Abstract
Passive direct methanol fuel cells (pDMFCs) are promising devices to replace the conventional batteries in portable electronic devices, due to their higher energy densities, autonomies, and instant recharging. However, some challenges, such as their costs, efficiency, and durability, need to be overcome before their commercialization. Towards that, this work presents the effect of the anode diffusion layer (ADL) properties on the performance of a pDMFC using a membrane electrode assembly (MEA) with reduced loadings on both anode and cathode catalysts (3 mg/cm2 Pt/Ru on the anode and 1.3 mg/cm2 of Pt on the cathode). The pDMFC behavior was evaluated through polarization and electrochemical impedance spectroscopy measurements, which allow identifying and quantifying the different losses that affect these systems. The results showed better performances when a diffusion layer with a dual-layer structure was used using higher methanol concentrations. The maximum power density achieved was 3.00 mW/cm2, using carbon cloth with a microporous layer, CC_MPL, as ADL, and a methanol concentration of 5 M. In this work, a tailored and low-cost MEA, using the materials available in the market, was proposed to achieve higher performances working under higher methanol concentrations. This work demonstrates that performing modifications on the fuel cell structure/design is an efficient way to achieve optimized performances.
1. Introduction
In emerging countries and rural areas where the grids are unreliable, small and decentralized power systems are seen as a promising power solution to provide the power needed by the population. Among these systems, fuel cells (FCs) are in the Energy Agenda since were target as the ideal technology to provide power to education, auxiliary and back-up power systems, recreational, medical, and military applications. Furthermore, compact and small FCs, which use methanol as fuel, known as direct methanol fuel cells (DMFCs), emerge as a promising solution to develop advanced small and portable FCs to overcome the limitations of the conventional batteries, providing back-up and small-decentralized power. Additionally, a passive DMFC produces electricity without power consumption, since uses natural forces, such as diffusion and convection to achieve all the processes that occur in a working fuel cell. Hence, these systems are simpler and more compact being for these reasons more suitable for providing energy for portable and small power sources. However, significant efforts should be done towards its commercialization in order to overcome its different scientific challenges, which include its higher costs, due to the use of noble metals as catalysts with higher loadings (usually, 4 mg/cm2 Pt/Ru and 4 mg/cm2 of Pt), and lower power outputs, due to the slow electrochemical reactions that occur on both sides of the cell and methanol crossover from the anode to the cathode side [1,2]. In order to overcome these challenges, different approaches such as improving the cell performance through changes on the different components structure and materials have been studied [2,3,4,5,6,7,8,9,10,11,12,13,14,15,16].
Although the diffusion layers (DLs) do not have a direct contribution on the electrochemical reactions, they provide the reactants access to the catalyst layers (CLs), remove the products and heat, and electrically connect the catalyst layers to the current collectors and the mechanical support to the membrane electrode assembly (MEA). Therefore, the DLs should be electrically and thermally conductive and porous to allow the reactants transport and products removal and rigid to support the MEA, but should also have some flexibility to provide a good electrical contact. Carbon-based materials, such as carbon paper and carbon cloth, have been widely used as DL in pDMFCs, since they met all the DL requirements. Additionally, the DLs may have a single-layer structure or a dual-layer structure, where one layer is similar to the one of the single-layer, backing layer (BL), and the other is a microporous layer (MPL). The BL allows the reactants diffusion and give mechanical support to the DL, whereas the MPL allows a uniform distribution of the reactants on the catalyst layer surface, decreasing the contact resistance between the CL and the BL. Therefore, the MPL must be porous to allow the reactants access and the products removal and should be electrically and thermally conductive.
It is commonly accepted that the structural parameters of the DLs that have a clear effect on the pDMFC behavior are its thickness (linked to the mass transport resistance), its porosity (related to the species transport), and its wettability and roughness (responsible for the droplet/bubble attachment on the DL). Therefore, DLs with different structures, thicknesses, porosities, permeabilities, and surface wettability will have different transport characteristics and will lead to a different fuel cell behavior [2,3,4,5,6,7,8,9,10,11,12,13,14,15,16].
Based on that, the aim of this work was to analyze the effect of the anode diffusion layer (ADL) characteristics (thickness, material, and structure) on the performance of a pDMFC using a low-cost MEA, through the reduction of the catalyst loading on the anode and cathode sides. The loadings used were 3 mg/cm2 Pt/Ru at the anode and 1.3 mg/cm2 of Pt at the cathode, instead of the usual 4 mg/cm2 at both sides [3].
Most of the work, concerning the experimental evaluation of the behavior of a pDMFC have been limited to the evaluation of the polarization curves, which are very useful in pointing out the different losses that negatively affect the fuel cell behavior, but fail on evaluating the impact of each one, as the information given by the polarization curves is a sum of the various losses. Contrariwise, the electrochemical impedance spectroscopy (EIS) measurements allow the determination/quantification of each loss that affect the fuel cell behavior [17,18,19,20]. Such evaluation signalizes the major parameters that have a negative impact on the cell performance, such as the methanol crossover, and provides useful information for its optimization [19,20]. In this work, EIS measurements were carried out as a complementary diagnostic tool, to evaluate the effect of using different ADLs, with different materials, thicknesses, and structures on the performance of a pDMFC.
2. Materials and Methods
2.1. Fuel Cell Layout and Experimental Conditions
The cell used in the experimental studies has an active area of 25 cm2 and is composed by an acrylic end plate, an isolating rubber plate, and a stainless-steel current collector, with an open ratio of 41%, on both anode and cathode sides (Figure 1). The anode end plate has a reservoir of 12.5 cm3 and the cathode end plate an open window frame of 25 cm2. A 3-layer MEA was used, acquired to QuinTech, with a Nafion 117 membrane, and 3 mg/cm2 of Pt/Ru and 1.3 mg/cm2 of Pt as, respectively, anode and cathode catalysts. At the ADL, different carbon-based materials with different properties, such as DL structure, porosity, and thickness, were tested. Four of them were made of carbon cloth and were designated as CC (carbon cloth without MPL; thickness: 0.4 mm; porosity: 0.83), CC_T (carbon cloth without MPL; thickness: 0.425 mm; porosity: 0.83), CC_MPL (carbon cloth with MPL; thickness: 0.41 mm; porosity: 0.80), and CC_MPL_ELAT (carbon cloth with MPL; thickness: 0.454 mm; porosity: 0.63). In addition, four different carbon papers, CP (carbon paper without MPL and PTFE treated, 20 (±5) wt. %; thickness: 0.11 mm; porosity: 0.78), CP_T (carbon paper without MPL and PTFE treated, 20 (±5) wt. %; thickness: 0.19 mm; porosity: 0.78), CP_MPL (carbon paper with MPL; thickness: 0.24 mm; porosity: 0.80), and CP_MPL_T (carbon paper with MPL; thickness: 0.34 mm; porosity: 0.80) were tested. As cathode DL, carbon cloth, CC was used. The DLs with an MPL have a PTFE treatment of 15–20 wt% and the microporous layer has 25–30 wt% of PTFE as the binder.
Figure 1.
“In-house” passive direct methanol fuel cell (DMFC).
All the materials tested as DLs were supplied by QuinTech and FuelCellsEtc. The anode and cathode diffusion layers were pressed in the 3-layer MEA when assembling the fuel cell. All the tests were performed at ambient conditions.
2.2. Electrochemical Measurements
The electrochemical tests, polarization, and EIS measurements were executed in an electrochemical workstation, ZAHNER-elektrik GmbH & Co. KG (Kronach, Germany). For each experimental condition tested, the polarization curves were performed after filling the anodic reservoir and leaving the cell at the open circuit conditions for 15 min, to ensure its operation at steady state conditions. As these measurements were performed galvanostatically, the current applied range was from 0 to the maximum current allowed by the fuel cell, cell voltage near to zero. At each imposed current, the cell was operated for 3 min to reach steady state conditions, after that the cell voltage was measured and the power calculated. For each set of conditions tested, experiments were performed until obtaining at least two similar results, a relative error between two readings below 10%. Between each test the cell was refilled with a fresh methanol solution.
The EIS tests were performed in-situ, at different fuel cell voltages, a frequency range from 10 mHz to 100 kHz, and an amplitude of 10 mV. The tests procedure used in the EIS measurements was performed with a pDMFC working with methanol and air at, respectively, the anode and cathode sides, to obtain the cell spectrum (Figure 2) and then replaced the air at the cathode by hydrogen to perform the half-cell measurements. This is a common procedure in pDMFC systems since the use of a reference electrode is very difficult. As the losses associated with hydrogen were despicable, all the data obtained in the half-cell measurements was attributed to the working electrode, which in this case was the anode. Comparing the half-cell measurements with the overall cell ones, it was possible to access the cathode behavior [17,18,19,20]. This practice allowed selecting the optimal equivalent electric circuit (EEC) for the pDMFC under study (Figure 3) [19,20]. The EEC was then fitted to the overall impedance spectrum, represented by a Nyquist plot (Figure 2) to obtain the resistances that have a negative impact on the pDMFC performance.
Figure 2.
Overall passive direct methanol fuel cells (pDMFC) spectrum for a methanol concentration of 1 M and different voltages; dots represent electrochemical impedance spectroscopy (EIS) data and lines represent equivalent electric circuit (EEC) fitting.
Figure 3.
Equivalent electric circuit (EEC).
3. Results and Discussion
In this section, the experimental results regarding the effect of the ADL properties on the pDMFC behavior analyzed through polarization and EIS measurements are presented. In the first part of the section, the impedance data are analyzed using a chosen set of values that present the same trends and patterns of the remaining ones, and the quality of the EEC fitting is shown. Then, the effect of the ADL characteristics on the fuel cell behavior is presented. At the end of this section, an economic evaluation is provided based on the different materials used as ADL.
3.1. EIS Measurements
As referred, the EIS measurements are performed as a complementary diagnostic technique to evaluate the electrochemical systems, since it delivers specific information about the system under study, allowing the identification and quantification of the different losses/resistances that affect the pDMFC behavior. In this work, the EIS data are represented in a Nyquist plot (Figure 2), where the real impedance (Zre) is plotted against the imaginary one (Zim).
The nature of each spectrum allows detecting the phenomena that affect the fuel cell behavior and selecting the electrical elements and/or combinations of them that will be used on the development of the EEC, which represents the system under study. As known, at the high frequency region, the impedance spectrum is characterized by a point, none as the high-frequency resistance (HFR), where the plot intercepts the real impedance axis that symbolizes the ohmic resistance [17,18]. This loss is time independent, is expressed by the Ohm’s law, and is represented in the equivalent electrical circuit by a resistor, ROhm, as displayed in Figure 3. The other two regions, medium- and low-frequency regions, are characterized by an arc that represents, respectively, the activation resistance/losses, which decrease with a decrease of the fuel cell voltage, and the concentration resistance/losses, which increase with a decrease of the fuel cell voltage [17,18]. These arcs are represented in the EEC through a resistor (R) in parallel with a constant phase element (CPE), related to the capacitance properties of the double-layer interfaces (Figure 3).
Nevertheless, it should be mentioned that in some systems, such as the one under study, it is not possible to identify the concentration losses, since all the resistances decrease with a decrease of the fuel cell voltage (Figure 2 and Table 1), a characteristic behavior of the activation losses. Thus, the arcs in the medium- and low-frequency regions of the impedance spectrum presented in Figure 2, are due to activation losses, where the resistance decrease with a decrease of the voltage [19,20]. After concluding that, it is mandatory to connect each activation loss with the various phenomena that occur in a pDMFC. The activation resistance/losses are directly related to the electrochemical reactions that occur in a DMFC, which in an ideal situation are the methanol oxidation reaction (MOR) at the anode side (RA) and the oxygen reduction reaction (ORR) at the cathode side (RC). However, as known, in a working DMFC, an additional electrochemical reaction occurs at the cathode side, the methanol oxidation reaction, due to the methanol that crosses the membrane from the anode to the cathode side (RCrossover). Additionally, as the methanol crossover rate decreases with a decrease of the fuel cell voltage [21], the crossover losses also decrease, as can be corroborated by the RCrossover values presented in Table 1.
Table 1.
EIS data estimated from the equivalent electric circuit (EEC) proposed in Figure 3; methanol concentration: 1 M.
Based on the EIS spectrum obtained for the different voltages tested and its interpretation/analyses, the EEC that characterizes the system under study, pDMFC, is composed by a resistance in series with three parallel circuits, each one representing one arc of the Nyquist plot, composed by a resistance and a CPE (Figure 3).
As presented in Figure 2, a good agreement between the EEC proposed in this work and the impedance data was achieved, showing that the EEC used reproduces with exactness the pDMFC. These results are new and groundbreaking, allowing a way to access the crossover losses through the EIS measurements.
As the EIS data for all the conditions tested presented the same behavior/trends, only the EIS data for a voltage of 0.2 V (voltage near to the maximum power density obtained for each condition tested) will be shown in the next subsections.
3.2. Carbon Cloth as Anode DL
Figure 4 shows the polarization curves of a pDMFC using four different carbon cloths as ADL for different methanol concentrations. The values of the resistances in the EEC, at 0.2 V and at the different methanol concentrations tested, as well as the maximum power density achieved for each configuration are shown in Table 2. The plots presented in Figure 4 put in evidence that it was only possible to operate the cell with higher methanol concentrations, 7 M, without a significant loss of performance, when using carbon cloth with a dual-layer structure, CC_MPL and CC_MPL_E. The MPL favors the fuel distribution on the catalyst surface increasing the anode electrochemical rate and therefore, decreasing the anode overpotential (RA). Additionally, as more methanol reacts on the anode side, less methanol crosses the membrane towards the cathode side, decreasing the methanol crossover rate and consequently, the cathode activation losses due to methanol crossover (RCrossover), as can be seen in Table 2. This also leads to a reduction of the cathode activation losses (RC), since the cathode catalyst poisoning by the undesired methanol oxidation reaction is less severe, leading to more available active sites for the oxygen reduction reaction. Regarding the carbon cloths with a single structure tested, for lower methanol concentrations (1 and 2 M), better performances were achieved with the carbon cloth with the lower thickness (CC), which showed lower RCrossover values (Table 2). However, with an increase of the methanol concentration, the performance increases when a carbon cloth with a higher thickness (CC_T) was used as ADL.
Figure 4.
Effect of using carbon cloth with different properties as ADL on the cell performance; methanol concentrations: (a) 1 M, (b) 2 M, (c) 3 M, (d) 5 M, and (e) 7 M.
Table 2.
Electrochemical impedance spectroscopy (EIS) data estimated from the EEC proposed in Figure 3 for different carbon cloths as anode diffusion layer (ADL) and the maximum power density achieved for each condition.
As already mentioned, the thickness and porosity of the DLs are very important parameters that have a remarkable effect on the cell performance, since are responsible for the transport of different species towards the catalyst layer and out of the cell. As expected, a higher thickness will lead to a higher transport resistance through this layer, but will also lead to a more inform distribution of the fuel along the catalyst layer. This will conduct to an increase of the fuel oxidation rate, a decrease of the anode activation losses (RA) and of the methanol crossover rate (RCrossover), as can be verified in Table 2.
Despite the fact that the methanol crossover increases with the methanol concentration, which can be confirmed by a decrease of the open circuit-voltage with the methanol concentration (Figure 4), an increase of the methanol concentration until a maximum value (in this work was 5 M) also lead to an increase of the amount of fuel that reaches the catalyst layer, increasing its oxidation rate and consequently decreasing the anode activation losses (RA). Under these conditions, the cathode activation losses (RC) also decrease, since less methanol crosses the membrane towards the cathode side and reacts on this side (RCrossover). Based on the results presented in Figure 4 and Table 2, the best performance, 3.00 mW/cm2, was achieved using a carbon cloth with a dual-layer structure, CC_MPL, as ADL and with a methanol concentration of 5 M.
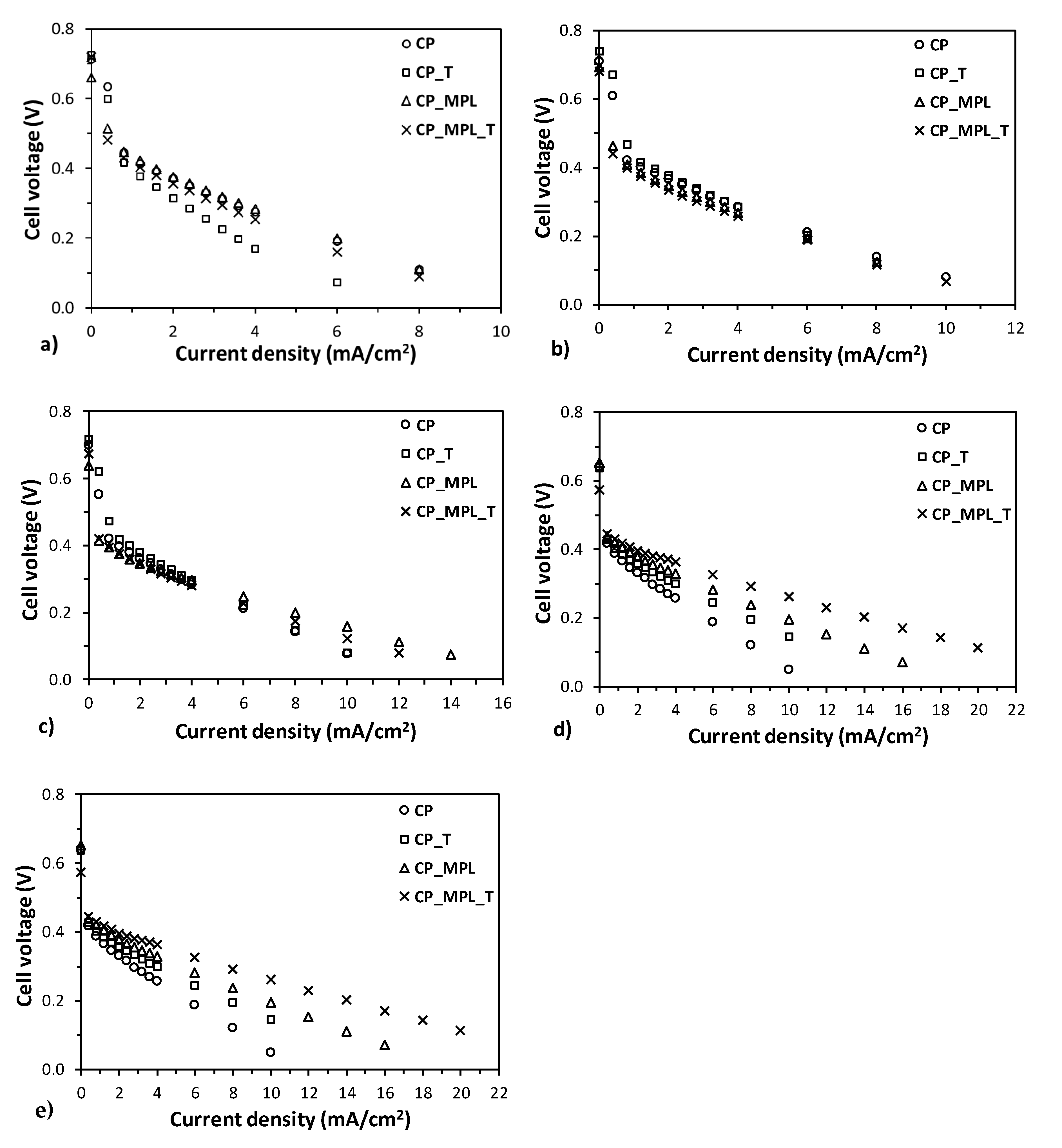
3.3. Carbon Paper as Anode DL
The effect of carbon paper as ADL in a passive DMFC was also studied in this work, using four different types of carbon papers with different properties. Figure 5 shows the polarization curves for the different carbon papers tested and for different methanol concentrations. Likewise, in the previous subsection, regarding the carbon cloth properties, carbon cloth was used as cathode DL for all the conditions tested. The different resistances of the EEC, at a voltage of 0.2 V, and the maximum power density achieved for each configuration are presented in Table 3.
Figure 5.
Effect of using carbon paper with different properties as ADL on the cell performance; methanol concentrations: (a) 1 M, (b) 2 M, (c) 3 M, (d) 5 M, and (e) 7 M.
Table 3.
EIS data estimated from the EEC proposed in Figure 3 for different carbon papers as ADL and the maximum power density achieved for each condition.
When carbon cloth was used as ADL, the best results were achieved with a CP with a dual-layer structure, CP_MPL and CP_MPL_T. These results are in accordance to what is expected, since this dual-layer structure allowed increasing the carbon paper porosity, which favors the methanol supply and distribution on the catalyst layer surface, increasing its oxidation rate on de anode catalyst (RA), decreasing its crossover rate and the overall cathode activation losses (RC and RCrossover). Additionally, the carbon papers with MPL presented lower ohmic losses, ROhm, (Table 3), since an MPL is also used to decrease the contact resistance between the BL and the catalyst layer.
As can be seen by the results presented in this subsection, the use of CP_MPL as ADL allowed running the pDMFC with a methanol concentration of 9 M. However, the power density was lower than one achieved with 7 M and the same ADL, and the best one was achieved with CP_MPL_T, due to an increase of the methanol crossover rate that lead to an increase of the cathode activation resistance due to methanol crossover (RCrossover).
3.4. Economic Evaluation
To reach its commercialization and massive use, the pDMFCs must be cost competitive and have an overall cost, which include material, manufacturing, operating, and maintenance costs, similar to the technologies that they will replace, i.e., batteries. Among these costs, the material ones are responsible for the major fraction on these systems’ total costs. Regarding them, it is known that the catalysts presented in the catalyst layers are the major components responsible for its higher value. Additionally, as the pDMFCs efficiency is limited by the electrochemical reaction rates occurring at both anode and cathode sides, which are very slow, to achieve the power outputs needed for real applications, the catalyst loadings recommended for these systems are approximately 4 mg/cm2 at the anode and 4 mg/cm2 at the cathode of Pt and Pt-based catalyst that are costly. However, for some specific applications, where the power requirements are not so demanding, a sustainable solution towards the reduction of the system costs is to use lower amounts of the noble metals, such as Pt and Pt/Ru. Having this approach in mind, one of the goals of this work was to optimize the performance of a pDMFC by testing different carbon-based materials as ADL, with different properties and costs, and using a 3-layer membrane with lower loadings on both catalyst layers.
The costs of the different ADLs tested are presented in Table 4. These costs were used to estimate the costs of two different 5-layer MEAs, for each ADL and using CC as cathode DL. One of them (5-layer MEA) has the state-of-the-art catalyst loadings (4 mg/cm2 Pt/Ru and 4 mg/cm2 Pt) and the other (5-layer low-cost MEA) lower loadings (3 mg/cm2 Pt/Ru and 1.3 mg/cm2 Pt). These values can be also found in Table 4.
Table 4.
Costs of the carbon-based materials tested as ADL, the 5-layer low-cost membrane electrode assembly (MEA) (3 mg/cm2 Pt/Ru and 1.3 mg/cm2 Pt), the 5-layer MEA (4 mg/cm2 Pt/Ru and 4 mg/cm2 Pt), and cost reduction using the low-cost MEA: active area 25 cm2.
As shown in Table 4, concerning the costs of the most commonly materials used as ADL, CP has a higher price/cm2 than CC. However, as shown in Table 4, these materials with a dual-layer structure have similar prices, with the exception of CC_MPL_E that has a higher cost. Additionally, as higher performances were obtained using an ADL with a dual-layer structure for the two carbon-based materials tested, CC and CP (Figure 4 and Figure 5, Table 2 and Table 3), due to enhanced reaction rates and lower methanol crossover rates, towards an optimal balance between the cell performance and costs, these materials should be preferred.
Comparing the two 5-layer MEAs, it can be seen that the one proposed in this work allowed a cost reduction of 12%. However, as already mentioned, this MEA can only be used in some particular applications, where the power requirements are not very demanding.
4. Conclusions
A major challenge on the development of pDMFC systems towards its implementation in the market is to use cost-effective materials with attractive performances. Therefore, it is mandatory to use lower catalyst loadings, since the noble metals used as catalysts in these systems have higher costs, and operate de cell with higher methanol concentrations without significant losses of methanol to the cathode side. Having this in mind, the goal of this work was to test different carbon-based materials, carbon cloth and carbon paper, with different properties/structures as ADL in a pDMFC, using a MEA with lower catalyst loadings, towards its optimization in terms of performance and costs. The cell behavior was analyzed by polarization and EIS measurements, which permitted the assessment of each loss that affect the pDMFC behavior. Towards a quantification of these losses an innovative EEC proposed in this work was fitted to the EIS data, showing a good agreement with the experimental results and therefore, reproducing with accurateness the pDMFC under study.
The results revealed that better performances were achieved using ADLs with a dual-layer structure mainly due to an improvement of the methanol transport and methanol oxidation reaction rate on the anode side, oxygen reduction on the cathode side and a reduction of the contact resistance between the BL and the catalyst layer and on the methanol crossover rate. Additionally, the use of CCs with a dual-layer structure showed slightly higher performances that the CP ones.
In this work, a maximum power density of 3.00 mW/cm2, was achieved using CC_MPL as anode diffusion layer, a Nafion 117 membrane, an anode catalyst loading of 3 mg/cm2 of Pt/Ru and a cathode catalyst loading of 1.3 mg/cm2 of Pt, and a methanol concentration of 5 M. With this work, a tailored MEA, build-up with the commercially available materials for these systems, was proposed that allowed achieving a lower methanol crossover rate operating the cell with higher methanol concentrations and a cost reduction of 12%.
Author Contributions
Conceptualization, V.B.O. and A.M.F.R.P.; methodology, B.A.B.; formal analysis, B.A.B.; investigation, B.A.B.; resources, V.B.O. and A.M.F.R.P.; writing—original draft preparation, B.A.B.; writing—review and editing, V.B.O. and A.M.F.R.P.; supervision, V.B.O. and A.M.F.R.P.; funding acquisition, V.B.O. and B.A.B. All authors have read and agreed to the published version of the manuscript.
Funding
The support of “Coordenação de Aperfeiçoamento de Pessoal de Nível Superior, CAPES—Brazil” through the Ph.D. fellowship BEX 12997/13-7. This work was financially supported by: Project PTDC/EQU-EQU/32116/2017-POCI-01-0145-FEDER-032116—funded by FEDER funds through COMPETE2020—Programa Operacional Competitividade e Internacionalização (POCI) and by national funds (PIDDAC) through FCT/MCTES. POCI (FEDER) also supported this work via CEFT, project UID/EMS/00532/2019.

Conflicts of Interest
The authors declare no conflicts of interest.
References
- Kamarudin, S.; Achmad, F.; Daud, W.R.W. Overview on the application of direct methanol fuel cell (DMFC) for portable electronic devices. Int. J. Hydrogen Energy 2009, 34, 6902–6916. [Google Scholar] [CrossRef]
- Munjewar, S.S.; Thombre, S.B.; Mallick, R.K. Approaches to overcome the barrier issues of passive direct methanol fuel cell—Review. Renew. Sustain. Energy Rev. 2017, 67, 1087–1104. [Google Scholar] [CrossRef]
- Oliveira, V.; Pereira, J.P.; Pinto, A. Effect of anode diffusion layer (GDL) on the performance of a passive direct methanol fuel cell (DMFC). Int. J. Hydrogen Energy 2016, 41, 19455–19462. [Google Scholar] [CrossRef]
- Ong, B.; Kamarudin, S.; Masdar, M.; Hasran, U. Applications of graphene nano-sheets as anode diffusion layers in passive direct methanol fuel cells (DMFC). Int. J. Hydrogen Energy 2017, 42, 9252–9261. [Google Scholar] [CrossRef]
- Falcão, D.; Pereira, J.P.; Rangel, C.M.; Pinto, A. Development and performance analysis of a metallic passive micro-direct methanol fuel cell for portable applications. Int. J. Hydrogen Energy 2015, 40, 5408–5415. [Google Scholar] [CrossRef]
- Zago, M.; Casalegno, A.; Bresciani, F.; Marchesi, R. Effect of anode MPL on water and methanol transport in DMFC: Experimental and modeling analyses. Int. J. Hydrogen Energy 2014, 39, 21620–21630. [Google Scholar] [CrossRef]
- Wu, Q.; Zhao, T.; Chen, R.; Yang, W. Effects of anode microporous layers made of carbon powder and nanotubes on water transport in direct methanol fuel cells. J. Power Sources 2009, 191, 304–311. [Google Scholar] [CrossRef]
- Yuan, T.; Zou, Z.; Chen, M.; Li, Z.; Xia, B.; Yang, H. New anodic diffusive layer for passive micro-direct methanol fuel cell. J. Power Sources 2009, 192, 423–428. [Google Scholar] [CrossRef]
- Oliveira, V.; Falcão, D.; Rangel, C.M.; Pinto, A. Water management in a passive direct methanol fuel cell. Int. J. Energy Res. 2012, 37, 991–1001. [Google Scholar] [CrossRef]
- Li, X.; Faghri, A.; Xu, C. Water management of the DMFC passively fed with a high-concentration methanol solution. Int. J. Hydrogen Energy 2010, 35, 8690–8698. [Google Scholar] [CrossRef]
- Park, Y.-C.; Kim, D.-H.; Lim, S.; Kim, S.-K.; Peck, D.-H.; Jung, D.-H. Design of a MEA with multi-layer electrodes for high concentration methanol DMFCs. Int. J. Hydrogen Energy 2012, 37, 4717–4727. [Google Scholar] [CrossRef]
- Wu, Q.; An, L.; Yan, X.; Zhao, T. Effects of design parameters on the performance of passive direct methanol fuel cells fed with concentrated fuel. Electrochim. Acta 2014, 133, 8–15. [Google Scholar] [CrossRef]
- Zainoodin, A.; Kamarudin, S.; Masdar, M.; Daud, W.R.W.; Mohamad, A.; Sahari, J. High power direct methanol fuel cell with a porous carbon nanofiber anode layer. Appl. Energy 2014, 113, 946–954. [Google Scholar] [CrossRef]
- Yuan, T.; Yang, J.; Wang, Y.; Ding, H.; Li, X.; Liu, L.; Yang, H. Anodic diffusion layer with graphene-carbon nanotubes composite material for passive direct methanol fuel cell. Electrochim. Acta 2014, 147, 265–270. [Google Scholar] [CrossRef]
- Yuan, W.; Zhou, B.; Hu, J.; Deng, J.; Zhang, Z.; Tang, Y. Passive direct methanol fuel cell using woven carbon fiber fabric as mass transfer control medium. Int. J. Hydrogen Energy 2015, 40, 2326–2333. [Google Scholar] [CrossRef]
- Yan, X.; Gao, P.; Zhao, G.; Shi, L.; Xu, J.; Zhao, T. Transport of highly concentrated fuel in direct methanol fuel cells. Appl. Therm. Eng. 2017, 126, 290–295. [Google Scholar] [CrossRef]
- Piela, P.; Fields, R.; Zelenay, P. Electrochemical Impedance Spectroscopy for Direct Methanol Fuel Cell Diagnostics. J. Electrochem. Soc. 2006, 153, A1902. [Google Scholar] [CrossRef]
- Pinto, A.M.; Oliveira, V.B.; Falcão, D.S. Direct Alcohol Fuel Cells for Portable Application; Elsevier: Amsterdam, The Netherlands, 2018; ISBN 9780128118498. [Google Scholar]
- Braz, B.; Moreira, C.; Oliveira, V.; Pinto, A. Effect of the current collector design on the performance of a passive direct methanol fuel cell. Electrochim. Acta 2019, 300, 306–315. [Google Scholar] [CrossRef]
- Braz, B.; Oliveira, V.; Pinto, A. Experimental studies of the effect of cathode diffusion layer properties on a passive direct methanol fuel cell power output. Int. J. Hydrogen Energy 2019, 44, 19334–19343. [Google Scholar] [CrossRef]
- Oliveira, V.; Rangel, C.M.; Pinto, A. One-dimensional and non-isothermal model for a passive DMFC. J. Power Sources 2011, 196, 8973–8982. [Google Scholar] [CrossRef]
© 2020 by the authors. Licensee MDPI, Basel, Switzerland. This article is an open access article distributed under the terms and conditions of the Creative Commons Attribution (CC BY) license (http://creativecommons.org/licenses/by/4.0/).




