Abstract
A methodology for an optical optimization of the intercept factor concerning a linear Fresnel reflector is described to increase the amount of solar irradiation that will be delivered in the absorber for Agua Prieta, Sonora; taking the FRESDEMO’s Fresnel field as the reference design. For the performed optimization, the intercept factor is determined as a function of the receiver’s height, establishing a simple criterion for the optimization. The FRESDEMO’s field description is determined and briefly discussed, next compared with the proposed optimization. The compound parabolic concentrator (CPC) Winston function for a circular absorber is modified to relocate the cusp of the reflector and the absorber. This modified CPC will redirect all the reflected rays that do not hit directly the absorber, as in the FRESDEMO field, so all of them are captured by the absorber. Through ray-tracing, the graphic flux distribution in the receiver aperture is conceived. This flux distribution is compared with the FRESDEMO field and with a PTC with a flat absorber, ensuring an adequate optimization regarding the intercept factor. The result of the opto-geometric optimization is compared between the FRESDEMO and the optimized field for a specified thermal process, addressing a considerable reduction in the length of the loops.
1. Introduction
Currently, concentrated solar power plants (CSP), are an alternative to produce electricity against non-renewable energy sources such as oil, coal, and nuclear energy. In these systems, different designs and geometries of concentrators are used. CSP plants concentrate the solar rays to heat a working fluid that runs a thermodynamic power cycle, usually a steam Rankine cycle [1]. Most of these solar plants use solar fields with parabolic trough collectors (PTC) [2]. Notwithstanding, in recent years, Fresnel reflectors are among the most promising technologies to produce energy from concentrated solar radiation [3,4]; therefore, there has been an increasing interest in adopting Fresnel reflectors due to the low operating costs [5].
This interest has led to different studies discussing the opto-geometric parameters to be determined and optimized. Abbas and Martínez-Val [6] analyzed the optical design of Fresnel Reflectors width and shifts of the mirrors, Boito and Grena [7,8] developed a model to find the optimal focal length of the primary mirrors and also an optical optimization relating the plant cost and the concentrated solar radiation. Qiu et al. [9] presented a strategy to homogenize the heat flux in the receiver area employing multi-objective genetic algorithms and Monte Carlo ray-tracing. However, there are no optimizations in the intercept factor for the typical fields to be analyzed (FRESDEMO, PUERTO ERRADO, etc.), this is developed in the present work considering the FRESDEMO field as the starting point for optimization since it is a field that has proven to be technically operational for the DSG.
Concentrating the sun’s rays allows a working fluid (HTF, heat transfer fluid) to reach high temperatures that ensure a good conversion of heat-electricity efficiency. The HTF can be synthetic oil, molten-salt or water-steam; the latter known as Direct Steam Generation (DSG). Commercially, the DSG is not applied yet because, in PTCs, the thermal stress problems produce several problems in the receiver integrity [10,11]. However, Fresnel reflectors do not present this disadvantage since the heat flux is distributed more uniformly over the absorber and also because the receiver is fixed, so, one of the trends is towards this direction since it also avoids the use of heat exchangers [12,13]. With these advantages, the thermal efficiency is increased by simplifying the configuration of the entire system [14,15,16].
The linear Fresnel reflector (LFR, which will be referred hereafter only as Fresnel reflectors), simplifies the design of the PTCs. The LFR resembles the parabolic shape with a collection of flat (or nearly flat) mirrors positioned at ground level [2]. These mirrors move on a single axis to track and reflect the Sun’s rays toward the receiver. Unlike PTCs, the receiver of the LFRs is fixed in space and the reflectors rotate simultaneously to keep the focus continuously on the receiver, as shown in Figure 1 [1,3].
Figure 1.
Linear Fresnel reflector with a central receiver. Adapted from reference [17].
All rows of the LFR match the same tracking as the apparent movement of the Sun. However, each row is tilted at different angles at any time, since they have different positions regarding the receiver. This allows a very large primary unit composed of relatively small reflectors, with a long focal length, which indeed leads to the possibility to use almost flat and low-cost glass mirror elements [4,5].
One difficulty with LFRs technology is that avoiding shading and blocking between adjacent reflectors leads to a greater spacing between the reflectors leading to a greater use of land. Blocking and shading between mirrors can be reduced significantly by increasing the height of the receivers, but this increases the cost of the system.
The main advantages of LFR over PTC are:
- fixed receiver.
- low wind load in the mirrors.
- largest collection area for each receiver (which reduces the cost of receivers and simplifies the management of fluid circulation).
- small moving parts (the mirrors are much smaller than the only one mirror of a PTC).
- lower costs of the optical components (the mirrors are almost flat, and their construction is simpler).
- the receiver is always illuminated from below, but the addition of a CPC allows a more uniform heat flux distribution over the absorber tube, regardless of the angle of the Sun, minimizing thermal stresses.
- an easier system maintenance facility.
The principal disadvantages are [18,19,20,21]:
- reduced optical efficiency, especially when the Sun is far from the focal plane.
- greater sensitivity to optical and tracking errors, due to the greater distances between the mirrors and the receiver.
Taking into consideration the above, and evaluating the advantages and disadvantages of the LFR compared to the PTC, it is of great interest the implementation of a solar field that could use linear Fresnel reflectors for DSG; since it implies that solar power plants would be able to start using a simpler technology that could be competitive and commercial in the near future.
In addition, if the solar field is optically optimized for a certain locality, the decrease in the length of the field becomes evident, which would reduce the cost of the installation; however, all the simulations based on the DSG with LFR are using the FRESDEMO configuration, therefore, it is interesting to optimize the solar field to analyze the behavior of the system and confirm the reduction of the length of the entire field.
2. Methodology
The LFRs, like the PTCs, follow the Sun while moving the mirrors in prescribed paths minimizing the angle of incidence of the radiation on the surfaces and thus, maximize the radiation collected of the incident rays. The aforementioned is done through calculated rotations on a single axis (that may have any orientation, although, in practice, it is usually horizontal from East to West, or from North to South). All the linear concentrators used for power generation are designed with an East-West tracking, so the concentration system is oriented in a North-South direction; this is done to maximize the use of irradiance on the concentrator.
The design of the solar field is the most important component to be determined in a solar plant for the generation of electrical energy. A poor design can trigger low operating times, an increment in the thermal energy storage capacity, low thermal performance and, even lead to the inoperability of the power block since the concentrated solar energy density is not enough to be useful; so the optimization of the opto-geometric description of a linear Fresnel reflector for direct steam generation is essential to ensure an optimum optical performance. For the reasons exposed, in the present work, a methodology for the opto-geometric optimization was developed; this methodology is schematized in Figure 2.
Figure 2.
Methodology for the optimization of the linear Fresnel reflector (LFR) field.
First, for the optimization process, the location of the power plant must be defined. This allowed calculating the solar angles to define the incidence and direction of the irradiation (Section 2.1). In a second step, the location of the primary mirrors and the intercept factor is determined (Section 2.2). Third, the intercept factor is computed as a function of the receiver’s height and a criterion for the optimum height is established; once the criterion is fulfilled, the incident angle modifier (IAM) is computed, and the CPC geometry is defined (Section 3). Fourth, a ray-tracing is performed to compare the flux distribution between a PTC, FRESDEMO and the optimized field (Section 4). Afterward, a thermal process is computed to compare the results of the optimized field against the FRESDEMO field.
2.1. Solar Angles in A LFR
In order to define the layout and the design of the LFR, the solar angles must be determined to ensure that the reflected solar radiation is redirected in the best way to the receiver. For a solar field oriented in the direction N-S (solar fields use this orientation to maximize the radiation capture at solar midday so that more irradiance can be used annually.) (as seen in Figure 3a); the transverse solar altitude angle can be determined by the solar altitude angle and the azimuthal angle [14,16,22]; the celestial coordinates are determined by:
where , and when . Other angles of practical interest in concentration systems are the longitudinal angle of incidence and transversal angle of incidence . Both angles are shown schematically in Figure 3b, determined by Equations (5) and (6).
Figure 3.
Angles in a LFR: (a) Determination of the transverse solar altitude angle; (b) Determination of the incidence angles.
2.2. Opto-Geometric Description of the LFR Field
Although the optical nature of LFRs is simple, there are few data available to describe a Fresnel reflector field [7]. However, even ignoring the dimensions and specifications of the receiver, the geometry of a LFR is defined by numerous parameters, which can be changed independently, at least in principle: the width, the position, and the focal length of each mirror are all independent variables. Therefore, the geometry of the solar field depends on degrees of freedom, where is the number of mirrors [8].
Considering some descriptions for different Fresnel reflectors designs; a similar configuration (a similar field is considered because a detailed description of the FRESDEMO field is not available (mainly the location of the mirrors)) of the FRESDEMO’s field; located in the Plataforma Solar de Almería, Spain, is proposed; this LFR is shown in Figure 4. The field is composed of several modules each with 25 mirrors of width and length, distributed in a wide-field oriented in N-S direction [6,7,8,19,23,24,25,26,27,28]. As a summary in Table 1, the parameters considered are shown.
Figure 4.
Main geometrical parameters of the FRESDEMO prototype [24].
Table 1.
Geometric data of a FRESDEMO similar field.
The filling factor () is defined as the ratio of useful space of concentration occupied by the primary mirrors to the whole area of the solar field, as stated in Equation (7). It is important to say that the main objective of the LFRs is to be able to maximize the filling factor (); this means better use of land while capturing as much as possible solar radiation.
where:
- : Effective area of the primary mirrors, : Area of the LFR module.
Thus, with the data described in Table 1, the filling factor for the proposed field is ; which is identical to the Fresdemo field [24,27].
Another factor that influences the performance of the LFRs is the height at which the receiver is placed (independent if only one absorber tube or several tubes are used). To determine the inclination of each mirror, in concordance with the Fermat’s Principle, the light that reaches each mirror will be reflected towards a target zone (which in this case will necessarily be the receiver); however, the further away the mirrors are, the longer the path the light must travel, and in addition, not all the light will directly hit the receiver. The intercept factor () is a quantitative measure of this condition.
The intercept factor ideally should have a unit value; which would mean that all the radiation that enters the opening area () will be redirected entirely to the receiver; however, since the LFR is not an ideal (it should not be forgotten that a Fresnel reflector simulates the optical behavior of a parabolic channel, so in essence, it could not be a concentrator without optical losses) concentrator, there will be losses in this captured radiation. Although there are a great variety of methodologies to determine the intercept factor, such as directly applying the concept of the conservation of the étendue [29,30] or using an advanced ray-tracing technique [31], it is possible to use simpler methods such as that described by Pettit et al. [32], or, in its simplest form, only the quotient between the area illuminated by the redirected rays and the area of the receiver, as stated in Equation (8) and shown schematically in Figure 5.
where
Figure 5.
Schematic diagram of the cross-section of the receiver area.
- : Receiver area
- : Total lighting area
- : Left receiver spillage
- : Right receiver spillage
- : Receiver width
The intercept factor is evaluated instantaneously; this means that as the Sun moves over the sky, the primary mirrors rotate to reflect the greatest amount of radiation to the receiver, so it can be concluded that the intercept factor is a function of the incidence angles. While the intercept factor can be maximized for any time of the day, a good alternative is maximizing it at solar noon (when the irradiation reaches its highest value), so the concentrated irradiance in the receiver is maximized. The position where the mirrors are aligned maximizing the intercept factor is called the reference position; under the hypothetical assumption that the field is placed at the equator.
To establish the geometric description of the Fresnel reflector, the determination of the inclination angle , is required, which varies according to the position of the Sun, and is different for each mirror, as shown in Figure 6.
Figure 6.
Angle of inclination of the i-th mirror and its determinants.
The inclination angle of each mirror is determined by the angle and the transverse solar altitude angle ; additionally, the angle is determined by the distance of the respective mirror row from the central axis of the field, and by the distance of the real focus to the primary mirrors through:
From Equation (9), the inclination depends only on the temporal variation of the angle , that is, in the apparent movement of the Sun, not in the position of the mirror. The different mirror rows have different angular positions but they move at the same angular velocity. Theoretically, this allows all mirrors to be connected using a simple four-bar mechanical coupling and driven with a single motor (rocker mechanism). However, the current designs of LFRs decide to move each mirror individually, because a more precise tracking is obtained, and it also allows a gradual defocusing if necessary [5]. Fresnel field configuration of FRESDEMO places the receiver of () at a distance of of the primary mirrors ().
For the reference position, the intercept factor of the FRESDEMO field has a maximum value of . Thus, the location of the primary mirrors can be defined from the last mirror. For the reference position (solar noon), the mirrors are located and tilted as described in Equation (9). Table 2 shows the location and tilt of the mirrors for the design point, and, due to the symmetry that exists in the system, only twelve mirrors are considered (the other ones have the same layout). In Figure 7 the first reference position is shown schematically, together with a simplified ray-tracing. In Figure 8 the results of the ray-tracing are shown, in Figure 8a it can be seen that for the area of the receiver for this reference position, not all the reflected rays will hit the receiver, so that the intercept factor will be less than one, while in Figure 8b the blockage that occurs between the last and second last mirror is appreciated.
Table 2.
Position of the primary mirrors at solar noon (; ).
Figure 7.
Arrangement of the Fresnel reflector mirrors.
Figure 8.
Results of the ray tracing. (a) Approach of the receiver. (b) Blocking of reflected rays between the last and second last mirror.
2.3. Optimization of the Solar Field for the City of Agua Prieta, Sonora
The optimization is performed considering that the Fresnel reflector will be located in Agua Prieta, Sonora, where the greatest amount of irradiation occurs for June; according to the bibliography, the 21st is the representative day of the month [14].
The city of Agua Prieta, Sonora, has a geographical location of ;, so once the day has been defined (21 June, day 171 of the year), it is possible to determine the solar angles that will allow optimizing the dimensions of the receiver. Using the Equations (1)–(6), the solar angles reported in Table 3 are obtained.
Table 3.
Solar angles for solar noon in Agua Prieta, Sonora.
3. Results
With the results of Table 3, the intercept factor for systems with variable height can be determined using the methodology described in the previous section, keeping fixed the layout and size of the primary mirrors. However, even the intercept factor is optimized as a function of height, the tilt of the mirrors must change in order to keep the absorber tube illuminated.
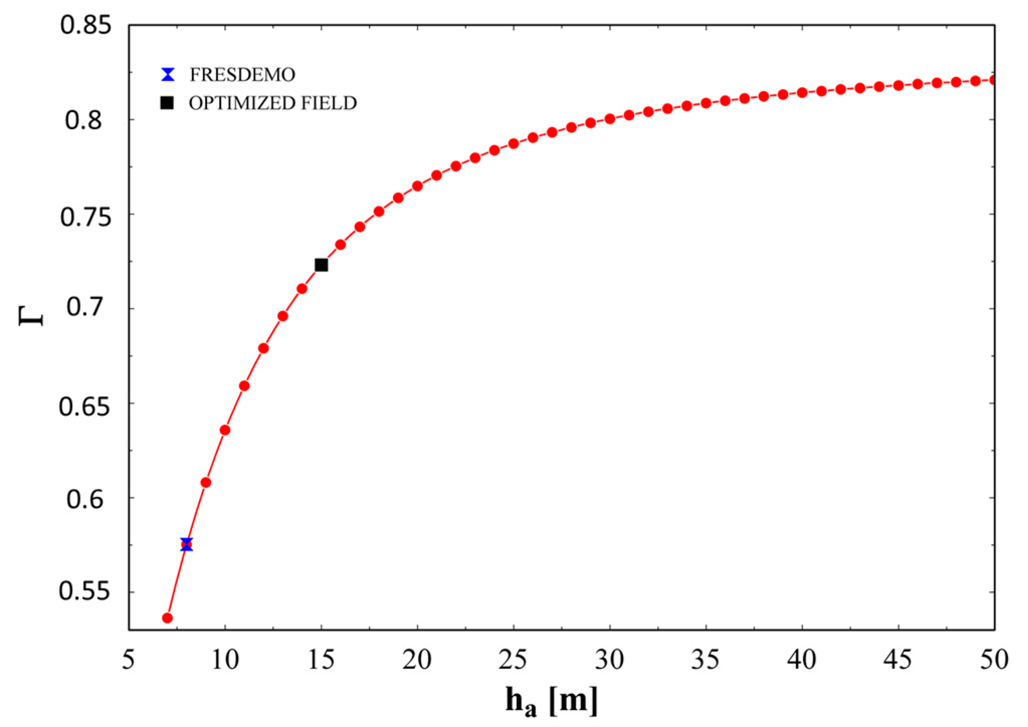
The plot in Figure 9 shows the variation of the intercept factor concerning the increase in receiver height. It is remarkable that after 20 m, the intercept factor does not increase greatly; however, working with receivers with such height would complicate the maintenance of the installation.
Figure 9.
Intercept factor as a function of receiver height.
The criterion used to determine the height was simple. The point of the curve where the rate of change stops increasing to a large extent (which can be defined as an extreme point) was determined. Under this condition, the value is a little more than . As an optimization point, a height of is chosen, so that the previous graph determines that the intercept factor as . The location of the mirrors remains by what is described in Table 2 since the width of the field remains constant.
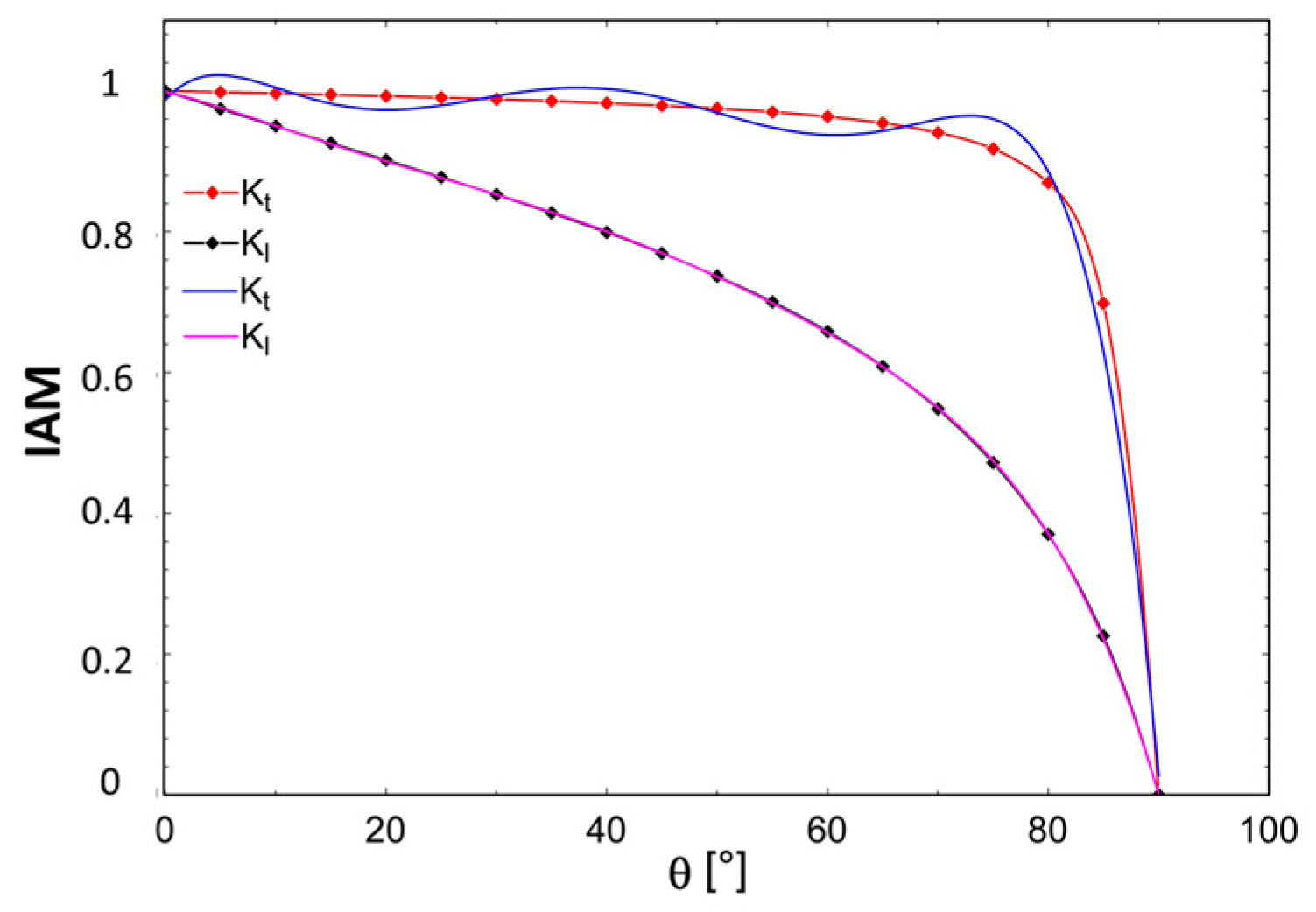
Once the intercept factor has been determined, it is important to determine a geometric parameter called the incident angle modifier (IAM). The IAM for Fresnel reflectors is a function of both longitudinal and transverse angles (see Figure 3 to identify both angles), i.e., . It is usual to define the incidence angle modifier as the product of the longitudinal modifier and the transverse modifier so that it is possible to obtain both parameters independently [14,33].
Thus, the represents the change in optical performance for angles of incidence other than perpendicular [14,34]:
From Equation (11), it is possible to plot the incidence angle modifiers for the longitudinal and transverse direction, as shown in Figure 10. The Equations (13) and (14) both model and as a function of the longitudinal () and transverse () incidence angle, plotted as a continuous curve for each case shown in Figure 10; where the coefficient of determination is 100% and 98.80%; and a statistical bias of and for the longitudinal and transversal directions respectively, ensuring a proper correlation between the data and the adjustment made.
Figure 10.
Incidence angle modifiers for longitudinal () and transverse () directions.
As described above, there are various alternatives in the design of the systems in terms of the number of absorber tubes and cavity systems for the receiver. The simplest design is based on the use of a single tube (with a diameter generally in the range of to ). This tube is usually located inside a cavity provided with a secondary concentrator—usually a compound parabolic concentrator, CPC—and may have a glass cover on the bottom of the cavity [35,36,37,38].
Since it is considered a field similar to FRESDEMO’s, a modified CPC will be located in the receiver to redirect all the radiation that does not hit the absorber directly, and also to increase the geometric concentration coefficient; so, it will be working with only one tube.
Regardless of the type of absorber that the CPC may have, the rays that enter the concentrator with a maximum semi-angle (extreme rays) must be reflected by the mirror so that they tangentially hit the absorber; while all rays entering at an angle less than the maximum semi-angle (i.e., within the angular acceptance window ), are directed to the absorber after passing through the internal optics of the CPC (reflection in this case) [39].
The function of an unmodified CPC, raised by Winston [29,40], satisfy the parametric equations stated in Equation (15). The curve described in Equation (16) corresponds to an involute in polar coordinates, while the curve is an anticaustic, whose polar equation is described in Equation (17).
A modified CPC will not properly fulfill the condition of redirecting the rays tangentially towards the absorber, but the rays of light will hit it in a secant way. So, it will be necessary to propose a function that allows considering the separation of the absorber tot to the cusp of the involute.
To modify the functions proposed in Equations (16) and (17), consider Figure 11. To move the absorber a distance , the involute should be rotated by an angle and start when . Thus, the equation of an involute rotated by an angle is defined in Equation (18).
Figure 11.
Displacement of the absorber of the involute cusp.
Similarly, the function of the anticaustic must be rotated , so that the modified function is described in Equation (20). Under this modification, the CPC profile is now modified with a gap between the absorber and the cusp of the involute, schematically shown in Figure 12.
Figure 12.
Modified geometry of the compound parabolic concentrator (CPC) with a separate absorber.
The FRESDEMO’s field uses a external diameter and internal diameter tube; in which it is considered that the absorber will be displaced from the cusp. So, according to the definition of the geometric concentration, the relation of areas can be expressed as:
where
- : Aperture length of the CPC, : Perimeter of the tube absorber.
Note that the geometric concentration of the CPC is low (), so that optimizing the height of the CPC is not convenient [41,42], and also because the acceptance angle for this concentration is higher than the minimum established by the Rincón’s criterion (the maximum allowable acceptance half-angle for optimal truncation is π/4. For a more detailed description of the truncation criterion, as well as their implications, consult [39]) [43]; so the CPC will only redirect the rays that are not intercepted directly by the absorber, ensuring the etendue conservation and minimizing the optical losses [29,30,39].
The half acceptance angle is limited according to the reflection given by the primary mirrors. Considering the design point, the angle with which the rays enter the CPC must be equal to or less than the angle at which the extreme rays of the last mirror impinge on the receiver, according to the geometry of the field, it is determined that the half acceptance angle should be equal to or greater than .
Solving Equation (21) for the acceptance half-angle, we have that ; so, as discussed before, it is not advisable to truncate the CPC. Figure 13a shows the CPC that will be placed in the area of the receiver, and in Figure 13b the incident of the ray reflected by the last mirror is schematized. In Table 4, the description of the field is shown as a summary, following the methodology described.
Figure 13.
Ray-tracing in the CPC. (a) Incidence of the ray of light reflected at the end by the last mirror. (b) Tracing rays of the rays coming from the last mirror.
Table 4.
Comparison of the description of the Fresnel reflectors and the optimized solar field for Agua Prieta, Sonora.
As a result of the ray tracing (shown in Figure 13), all the extreme rays that enter the receiver will be redirected without optical leakage to the absorber, guaranteeing the conservation of the etendue [29,30], so that for the CPC, the intercept factor remains unitary.
4. Comparison of the Optimized Field with FRESDEMO and A PTC
The comparison of the systems is carried out in two aspects. The first is carried out through a ray-tracing to know the distribution of radiation in the opening of the receiver between the FRESDEMO field, the optimized field and with a parabolic trough with the same geometric concentration and same receiver width. The second comparison between the FRESDEMO and the optimized field is done through a study of a thermal process of direct steam generation.
4.1. Flux Distribution
To determine the flux distribution in the aperture of the receiver, the SolTrace software, developed by the National Renewable Energy Laboratory, was used. This software works through solar geometry which is based on the ray-tracing methodology [44]. In SolTrace, each concentrator was simulated with a concentration ratio of , in other words, it just simulated the flux distribution in the aperture of the receiver, ignoring the CPC; and tracing rays with a Gaussian Sun shape of .
Under this condition, the PTC has a half acceptance angle of , an aperture of , a focus of and a rim angle of is considered as the optimal concentrator. The FRESDEMO and the optimized LFR fields were simulated considering the distribution of the primary mirrors stated in Table 2, with and of height, respectively.
In Figure 14, the flux distribution is shown for each case, where the red colour stands for high flux zones and the blue for the low flux zone. In the PTC, the peak flux is of with an average flux of ; for the optimized LFR field, the peak flux is of with an average flux of ; and for the FRESDEMO the peak flux is of with an average flux of .
Figure 14.
Flux distribution in the receiver aperture. (a) Parabolic trough collectors PTC. (b) Optimized Fresnel. (c) FRESDEMO.
As can be seen, the optimization leads to a flux distribution more similar to the one in the PTC, even though the FRESDEMO’s distribution is more uniform. Although the FRESDEMO field homogenizes the radiative flux at the receiver’s aperture, using a PTC or the optimized field implies that the concentrated radiation (flux with greater intensity) directly hits the receiver, and the rest will be distributed by the CPC.
The above is beneficial, considering that the power of the rays decreases according to the number of reflections in a CPC [29,40]. So, for a Fresnel reflector with a CPC as the second stage and one absorber tube, a more uniform distribution is not advisable.
4.2. Thermal Process
To carry out an adequate comparative analysis, a suitable framework and the nominal values of the parameters for the Fresnel loop have been previously defined, where the description of the primary mirrors is similar to those reported for FRESDEMO; however, it is of interest to determine the variation of the average optical concentration in the plane of the absorber (the geometric concentration is decreased by a factor of against the average optical concentration) with respect to the incident angle modifiers. The values of the average optical concentration as a function of the are shown in Figure 15.
Figure 15.
Average optical concentration in the receiver plane.
To ensure that the increase in the intercept factor of the optimized field will reduce the final length of the loop, consider the circulation of a mass flow of of water entering , and that should leave at for both loops (FRESDEMO and optimized). Using the methodology described by Montes Pita et al. [12], it is possible to determine the length of the loop. In Figure 16, the temperature of the water is plotted for the length of the loop for FRESDEMO and the optimized field.
Figure 16.
Water/steam temperature along the Fresnel loop in once-through operation mode.
After the simulation to determine the water temperature increase along the loop, it is observed that the FRESDEMO field requires to perform the described thermal process, as described by Montes Pita et al. [12], while the optimized field requires only ; which results in a decrease in length of .
5. Conclusions
A methodology for the opto-geometric optimization of a LFR is described in the most generalized way, so that it can be used interchangeably to optimize any Fresnel field for the desired location, only affecting the solar angles that are involved in the system, which are described in Section 2.1.
As a result of having increased the height of the receiver, the dimensions of the CPC have been modified in such a way that the angular window is increased by , which provides beneficial results because there is a larger window through which the rays can enter and be redirected to the CPC.
The main advantage of increasing the intercept factor will lead to a significant reduction in the total length of the loops of the field, since the spillage of the concentrated light is reduced, and more energy will hit the receiver achieving a greater heat flux per square meter.
Thus, using the methodology described applied to the location of Agua Prieta, Sonora, the Fresnel reflector has been optimized by increasing the intercept factor from to , which implies an increase of just over 25%, only by increasing the height of the receiver, maintaining the width of the field as well as the dimensions of the mirrors and the receiver, as detailed in Table 4.
Finally, when comparing the performance of both loops of Fresnel fields for the same thermal process (an increase of in the water), it is verified that the total length of the field decreases from to , which implies a reduction of of the length of the loop, keeping the same filling factor, width of the primary mirrors, and absorber tube diameter.
Author Contributions
E.G.-M. conceived the paper and drafted it, developed the methodology and performed the ray-tracing; M.D.D.G. has done the project administration, supervision, and review. All authors have read and agreed to the published version of the manuscript.
Funding
This research received no external funding.
Conflicts of Interest
The authors declare no conflict of interest.
Nomenclature
| Symbols | |
| area [m2] | |
| receiver width [m] | |
| geometric concentration | |
| longitudinal location of the i-th mirror [m] | |
| gap between the absorber and the CPC cusp [m] | |
| height from the receiver to the primary mirrors [m] | |
| angle modifier | |
| length of primary mirrors [m] | |
| filling factor | |
| number of mirrors | |
| radius [m] | |
| t | angle parameter [rad] |
| width [m] | |
| abscissa [m] | |
| ordinate [m] | |
| Greek Symbols | |
| solar altitude angle | |
| angle of rotation of the CPC curves | |
| slope | |
| intercept factor | |
| azimuth angle | |
| declination | |
| optical efficiency | |
| angle of incidence | |
| half acceptance angle | |
| half angular acceptance window | |
| zenith angle | |
| ray from the pole | |
| inclination angle of the primary mirrors | |
| hour angle | |
| Subscripts | |
| generic counter | |
| illuminated | |
| longitudinal / spillage left | |
| primary mirrors/mirrors | |
| spillage right | |
| solar field | |
| / | transversal |
| Acronyms | |
| CPC | Compound Parabolic Collector |
| DSG | Direct Steam Generation |
| HTF | Heat Transfer Fluid |
| IAM | Incident Angle Modifier |
| LFR | Linear Fresnel Reflector |
| PTC | Parabolic Trough Collector |
References
- Norton, B. Harnessing Solar Heat, 1st ed.; Springer: New York, NY, USA, 2014; Volume 18, ISBN 978-94-007-7274-8. [Google Scholar]
- Breeze, P. Solar Power Generation, 1st ed.; Elsevier: Amsterdam, The Netherlands, 2014; ISBN 9780128040041. [Google Scholar]
- Blanco, M.J.; Miller, S. 1—Introduction to concentrating solar thermal (CST) technologies. In Advances in Concentrating Solar Thermal Research and Technology; Woodhead Publishing: Amsterdam, The Netherlands, 2017; pp. 3–25. ISBN 9780081005163. [Google Scholar]
- Zhu, G.; Wendelin, T.; Wagner, M.J.; Kutscher, C. History, current state, and future of linear Fresnel concentrating solar collectors. Sol. Energy 2014, 103, 639–652. [Google Scholar] [CrossRef]
- Mills, D.R. 6—Linear Fresnel reflector (LFR) technology. In Concentrating Solar Power Technology; Elsevier: Amsterdam, The Netherlands, 2012; pp. 153–196. ISBN 9781845697693. [Google Scholar]
- Abbas, R.; Martínez-Val, J.M. Analytic optical design of linear Fresnel collectors with variable widths and shifts of mirrors. Renew. Energy 2015, 75, 81–92. [Google Scholar] [CrossRef]
- Boito, P.; Grena, R. Optimization of the geometry of Fresnel linear collectors. Sol. Energy 2016, 135, 479–486. [Google Scholar] [CrossRef]
- Boito, P.; Grena, R. Optimal focal length of primary mirrors in Fresnel linear collectors. Sol. Energy 2017, 155, 1313–1318. [Google Scholar] [CrossRef]
- Qiu, Y.; Li, M.-J.; Wang, K.; Liu, Z.-B.; Xue, X.-D. Aiming strategy optimization for uniform flux distribution in the receiver of a linear Fresnel solar reflector using a multi-objective genetic algorithm. Appl. Energy 2017, 205, 1394–1407. [Google Scholar] [CrossRef]
- Cui, W.; Li, H.; Li, L.; Liao, Q. Thermal stress analysis of DSG solar absorber tube in stratified two-phase regime. AIP Conf. Proc. 2013, 1558, 2217–2220. [Google Scholar]
- Zarza Moya, E. 5—Innovative working fluids for parabolic trough collectors. In Advances in Concentrating Solar Thermal Research and Technology; Blanco, M., Ramirez Santiagosa, L., Eds.; Woodhead Publishing: Amsterdam, The Netherlands, 2017; pp. 75–106. ISBN 9780081005163. [Google Scholar]
- Montes, M.J.; Barbero, R.; Abbas, R.; Rovira, A. Performance model and thermal comparison of different alternatives for the Fresnel single-tube receiver. Appl. Therm. Eng. 2016, 104, 162–175. [Google Scholar] [CrossRef]
- Montes Pita, M.J. Análisis Y Propuestas De Sistemas Solares De Alta Exergía Que Emplean Agua Como Fluido Calorífero; Universidad Politécnica de Madrid: Madrid, Spain, 2008. [Google Scholar]
- Duffie, J.A.; Beckman, W.A. Solar Engineering of Thermal Processes, 4th ed.; John Wiley & Sons, Inc.: Hoboken, NJ, USA, 2013; ISBN 1118418123. [Google Scholar]
- Wu, C. Thermodynamics and Heat Powered Cycles. A Cognitive Engineering Approach, 1st ed.; Nova Science Publishers, Inc.: Hauppauge, NY, USA, 2007; ISBN 9781606926260. [Google Scholar]
- Goswami, Y.D. Principles of Solar Engineering, 3rd ed.; CRC Press: Boca Raton, FL, USA, 2015; ISBN 1466563796. [Google Scholar]
- Johnson, D.C. Red Rock Energy. Available online: http://www.redrok.com (accessed on 22 March 2017).
- Hakkarainen, E.; Kannari, L. Dynamic Modelling of Concentrated Solar Field for Thermal Energy Storage Integration. In Proceedings of the 9th International Renewable Energy Storage Conference (IRES 2015), Düsseldorf, Germany, 9–11 March 2015. [Google Scholar]
- Abbas, R.; Montes, M.J.; Piera, M.; Martínez-Val, J.M. Solar radiation concentration features in Linear Fresnel Reflector arrays. Energy Convers. Manag. 2012, 54, 133–144. [Google Scholar] [CrossRef]
- Sun, J.; Liu, Q.; Hong, H. Numerical study of parabolic-trough direct steam generation loop in recirculation mode: Characteristics, performance and general operation strategy. Energy Convers. Manag. 2015, 96, 287–302. [Google Scholar] [CrossRef]
- Häberle, A. Linear Fresnel Collectors. In Encyclopedia of Sustainability Science and Technology; Meyers, R.A., Ed.; Springer: New York, NY, USA, 2012; pp. 6031–6037. ISBN 978-1-4419-0851-3. [Google Scholar]
- Nixon, J.D.; Davies, P.A. Cost-exergy optimisation of linear Fresnel reflectors. Sol. Energy 2012, 86, 147–156. [Google Scholar] [CrossRef]
- Abbas, R.; Muñoz-Antón, J.; Valdés, M.; Martínez-Val, J.M. High concentration linear Fresnel reflectors. Energy Convers. Manag. 2013, 72, 60–68. [Google Scholar] [CrossRef]
- Bernhard, R.; Laabs, H.-J.; de LaLaing, J.; Eickhoff, M. Linear Fresnel Collector Demonstration on the PSA, Part I—Design, Construction and Quality Control. In Proceedings of the 14th International SolarPACES Symposium, Las Vegas, NV, USA, 4–7 March 2014; pp. 1–10. [Google Scholar]
- Klychev, S.I.; Abdurakhmanov, A.A.; Kuchkarov, A.A. Optical-geometric parameters of a linear Fresnel mirror with flat facets. Appl. Sol. Energy 2014, 50, 168–170. [Google Scholar] [CrossRef]
- Singh, P.L.; Ganesan, S.; Yàdav, G.C. Technical note: Performance study of a linear Fresnel concentrating solar device. Renew. Energy 1999, 18, 409–416. [Google Scholar] [CrossRef]
- Montes, M.J.; Rubbia, C.; Abbas, R.; Martínez-Val, J.M. A comparative analysis of configurations of linear fresnel collectors for concentrating solar power. Energy 2014, 73, 192–203. [Google Scholar] [CrossRef]
- Barale, G.; Heimsath, A.; Nitz, P.; Toro, A. Optical design of a linear fresnel collector for sicily. In Proceedings of the 16th SolarPACES International Symposium Perpignan, Perpignan, France, 21–24 September 2010. [Google Scholar]
- Winston, R.; Miñano, J.; Benítez, P. Nonimaging Optics, 1st ed.; Elsevier: Amsterdam, The Netherlands, 2005; ISBN 0127597514. [Google Scholar]
- Chaves, J. Introduction to Nonimaging Optics, 2nd ed.; CRC Press: New York, NY, USA, 2017; ISBN 9781138747906. [Google Scholar]
- Zhu, G. Development of an analytical optical method for linear Fresnel collectors. Sol. Energy 2013, 94, 240–252. [Google Scholar] [CrossRef]
- Pettit, R.B.; Vittitoe, C.N.; Biggs, F. Simplified Calculational Procedure for Determining the Amount of Intercepted Sunlight in an Imaging Solar Concentrator. J. Sol. Energy Eng. 1983, 105, 101–107. [Google Scholar] [CrossRef]
- Yang, F.; Itskhokine, D.; Benmarraze, S.; Benmarraze, M.; Hofer, A.; Lecat, F.; Ferrière, A. Acceptance Testing Procedure for Linear Fresnel Reflector Solar Systems in Utility-Scale Solar Thermal Power Plants. Energy Procedia 2015, 69, 1479–1487. [Google Scholar] [CrossRef]
- Karathanasis, S. Linear Fresnel Reflector Systems for Solar Radiation Concentration: Theoretical Analysis, Mathematical Formulation and Parameters’ Computation Using MATLAB; Springer Nature: Berlin/Heidelberg, Germany, 2019; ISBN 9783030052799. [Google Scholar]
- Morin, G.; Platzer, W.; Eck, M.; Uhlig, R.; Haberle, A.; Berger, M. Road map towards the demonstration of a linear Fresnel collector using single tube receiver. In Proceedings of the International Symposium on Concentrated Solar Power and Chemical Energy Technologies, Seville, Spain, 20–23 June 2006. [Google Scholar]
- Morin, G.; Platzer, W.; Strelow, M.; Leithner, R. Techno-economic system simulation and optimization of solar thermal power plants. In Proceedings of the 14th International SolarPACES Symposium on Solar Thermal Concentrating Technologies, Las Vegas, NV, USA, 4–7 March 2008. [Google Scholar]
- Platzer, W.; Heimsath, A.; Hülsey, H. Parameter identification technique for the determination of optical efficiency of concentrating collectors. In Proceedings of the 15th International SolarPACES Symposium on Solar Thermal Concentrating Technologies, Berlin, Germany, 15–18 September 2009. [Google Scholar]
- Abbas, R. Towards Cost Reduction in Concentrating Solar Power: Innovative Design for an Efficient Fresnel Based Solar Field; Universidad Politécnica de Madrid: Madrid, Spain, 2015. [Google Scholar]
- González-Mora, E.; Rincón-Mejía, E.A. Conceptos Básicos De La Concentración Solar. Notas De Clase; FI-UAEM: Toluca, México, 2018; p. 130. [Google Scholar]
- Rabl, A. Active Solar Collectors and Their Applications; Oxford University Press: Oxford, UK, 1985; ISBN 9780195365214. [Google Scholar]
- Rabl, A.; Goodman, N.B.; Winston, R. Practical design considerations for CPC solar collectors. Sol. Energy 1979, 22, 373–381. [Google Scholar] [CrossRef]
- Carvalho, M.J.; Collares-Pereira, M.; Gordon, J.M.; Rabl, A. Truncation of CPC solar collectors and its effect on energy collection. Sol. Energy 1985, 35, 393–399. [Google Scholar] [CrossRef]
- Rincón Mejía, E.A.; Durán García, M.D.; Lentz Herrera, Á. New Solar Air Heater Based on Non-Imaging Optics for High-Temperature Applications. In Proceedings of the ASME 2009 3rd International Conference on Energy Sustainability, San Francisco, CA, USA, 19–23 July 2009; Volume 2, pp. 839–844. [Google Scholar]
- Wendelin, T. SolTRACE: A New Optical Modeling Tool for Concentrating Solar Optics. In Proceedings of the International Solar Energy Conference, Kohala Coast, HI, USA, 15–18 March 2003. [Google Scholar]
© 2020 by the authors. Licensee MDPI, Basel, Switzerland. This article is an open access article distributed under the terms and conditions of the Creative Commons Attribution (CC BY) license (http://creativecommons.org/licenses/by/4.0/).















