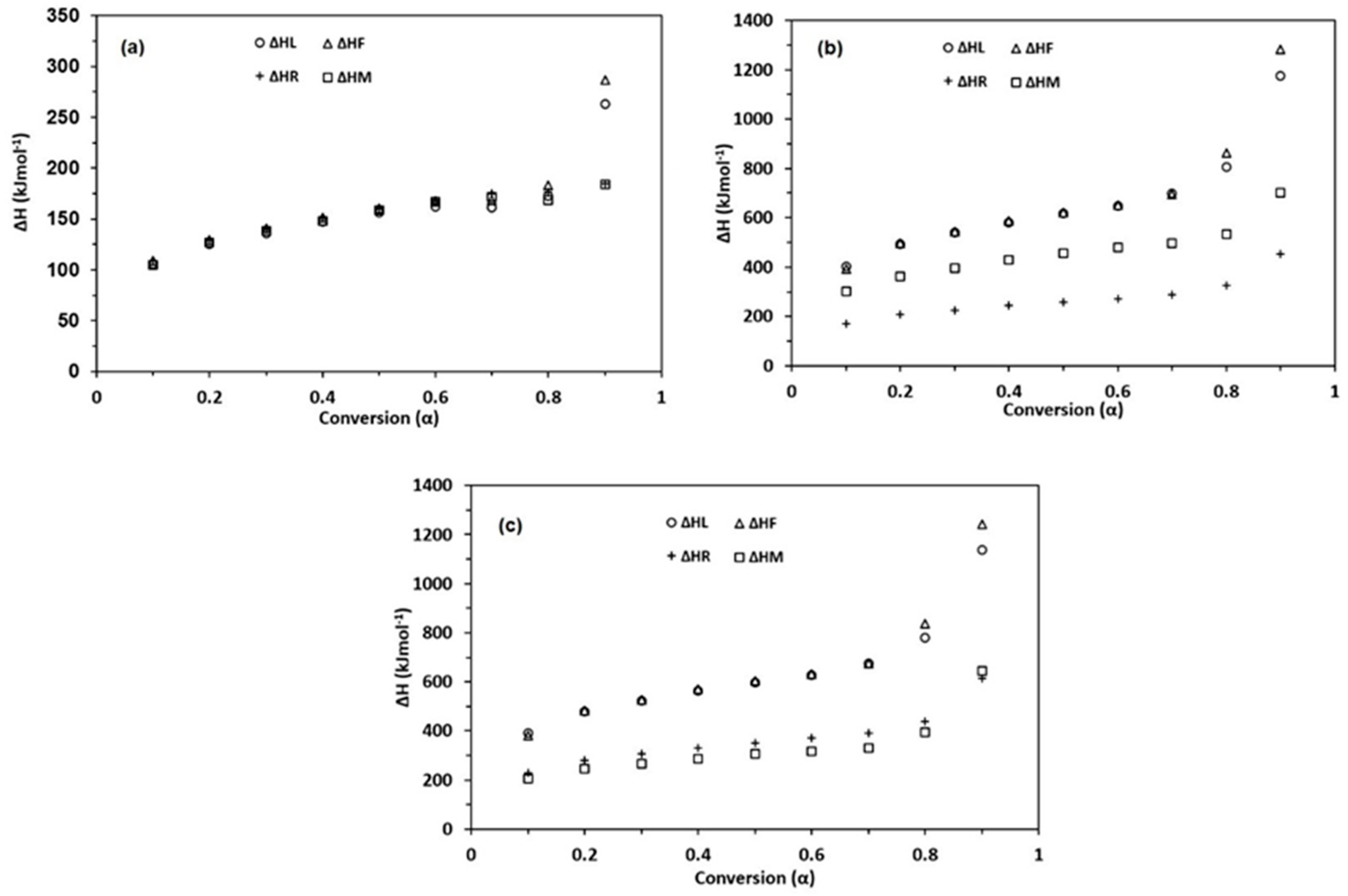
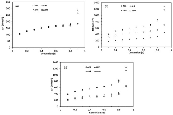
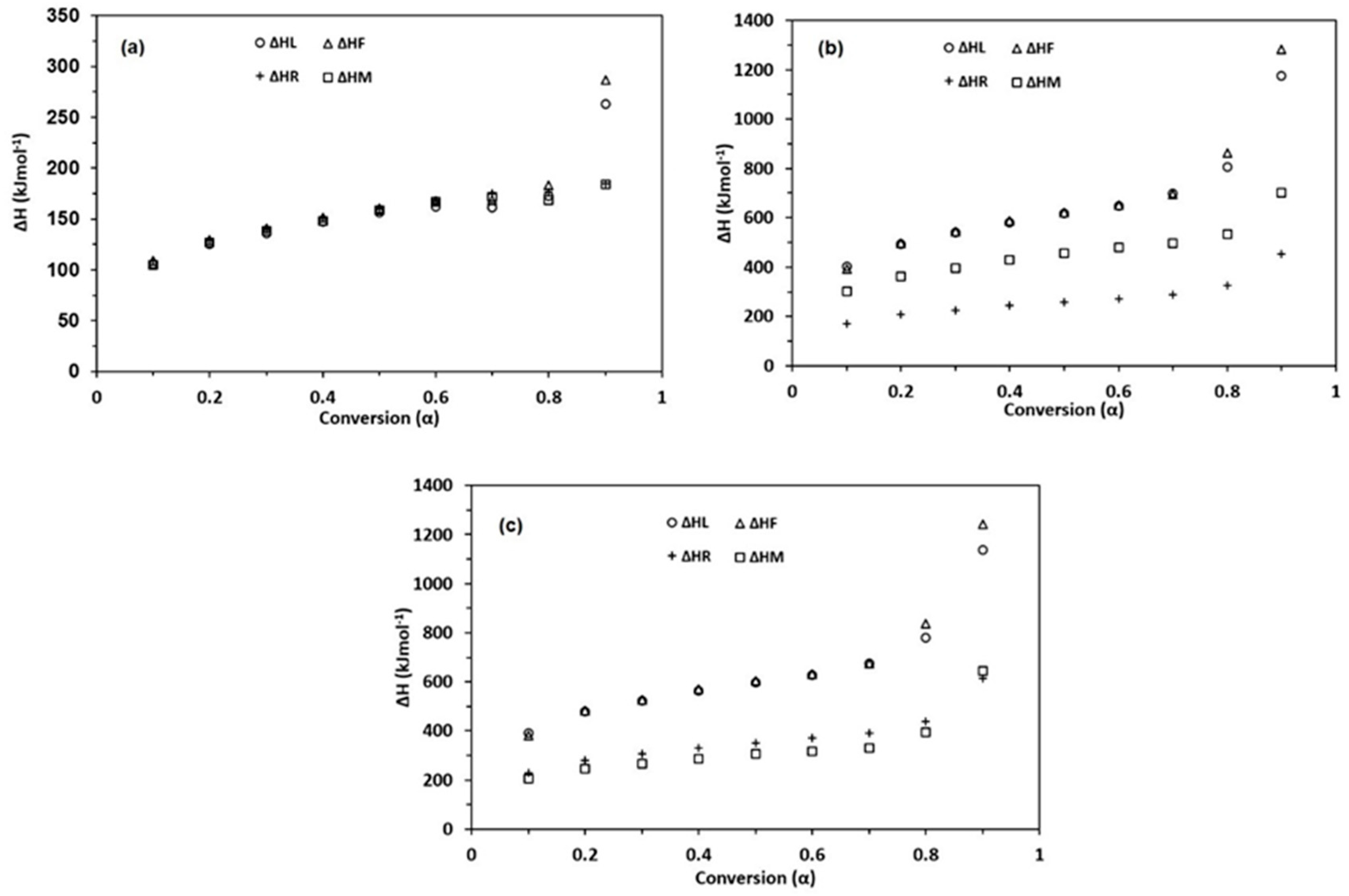
3.5. Analyses of Kinetic and Thermodynamic Parameters
3.6. Reaction Model Determination
3.6.1. Malek Method
3.6.2. Popescu Method
3.6.3. Evaluation of the Reaction Model g(α)
4. Conclusions
Supplementary Materials
Author Contributions
Funding
Acknowledgments
Conflicts of Interest
References
- Lewis, N.S.; Crabtree, G.; Nozik, A.J.; Wasielewski, M.R.; Alivisatos, P.; Kung, H.; Tsao, J.; Chandler, E.; Walukiewicz, W.; Spitler, M. Basic Research Needs for Solar Energy Utilization. Report of the Basic Energy Sciences Workshop on Solar Energy Utilization, April 18–21, 2005; DOESC (USDOE Office of Science (SC)), USA: Washington, DC, USA, 2005.
- Energy, G. CO2 Status Report—The Latest Trends in Energy and Emissions in 2018; International Energy Agency: Paris, France, 2019. [Google Scholar]
- Razzaq, L.; Farooq, M.; Mujtaba, M.A.; Sher, F.; Farhan, M.; Hassan, M.T.; Soudagar, M.E.M.; Atabani, A.E.; Kalam, M.A.; Imran, M. Modeling viscosity and density of ethanol-diesel-biodiesel ternary blends for sustainable environment. Sustainability 2020, 12, 5186. [Google Scholar] [CrossRef]
- Al-Juboori, O.; Sher, F.; Khalid, U.; Niazi, M.B.K.; Chen, G.Z. Electrochemical production of sustainable hydrocarbon fuels from CO2 co-electrolysis in eutectic molten melts. ACS Sustain. Chem. Eng. 2020, 8, 12877–12890. [Google Scholar] [CrossRef]
- Zhang, Y.; Fang, Y.; Jin, B.; Zhang, Y.; Zhou, C.; Sher, F. Effect of slot wall jet on combustion process in a 660 MW opposed wall fired pulverized coal boiler. Int. J. Chem. React. Eng. 2019, 17, 1–13. [Google Scholar] [CrossRef]
- Agency, E.P. Emission Control Technologies. Available online: https://www.epa.gov/sites/production/files/2015-07/documents/chapter_5_emission_control_technologies.pdf (accessed on 18 November 2020).
- Cheremisinoff, N.P.; Rosenfeld, P. Handbook of Pollution Prevention and Cleaner Production Volume 3: Best Practices in the Agrochemical Industry; William Andrew: Norwich, NY, USA, 2010; Volume 3. [Google Scholar]
- Zhang, T.; Yang, Y.; Ni, J.; Xie, D. Adoption behavior of cleaner production techniques to control agricultural non-point source pollution: A case study in the Three Gorges Reservoir Area. J. Clean. Prod. 2019, 223, 897–906. [Google Scholar] [CrossRef]
- Tillman, D.A. Fuels and Energy from Renewable Resources; Elsevier: Amsterdam, The Netherlands, 2012. [Google Scholar]
- Hassan, M.H.A.; Sher, F.; Zarren, G.; Suleiman, N.; Tahir, A.A.; Snape, C.E. Kinetic and thermodynamic evaluation of effective combined promoters for CO2 hydrate formation. J. Nat. Gas Sci. Eng. 2020, 78, 103313. [Google Scholar] [CrossRef]
- Duncan, M. Biomass Energy—Optimising Its Contribution to Poverty Reduction and Ecosystem Services; International Institute for Environment and Development: London, UK, 2011; pp. 1–93. [Google Scholar]
- Sher, F.; Yaqoob, A.; Saeed, F.; Zhang, S.; Jahan, Z.; Klemeš, J.J. Torrefied biomass fuels as a renewable alternative to coal in co-firing for power generation. Energy 2020, 209, 118444. [Google Scholar] [CrossRef]
- Cheali, P.; Posada, J.A.; Gernaey, K.V.; Sin, G. Economic risk analysis and critical comparison of optimal biorefinery concepts. BiofuelsBioprod. Biorefin. 2016, 10, 435–445. [Google Scholar] [CrossRef]
- Rødsrud, G.; Lersch, M.; Sjöde, A. History and future of world’s most advanced biorefinery in operation. Biomass Bioenergy 2012, 46, 46–59. [Google Scholar] [CrossRef]
- Cheali, P.; Quaglia, A.; Gernaey, K.V.; Sin, G.r. Effect of Market Price Uncertainties on the Design of Optimal Biorefinery Systems A Systematic Approach. Ind. Eng. Chem. Res. 2014, 53, 6021–6032. [Google Scholar] [CrossRef]
- Bozell, J.J. An evolution from pretreatment to fractionation will enable successful development of the integrated biorefinery. BioResources 2010, 5, 1326–1327. [Google Scholar]
- Beer, C.; Reichstein, M.; Tomelleri, E.; Ciais, P.; Jung, M.; Carvalhais, N.; Rödenbeck, C.; Arain, M.A.; Baldocchi, D.; Bonan, G.B. Terrestrial gross carbon dioxide uptake: Global distribution and covariation with climate. Science 2010, 329, 834–838. [Google Scholar] [CrossRef] [PubMed]
- Liao, J.C.; Mi, L.; Pontrelli, S.; Luo, S. Fuelling the future: Microbial engineering for the production of sustainable biofuels. Nat. Rev. Microbiol. 2016, 14, 288. [Google Scholar] [CrossRef] [PubMed]
- Vakkilainen, E.; Kuparinen, K.; Heinimö, J. Large Industrial Users of Energy Biomass; IEA: Paris, France, 2013; p. 2013. [Google Scholar]
- Taheripour, F.; Tyner, W.E. Welfare assessment of the renewable fuel standard: Economic efficiency, rebound effect, and policy interactions in a general equilibrium framework. In Modeling, Dynamics, Optimization and Bioeconomics I; Springer: New York, NY, USA, 2014; pp. 613–632. [Google Scholar]
- Rahdar, M.; Wang, L.; Hu, G. Potential competition for biomass between biopower and biofuel under RPS and RFS2. Appl. Energy 2014, 119, 10–20. [Google Scholar] [CrossRef][Green Version]
- Berndes, G.; Hoogwijk, M.; Van den Broek, R. The contribution of biomass in the future global energy supply: A review of 17 studies. Biomass Bioenergy 2003, 25, 1–28. [Google Scholar] [CrossRef]
- Müller-Hagedorn, M.; Bockhorn, H.; Krebs, L.; Müller, U. A comparative kinetic study on the pyrolysis of three different wood species. J. Anal. Appl. Pyrolysis 2003, 68, 231–249. [Google Scholar] [CrossRef]
- Winchester, N.; Reilly, J.M. The feasibility, costs, and environmental implications of large-scale biomass energy. Energy Econ. 2015, 51, 188–203. [Google Scholar] [CrossRef]
- Bridgwater, A.V. Review of fast pyrolysis of biomass and product upgrading. Biomass Bioenergy 2012, 38, 68–94. [Google Scholar] [CrossRef]
- Mohan, D.; Pittman, C.U., Jr.; Steele, P.H. Pyrolysis of wood/biomass for bio-oil: A critical review. Energy Fuels 2006, 20, 848–889. [Google Scholar] [CrossRef]
- Shang, G.; Li, Q.; Liu, L.; Chen, P.; Huang, X. Adsorption of hydrogen sulfide by biochars derived from pyrolysis of different agricultural/forestry wastes. J. Air Waste Manag. Assoc. 2016, 66, 8–16. [Google Scholar] [CrossRef]
- Papurello, D.; Boschetti, A.; Silvestri, S.; Khomenko, I.; Biasioli, F. Real-time monitoring of removal of trace compounds with PTR-MS: Biochar experimental investigation. Renew. Energy 2018, 125, 344–355. [Google Scholar] [CrossRef]
- Zhu, H.L.; Papurello, D.; Gandiglio, M.; Lanzini, A.; Akpinar, I.; Shearing, P.R.; Manos, G.; Brett, D.J.L.; Zhang, Y.S. Study of H2S removal capability from simulated biogas by using waste-derived adsorbent materials. Processes 2020, 8, 1030. [Google Scholar] [CrossRef]
- Ibbett, R.; Gaddipati, S.; Davies, S.; Hill, S.; Tucker, G. The mechanisms of hydrothermal deconstruction of lignocellulose: New insights from thermal–analytical and complementary studies. Bioresour. Technol. 2011, 102, 9272–9278. [Google Scholar] [CrossRef] [PubMed]
- Mabuda, A.I.; Mamphweli, N.S.; Meyer, E.L. Model free kinetic analysis of biomass/sorbent blends for gasification purposes. Renew. Sustain. Energy Rev. 2016, 53, 1656–1664. [Google Scholar] [CrossRef]
- Graham, R.G.; Bergougnou, M.A.; Overend, R.P. Fast pyrolysis of biomass. J. Anal. Appl. Pyrolysis 1984, 6, 95–135. [Google Scholar] [CrossRef]
- Slopiecka, K.; Bartocci, P.; Fantozzi, F. Thermogravimetric analysis and kinetic study of poplar wood pyrolysis. Appl. Energy 2012, 97, 491–497. [Google Scholar] [CrossRef]
- White, J.E.; Catallo, W.J.; Legendre, B.L. Biomass pyrolysis kinetics: A comparative critical review with relevant agricultural residue case studies. J. Anal. Appl. Pyrolysis 2011, 91, 1–33. [Google Scholar] [CrossRef]
- Wu, W.; Cai, J.; Liu, R. Isoconversional kinetic analysis of distributed activation energy model processes for pyrolysis of solid fuels. Ind. Eng. Chem. Res. 2013, 52, 14376–14383. [Google Scholar] [CrossRef]
- Huang, L.; Ding, T.; Liu, R.; Cai, J. Prediction of concentration profiles and theoretical yields in lignocellulosic biomass pyrolysis. J. Therm. Anal. Calorim. 2015, 120, 1473–1482. [Google Scholar] [CrossRef]
- Kim, Y.S.; Kim, Y.S.; Kim, S.H. Investigation of thermodynamic parameters in the thermal decomposition of plastic waste− waste lube oil compounds. Environ. Sci. Technol. 2010, 44, 5313–5317. [Google Scholar] [CrossRef]
- Mukherjee, A.; Das, P.; Minu, K. Thermogravimetric analysis and kinetic modelling studies of selected agro-residues and biodiesel industry wastes for pyrolytic conversion to bio-oil. Biomass Convers. Biorefinery 2014, 4, 259–268. [Google Scholar] [CrossRef]
- Cai, J.; Xu, D.; Dong, Z.; Yu, X.; Yang, Y.; Banks, S.W.; Bridgwater, A.V. Processing thermogravimetric analysis data for isoconversional kinetic analysis of lignocellulosic biomass pyrolysis: Case study of corn stalk. Renew. Sustain. Energy Rev. 2018, 82, 2705–2715. [Google Scholar] [CrossRef]
- Jiang, G.; Wei, L. Analysis of Pyrolysis Kinetic Model for Processing of Thermogravimetric Analysis Data. Phase Chang. Mater. Appl. 2018, 143. [Google Scholar] [CrossRef]
- Dong, Z.; Yang, Y.; Cai, W.; He, Y.; Chai, M.; Liu, B.; Yu, X.; Banks, S.W.; Zhang, X.; Bridgwater, A.V. Theoretical analysis of double Logistic distributed activation energy model for thermal decomposition kinetics of solid fuels. Ind. Eng. Chem. Res. 2018, 57, 7817–7825. [Google Scholar] [CrossRef]
- Khawam, A. Application of Solid-State Kinetics to Desolvation Reactions. Ph.D. Thesis, University of Iowa, Iowa, IA, USA, 2007. [Google Scholar]
- Heydari, M.; Rahman, M.; Gupta, R. Kinetic study and thermal decomposition behavior of lignite coal. Int. J. Chem. Eng. 2015, 2015, 9–10. [Google Scholar] [CrossRef]
- Sait, H.H.; Hussain, A.; Salema, A.A.; Ani, F.N. Pyrolysis and combustion kinetics of date palm biomass using thermogravimetric analysis. Bioresour. Technol. 2012, 118, 382–389. [Google Scholar] [CrossRef]
- Makkawi, Y.; El Sayed, Y.; Salih, M.; Nancarrow, P.; Banks, S.; Bridgwater, T. Fast pyrolysis of date palm (Phoenix dactylifera) waste in a bubbling fluidized bed reactor. Renew. Energy 2019, 143, 719–730. [Google Scholar] [CrossRef]
- Bensidhom, G.; Hassen-Trabelsi, A.B.; Alper, K.; Sghairoun, M.; Zaafouri, K.; Trabelsi, I. Pyrolysis of date palm waste in a fixed-bed reactor: Characterization of pyrolytic products. Bioresour. Technol. 2018, 247, 363–369. [Google Scholar] [CrossRef]
- Galiwango, E.; Rahman, N.S.A.; Al-Marzouqi, A.H.; Abu-Omar, M.M.; Khaleel, A.A. Isolation and characterization of cellulose and α-cellulose from date palm biomass waste. Heliyon 2019, 5, e02937. [Google Scholar] [CrossRef]
- Yokoyama, S.; Matsumura, Y. The Asian biomass handbook: A guide for biomass production and utilization. Jpn. Inst. Energy 2008, 61–62. [Google Scholar]
- Obernberger, I.; Biedermann, F.; Widmann, W.; Riedl, R. Concentrations of inorganic elements in biomass fuels and recovery in the different ash fractions. Biomass Bioenergy 1997, 12, 211–224. [Google Scholar] [CrossRef]
- Sluiter, A.; Hames, B.; Ruiz, R.; Scarlata, C.; Sluiter, J.; Templeton, D.; Crocker, D. Determination of structural carbohydrates and lignin in biomass. Lab. Anal. Proced. 2008, 1617, 1–16. [Google Scholar]
- Dence, C.W. The determination of lignin. In Methods in Lignin Chemistry; Springer: New York, NY, USA, 1992; pp. 33–61. [Google Scholar]
- Sotoudehnia, F.; Rabiu, A.B.; Alayat, A.; McDonald, A.G. Characterization of bio-oil and biochar from pyrolysis of waste corrugated cardboard. J. Anal. Appl. Pyrolysis 2020, 145, 104722. [Google Scholar] [CrossRef]
- Suman, S.; Panwar, D.S.; Gautam, S. Surface morphology properties of biochars obtained from different biomass waste. Energy Sources Part A Recovery Util. Environ. Eff. 2017, 39, 1007–1012. [Google Scholar] [CrossRef]
- Sher, F.; Iqbal, S.Z.; Albazzaz, S.; Ali, U.; Mortari, D.A.; Rashid, T. Development of biomass derived highly porous fast adsorbents for post-combustion CO2 capture. Fuel 2020, 282, 118506. [Google Scholar] [CrossRef]
- Jubeen, F.; Liaqat, A.; Amjad, F.; Sultan, M.; Iqbal, S.Z.; Sajid, I.; Khan Niazi, M.B.; Sher, F. Synthesis of 5-Fluorouracil Cocrystals with Novel Organic Acids as Coformers and Anticancer Evaluation against HCT-116 Colorectal Cell Lines. Cryst. Growth Des. 2020, 20, 2406–2414. [Google Scholar] [CrossRef]
- Hu, Y.; Wang, Z.; Cheng, X.; Ma, C. Non-isothermal TGA study on the combustion reaction kinetics and mechanism of low-rank coal char. RSC Adv. 2018, 8, 22909–22916. [Google Scholar] [CrossRef]
- Shuping, Z.; Yulong, W.; Mingde, Y.; Chun, L.; Junmao, T. Pyrolysis characteristics and kinetics of the marine microalgae Dunaliella tertiolecta using thermogravimetric analyzer. Bioresour. Technol. 2010, 101, 359–365. [Google Scholar] [CrossRef]
- Wang, C.; Zhao, B.; Tian, X.; Wang, K.; Tian, Z.; Han, W.; Bian, H. Study on the Pyrolysis Kinetics and Mechanisms of the Tread Compounds of Silica-Filled Discarded Car Tires. Polymers 2020, 12, 810. [Google Scholar] [CrossRef]
- Jeguirim, M.; Dorge, S.; Trouvé, G. Thermogravimetric analysis and emission characteristics of two energy crops in air atmosphere: Arundo donax and Miscanthus giganthus. Bioresour. Technol. 2010, 101, 788–793. [Google Scholar] [CrossRef]
- Braga, R.M.; Melo, D.M.A.; Aquino, F.M.; Freitas, J.C.O.; Melo, M.A.F.; Barros, J.M.F.; Fontes, M.S.B. Characterization and comparative study of pyrolysis kinetics of the rice husk and the elephant grass. J. Therm. Anal. Calorim. 2014, 115, 1915–1920. [Google Scholar] [CrossRef]
- Biney, P.O.; Gyamerah, M.; Shen, J.; Menezes, B. Kinetics of the pyrolysis of arundo, sawdust, corn stover and switch grass biomass by thermogravimetric analysis using a multi-stage model. Bioresour. Technol. 2015, 179, 113–122. [Google Scholar] [CrossRef] [PubMed]
- Mohammed, M.A.A.; Salmiaton, A.; Azlina, W.W.; Amran, M.S.M. Gasification of oil palm empty fruit bunches: A characterization and kinetic study. Bioresour. Technol. 2012, 110, 628–636. [Google Scholar] [CrossRef] [PubMed]
- Lapuerta, M.; Hernández, J.J.; Rodríguez, J. Kinetics of devolatilisation of forestry wastes from thermogravimetric analysis. Biomass Bioenergy 2004, 27, 385–391. [Google Scholar] [CrossRef]
- Lin, B.; Zhou, J.; Qin, Q.; Song, X.; Luo, Z. Thermal behavior and gas evolution characteristics during co-pyrolysis of lignocellulosic biomass and coal: A TG-FTIR investigation. J. Anal. Appl. Pyrolysis 2019, 144, 104718. [Google Scholar] [CrossRef]
- Carrier, M.; Auret, L.; Bridgwater, A.; Knoetze, J.H. Using apparent activation energy as a reactivity criterion for biomass pyrolysis. Energy Fuels 2016, 30, 7834–7841. [Google Scholar] [CrossRef]
- Li, D.; Chen, L.; Zhang, X.; Ye, N.; Xing, F. Pyrolytic characteristics and kinetic studies of three kinds of red algae. Biomass Bioenergy 2011, 35, 1765–1772. [Google Scholar] [CrossRef]
- Galwey, A.K.; Brown, M.E. Application of the Arrhenius equation to solid state kinetics: Can this be justified? Thermochim. Acta 2002, 386, 91–98. [Google Scholar] [CrossRef]
- Vlaev, L.T.; Georgieva, V.G.; Genieva, S.D. Products and kinetics of non-isothermal decomposition of vanadium (IV) oxide compounds. J. Therm. Anal. Calorim. 2007, 88, 805–812. [Google Scholar] [CrossRef]
- Savage, P.E. Mechanisms and kinetics models for hydrocarbon pyrolysis. J. Anal. Appl. Pyrolysis 2000, 54, 109–126. [Google Scholar] [CrossRef]
- Daugaard, D.E.; Brown, R.C. Enthalpy for pyrolysis for several types of biomass. Energy Fuels 2003, 17, 934–939. [Google Scholar] [CrossRef]
- Xu, Y.; Chen, B. Investigation of thermodynamic parameters in the pyrolysis conversion of biomass and manure to biochars using thermogravimetric analysis. Bioresour. Technol. 2013, 146, 485–493. [Google Scholar] [CrossRef] [PubMed]
- Coker, A.K. Ludwig’s Applied Process Design for Chemical and Petrochemical Plants; Gulf Professional Publishing: Houston, TX, USA, 2014. [Google Scholar]
- Málek, J. The kinetic analysis of non-isothermal data. Thermochim. Acta 1992, 200, 257–269. [Google Scholar] [CrossRef]
- Senum, G.I.; Yang, R. Rational approximations of the integral of the Arrhenius function. J. Therm. Anal. Calorim. 1977, 11, 445–447. [Google Scholar] [CrossRef]
- Stanko, M.; Stommel, M. Kinetic prediction of fast curing polyurethane resins by model-free isoconversional methods. Polymers 2018, 10, 698. [Google Scholar] [CrossRef]
- El-Oyoun, M.A. An investigation of the kinetic transformation mechanism of Ge12. 5Te87. 5 chalcogenide glass under non-isothermal regime. J. Non-Cryst. Solids 2011, 357, 1729–1735. [Google Scholar] [CrossRef]
- Burnham, A.K.; Weese, R.K.; Weeks, B.L. A distributed activation energy model of thermodynamically inhibited nucleation and growth reactions and its application to the β− δ phase transition of HMX. J. Phys. Chem. B 2004, 108, 19432–19441. [Google Scholar] [CrossRef]
- Shamsipur, M.; Pourmortazavi, S.M.; Hajimirsadeghi, S.S.; Atifeh, S.M. Effect of functional group on thermal stability of cellulose derivative energetic polymers. Fuel 2012, 95, 394–399. [Google Scholar] [CrossRef]
- Popescu, C. Integral method to analyze the kinetics of heterogeneous reactions under non-isothermal conditions a variant on the Ozawa-Flynn-Wall method. Thermochim. Acta 1996, 285, 309–323. [Google Scholar] [CrossRef]
- Sultana, U.K.; Gulshan, F.; Gafur, M.A.; Kurny, A.S.W. Kinetics of recovery of alumina from aluminium casting waste through fusion with sodium hydroxide. Am. J. Mater. Eng. Technol. 2013, 1, 30–34. [Google Scholar]
- Alhumade, H.; da Silva, J.C.G.; Ahmad, M.S.; Çakman, G.; Yıldız, A.; Ceylan, S.; Elkamel, A. Investigation of pyrolysis kinetics and thermal behavior of Invasive Reed Canary (Phalaris arundinacea) for bioenergy potential. J. Anal. Appl. Pyrolysis 2019, 140, 385–392. [Google Scholar] [CrossRef]





| DPWP Samples | ||||
|---|---|---|---|---|
| Leaflet (L) | Rachis (R) | Fibers (F) | Composite (M) | |
| Proximate analysis | ||||
| Moisture content (wt.%) | 7.30 ± 0.2 | 6.72 ± 0.4 | 6.44 ± 0.1 | 7.02 ± 0.2 |
| Volatile matter (wt.%) | 75.84 ± 0.01 | 78.62 ± 0.04 | 77.40 ± 0.01 | 76.64 ± 0.01 |
| Ash content (wt.%) | 12.71 ± 0.1 | 6.12 ± 0.1 | 8.24 ± 0.2 | 6.56 ± 0.4 |
| Fixed carbon (wt.%) | 7.12 ± 0.01 | 5.40 ± 0.01 | 9.02 ± 0.02 | 6.24 ± 0.01 |
| Ethanol/benzene extractives (%) | 29.00 ± 0.6 | 21.07 ± 0.4 | 9.12 ± 0.1 | 22.03 ± 0.6 |
| Ultimate analysis | ||||
| C (%) | 45.20 | 43.72 | 43.12 | 42.08 |
| H (%) | 6.00 | 5.80 | 5.81 | 5.62 |
| O (%) | 47.80 | 49.87 | 50.20 | 48.81 |
| HHV (MJ kg−1) | 17.96 | 17.28 | 17.01 | 16.53 |
| Insoluble lignin (wt.%) | 19.02 ± 0.1 | 16.03 ± 0.1 | 20.28 ± 0.4 | 18.20 ± 0.2 |
| Soluble lignin (wt.%) | 1 ± 0.01 | 1 ± 0.04 | 1 ± 0.02 | 1 ± 0.01 |
| Glucan (wt.%) | 21 ± 0.03 | 32 ± 0.01 | 33 ± 0.01 | 30 ± 0.02 |
| Xylan (wt.%) | 11 ± 0.01 | 19 ± 0.01 | 17 ± 0.01 | 16 ± 0.01 |
| Arabinan (wt.%) | 2 ± 0.02 | 3 ± 0.02 | 2 ± 0.01 | 3 ± 0.01 |
| Elemental Analysis (ppm) | ||||
| K | 33.0 ± 0.6 | 28.9 ± 0.6 | 30.8 ± 0.0 | 26.3 ± 0.4 |
| P | 10.9 ± 0.2 | 16.7 ± 1.8 | 6.7 ± 1.6 | 12.0 ± 0.4 |
| Ca | 196.5 ± 8.0 | 158.2 ± 20 | 305.9 ± 28 | 166.6 ± 12 |
| Mg | 24.0 ± 2.2 | 21.4 ± 3.0 | 46.6 ± 8.0 | 21.2 ± 2.0 |
| Na | 8.7 ± 2.3 | 11.5 ± 1.4 | 26.5 ± 3.6 | 9.3 ± 1.6 |
| Heating Rate (°C min−1) | Temperature (°C) | |||||||||||
|---|---|---|---|---|---|---|---|---|---|---|---|---|
| Tmin | T1 | T2 | T3 | T4 | Tmax | Tmin | T1 | T2 | T3 | T4 | Tmax | |
| Leaflet (L) | Rachis (R) | |||||||||||
| 10 | 30 | 129 | 198 | 260 | 372 | 900 | 30 | 127 | 197 | 280 | 370 | 900 |
| 15 | 133 | 200 | 269 | 385 | 128 | 203 | 286 | 383 | ||||
| 20 | 137 | 205 | 283 | 387 | 129 | 207 | 292 | 394 | ||||
| 25 | 140 | 210 | 288 | 398 | 131 | 212 | 300 | 398 | ||||
| Fibers (F) | Composite (M) | |||||||||||
| 10 | 30 | 127 | 201 | 262 | 383 | 900 | 30 | 130 | 195 | 277 | 378 | 900 |
| 15 | 129 | 209 | 269 | 389 | 132 | 196 | 288 | 389 | ||||
| 20 | 131 | 212 | 273 | 391 | 133 | 197 | 289 | 394 | ||||
| 25 | 142 | 220 | 290 | 396 | 135 | 210 | 292 | 398 | ||||
| Stages | Temperature (°C) | Heating Rate (°Cmin−1) | |||
|---|---|---|---|---|---|
| 10 | 15 | 20 | 25 | ||
| Leaflet (L) | |||||
| Stage-I, WL% | Tmin–T1 | 6.07 | 5.81 | 5.87 | 5.89 |
| Stage-II, WL% | T1–T4 | 58.39 | 63.48 | 63.01 | 66.98 |
| Stage-III, WL% | T4–Tmax | 28.54 | 23.07 | 23.46 | 20.0 |
| Final residue at 900–100 °C (%) | 7.0 | 7.64 | 7.66 | 7.13 | |
| Rachis (R) | |||||
| Stage-I, WL% | Tmin–T1 | 5.92 | 6.32 | 6.54 | 5.80 |
| Stage-II, WL% | T1–T4 | 66.22 | 67.54 | 68.89 | 69.49 |
| Stage-III, WL% | T4–Tmax | 20.52 | 18.59 | 14.09 | 14.61 |
| Final residue at 900–100 °C (%) | 7.34 | 7.55 | 10.48 | 10.10 | |
| Fibers (F) | |||||
| Stage-I, WL% | Tmin–T1 | 6.63 | 5.96 | 6.96 | 5.89 |
| Stage-II, WL% | T1–T4 | 54.86 | 60.74 | 58.92 | 62.53 |
| Stage-III, WL% | T4–Tmax | 25.91 | 25.16 | 25.05 | 23.58 |
| Final residue at 900–100 °C (%) | 12.6 | 8.14 | 9.07 | 8.0 | |
| Composite (M) | |||||
| Stage-I, WL% | Tmin–T1 | 6.96 | 7.2 | 6.89 | 6.56 |
| Stage-II, WL% | T1–T4 | 64.88 | 65.90 | 65.31 | 66.20 |
| Stage-III, WL% | T4–Tmax | 22.55 | 19.83 | 16.17 | 13.56 |
| Final residue at 900–100 °C (%) | 5.61 | 7.07 | 11.63 | 13.68 | |
| DPWP | FWO | KAS | Starink | |||||||||
|---|---|---|---|---|---|---|---|---|---|---|---|---|
| Eα/kJ mol−1 | Log A (s−1) | ΔG/kJ mol−1 | ΔS/Jmol−1 | Eα/kJ mol−1 | Log A (s−1) | ΔG/kJ mol−1 | ΔS/J mol−1 | Eα/kJ mol−1 | Log A (s−1) | ΔG/kJ mol−1 | ΔS/J mol−1 | |
| L | 163.97 ± 40.1 | 13.66 ± 1.2 | 193.77 ± 40.1 | −0.068 ± 0.02 | 667.52 ± 225.8 | 56.36 ± 8.1 | 186.51 ± 38.2 | 0.742 ± 0.13 | 647.29 ± 218.7 | 54.64 ± 7.8 | 186.67 ± 38.4 | 0.710 ± 0.13 |
| R | 157.97 ± 25.7 | 26.75 ± 1.9 | 93.19 ± 20.9 | 0.201 ± 0.04 | 463.46 ± 114.3 | 76.43 ± 2.1 | 90.33 ± 28.8 | 1.152 ± 0.04 | 451.08 ± 110.6 | 74.42 ± 1.9 | 90.40 ± 28.8 | 1.114 ± 0.04 |
| F | 169.14 ± 51.8 | 26.91 ± 2.6 | 107.09 ± 45.1 | 0.183 ± 0.06 | 684.61 ± 261.2 | 107.08 ± 3.6 | 99.29 ± 34.9 | 1.625 ± 0.1 | 663.92 ± 2253.7 | 103.86 ± 3.5 | 99.38 ± 34.9 | 1.568 ± 0.09 |
| M | 157.04 ± 25.6 | 13.82 ± 1.0 | 184.30 ± 28.6 | −0.054 ± 0.02 | 466.78 ± 115.4 | 41.31 ± 4.9 | 178.91 ± 27.3 | 0.467 ± 0.08 | 454.22 ± 128.6 | 29.54 ± 6.9 | 180.58 ± 27.0 | 0.242 ± 0.12 |
Publisher’s Note: MDPI stays neutral with regard to jurisdictional claims in published maps and institutional affiliations. |
© 2020 by the authors. Licensee MDPI, Basel, Switzerland. This article is an open access article distributed under the terms and conditions of the Creative Commons Attribution (CC BY) license (http://creativecommons.org/licenses/by/4.0/).
Share and Cite
Galiwango, E.; Al-Marzuoqi, A.H.; Khaleel, A.A.; Abu-Omar, M.M. Investigation of Non-Isothermal Kinetics and Thermodynamic Parameters for the Pyrolysis of Different Date Palm Parts. Energies 2020, 13, 6553. https://doi.org/10.3390/en13246553
Galiwango E, Al-Marzuoqi AH, Khaleel AA, Abu-Omar MM. Investigation of Non-Isothermal Kinetics and Thermodynamic Parameters for the Pyrolysis of Different Date Palm Parts. Energies. 2020; 13(24):6553. https://doi.org/10.3390/en13246553
Chicago/Turabian StyleGaliwango, Emmanuel, Ali H. Al-Marzuoqi, Abbas A. Khaleel, and Mahdi M. Abu-Omar. 2020. "Investigation of Non-Isothermal Kinetics and Thermodynamic Parameters for the Pyrolysis of Different Date Palm Parts" Energies 13, no. 24: 6553. https://doi.org/10.3390/en13246553
APA StyleGaliwango, E., Al-Marzuoqi, A. H., Khaleel, A. A., & Abu-Omar, M. M. (2020). Investigation of Non-Isothermal Kinetics and Thermodynamic Parameters for the Pyrolysis of Different Date Palm Parts. Energies, 13(24), 6553. https://doi.org/10.3390/en13246553

