Next Article in Journal
Simulation of the GOx/GCH4 Multi-Element Combustor Including the Effects of Radiation and Algebraic Variable Turbulent Prandtl Approaches
Next Article in Special Issue
Photovoltaics- and Battery-Based Power Network as Sustainable Source of Electric Power
Previous Article in Journal
Game-Theory Based V2G Coordination Strategy for Providing Ramping Flexibility in Power Systems
Previous Article in Special Issue
Application of Optimal Energy Management Strategies for a Building Powered by PV/Battery System in Corsica Island
 
 
Font Type:
Arial Georgia Verdana
Font Size:
Aa Aa Aa
Line Spacing:
Column Width:
Background:
Article

Comparison of Profitability of PV Electricity Sharing in Renewable Energy Communities in Selected European Countries

Institute of Energy Systems and Electrical Drives, TU Wien, Gußhausstraße 25-29/E37003, 1040 Vienna, Austria
*
Author to whom correspondence should be addressed.
Energies 2020, 13(19), 5007; https://doi.org/10.3390/en13195007
Submission received: 18 August 2020 / Revised: 14 September 2020 / Accepted: 21 September 2020 / Published: 23 September 2020
(This article belongs to the Special Issue Assessment of Photovoltaic-Battery Systems)

Abstract

The economic value of photovoltaic (PV) systems depends on country-specific conditions. This study investigates the impact of grid fees, solar irradiance and local consumption on the profitability and penetration of PV systems and batteries in renewable energy communities. The linear optimization model calculates the optimal investments into PV and storages applied on a test community, which represents the European housing situation. The comparison of eight countries considers individual heat and cooling demands as well as sector coupling. Results show that renewable energy communities have the potential to reduce electricity costs due to community investments and load aggregation but do not necessarily lead to more distributed PV. Besides full-load hours, the energy component of electricity tariffs has the highest impact on PV distribution. Under current market conditions, battery energy storage systems are rarely profitable for increasing PV self-consumption but there is potential with power pricing. Renewable energy communities enable individuals to be a prosumer without the necessity of owning a PV system. This could lead to more (community) PV investments in the short term. Hence, it hinders investments in a saturated PV market.

1. Introduction

1.1. Motivation

In order to decrease carbon emissions in electricity generation, photovoltaic (PV) systems will provide significant shares within the future renewable energy technology portfolio [1]. The penetration of PV systems will be accelerated with their profitability. In the past, financial support systems triggered early PV system installations. Due to cost reduction of PV systems they have become profitable in many cases without financial support. In some cases, PV systems will be profitable by collaborative consumption and/or electricity generation organized as Renewable Energy Communities (REC) [2]. In case the public grid is used for exchanging electric energy within the community, grid fees might apply, which has a significant impact on its economic feasibility. Besides price and solar radiance, the profitability of PV systems also depends on the relevant electric load to be matched with PV generation.
The European Union (EU) has ambitious goals of substituting a large share of fossil fuels in heating, cooling and the mobility sector. Renewable electricity driven sector-coupling technologies are qualified to deliver the corresponding cleaner energy services in these sectors [3]. The higher efficiencies associated with the new technologies (e.g. electric vehicles (EVs), heat pumps) result in transport and temperature-regulating services having a reduced primary energy consumption, as the energy demand is shifted towards electricity. Hence, the electricity demand in those sectors will increase [1]. The increased electricity demand, combined with load-shifting, can lead to higher (local) self-consumption and therefore higher profitability. In addition, batteries can shift inflexible loads towards times of PV generation to increase the self-consumption ratio as well.

1.2. State of the Art

At first, PV systems were profitable due to highly subsidized feed-in tariffs [4]. With the decreasing costs of PV systems, feed-in tariffs have been approximated to the market price or will completely be replaced by the market. As a result, the focus is no longer on maximizing PV production, but on maximizing self-consumption to reduce procurement costs. This does not apply to electricity tariffs with net metering, wherein PV systems can be sized to cover the total (e.g., annual net) consumption. REC have the ability to increase the self-consumption of a community.
The term “Energy Communities” is quite new compared to microgrids. While microgrids are by definition physically connected [5], energy communities do not need to be. Microgrids can either be operated independently [6], as isolated grids, or as community microgrids, [7] with self-contained electricity supply systems that serve certain electric loads. There are some barriers of microgrids [8] which limit their unrestricted use.
The purpose of energy communities includes (i) decreasing the total electricity costs, as well as non-monetary goals, such as to (ii) ensure clean energy supply [9], (iii) to raise awareness and/or acceptance for renewable energies or (iv) to focus on greenhouse gas emission reductions [10]. Aggregation of multiple loads or consumers increase self-consumption and profitability due to temporal consumption differentiations. This occurs either within one building or complex, but can also be spatially distanced like in districts or villages. Research on energy communities in multi-apartment buildings focuses on the value of PV and possible arrangements [11] or on the optimal sharing of PV [12]. Further literature evaluates the impact of shared battery energy storage systems (BESS) on PV self-consumption and their profitability [13] or may involve multi-objective optimization, e.g., focusing on retrofitting PV on apartment buildings [14]. Other approaches include multi-objective optimization in reducing costs and emissions [15]. The management of many distributed energy resources (DER) and its storages in neighborly communities is analyzed in [16] with a dynamic pricing approach. Other literature analyzes the wholesale electricity market integration of prosumers, including storages [17], while [18] focuses on market design and flexibility in peer-to-peer (P2P) trading. P2P trading-preferences of prosumers are analyzed in [19]. The attitudes, preferences, and intentions of prosumers are considered in [20] when participating in P2P communities. A comprehensive review of P2P and community-markets can be found in [21]. While most research focuses on either microgrids or energy communities, [22] combine both approaches in P2P trading in microgrids. Further literature describes a method to determine P2P trading prices [23].
The Clean Energy Package provides a legal framework [3] within the European Union (EU) by defining Renewable Energy Communities (REC) [2] and Citizen Energy Communities (CEC) [24]. While RECs define energy communities, including renewable energy sources, CECs focus more on social and economic issues. Hence, both RECs and CECs are legal entities that allow the aggregation of energy [25].
There are already some implementations of P2P concepts. Most of them have in common that prosumers can set the price for excess electric energy sold, while the consumers can select a specific electricity generation source. Some market places are implemented and operated by platforms like Vandebron [26], OurPower [27] or Piclo [28]. Brooklyn Microgrid [29] is a platform, which allows New York citizens and local businesses to make real-time electricity transactions. Similar approaches are found in sonnenCommunity [30] and eFriends [31]. The project P2PQ [32] tests P2P trading based on blockchain technology, wherein a city neighborhood is optimized towards self-consumption. Blockchain is also used in the urban development area VIERTEL ZWEI in Vienna, Austria [33], wherein tenants share a community PV system. Flexidao [34] offers energy tracing based on blockchain technology. A comparative review of those concepts is found in Park et al. [35], whereby different approaches on P2P electricity trading are discussed. [36] provides a review on existing P2P trading projects.

1.3. Progress Beyond the State of the Art

In this study, all investments in PV systems and storages are based on monetary-optimal investments for each consumer or community. Hence, the community approach influences the PV and storage system sizes, which have the largest effect on the total costs. All investments are assumed to be subsidy-free, which allows transparent cost comparison of technology portfolios.
Picking random load profiles from individual consumers could lead to distinct results based on the input data. This study uses synthetically generated load profiles where the load of each consumer is simulated individually. The ensemble of the used load profiles represents the energy consumption according to the housing situation of Europeans in terms of people per household or accommodation size.
All countries have different characteristics in their energy and mobility needs. In addition, electricity prices, grid tariffs, taxes and other fees vary from country to country. This study includes these criteria of the different countries and thus allows a profitability comparison of renewable technologies and energy communities. The comparison of cost savings is relatively simple, but provides a significant added value by showing at a glance where the potential of PV and RECs currently lies.
The full-electric scenario represents the transition from a carbon-based society in transport, heat and cooling generation towards renewable electricity. Statistical data is used to represent the consumers’ energy needs for each country (heating, cooling, driven km/y), which takes not only individual energy costs but also country-dependent consumption into account.

1.4. Outline

The paper is structured as follows: Section 2 describes the methodology, the underlying optimization model as well as the used and generated input data for the countries Austria (AT), Belgium (BE), Germany (DE), Spain (ES), France (FR), Italy (IT), the Netherlands (NL) and Portugal (PT). The results of the different use-cases are presented in Section 3. Discussion and conclusions are shown in Section 4.

2. Materials and Methods

Based on the hybrid energy optimization model H E R O community (see Section 2.1), the electricity costs of a community are minimized by investing in optimal sized PV systems and batteries (BESS), as well as using heat storages for space heating and hot water.
The goal is to analyze different community configurations on costs and investments considering country specific conditions. The community has the advantage of investing together in assets and benefits from economies of scale and reduced grid tariffs for electric energy exchanged within the community. The comparison is achieved through calculating various scenarios for different investment and community set-ups as well in electric loads (Section 2.2).
The community was chosen to be representative for the average European housing situation. The community is a group of households and commercial consumers consisting of 23 individuals and 11 cars (see Figure 1). Each building has an individual limit for solar PV installations, nevertheless the community can invest into a standalone PV system if economically feasible.
The different European countries vary in outside temperature which impacts the cooling and heating demand, PV system efficiency and heat pump efficiency. The geographical coordinates of each reference city determines the hourly PV generation per PV module, as well as their optimal inclination. Statistical data determines the individual electricity consumption, hot water consumption and the kilometers driven per car. A summary of the different European input data can be found in Section 2.3. An overview of the variables used in the optimization model is shown in Figure 2. The model can optimize the overall costs of the community by neglecting grid fees for PV electricity shared within a building (Group 2) and reduced grid fees for electric energy shared while using the public grid (Group 3).

2.1. Optimization Problem and Nomenclature

The optimization model H E R O c o m m u n i t y is based on the framework H E R O [15], which allows portfolio- and investment optimization for individual consumers, as well as for communities. The original framework was extended by the capability of applying local grid tariffs within a community and community utilization of commonly used spaces. H E R O itself is based on the capacity expansion planning tool u r b s [37] and the capacity planning model for energy infrastructure networks r i v u s [38], using the Python frameworks P y o m o [39,40] and p a n d a s [41,42]. The objective is to minimize the total electricity costs of the whole community Equation (1).
min q , p , b , P ( t o t a l c o s t s ( c o m m u n i t y ) ) = min q , p , b , P i ( t o t a l c o s t s ( b u i l d i n g i ) )
The total costs for each building is shown in Equation (2). Equations (3) and (4) include the cost terms for PV systems and storages where investment, maintenance and operational costs apply for power, capacity, and installation in regard to their annuities and annual fixed costs. The maximum procurement peak power are considered in Equation (5) and annual fixed grid costs in Equation (6). Electricity which cannot be provided by the community is procured from the grid Equation, while excess PV generation is remunerated with the wholesale market price Equation (7).
t o t a l c o s t s ( b u i l d i n g ) = C p r o + C s t o + C g r i d p o w e r + C g r i d f i x + C g r i d e n e r g y with
C p r o = j , d ( b d p r o p d p r o f i x + P j , d p r o m a x p d p r o p o w e r )
C s t o = j , s ( b j , s s t o p s s t o f i x + P j , s s t o m a x p s s t o p o w e r + P j , s S O C m a x p s s t o c a p a c i t y )
C g r i d p o w e r = j , c P j , c G 2 L m a x p c G 2 L m a x
C g r i d f i x = j p j g r i d f i x
C g r i d e n e r g y = j , t , c ( q j , t , c G 2 L p t , c G 2 L + q j , t , c C 2 L p c C 2 L ) j , t , c q j , t , c L 2 G p t , c L 2 G
The restrictions are shown in Equations (8)–(20). Equation (8) defines the energy equilibrium between supplied and consumed energy, while Equation (9) specifies the energy equilibrium within the community. Equation (10) includes the losses in processes (e.g., heat pump, PV temperature degradation). Equations (11) and (12) restrict the maximum power for processes per time unit and building. The starting values and maximum power of the state-of-charge (SOC) of the storages are given in Equations (13)–(18). Equations (19) and (20) define the values for maximum procurement and feed-in power.
d q j , t , c , d P 2 L + s q j , t , c , s S 2 L + q j , t , c G 2 L + q j , t , c C 2 L = d q j , t , c , d L 2 P + s q j , t , c , s L 2 S + q j , t , c L 2 G + q j , t , c L 2 C + Q j , t , c l o s s e s
q i , j , t , c C 2 L = q i , j , t , c L 2 C
0 q j , t , c P 2 L η t , d p r o o u t q j , t , c , d p r o η t , d p r o i n q j , t , c , d L 2 P
0 q j , t , d P 2 L P j , d p r o m a x Δ T
j P j , d p r o m a x b j , d p r o P d p r o _ b u i l d i n g m a x
q j , t , c , s S O C = q j , t 1 , c , s S O C + q j , t , c , s L 2 S η s s t o i n q j , t , c , s S 2 L / η s s t o o u t
q j , 0 , c , s S O C = q j , T , c , s S O C = 0
0 q j , t , c , s S O C q j , t 1 , c , s S O C m a x
0 P j , c , s s t o m a x b j , s s t o P j , s s t o _ f l a t m a x
0 q j , t 1 , c , s L 2 S P j , s s t o m a x Δ T
0 q j , t 1 , c , s S 2 L P j , s s t o m a x Δ T
0 q j , t , c G 2 L P j , c G 2 L m a x Δ T
0 q j , t , c L 2 G P j , c G 2 L m a x Δ T

2.2. Definition of Scenarios

To analyze the effect of local renewable generation on economic viability, we first consider a scenario without renewable energy systems (RES) (grid consumption), followed by a scenario with RES (no community). For both scenarios, all consumers optimize their costs and energy flow individually. The community approach (community) extends the no community scenario by allowing electric energy exchange within the community, whereby a reduced grid tariff applies and the community is optimized towards minimizing the communities’ costs. These three scenarios are referred to as community scenarios.
To reflect the effect of sector coupling in the future, we define two demand scenarios. The baseline scenario considers “normal” electricity consumption. We define that all heat generated for space heating and hot water is based on fossil fuels and is therefore not considered in the electricity consumption. Since cooling is widely used in Southern Europe and is becoming more important in all selected countries, we include an individual cooling load for all selected European countries within the electricity consumption. The future scenario adds heat supply by heat pumps and a switch in the mobility sector from fossil combustion engines to electric vehicles (EVs) to the baseline scenario. An overview of the electric loads is shown in Table 1.

2.3. Input Data and Used Models

Various models are used as input data for the optimization model. The individual models and assumptions are explained in this chapter. Figure 3 shows an overview of the generated and used input data.

2.3.1. Electricity Demand Model

The electricity demand for residential consumers is based on the Load Profile Generator (LPG) [43,44], a modeling tool simulating the activity behavior of people and generating their electricity and water consumption. According to Figure 1, the consumers were chosen to suit the average European housing situation [45] in terms of the number of people per household. Since commercial loads are very distinct for specific branches, we used the standard load profiles of Austria [46] in order to smoothen the commercial impact. According to the International Energy Agency [47], the final electricity consumption for commercial and residential sectors are about equal for the EU-28 between 2007 and 2017. We use the same assumption in the model. The annual consumption and the used standard load profiles are shown in the Appendix A.2 (Table A3).
The consumption of EVs is added to the previous profiles according to the average car distribution in Europe (0.5 cars per household [48], see Table A3). The needed electricity for charging EVs is calculated by the travelled distance per day per country (see Appendix A.2).

2.3.2. PV Generation Model

For each capacity, the solar PV generation is dependent on location, tilt angle and orientation of PV systems. The optimal tilt angle for maximum generation was calculated by Jacobson and Jadhav [49] for various countries with the optimal orientation facing south. For each capital city of the target countries, the PV generation was calculated with the solar irradiation on the PV module surface in consideration of temperature degradation. The solar radiation (The solar radiation is calculated according to [50], based on data of GES DISC [51]) and outdoor temperature (The outdoor temperature is used from MINES ParisTech and Transvalor Dpt SoDa [52]) are based on satellite data. The operation temperature of the PV modules is assumed to be variable (According to [53] based on [54]) with considering medium air ventilation of PV modules flat on the roof. The total irradiation on the tilted module (The optimal tilt angle was calculated according to [55]) is calculated according to [56,57]. More details may be found in [58,59].

2.3.3. Heat Pump Efficiency Model

The heat pump efficiency for air-sourced heat pumps (Model WPL 24AS according to [60]) is modeled after a polynomial function defined in [61]. The conversion efficiency of electricity into heat, coefficient of performance (COP), by heat pumps depends in each step on the heat source temperature [52] and the supply temperature. Heat is used for domestic hot water demand (DHW) and the space heating demand (SH) with supply temperatures of 55 °C for DHW and 40 °C for SH. DHW consumption is assumed to be constant throughout the year. SH depends on the outdoor temperature as well as on the heating curve.

2.3.4. Heat and Hot Water Demand

The annual heat demand is based on statistical annual demands for SH and DHW. For both demands, time series were calculated, which were weighted with the average country-specific SH and DHW demand as shown in Table A7 [62].
The time series for SH are based on the outside air temperature of each reference city from the year 2005. With considering the storage capability of buildings, the heat demand is smoothly connected to daily outside temperatures by an asymmetrical sigmoid function to create hourly heat demand values (Heat demand values according to BGW [63] (multi-family-houses, class 11)). Furthermore, the time series are weighted with annual demand values [62].
DHW consumption in the residential sector is mainly linked to hygiene and washing of clothes and dishes, which is linked to the number of people per household [64]. The hourly profile for water consumption of each modeled consumer of the load profile generator (LPG) (Appendix A.2) is weighted with the annual hot water demand for each country (Table A7). The hot water consumption for commercial units varies a lot within the individual business segments. For simplification, the hot water consumption time series for commercials were assumed to be correlating with the electricity consumption profiles and weighted with an annual consumption of 33 (kWh/m 2 /y) based on consumption profiles in offices [62].

2.3.5. Cooling Demand Model

The cooling demand is calculated with the cooling degree-day method [65] at a daily threshold temperature of 18.5 °C. Since no comprehensible cooling load data could be found for each country, an average of various European countries of 36 (kWh/a/m 2 ) [62] was chosen as a cooling load. The number of cooling degree days of all selected countries were weighted with this number.

2.3.6. Electricity Procurement Prices and Feed-In Remuneration

The procurement prices for electricity are based on typical retail electricity invoices (Individual invoices might vary. For Austria the power price for commercial consumers was used in order to see the effect of power pricing, which is planned to be introduced after the smart meter roll out) for residential consumers for each country [66]. Electricity bills may contain energy tariffs, grid or network tariffs, taxes and fees. Those parts can be grouped into three components (see Figure 4):
  • Energy component (€/kWh): The price for procured electric energy.
  • Power component (€/kW/y): Price for maximum procured electric power, which is either the contracted or measured power per year.
  • Fixed component (€/consumer/y): Annual fixed costs independent of electricity procurement.
Feed-in remuneration is based on time-dependent hourly day-ahead prices in each country (Table A1) [67]. In most countries, the remuneration is not time-dependent for residential prosumers. However, a change towards time-dependent remunerations is expected in the future with the increasing spread of smart meters.
When electricity is exchanged within one building, no grid fees or taxes apply. This is justified with the assumption that wires within a building usually belong to the building owners. Electricity is exchanged as well within the extended community between different houses. There we assume a reduced grid tariff since only the local grid is utilized (See Table A2). Procured electricity from outside the community has prices according to Figure 4.

2.3.7. Investment Costs

Investments into PV and BESS are implemented in the model as Equivalent Annual Costs E A C or annuities. The annual interest rate r is assumed with 2% per year. A depreciation time n of 18 years was assumed for solar PV and 13 years for BESS. PV system costs were analyzed and are represented as a linear function with fixed costs of 1221 € per PV system and 944 €/kWp [68,69]. In order to utilize roofs first, the variable costs of the standalone PV system (greenfield) were defined as 5 % more expensive. Since no consistent data for different sizes of storages was available, investment costs for BESS are assumed as 740 €/kWh [70]. The net present values N P V of PV and BESS are used to calculate the EAC according to Equation (21). Further details are shown in Appendix A.3.
E A C r , n = N P V · ( 1 + r ) n · r ( 1 + r ) n 1

3. Results

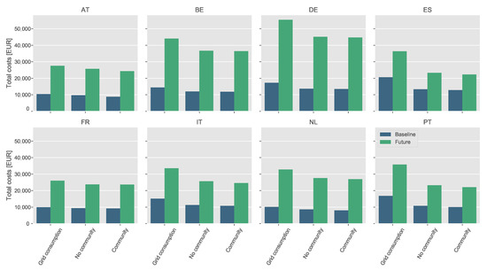
The results are based on the outcome of the optimization model with the target to minimize the total costs. According to Equations (2)–(7), the total costs can be broken down into cost terms for investments, grid procurement, fixed costs and revenues. As an example, the costs for Portugal (future scenarios) are shown in Figure 5. In the demand scenario grid consumption, all energy is procured from the grid. The total costs decrease when investing into assets (demand scenario no community). Further cost reduction is achieved when building an energy community (scenario community). The investments lead to reduced grid procurements and remuneration of excess PV energy.
In this section, all scenarios for the eight countries were analyzed on their investment patterns (Section 3.1), the effects on peak power (Section 3.2) and on the total costs (Section 3.3). A sensitivity analysis is carried out by variation of the power prices (Section 3.4).

3.1. Investment Patterns

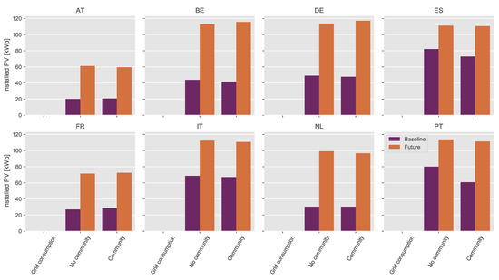
In the community scenarios no community and community, the model invests into PV and BESS, if economically feasible. The maximum PV capacity of each building is limited by its rooftop size. Additionally, the community can invest into an unlimited greenfield PV system, which is less attractive since (reduced) grid costs between greenfield and consumers apply. Figure 6 shows the investments into solar PV for all countries.
When comparing the demand scenarios baseline and future, it discloses the monetary importance of solar PV for an electrified, sector-coupled system. The higher electricity demand stimulates investments into PV in all countries. For example in Austria, the electricity consumption in the future scenario, which is three times higher, leads to triple PV investments. The smallest changes occur in Spain, Portugal and Italy, where the load changes are not as severe, because of smaller energy demand for heating. The high PV installations in the “southern” countries in the baseline scenarios are not only due to high full-load hours, but also due to high cooling load, which is included in the electric load.
There are no significant changes in the total PV capacity besides Portugal and Spain in the baseline demand scenarios. In Portugal (no community), every building is equipped with PV which adds up to 80 kWp. The community has to pay reduced grid fees for sharing PV energy among the other buildings, but it saves fixed costs for installing 5 PV systems less. In Spain, every building is equipped with PV in both scenarios, but the community installs 10 kWp less PV on the residential buildings. In this case it is more profitable to downsize the systems and procure excess PV energy from the community. The least installations occur in Austria with a slight increase of 0.6 kWp in the community scenario. Instead of 3 partly equipped roofs in no community, the community builds only 2, but larger PV systems and thus saving investment costs. While the installed PV capacity remains relatively constant in most cases, the capacity occasionally shifts between buildings and thereby saving fixed investment costs. The installed PV capacity for each building is shown in Table 2 and Table 3.
For storages, only capacity-dependent costs (€/kWh) are assumed, since no consistent data for different sizes was available. Figure 7 shows the investments into BESS, which are only beneficial in Spain and Portugal. The motivations for the investments are increased self-consumption and reduced procurement power. The storages are allocated evenly between all consumers. The largest storage, with a maximum capacity of 8.3 kWh, is installed in Spain, future scenario, at Residential 3 building. The BESS capacity is decreased in the community scenario, since it is more profitable to share surplus PV energy within the community than storing it for individual use. The size differences between the baseline and future scenarios can be explained with (i) the reduced surplus PV energies due to the smaller PV systems and (ii) the reduced demand for power reduction since the community has a smaller maximum power (see Section 3.2).

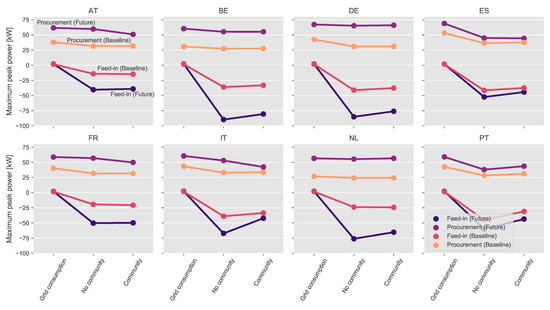
3.2. Peak Power

Peak power is defined as the maximum procured or supplied feed-in power within the modelled year. Since most peaks from many consumers are temporally spread, the community has a smaller maximum power than the aggregation of the annual maximum power of their members. Hence, the model treats occurred power within the EC as one. Peak power pricing is assumed for Austria, Spain, Italy and Portugal, which makes it profitable to avoid high maximum power. The annual peak power for procurement and feed-in are shown in Figure 8. The energy demand of each scenario influences the maximum procurement power. In the baseline scenario, only BESS can reduce peak power together with generated PV power, while the future scenario enables the additional utilization of TESS. The correlation of sun irradiation with high temperatures leads to significantly reduced peak power in Spain, Italy and Portugal due to cooling demands. Power prices decrease the feed-in power in Spain, Italy and Portugal by using storages and curtailing of excess PV energy. The most significant reduction is achieved in Spain as a result of the country having the highest power prices. Surprisingly, all excess PV energy is curtailed in order to match the procurement power. Hence, the procurement power sets the maximum power for feed-in. The lack of storages in Portugal community leads to increased procurement power in the no community. In countries where no power pricing is in place (Belgium, Germany, France and the Netherlands), only smaller changes occur in the community scenario. The feed-in power decreases due to the aggregation of power, however, it does not reach the procurement power levels as in Spain, Italy and Portugal.

3.3. Costs

In Figure 9 we show the total costs of the whole community. The costs in the grid consumption scenario contain only electricity costs for procured energy. In the demand scenario baseline, Spain and Portugal have the highest costs due to the largest cooling demands. In the future scenario, the effect of sector coupling, particularly heating, is dominant. Even though the demand of Austria and Germany are quite similar, Germany has the highest costs due to the highest energy procurement prices (€/kWh). For all countries, the costs decrease when allowing investments into RES (scenario no community). Further cost reduction is achieved when building an energy community (scenario community).
When looking at the relative cost reduction compared to scenario grid consumption in Figure 10, we see that Spain, Italy and Portugal have the highest decrease in costs. This is linked to large full-load hours of the PV systems, as described in Section 3.1. When comparing the two demand scenarios, we see that both change accordingly. Most cost reduction is achieved with investments into PV, whereas the installed PV capacity is correlating with the annual demand and the total costs.
The extra benefits of the community approach vary from case to case: The highest cost reduction in the community scenario is achieved in Austria, the Netherlands and Portugal by building fewer but larger PV systems. The relative benefits in Austria are significant (up to 9 percentage points) since the fixed costs of one PV system carries weight with regards to the low energy costs. On the other hand, in Spain only 2 to 3 percentage points are saved within the community, mainly due to power reduction and less storage investments. The extra benefit of power reduction depends on the power price. For example in Spain (48.4 €/kW/y), the power is reduced in the future, no community scenario by 16 kW and in the community scenario by another 8.7 kW, leading to a total cost reduction of 1194 € or 3 percentage points. The low power prices in Portugal (20.29 €/kW/y) lead to a cost reduction of only 313 € or less than one percentage point.

3.4. Sensitivity of Power Prices

In this sensitivity analysis, we evaluate the effect of power prices for the future demand scenario while varying the power price from zero to 60 €/kW. Figure 11 shows the results of the three community scenarios for Austria, Belgium, Germany, and Portugal.
In the scenario grid consumption, no actions against high power prices are taken. Therefore, the costs in this scenario increase constantly with the power prices. With the flexibility of adapting optimal investment to the power prices in the no community scenario, the curve flattens with higher power prices. The community scenario unveils the potential of community power aggregation which leads to optimal community investments, focusing on avoiding high power peaks. Thus, the community costs rise less with increased power prices than the individual costs in the other scenarios.
The PV investments in the scenario no community tend to decrease with higher power prices, because of higher curtailments. The feed-in power decreases by curtailing excess electric energy or investing into storages to match the procurement power. One exception is Austria, where the investments remain constant with increasing power prices until reaching 60 €/kW/y, where BESS become profitable. This enables higher PV investments. For all countries, storages and PV curtailment become profitable with increasing power prices.
In the community scenario, PV investments tend to decrease slightly. Sharing of excess PV energy makes storages less important and increases PV curtailment. Due to power aggregation within the community, the benefit of the community increases with higher power prices.

3.5. Sensitivity of PV and BESS Prices

The prices of PV and BESS have a significant influence on their profitability. In this analysis, the future scenario is calculated with different investment prices for the no community and the community scenarios. The initially defined investment costs are varied from 25 % to + 25 % .
Table 4 shows the sensitivity of PV prices on the installed PV systems and the total costs. In the no community scenario, all buildings are equipped with PV. The PV capacity varies with the price changes until the saturation is reached at a price change of 10 % , where all roofs are maximum equipped with PV. The standalone PV systems is not profitable under residential conditions, even at a a price change of 25 % . In the community scenario, 3 buildings and the greenfield are equipped with PV. The increased prices reduce the number of PV systems to 3. A price reduction of 10 % has no effect on the installed PV capacity. At 25 % price reduction, all objects become equipped with PV, increasing the PV capacity to 156 k W p . Hence, the total costs decrease less than 10%.
Table 5 shows the sensitivity of BESS prices on the installed BESS capacity and the total costs. All buildings are equipped with a BESS, when using the initial investment costs. When raising the prices in the no community scenario, only 3 systems are downsized. Due to power pricing in Spain, even more expansive BESS are profitable. On the other hand, a price reduction leads to increased BESS capacity in all buildings (89 kWh installed BESS at 25 % price reduction). In the community scenario, an increase of BESS prices by 10 % has almost no effect on the installed capacity. Further increase reduces the capacity to 6 kWh. Price reduction leads to significant increase of installed BESS capacity in all buildings (68 kWh installed BESS at 25 % price reduction).

4. Discussion and Conclusions

The main reasons for installations of PV systems are environmental aspects and profitability. The first market-driven PV installations were achieved with subsidies (e.g., high feed-in tariffs in Germany). With high incentives, the focus is not directed on self-consumption but on maximizing the PV generation to receive high feed-in remuneration. In countries with high full load hours (e.g., Spain, Italy and Portugal), large PV systems are already profitable through market remuneration, without any additional subsidies. With a lack of subsidies and only moderate full load hours, self-consumption increases profitability. While this business model leads to high PV distribution in some European countries, the analysis shows that it induces little investment in other countries. Self-consumption oriented PV systems need high procurement prices to be competitive.
Renewable energy communities have the potential to reduce total electricity costs. The cost could be reduced by (i) load aggregation and eventually load shifting to increase community self-consumption, (ii) community investments and profiting of economies of scale, (iii) power aggregation and reducing the communities power costs. Load aggregation and increasing community self-consumption is possible as soon as smart meters are distributed, and the legal frameworks are implemented. Further profitability is achieved with load shifting, which is implemented in sector coupled devices, as in EV charging stations or electric heat pumps. Community investments make larger PV systems available at a lower price (per k W p ) and enable the utilization of optimal spaces (large, optimal orientation and inclination). It allows people to consume their own PV energy, even though they might not have a suitable place for their own PV system. In apartment buildings, which are owned by several people, it is difficult to find a majority that would allow the mounting of one privately owned PV system. A community investment, which benefits all, might change the resistance. Hence, the aggregated loads in a community might reduce the demand for larger PV systems in comparison to individual prosumers. Power aggregation could reduce power peaks and costs if power prices apply. Nevertheless, the focus of upcoming legislations is on energy communities and not on power communities. Therefore, power aggregation might not be applicable as it would be with microgrids.
A high energy procurement price makes PV systems and renewable energy communities more profitable. Another advantage is that high energy procurement costs give energy more value and might increase efficiency. Power prices tend to decrease power peaks, which will occur more frequently with the ongoing sector coupling. PV systems and energy communities benefit from avoided grid fees and taxes, as long as they are not serving as feed-in-only concepts. However, grid fees should be designed according to the polluter-pays principle, which leads to adaptations of grid tariff design. With a transition from high energy procurement prices towards power prices or higher annual fixed prices, this profitability will decrease. To fulfil climate targets and the corresponding RES increase, some methods will support this: (i) High energy procurement prices, (ii) financial support or (iii) compulsory PV installations. When applying high electric energy procurement prices, it is important to be socially responsible and support those in need. Subsidies will effectuate to achieve renewable goals but tend to overfund projects. Compulsory PV installations are the most effective method but need the voters’ support. A moderate version of all three options in combination would lead to the desired outcome with the highest level of acceptance.
PV systems are already profitable without any financial support in countries with high full-load hours (e.g., Spain, Italy Portugal). Strict conditions for the installation and operation of PV systems can be an obstacle to guarantee further penetration of PV systems. PV systems are profitable in Germany even without financial support. Reduction of the high energy procurement prices (€/kWh) towards power pricing will change that advantage. With increased consumption due to sector coupling, PV systems become similar profitable in Belgium and the Netherlands. Hence, at current electricity consumption levels the energy based tariff should be increased to enable subsidy-free PV penetration. The (residential) electricity procurement prices in Austria and France do not lead to a significant increase of PV installations. In order to reach the individual solar PV installation targets, either (i) (public) financial support of the systems is needed and/or (ii) increased energy procurement prices will lead to the desired outcome. A moderate PV subsidy tax for every procured kWh will increase (ii) and provides capital for (i).
The focus of this work is on country comparison and the individual loads of communities. Through hybrid optimization, a part of the unused PV energy can be stored in heat. This can reduce BESS in countries with significant heat demand but still increase self-consumption. The remuneration for PV surplus energy is based on the time-flexible wholesale price, which already values the systems on a realistic future price. Further research should investigate the sensitivity of the individual electricity price components. Putting the spotlight on the individual households could reveal more details about the optimal composition of communities. The separate consideration of power prices for procurement and feed-in needs further investigation.

Author Contributions

Conceptualization, J.R. and A.F.; methodology, J.R. and A.F.; software, J.R. and A.F.; validation, J.R.; formal analysis, J.R. and A.F.; investigation, J.R. and A.F.; resources, J.R. and A.F.; data curation, J.R. and A.F.; writing–original draft preparation, J.R.; writing–review and editing, J.R., A.F., F.H.R., G.L. and H.A.; visualization, J.R. and A.F.; supervision, H.A.; project administration, A.F. and G.L.; funding acquisition, G.L. All authors have read and agreed to the published version of the manuscript.

Funding

This research was funded by the European Union’s Horizon 2020 research and innovation program under grant agreement No 764786 (project PV-Prosumers4Grid). Open Access Funding by TU Wien.

Acknowledgments

The authors acknowledge TU Wien Bibliothek for financial support through its Open Access Funding Program.

Conflicts of Interest

The authors declare no conflict of interest. The funders had no role in the design of the study; in the collection, analyses, or interpretation of data; in the writing of the manuscript, or in the decision to publish the results.

Abbreviations

The following abbreviations are used in this manuscript:
Nomenclature
BESSBattery Energy Storage Systems
CECCitizen Energy Community
DERDistributed Energy Resources
DHWDomestic Hot Water
EACEquivalent Annual Costs
EVElectric Vehicle
P2PPeer to Peer
LPGLoad Profile Generator
NPVNet Present Value
PVPhotovoltaic
RECRenewable Energy Community
RESRenewable Energy Systems
SHSpace Heating
SOCState-Of-Charge
TESSThermal Energy Storage Systems
Sets
t T = { 1 , , T } Time period
i { B u i l d i n g A , , B u i l d i n g N } Set of buildings
j { F l a t 1 , , F l a t n } Set of flats
c { E l e c t r i c i t y , H e a t } Set of energy commodities
s { B E S S , T E S S } Set of storages
d { P V , H P } Set of processes and DERs
Variables
C j p r o , C j s t o Total costs per building for PV systems and BESS
C j g r i d p o w e r , C j g r i d f i x , C j g r i d e n e r g y Total grid costs per building for power, fixed and energy component
q x 2 y with x , y { G , L , S , P , C } Energy flows from/to grid, load, storage, process or community
P x 2 y m a x with x , y { G , L , S , P , C } Maximum powers of flows from/to grid, load, storage, process or community
b d p r o , b d s t o Binary variable for processes, and storages
P j , d p r o m a x , P j , d s t o m a x Maximum power for processes, and storages for commodity d per flat j
q j , s S O C m a x Maximum storage capacity for commodity d per flat j
q j , t , c , s S O C Storage capacity at t
Parameters
p d p r o f i x , p s s t o f i x , p j g r i d f i x Annual fixed prices for annuities of investments or other costs
p d p r o p o w e r , p s s t o p o w e r , p s s t o c a p a c i t y Annual power or capacity dependent prices for annuities of investments
η s p r o i n , η s p r o o u t , η s s t o i n , η s s t o o u t Input and output efficiencies for processes and storages
p t , c G 2 L , p c C 2 L , p t , c L 2 G Prices for procurement from the grid, -the community and feed-in remuneration
rinterest rate
ndepreciation time

Appendix A

Appendix A.1. Economic Assumptions

In addition to Section 2.3.6, the remuneration prices are whole sale market prices of 2017. The annual average prices are shown in Table A1.
Table A1. Day-Ahead prices for target countries in 2017.
Table A1. Day-Ahead prices for target countries in 2017.
Feed-In RemunerationATBEDEESFRITNLPT
Average day-ahead price [€/MWh]34.1944.5834.1952.2444.9751.6139.3152.48
The grid fees for energy procurement depend on whether the energy is procured from the community or from outside. No tax or fees apply for exchanging energy within one building (Group 2). A reduced tariff applies for exchanging energy in an extended energy community across buildings (Group 3). The assumption for local energy sharing is, that consumers only pay for using the distribution system, but not for the transmission system. By the time of publishing this article, no data for reduced grid tariffs (Group 3) was available. With the implementation of the EU CE4AEP in mid-2021 we expect some plausible values to be in place. We define the discount as the differences between the grid costs of the two lowest grid levels [71]. For the Netherlands, Portugal and Spain, the energy component was not mentioned explicitly and could not be extracted. Therefore, we assume the average costs of the other countries for those three countries. The costs for procuring energy from within the groups and from outside of the groups are shown in Table A2.
Table A2. Grid fees and taxes for procuring energy within Group 2, Group 3 and from outside of the groups.
Table A2. Grid fees and taxes for procuring energy within Group 2, Group 3 and from outside of the groups.
Exchanging Energy withATBEDEESFRITNLPT
Group 2 [€/kWh]--------
Group 3 [€/kWh]0.0480.0980.0940.0710.0530.0590.0710.071
Outside [€/kWh]0.1200.2500.2700.1900.1300.1700.2100.20

Appendix A.2. Supplementary Data to the Electricity Demand Model

The electricity consumption depends on the number of people per household. In the future scenario, the number of cars per household has to be taken into account. This data is shown in Table A3.
Table A3. Used profile of consumers and resulting energy consumption.
Table A3. Used profile of consumers and resulting energy consumption.
ConsumerPeopleCarsEl. Consumption (baseline) [kWh/yr]Electricity Profile
Flat1101245LPG
Flat2111402LPG
Flat3101179LPG
Flat4212264LPG
Flat5202158LPG
Flat6313191LPG
Commercial1--5719G0
Residential1212372LPG
Residential2323226LPG
Residential3422968LPG
Residential4433464LPG
Commercial2--12030G1
Commercial3--5719G4
The energy demand for EVs (Table A4) is based on the traveled distance per car which is different in each country. Since the car density varies in each country (0.47 to 0.625 cars per person), it was normalized to 0.5 cars per person. If the number of cars per country were not considered, then the number of cars in the "European Village" would have to be different for each country.The electricity or charging demand for EVs is calculated according to Equation (A1).
Charging demand [ kWh / car / day ] = Traveled distance [ km / car / day ] · Energy consumption [ kWh / km ] · Car density per country [ cars / people ] / Car density in model [ cars / residents ]
The following additional assumptions for EV charging were made:
  • Energy consumption of 20 kWh for a distance of 100 km (based on Nissan Leaf ZE1, energy capacity of 62 kWh for max. 385 km, [72])
  • Employed residents charge EVs 50% at commercials (work) and 50% when they are back at home
  • Non-employed residents charge EVs 50% at commercials and 50% at home
  • On weekends, less consumption than during weekdays, but charged also during the day
  • Charging always with 3.6 kW (e.g., 16 A single phase, 230 V).
Table A4. Key numbers of mobility pattern in the selected countries.
Table A4. Key numbers of mobility pattern in the selected countries.
CountryPassenger Car Density [48]Traveled Distance [73]Modeled Average Charging Demand
[Cars/1000 people][km/car/yr][kWh/car/day]
AT55514,3118.8
BE50312,997 1 6.8
DE55514,1078.6
ES49212,5356.8
FR47912,9976.8
IT62595966.6
NL48114,107 1 6.8
PT47012,535 1 6.8
1 For countries where not all data was available, a similar behavior like the neighboring countries was assumed: Belgium similar to France, Portugal similar to Spain and The Netherlands similar to Germany.

Appendix A.3. Supplementary Data to the Investment Costs

The interest rate is assumed to be 2 %. The assumption is based on (i) the current situation for long term government bonds which are currently (mid-2020) below 0.4 % (from 2019/09 to 2020/07 in EU-27) [74] and (ii) on the situation that privates do not get the same conditions as major investors.
In some literature, the lifetime for BESS is usually assumed with 10 years (e.g., [75]). Since the guaranteed capacity at the end of the lifetime is still 80 %, we define a extended depreciation time of 13 years. The Tesla Power wall prices are used to define the BESS costs [70]. As shown in [75,76] the costs are feasible. The variation of BESS costs is shown in Section 3.5.
The assumed interest rate and depreciation times have a significant influence on the annuities. In the following Tables we show the effect of interest rate i and depreciation time n on annuities of a 5kWp PV system (Table A5) and a 5 kWh BESS (Table A6).
Table A5. PV system annuity sensitivity—Variation of interest rate and depreciation time of a PV system with 5 kWp compared to the initial values (n = 18, r = 2) (shown in bold).
Table A5. PV system annuity sensitivity—Variation of interest rate and depreciation time of a PV system with 5 kWp compared to the initial values (n = 18, r = 2) (shown in bold).
ni = 1i = 2i = 3i = 4i = 5i = 6i = 7i = 8
10 y158%167%176%185%194%204%213%223%
11 y145%153%162%171%180%190%200%210%
12 y133%142%151%160%169%179%189%199%
13 y124%132%141%150%160%169%179%190%
14 y115%124%133%142%151%161%171%182%
15 y108%117%126%135%144%154%165%175%
16 y102%110%119%129%138%148%159%169%
17 y96%105%114%123%133%143%154%164%
18 y91%396109%118%128%138%149%160%
19 y87%96%105%114%124%134%145%156%
20 y83%92%101%110%120%131%142%153%
Table A6. BESS annuity sensitivity—Variation of interest rate and depreciation time of a BESS with 5 kWh compared to the initial values (n = 13, r = 2) (shown in bold).
Table A6. BESS annuity sensitivity—Variation of interest rate and depreciation time of a BESS with 5 kWh compared to the initial values (n = 13, r = 2) (shown in bold).
ni = 1i = 2i = 3i = 4i = 5i = 6i = 7i = 8
10 y120%126%133%140%147%154%162%169%
11 y109%116%123%130%137%144%151%159%
12 y101%107%114%121%128%135%143%151%
13 y94%326107%114%121%128%136%144%
14 y87%94%100%107%115%122%130%138%
15 y82%88%95%102%109%117%125%133%
16 y77%84%90%97%105%112%120%128%
17 y73%79%86%93%101%108%116%124%
18 y69%76%83%90%97%105%113%121%
19 y66%72%79%86%94%102%110%118%
20 y63%69%76%84%91%99%107%116%

Appendix A.4. Supplementary Data to the Heat and Hot Water Demand

The heat and hot water demand is based on annual values, calculated within the Hotmaps project [62], shown in Table A7.
Table A7. Average space heating and hot water demands [62].
Table A7. Average space heating and hot water demands [62].
CountrySpace Heating DemandHot Water Demand
[kWh_therm/m 2 /y][kWh_therm/m 2 /y]
AT13519
BE15916
DE17926
ES4918
FR13220
IT11720
NL14524
PT9023

References

  1. IEA. World Energy Outlook 2019; OECD Publishing: Paris, France, 2019. [CrossRef]
  2. EU. Renewable energy directive (EU) 2018/2001. Off. J. Eur. Union 2018, 128. [Google Scholar] [CrossRef]
  3. European Commission. Clean energy for all Europeans. Euroheat Power 2019, 14, 3. [Google Scholar] [CrossRef]
  4. Heinrichs, H.; Wiek, A.; Martens, P.; Michelsen, G. Introduction; Springer: Amsterdam, The Netherlands, 2016; pp. 1–4. [Google Scholar] [CrossRef]
  5. Venkatraman, R.; Khaitan, S.K. A survey of techniques for designing and managing microgrids. In Proceedings of the IEEE Power and Energy Society General Meeting, Denver, CO, USA, 26–30 July 2015. [Google Scholar] [CrossRef]
  6. Rakos, B.; Stumpf, P.; Nagy, I. Investigation of the effects of nonlinear model of super-capacitors in local DC microgrids supplied by renewables. In Proceedings of the 15th International Power Electronics and Motion Control Conference and Exposition, Novi Sad, Serbia, 4–6 September 2012. [Google Scholar] [CrossRef]
  7. Gui, E.M.; Diesendorf, M.; MacGill, I. Distributed energy infrastructure paradigm: Community microgrids in a new institutional economics context. Renew. Sustain. Energy Rev. 2017, 72, 1355–1365. [Google Scholar] [CrossRef]
  8. Ali, A.; Li, W.; Hussain, R.; He, X.; Williams, B.W.; Memon, A.H. Overview of current microgrid policies, incentives and barriers in the European Union, United States and China. Sustainability 2017, 9, 1146. [Google Scholar] [CrossRef]
  9. Gui, E.M.; MacGill, I. Typology of future clean energy communities: An exploratory structure, opportunities, and challenges. Energy Res. Soc. Sci. 2018, 35, 94–107. [Google Scholar] [CrossRef]
  10. Schram, W.; Louwen, A.; Lampropoulos, I.; Van Sark, W. Comparison of the greenhouse gas emission reduction potential of energy communities. Energies 2019, 12, 4440. [Google Scholar] [CrossRef]
  11. Roberts, M.B.; Bruce, A.; MacGill, I. A comparison of arrangements for increasing self-consumption and maximising the value of distributed photovoltaics on apartment buildings. Sol. Energy 2019, 193, 372–386. [Google Scholar] [CrossRef]
  12. Fina, B.; Fleischhacker, A.; Auer, H.; Lettner, G. Economic Assessment and Business Models of Rooftop Photovoltaic Systems in Multiapartment Buildings: Case Studies for Austria and Germany. J. Renew. Energy 2018, 2018, 9759680. [Google Scholar] [CrossRef]
  13. Roberts, M.B.; Bruce, A.; MacGill, I. Impact of shared battery energy storage systems on photovoltaic self-consumption and electricity bills in apartment buildings. Appl. Energy 2019, 245, 78–95. [Google Scholar] [CrossRef]
  14. Fan, Y.; Xia, X. A multi-objective optimization model for energy-efficiency building envelope retrofitting plan with rooftop PV system installation and maintenance. Appl. Energy 2017, 189, 327–335. [Google Scholar] [CrossRef]
  15. Fleischhacker, A.; Lettner, G.; Schwabeneder, D.; Auer, H. Portfolio optimization of energy communities to meet reductions in costs and emissions. Energy 2019, 173, 1092–1105. [Google Scholar] [CrossRef]
  16. Taşcıkaraoğlu, A. Economic and operational benefits of energy storage sharing for a neighborhood of prosumers in a dynamic pricing environment. Sustain. Cities Soc. 2018, 38, 219–229. [Google Scholar] [CrossRef]
  17. Zepter, J.M.; Lüth, A.; Crespo del Granado, P.; Egging, R. Prosumer integration in wholesale electricity markets: Synergies of peer-to-peer trade and residential storage. Energy Build. 2019, 184, 163–176. [Google Scholar] [CrossRef]
  18. Lüth, A.; Zepter, J.M.; Crespo del Granado, P.; Egging, R. Local electricity market designs for peer-to-peer trading: The role of battery flexibility. Appl. Energy 2018, 229, 1233–1243. [Google Scholar] [CrossRef]
  19. Hahnel, U.J.; Herberz, M.; Pena-Bello, A.; Parra, D.; Brosch, T. Becoming prosumer: Revealing trading preferences and decision-making strategies in peer-to-peer energy communities. Energy Policy 2020, 137, 111098. [Google Scholar] [CrossRef]
  20. Hackbarth, A.; Löbbe, S. Attitudes, preferences, and intentions of German households concerning participation in peer-to-peer electricity trading. Energy Policy 2020, 138, 111238. [Google Scholar] [CrossRef]
  21. Sousa, T.; Soares, T.; Pinson, P.; Moret, F.; Baroche, T.; Sorin, E. Peer-to-peer and community-based markets: A comprehensive review. Renew. Sustain. Energy Rev. 2019, 104, 367–378. [Google Scholar] [CrossRef]
  22. Zhang, C.; Wu, J.; Zhou, Y.; Cheng, M.; Long, C. Peer-to-Peer energy trading in a Microgrid. Appl. Energy 2018, 220, 1–12. [Google Scholar] [CrossRef]
  23. An, J.; Lee, M.; Yeom, S.; Hong, T. Determining the Peer-to-Peer electricity trading price and strategy for energy prosumers and consumers within a microgrid. Appl. Energy 2020, 261, 114335. [Google Scholar] [CrossRef]
  24. EU. Directive on Common Rules for the Internal Market for Electricity (EU) 2019/944. 2019. Available online: http://data.europa.eu/eli/dir/2019/944/oj (accessed on 12 June 2019).
  25. Caramizaru, A.; Uihlein, A. Energy Communities: An Overview of Energy and Social Innovation; Technical Report; Joint Research Centre, Publications Office of the European Union: Luxembourg, 2019. [Google Scholar] [CrossRef]
  26. Vandebron. Duurzame Energie van Nederlandse Bodem. Available online: https://vandebron.nl/ (accessed on 6 June 2020).
  27. OurPower. Die Energie Cooperative. Available online: https://www.ourpower.coop/ (accessed on 6 June 2020).
  28. Piclo. Building Software for a Smarter Energy Future. 2020. Available online: https://piclo.energy/ (accessed on 6 June 2020).
  29. Brooklyn Microgrid. Community Powered Energy. 2020. Available online: https://www.brooklyn.energy/ (accessed on 6 June 2020).
  30. Sonnen. Community. 2020. Available online: https://sonnengroup.com/sonnencommunity/ (accessed on 6 June 2020).
  31. EFriends. eFriends. 2020. Available online: https://www.efriends.at/ (accessed on 6 June 2020).
  32. P2PQ. Peer2Peer im Quartier—Stadt der Zukunft. 2020. Available online: https://nachhaltigwirtschaften.at/de/sdz/projekte/peer2peer-im-quartier.php (accessed on 6 June 2020).
  33. Wien Energie. Viertel Zwei. Available online: https://positionen.wienenergie.at/beitraege/viertel-zwei/ (accessed on 3 June 2020).
  34. FlexiDAO—The New Way of Buying Renewable Energy. Available online: https://www.flexidao.com/ (accessed on 8 June 2020).
  35. Park, C.; Yong, T. Comparative review and discussion on P2P electricity trading. Energy Procedia 2017, 128, 3–9. [Google Scholar] [CrossRef]
  36. Zhang, C.; Wu, J.; Long, C.; Cheng, M. Review of Existing Peer-to-Peer Energy Trading Projects. Energy Procedia 2017, 105, 2563–2568. [Google Scholar] [CrossRef]
  37. Dorfner, J. Urbs–A Linear Programming Optimisation Model for Capacity Expansion Planning and Unit Commitment for Distributed Energy Systems. Available online: https://github.com/tum-ens/urbs (accessed on 1 June 2020).
  38. Dorfner, J. Rivus—A Mixed Integer Linear Programming Optimisation Model for Capacity Planning for Energy Infrastructure Networks. Available online: https://github.com/tum-ens/rivus (accessed on 1 June 2020).
  39. Hart, W.E.; Watson, J.P.; Woodruff, D.L. Pyomo: Modeling and solving mathematical programs in Python. Math. Program. Comput. 2011, 3, 219–260. [Google Scholar] [CrossRef]
  40. Hart, W.E.; Laird, C.; Watson, J.P.; Woodruff, D.L. Pyomo—Optimization Modeling in Python. Adv. Model. Agric. Syst. 2012, 67, 13–28. [Google Scholar] [CrossRef]
  41. The pandas development Team. Pandas-dev. Zenodo 2020, 21, 1–9. [Google Scholar] [CrossRef]
  42. McKinney, W. Data Structures for Statistical Computing in Python. In Proceedings of the 9th Python in Science Conference, Austin, TX, USA, 28 June–3 July 2010; pp. 56–61. [Google Scholar] [CrossRef]
  43. Pflugradt, N. LoadProfileGenerator. Available online: https://www.loadprofilegenerator.de/ (accessed on 12 June 2020).
  44. Pflugradt, N. Modellierung von Wasser-Und Energieverbräuchen in Haushalten. Ph.D. Thesis, Technische Universität Chemnitz, Chemnitz, Germany, 2016. [Google Scholar] [CrossRef]
  45. Eurostat. Housing Statistics—Statistics Explained. Available online: https://ec.europa.eu/eurostat/statistics-explained/index.php/Housing{_}statistics (accessed on 20 June 2020).
  46. APCS. Synthetische Lastprofile APCS—Power Clearing & Settlement. 2019. Available online: https://www.apcs.at/de/clearing/technisches-clearing/lastprofile (accessed on 15 September 2019).
  47. IEA. Electricity Final Consumption by Sector of EU-28. 2020. Available online: https://www.iea.org/data-and-statisticshttps://www.iea.org/data-and-statistics?country=EU28{&}fuel=Electricityandheat{&}indicator=Electricityfinalconsumptionbysector (accessed on 3 June 2019).
  48. Eurostat. Passenger Cars in the EU Statistics Explained. 2019. Available online: https://ec.europa.eu/eurostat/statisticsexplained/ (accessed on 15 September 2019).
  49. Jacobson, M.Z.; Jadhav, V. World estimates of PV optimal tilt angles and ratios of sunlight incident upon tilted and tracked PV panels relative to horizontal panels. Sol. Energy 2018, 169, 55–66. [Google Scholar] [CrossRef]
  50. Gelaro, R.; McCarty, W.; Suárez, M.J.; Todling, R.; Molod, A.; Takacs, L.; Randles, C.A.; Darmenov, A.; Bosilovich, M.G.; Reichle, R.; et al. The modern-era retrospective analysis for research and applications, version 2 (MERRA-2). J. Clim. 2017, 30, 5419–5454. [Google Scholar] [CrossRef]
  51. Goddard Earth Sciences Data and Information Services Center (GES DISC). Global Modeling and Assimilation Office (GMAO) (2015), MERRA-2 tavg1_2d_slv_Nx: 2d,1-Hourly, Time-Averaged, Single-Level, Assimilation, Single-Level Diagnostics V5.12.4; Goddard Earth Sciences Data and Information Services Center (GES DISC): Greenbelt, MD, USA, 2015. [Google Scholar] [CrossRef]
  52. MINES ParisTech and Transvalor Dpt SoDa. HelioClim-3 Irradiation Values: Generated Using Copernicus Atmosphere Monitoring Service Information 2016. 2016. Available online: http://www.soda-pro.com/web-services/radiation/helioclim-3-archives-for-pay/info (accessed on 12 June 2020).
  53. Skoplaki, E.; Palyvos, J.A. Operating temperature of photovoltaic modules: A survey of pertinent correlations. Renew. Energy 2009, 34, 23–29. [Google Scholar] [CrossRef]
  54. Nordmann, T.; Clavadetscher, L. Understanding temperature effects on PV system performance. In Proceedings of the 3rd World Conference on Photovoltaic Energy Conversion, Osaka, Japan, 11–18 May 2003; Volume C, pp. 2243–2246. Available online: https://ieeexplore.ieee.org/ielx5/9136/28988/01305032.pdf?tp={&}arnumber=1305032{&}isnumber=28988{&}ref=aHR0cHM6Ly9pZWVleHBsb3JlLmllZWUub3JnL2Fic3RyYWN0L2RvY3VtZW50LzEzMDUwMzI=https://ieeexplore.ieee.org/abstract/document/1305032 (accessed on 3 June 2019).
  55. Eicker, U. Solare Technologien für Gebäude—Grundlagen und Praxisbeispiele, 2nd ed.; Vieweg + Teubner Verlag; Springer Fachmedien Wiesbaden GmbH: Wiesbaden, Germany, 2012; p. 401. [Google Scholar] [CrossRef]
  56. Huld, T.; Gottschalg, R.; Beyer, H.G.; Topič, M. Mapping the performance of PV modules, effects of module type and data averaging. Sol. Energy 2010, 84, 324–338. [Google Scholar] [CrossRef]
  57. Huld, T.; Friesen, G.; Skoczek, A.; Kenny, R.P.; Sample, T.; Field, M.; Dunlop, E.D. A power-rating model for crystalline silicon PV modules. Sol. Energy Mater. Sol. Cells 2011, 95, 3359–3369. [Google Scholar] [CrossRef]
  58. Nagl, S.; Fürsch, M.; Lindenberger, D. The costs of electricity systems with a high share of fluctuating renewables: A stochastic investment and dispatch optimization model for europe. Energy J. 2013, 34, 151–179. [Google Scholar] [CrossRef]
  59. Graabak, I.; Korpås, M. Variability Characteristics of European Wind and Solar Power Resources—A Review. Energies 2016, 9, 449. [Google Scholar] [CrossRef]
  60. Stiebel Eltron GmbH & Co. KG. Jahresarbeitszahl Wärmepumpe WPL 24AS. Available online: https://www.stiebel-eltron.de/toolbox/jaz/ (accessed on 19 July 2019).
  61. Lindberg, K.B.; Doorman, G.; Fischer, D.; Korpås, M.; Ånestad, A.; Sartori, I. Methodology for optimal energy system design of Zero Energy Buildings using mixed-integer linear programming. Energy Build. 2016, 127, 194–205. [Google Scholar] [CrossRef]
  62. Pezzutto, S.; Zambotti, S.; Croce, S.; Zambelli, P.; Garegnani, G.; Scaramuzzino, C.; Pascuas, R.P.; Zubaryeva, A.; Haas, F.; Exner, D.; et al. Hotmaps Project–Heat Data-D2.3 WP2 Report—Open Data Set for the EU28. Available online: www.hotmaps-project.eu (accessed on 1 October 2019).
  63. Bundesverband der Deutschen Gas- und Wasserwirtschaft (BGW). Praxisinformation P 2006-8 Gastransport—Betriebswirtschaft 2006: Anwendung von Standardlastprofilen zur Belieferung Nicht-Leistungsgemessener Kunden. Available online: www.wvgw.de (accessed on 3 June 2019).
  64. Fuentes, E.; Arce, L.; Salom, J. A review of domestic hot water consumption profiles for application in systems and buildings energy performance analysis. Renew. Sustain. Energy Rev. 2018, 81, 1530–1547. [Google Scholar] [CrossRef]
  65. Kalogirou, S.A. (Ed.) 6. Solar Space Heating and Cooling. In Solar Energy Engineering-Processes and Systems; Academic Press: Boston, MA, USA, 2009; pp. 323–395. Available online: http://www.sciencedirect.com/science/article/pii/B9780123972705000066https://www.sciencedirect.com/science/article/pii/B9780123972705000066 (accessed on 19 July 2019).
  66. PVP4Grid. PVP4Grid—PV-Prosumers4Grid. Available online: https://www.pvp4grid.eu/ (accessed on 12 June 2020).
  67. Entso-e. Day-Ahead Prices. Available online: https://transparency.entsoe.eu/ (accessed on 30 May 2019).
  68. IRENA. Typical Costs for Selected PV Systems. Available online: www.irena.org (accessed on 3 June 2019).
  69. BSW—Bundesverband Solarwirtschaft e. V. Typical Costs for Selected PV Systems. Available online: www.solarwirtschaft.de (accessed on 3 June 2019).
  70. TESLA. Tesla Powerwall. Available online: https://www.tesla.com/powerwall (accessed on 8 November 2019).
  71. Swissgrid. Grid Levels. Available online: https://www.swissgrid.ch/en/home/operation/power-grid/grid-levels.html (accessed on 13 September 2020).
  72. Ecomento. Neuer Nissan LEAF Schafft 385 WLTP-Kilometer (Bilder)- Ecomento.de. Available online: https://ecomento.de/2019/01/09/nissan-leaf-62-kwh-batterie-2019-reichweite-wltp-preis/ (accessed on 1 September 2019).
  73. European Environment Agency. Annual Distance Travelled by Cars. Available online: https://www.eea.europa.eu/data-and-maps/data/external/annual-distance-travelled-by-cars (accessed on 20 July 2019).
  74. Eurostat. Long Term Government Bond Yields. Available online: https://ec.europa.eu/eurostat/databrowser/view/teimf050/default/table?lang=en (accessed on 13 September 2020).
  75. Zagoras, N.; Assistant, G.R. Battery Energy Storage System (BESS): A Cost/Benefit Analysis for a PV Power Station. Technical Report, Clemson University. 2014. Available online: https://www.nrel.gov/grid/assets/pdfs/second{_}grid{_}sim{_}zagoras.pdf (accessed on 15 September 2019).
  76. Rahmann, C.; Mac-Clure, B.; Vittal, V.; Valencia, F. Break-Even Points of Battery Energy Storage Systems for Peak Shaving Applications. Energies 2017, 10, 833. [Google Scholar] [CrossRef]
Figure 1. Building and community set-up.
Figure 1. Building and community set-up.
Energies 13 05007 g001
Figure 2. Overview of the energy flows within the optimization model.
Figure 2. Overview of the energy flows within the optimization model.
Energies 13 05007 g002
Figure 3. Input data.
Figure 3. Input data.
Energies 13 05007 g003
Figure 4. Electricity retail prices for eight European countries used in the simulation split in energy-, power- and fixed prices.
Figure 4. Electricity retail prices for eight European countries used in the simulation split in energy-, power- and fixed prices.
Energies 13 05007 g004
Figure 5. Disaggregation of total costs on the example of Portugal, demand scenario future.
Figure 5. Disaggregation of total costs on the example of Portugal, demand scenario future.
Energies 13 05007 g005
Figure 6. Investments into solar photovoltaic (PV) for all countries.
Figure 6. Investments into solar photovoltaic (PV) for all countries.
Energies 13 05007 g006
Figure 7. Investments into battery energy storage systems for all countries.
Figure 7. Investments into battery energy storage systems for all countries.
Energies 13 05007 g007
Figure 8. Peak power within one year for procurement and feed-in for all countries. The results represent discrete data (four data points per scenario). The subsidiary line connects the data points of the scenarios.
Figure 8. Peak power within one year for procurement and feed-in for all countries. The results represent discrete data (four data points per scenario). The subsidiary line connects the data points of the scenarios.
Energies 13 05007 g008
Figure 9. Total electricity costs in all countries.
Figure 9. Total electricity costs in all countries.
Energies 13 05007 g009
Figure 10. Change of total costs in relation to demand scenario grid consumption.
Figure 10. Change of total costs in relation to demand scenario grid consumption.
Energies 13 05007 g010
Figure 11. Variation of power prices for the future scenario for Austria, Belgium, Germany and Portugal.
Figure 11. Variation of power prices for the future scenario for Austria, Belgium, Germany and Portugal.
Energies 13 05007 g011
Table 1. Overview of electric consumption in the scenarios.
Table 1. Overview of electric consumption in the scenarios.
LoadBaselineFuture
Common electric loadyesyes
Coolingyesyes
EVsnoyes
Heatingnoyes, as heat [ k W h t h e r m ]
Table 2. Installed PV per building for no commnunity (NC) and community (C), demand scenario baseline, in (kWp), rounded values.
Table 2. Installed PV per building for no commnunity (NC) and community (C), demand scenario baseline, in (kWp), rounded values.
BaselineATBEDEESFRITNLPT
BuildingNCCCNCNCCNCCNCCNCCNCCNCC
Apartm.10121617171824241214222312302330
Comm.2781112121216178101516801530
Comm.33055557744674060
Resid.10020309500540080
Resid.20034448600663080
Resid.300304496006500100
Resid.40044559830873090
Gr. Field0000000000000000
Sum20214442494882732729696730308061
Table 3. Installed PV per building for no commnunity (NC) and community (C), demand scenario future, in [kWp], rounded values.
Table 3. Installed PV per building for no commnunity (NC) and community (C), demand scenario future, in [kWp], rounded values.
FutureATBEDEESFRITNLPT
BuildingNCCCNCNCCNCCNCCNCCNCCNCC
Apartm.19203030303030302222303030303030
Comm.213142830283024261617252622302630
Comm.388111111111111991111110110
Resid.13077889744975090
Resid.25511111111111066111090110
Resid.355121212121212771212100120
Resid.4771414141414148814141101414
Gr. Field000000000000036037
Sum616011311611411711111171731121119997114112
Table 4. Variation of PV investment prices from 25 % to + 25 % and the effect on installed PV capacity and the total costs, based on the data of Portugal.
Table 4. Variation of PV investment prices from 25 % to + 25 % and the effect on installed PV capacity and the total costs, based on the data of Portugal.
Change of PV Investment PricesNo Community Community
PV CapacityCostsPV CapacityCosts
−25%3.57%-8.53%38.51%−9.65%
−10%3.57%−3.39%0.00%−3.38%
0%113.74 kWp23,264 €112.48 kWp21,921 €
10%−3.03%3.27%−12.16%3.18%
25%−6.47%8.02%−12.16%7.60%
Table 5. Variation of battery energy storage systems (BESS) investment prices from 25 % to + 25 % and the effect on installed BESS capacity and the total costs, based on the data of Spain.
Table 5. Variation of battery energy storage systems (BESS) investment prices from 25 % to + 25 % and the effect on installed BESS capacity and the total costs, based on the data of Spain.
Change of BESS Investment PricesNo Community Community
BESS CapacityCostsBESS CapacityCosts
−25%130.05%−4.29%347.82%−2.63%
−10%38.50%−1.26%69.63%−0.57%
0%38.77 kWh23,262 €15.22 kWh22,261 €
10%−5.80%1.04%−0.02%0.45%
25%−12.24%2.53%−60.33%0.96%

Share and Cite

MDPI and ACS Style

Radl, J.; Fleischhacker, A.; Revheim, F.H.; Lettner, G.; Auer, H. Comparison of Profitability of PV Electricity Sharing in Renewable Energy Communities in Selected European Countries. Energies 2020, 13, 5007. https://doi.org/10.3390/en13195007

AMA Style

Radl J, Fleischhacker A, Revheim FH, Lettner G, Auer H. Comparison of Profitability of PV Electricity Sharing in Renewable Energy Communities in Selected European Countries. Energies. 2020; 13(19):5007. https://doi.org/10.3390/en13195007

Chicago/Turabian Style

Radl, Johannes, Andreas Fleischhacker, Frida Huglen Revheim, Georg Lettner, and Hans Auer. 2020. "Comparison of Profitability of PV Electricity Sharing in Renewable Energy Communities in Selected European Countries" Energies 13, no. 19: 5007. https://doi.org/10.3390/en13195007

APA Style

Radl, J., Fleischhacker, A., Revheim, F. H., Lettner, G., & Auer, H. (2020). Comparison of Profitability of PV Electricity Sharing in Renewable Energy Communities in Selected European Countries. Energies, 13(19), 5007. https://doi.org/10.3390/en13195007

Note that from the first issue of 2016, this journal uses article numbers instead of page numbers. See further details here.

Article Metrics

Back to TopTop