Effects of Fast Elongation on Switching Arcs Characteristics in Fast Air Switches
Abstract
1. Introduction
2. Model Description
2.1. Model Assumptions
2.2. Experiment Setup and the Numerical Geometry
- First, the two arcs formed in FS are not symmetric. In addition to the random phenomena and the incommensurability of the two arcs in series inside the CB, the location of the anode and the cathode is opposite in two arcs, so two series arcs are entirely asymmetrical.
- Even if two arcs were symmetric, the object is not symmetric. So, the obtained solution of the axisymmetric model cannot help to determine the shape and length of arcs. Therefore, the model must be defined in Cartesian mode (2-D).
2.3. Properties of the Material
2.3.1. Gas (Air-Al Plasma)
2.3.2. Solids
2.4. Equations, Initial, and Boundary Conditions
2.4.1. MHD Equations and Sheath Model
2.4.2. Moving Mesh and Mesh Validating
2.5. Arc Ignition
2.6. Turbulent vs. Laminar
2.6.1. Plasma Numbers
2.6.2. Turbulent Model
2.7. The Arc Roots and the Sheath Model
3. Results
3.1. Temperature and Conductivity Dynamics
3.2. Simulated vs. Captured Appearance
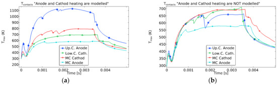
3.3. Impact of Thermionic Emission
3.4. Arc Mode Change and Interaction of Arcs in Series
4. Discussion
4.1. Cathode and Anode Vd
4.2. Effects of Fast Elongation on the Arc Voltage
4.3. Effects of Fast Elongation on the Convective Cooling and
5. Conclusions
- Utilizing moving mesh, a detailed 2-D FEM model for an air arc plasma in a prototype FS was presented. The numerical model was established based on MHD and NEC and was validated theoretically and experimentally. Comparing with other researches and experiments, all assumptions were explained in depth.
- The presented model can be adapted to a vast range of geometries, contact opening speeds up to 80 m/s, as well as various arc currents.
- The thermodynamics and electrical behavior of FEA, as well as their visual appearance, were extracted through post-processing of simulated variables and were validated through physical measurements.
- The change of arc mode from constricted to dispersed in FEA was investigated, and the thermo-emission effects on the arc parameters were observed in detail. It was revealed that arc images, arc temperature, and voltage simulated values, as well as the arc behavior, all confirm the change in arc mode.
- The impact of thermionic emission on the contact temperature and the change in σ near the sheath layer, as well as differences between stationary arc and FEA, were explained, and the influence of on the increment in Varc was investigated.
- The effects of fast elongation on the convective cooling and the change of the electric field inside the arc at different periods were extracted.
Author Contributions
Funding
Conflicts of Interest
References
- EPRI. Survey of Fault Current Limiter (FCL) Technologies-Update; Center of Advanced Power Systems (CAPS): Tallahassee, FL, USA, 2008; p. 54. [Google Scholar]
- CIGRE. Fault Current Limiters in Electrical Medium and High Voltage Systems; CIGRE: Paris, France, 2003. [Google Scholar]
- Steurer, M.; Fröhlich, K.; Holaus, W.; Kaltenegger, K. A novel hybrid current-limiting circuit breaker for medium voltage: Principle and test results. IEEE Trans. Power Deliv. 2003, 18, 460–467. [Google Scholar] [CrossRef]
- Bissal, A. Modeling and Verification of Ultra-Fast Electro-Mechanical Actuators for HVDC Breakers; KTH: Stockholm, Sweden, 2015. [Google Scholar]
- Park, S.H.; Jang, H.J.; Chong, J.K.; Lee, W.Y. Dynamic analysis of Thomson coil actuator for fast switch of HVDC circuit breaker. In Proceedings of the 3rd International Conference on Electric Power Equipment-Switching Technology (ICEPE-ST), Busan, Korea, 25–28 October 2015; pp. 425–430. [Google Scholar]
- Skarby, P.; Steiger, U. An Ultra-fast Disconnecting Switch for a Hybrid HVDC Breaker–a technical breakthrough. In Proceedings of the 2013 CIGRÉ Canada Conference, Calgary, AB, Canada, 9–11 September 2013. [Google Scholar]
- Basu, S.; Srivastava, K.D. Analysis of a Fast Acting Circuit Breaker Mechanism Part I: Electrical Aspects. IEEE Trans. Power Appar. Syst. 1972, PAS-91, 1197–1203. [Google Scholar] [CrossRef]
- Fröhlich, K.; Holaus, W.; Kaltenegger, K.; Steurer, M. High-Speed Current-Limiting Switch. U.S. Patent 6,535,366, 18 March 2003. [Google Scholar]
- Holaus, W.; Sartori, S.; Steurer, M.; Fröhlich, K.; Kaltenegger, K. High-Speed Mechanical Switching Point. U.S. Patent 6,636,134, 21 October 2003. [Google Scholar]
- Jovcic, D. Fast Commutation of DC Current into a Capacitor Using Moving Contacts. IEEE Trans. Power Deliv. 2019. [Google Scholar] [CrossRef]
- Holaus, W.; Fröhlich, K. Ultra-fast switches—A new element for medium voltage fault current limiting switchgear. In Proceedings of the IEEE Power Engineering Society Winter Meeting, New York, NY, USA, 27–31 January 2002; Volume 291, pp. 299–304. [Google Scholar]
- Holaus, W. Ultra Fast Switches–Basic Elements for Future Medium Voltage Switchgear; Swiss Federal Institute of Technology (ETH): Zurich, Switzerland, 2001. [Google Scholar]
- Kadivar, A. Electromagnetic Actuators for Ultra-fast Air Switches to Increase Arc Voltage by Increasing Contact Speed. In Proceedings of the 34th International Power System Conference (PSC-2019), Tehran, Iran, 9–11 December 2019. [Google Scholar]
- Wu, Y.; Li, M.; Rong, M.; Wu, Y.; Yang, F. A new model for Thomson-type actuator including the pressure buffer. Adv. Mech. Eng. 2015, 7. [Google Scholar] [CrossRef]
- Vilchis-Rodriguez, D.S.; Shuttleworth, R.; Barnes, M. Double-sided Thomson coil based actuator: Finite element design and performance analysis. In Proceedings of the 8th IET International Conference on Power Electronics, Machines and Drives (PEMD 2016), Glasgow, UK, 19–21 April 2016; pp. 1–6. [Google Scholar]
- Bissal, A.; Magnusson, J.; Engdahl, G. Electric to Mechanical Energy Conversion of Linear Ultrafast Electromechanical Actuators Based on Stroke Requirements. IEEE Trans. Ind. Appl. 2015, 51, 3059–3067. [Google Scholar] [CrossRef]
- Peng, C.; Husain, I.; Huang, A.Q.; Lequesne, B.; Briggs, R. A Fast Mechanical Switch for Medium-Voltage Hybrid DC and AC Circuit Breakers. IEEE Trans. Ind. Appl. 2016, 52, 2911–2918. [Google Scholar] [CrossRef]
- Yuan, Z.; He, J.; Pan, Y.; Jing, X.; Zhong, C.; Zhang, N.; Wei, X.; Tang, G. Research on ultra-fast vacuum mechanical switch driven by repulsive force actuator. Rev. Sci. Instrum. 2016, 87, 125103. [Google Scholar] [CrossRef]
- Pei, X.; Smith, A.C.; Shuttleworth, R.; Vilchis-Rodriguez, D.S.; Barnes, M. Fast Operating Moving Coil Actuator for a Vacuum Interrupter. IEEE Trans. Energy Convers. 2017, 32, 931–940. [Google Scholar] [CrossRef]
- Peng, C.; Song, X.; Huang, A.; Husain, I. A Medium-Voltage Hybrid DC Circuit Breaker-Part II: Ultrafast Mechanical Switch. IEEE J. Emerg. Sel. Top. Power Electron. 2017, 5, 8. [Google Scholar] [CrossRef]
- Bissal, A.; Salinas, E. Thomson Coil Based Actuator. U.S. Patent 9,911,562, 6 March 2018. [Google Scholar]
- Berger, S. Mathematical approach to model rapidly elongated free-burning arcs in air in electric power circuits. In Proceedings of the 23rd International Conference on Electrical Contacts, Sendai, Japan, 6–9 June 2006; pp. 516–522. [Google Scholar]
- Sawicki, A.; Haltof, M. Spectral and integral methods of determining parameters in selected electric arc models with a forced sinusoid current circuit. Przegląd Elektrotechniczny 2016, 65, 17. [Google Scholar] [CrossRef]
- Kadivar, A.; Niayesh, K. Practical methods for electrical and mechanical measurement of high speed elongated arc parameters. Measurement 2014, 55, 14. [Google Scholar] [CrossRef]
- Wu, Z.; Wu, G.; Dapino, M.; Pan, L.; Ni, K. Model for Variable-Length Electrical Arc Plasmas Under AC Conditions. IEEE Trans. Plasma Sci. 2015, 43, 2730–2737. [Google Scholar] [CrossRef]
- Sawicki, A. Problems of modeling an electrical arc with variable geometric dimensions. Przegląd Elektrotechniczny 2013, 89, 6. [Google Scholar]
- Nottingham, W.B. A New Equation for the Static Characteristic of the Normal Electric Arc. J. Am. Inst. Electr. Eng. 1923, 42, 12–19. [Google Scholar] [CrossRef]
- Sawicki, A.; Haltof, M. Mathematical models of electric arc with variable plasma column length used for simulations of processes in gliding arc plasmatrons. Przegląd Elektrotechniczny 2016, 92, 4. [Google Scholar] [CrossRef][Green Version]
- Li, P.; Zhang, Y.M. Robust sensing of arc length. IEEE Trans. Instrum. Meas. 2001, 50, 697–704. [Google Scholar] [CrossRef]
- Hutchison, R.M. Extraction of Arc Length from Voltage and Current Feedback. U.S. Patent 9,539,662, 10 January 2017. [Google Scholar]
- Seeger, M.; Naidis, G.; Steffens, A.; Nordborg, H.; Claessens, M. Investigation of the dielectric recovery in synthetic air in a high voltage circuit breaker. J. Phys. D Appl. Phys. 2005, 38, 1795. [Google Scholar]
- Nakano, T.; Tanaka, Y.; Murai, K.; Uesugi, Y.; Ishijima, T.; Tomita, K.; Suzuki, K.; Shinkai, T. Thermal re-ignition processes of switching arcs with various gas-blast using voltage application highly controlled by powersemiconductors. J. Phys. D Appl. Phys. 2018, 51, 215202. [Google Scholar]
- Peelo, D.F. Current Interruption Using High Voltage Air-Break Disconnectors; Technische Universiteit Eindhoven: Eindhoven, The Netherlands, 2004. [Google Scholar]
- Li, X.; Wang, X.; Yin, N.; Gao, Q.; Miao, S.; Shan, C.; Huang, X. Simulation on failure analysis of vacuum circuit breaker permanent magnet operating mechanism based on three-parameter method. In Proceedings of the IEEE International Conference on Power System Technology (POWERCON), Wollongong, Australia, 28 September–1 October 2016; pp. 1–6. [Google Scholar]
- Jonsson, E.; Aanensen, N.S.; Runde, M. Current Interruption in Air for a Medium-Voltage Load Break Switch. IEEE Trans. Power Deliv. 2014, 29, 870–875. [Google Scholar] [CrossRef]
- Aanensen, N.S.; Jonsson, E.; Runde, M. Air-Flow Investigation for a Medium-Voltage Load Break Switch. IEEE Trans. Power Deliv. 2015, 30, 299–306. [Google Scholar] [CrossRef]
- Støa-Aanensen, N.; Runde, M.; Teigset, A.D. Arcing voltage for a medium-voltage air load break switch. In Proceedings of the 61st IEEE Holm Conference on Electrical Contacts, San Diego, CA, USA, 11–14 October 2015; pp. 101–106. [Google Scholar]
- Balestrero, A.; Ghezzi, L.; Popov, M.; Sluis, L.V.D. Current Interruption in Low-Voltage Circuit Breakers. IEEE Trans. Power Deliv. 2010, 25, 206–211. [Google Scholar] [CrossRef]
- Støa-Aanensen, N.; Runde, M.; Jonsson, E.; Teigset, A.D. Empirical Relationships Between Air-Load Break Switch Parameters and Interrupting Performance. IEEE Trans. Power Deliv. 2016, 31, 278–285. [Google Scholar] [CrossRef][Green Version]
- Sarrailh, P.; Garrigues, L.; Hagelaar, G.J.M.; Boeuf, J.; Sandolache, G.; Rowe, S.W.; Jusselin, B. Two-Dimensional Simulation of the Post-Arc Phase of a Vacuum Circuit Breaker. IEEE Trans. Plasma Sci. 2008, 36, 1046–1047. [Google Scholar] [CrossRef]
- Huber, E.F.J.; Weltmann, K.D.; Froehlich, K. Influence of interrupted current amplitude on the post-arc current and gap recovery after current zero-experiment and simulation. IEEE Trans. Plasma Sci. 1999, 27, 930–937. [Google Scholar] [CrossRef]
- Davidson, P.A. Introduction to magnetohydrodynamics, 2nd ed.; TJ International Ltd.: Padstow, UK, 2017. [Google Scholar]
- Freton, P.; Gonzalez, J.J.; Gleizes, A. Comparison between a two- and a three-dimensional arc plasma configuration. J. Phys. D Appl. Phys. 2000, 33, 2442. [Google Scholar] [CrossRef]
- Schneidenbach, H.; Uhrlandt, D.; Frank, S.; Seeger, M. Temperature profiles of an ablation-controlled arc in PTFE: II. Simulation of side-on radiances. J. Phys. D Appl. Phys. 2007, 40, 7402. [Google Scholar] [CrossRef]
- Cressault, Y.; Gleizes, A.; Riquel, G. Properties of air-aluminum thermal plasmas. J. Phys. D Appl. Phys. 2012, 45, 265202. [Google Scholar] [CrossRef]
- Vacquie, S. Influence of metal vapours on arc properties. Pure Appl. Chem. 1996, 68, 1133–1136. [Google Scholar] [CrossRef]
- Lago, F.; Gonzalez, J.J.; Freton, P.; Gleizes, A. A numerical modelling of an electric arc and its interaction with the anode: Part I. The two-dimensional model. J. Phys. D Appl. Phys. 2004, 37, 883. [Google Scholar] [CrossRef]
- Rong, M.; Ma, Q.; Wu, Y.; Xu, T.; Murphy, A.B. The influence of electrode erosion on the air arc in a low-voltage circuit breaker. J. Appl. Phys. 2009, 106, 10. [Google Scholar] [CrossRef]
- Jin Ling, Z.; Jiu Dun, Y.; Fang, M.T.C. Electrode evaporation and its effects on thermal arc behavior. IEEE Trans. Plasma Sci. 2004, 32, 1352–1361. [Google Scholar] [CrossRef]
- Murphy, A.B. Influence of metal vapour on arc temperatures in gas–metal arc welding: Convection versus radiation. J. Phys. D Appl. Phys. 2013, 46, 224004. [Google Scholar] [CrossRef]
- Kadivar, A.; Niayesh, K. Two-way Interaction between switching arc and solid surfaces: Distribution of ablated contact and nozzle materials. J. Phys. D Appl. Phys. 2019, 52. [Google Scholar] [CrossRef]
- Aubrecht, V.; Bartlova, M.; Coufal, O. Radiative emission from air thermal plasmas with vapour of Cu or W. J. Phys. D Appl. Phys. 2010, 43, 434007. [Google Scholar] [CrossRef]
- Capitelli, M.; Colonna, G.; Gorse, C.; D’Angola, A. Transport properties of high temperature air in local thermodynamic equilibrium. Eur. Phys. J. D 2000, 11, 11. [Google Scholar] [CrossRef]
- D’Angola, A.; Colonna, G.; Gorse, C.; Capitelli, M. Thermodynamic and transport properties in equilibrium air plasmas in a wide pressure and temperature range. Eur. Phys. J. D 2008, 46, 22. [Google Scholar] [CrossRef]
- Dixon, C.M.; Yan, J.D.; Fang, M.T.C. A comparison of three radiation models for the calculation of nozzle arcs. J. Phys. D Appl. Phys. 2004, 37, 3309. [Google Scholar] [CrossRef]
- Reichert, F.; Rümpler, C.; Berger, F. Application of different radiation models in the simulation of air plasma flows. In Proceedings of the 17th International Conference on Gas Discharges and Their Applications, Cardiff, UK, 7–12 September 2008; pp. 141–144. [Google Scholar]
- Sylvain, C.; Jean-Luc, M. Theoretical prediction of non-thermionic arc cathode erosion rate including both vaporization and melting of the surface. Plasma Sources Sci. Technol. 2000, 9, 239. [Google Scholar] [CrossRef]
- Naghizadeh-Kashani, Y.; Cressault, Y.; Gleizes, A. Net emission coefficient of air thermal plasmas. J. Phys. D Appl. Phys. 2002, 35, 2925. [Google Scholar] [CrossRef]
- Capitelli, M.; Colonna, G.; D’Angola, A. Fundamental Aspects of Plasma Chemical Physics, Thermodynamics, 1st ed.; Springer: New York, NY, USA, 2012; Volume 1, p. 310. [Google Scholar]
- Capitelli, M.; Bruno, D.; Laricchiuta, A. Fundamental Aspects of Plasma Chemical Physics, Transport, 1st ed.; Springer: New York, NY, USA, 2013; p. 352. [Google Scholar] [CrossRef]
- Koelman, P.M.J.; Mousavi, S.T.; Perillo, R.; Graef, W.; Mihailova, D.B.; van Dijk, J. Studying complex chemistries using PLASIMO’s global model. J. Phys. Conf. Ser. 2016, 682, 012034. [Google Scholar] [CrossRef]
- Kadivar, A.; Niayesh, K. Metal vapor content of an electric arc initiated by exploding wire in a model N2 circuit breaker: Simulation and experiment. J. Phys. D Appl. Phys. 2020, in press. [Google Scholar]
- Nave, C.L. Magnetic Properties of Solids. Available online: http://hyperphysics.phy-astr.gsu.edu/hbase/Tables/magprop.html (accessed on 18 August 2018).
- Artale, C.; Fermepin, S.; Forti, M.; Latino, M.; Quintero, M.; Granja, L.; Sacanell, J.; Polla, G.; Levy, P. Electric and magnetic properties of PMMA/manganite composites. Phys. B Condens. Matter 2009, 404, 2760–2762. [Google Scholar] [CrossRef]
- Munoz, J.; Rojo, M.; Parrefio, A.; Margineda, J. Automatic measurement of permittivity and permeability at microwave frequencies using normal and oblique free-wave incidence with focused beam. IEEE Trans. Instrum. Meas. 1998, 47, 886–892. [Google Scholar] [CrossRef]
- Haynes, W.M.; Lide, D.R.; Bruno, T.J. CRC Handbook of Chemistry and Physics, 96th ed.; CRC Press: Boca Raton, FL, USA, 2015; Volume 1. [Google Scholar]
- Dellino, G.; Meloni, C. Uncertainty Management in Simulation-Optimization of Complex Systems, Algorithms and Applications; Springer: Boston, MA, USA, 2015; Volume 59. [Google Scholar]
- Kriegel, M.; Uzelac, N. Simulations as Verification Tool for Design and Performance Evaluation of Switchgears. In Switching Equipment; Ito, H., Ed.; Springer International Publishing: Cham, Switzerland, 2019; pp. 379–397. [Google Scholar] [CrossRef]
- Dijk, J.V.; Kroesen, G.M.W.; Bogaerts, A. Plasma modelling and numerical simulation. J. Phys. D Appl. Phys. 2009, 42, 190301. [Google Scholar] [CrossRef]
- Crowell, C.R. The Richardson constant for thermionic emission in Schottky barrier diodes. Solid State Electron. 1965, 8, 395–399. [Google Scholar] [CrossRef]
- Hauser, A.; Branston, D.W. Numerical simulation of a moving arc in 3D. In Proceedings of the 17th International Conference on Gas Discharges and Their Applications, Cardiff, UK, 7–12 September 2008; pp. 213–216. [Google Scholar]
- Proskurovsky, D.I. Explosive Electron Emission from Liquid-Metal Cathodes. IEEE Trans. Plasma Sci. 2009, 37, 1348–1361. [Google Scholar] [CrossRef]
- Wilson, R.G. Vacuum Thermionic Work Functions of Polycrystalline Nb, Mo, Ta, W, Re, Os, and Ir. J. Appl. Phys. 1966, 37, 3170–3172. [Google Scholar] [CrossRef]
- Modinos, A. Theory of thermionic emission. Surface Sci. 1982, 115, 469–500. [Google Scholar] [CrossRef]
- Cayla, F.; Freton, P.; Gonzalez, J.J. Arc/Cathode Interaction Model. IEEE Trans. Plasma Sci. 2008, 36, 1944–1954. [Google Scholar] [CrossRef]
- Mutzke, A.; Rüther, T.; Lindmayer, M.; Kurrat, M. Arc behavior in low-voltage arc chambers. Eur. Phys. J. Appl. Phys. 2010, 49, 22910. [Google Scholar] [CrossRef]
- Barral, N.; Alauzet, F. Three-dimensional CFD simulations with large displacement of the geometries using a connectivity-change moving mesh approach. Eng. Comput. 2019, 35, 397–422. [Google Scholar] [CrossRef]
- COMSOL. Version 5.4a, Reference Manual; COMSOL Multiphysics: Stockholm, Sweden, 2019. [Google Scholar]
- Schenk, O.; Gärtner, K.; Fichtner, W.; Stricker, A. PARDISO: A high-performance serial and parallel sparse linear solver in semiconductor device simulation. Future Gener. Comput. Syst. 2001, 18, 69–78. [Google Scholar] [CrossRef]
- Huguenot, P.; Kumar, H.; Wheatley, V.; Jeltsch, R.; Schwab, C. Numerical Simulations of High Current Arc in CB. In Proceedings of the 24th International Conference on Electrical Contacts, Saint-Malo, France, 9–12 June 2008. [Google Scholar]
- Schlichting, H.; Gersten, K. Boundary-Layer Theory, 9th ed.; Springer: Berlin Heidelberg, Germany, 2017. [Google Scholar] [CrossRef]
- Krouchinin, A.M.; Sawicki, A.; Częstochowska, P. A Theory of Electrical Arc Heating; Technical University of Częstochowa: Częstochowa, Poland, 2003. [Google Scholar] [CrossRef]
- Mutzke, A.; Ruther, T.; Kurrat, M.; Lindmayer, M.; Wilkening, E.D. Modeling the Arc Splitting Process in Low-Voltage Arc Chutes. In Proceedings of the 53rd IEEE Holm conference on Electrical Contacts, Pittsburgh, PA, USA, 16–19 September 2007; pp. 175–182. [Google Scholar]
- Howatson, A.M. An Introduction to Gas Discharges, 2nd ed.; Pergamon Press: Oxford, NY, USA, 1976. [Google Scholar]
- Jiao-Min, L.; Jie, Z.; Bai-Hong, T.; Zhen-Zhou, W. A Study On Temperature Distribution of arc Cross Section of Low-Voltage Apparatus. In Proceedings of the 2005 International Conference on Machine Learning and Cybernetics, Guangzhou, China, 18–21 August 2005; pp. 315–320. [Google Scholar]
- Valerian, A.N. Anode layer in a high-current arc in atmospheric pressure nitrogen. J. Phys. D Appl. Phys. 2005, 38, 4082. [Google Scholar] [CrossRef]
- Niayesh, K.; Runde, M. Power Switching Components, Theory, Applications and Future Trends, 1st ed.; Springer: New York, NY, USA, 2017; p. 249. [Google Scholar] [CrossRef]
- Benilov, M.S. Analysis of ionization non-equilibrium in the near-cathode region of atmospheric-pressure arcs. J. Phys. D Appl. Phys. 1999, 32, 257. [Google Scholar] [CrossRef]
- Rei, H.; Yasunobu, Y.; Toshiro, M. Anode-fall and cathode-fall voltages of air arc in atmosphere between silver electrodes. J. Phys. D Appl. Phys. 2003, 36, 1097. [Google Scholar] [CrossRef][Green Version]
- McBride, J.W.; Weaver, P.M. Review of arcing phenomena in low voltage current limiting circuit breakers. Sci. Meas. Tech. IEE Proc. 2001, 148, 1–7. [Google Scholar] [CrossRef]
- Watanabe, S.; Kokura, K.; Minoda, K.; Sato, S. Characteristics of the Arc Voltage of a High-Current Air Arc in a Sealed Chamber. Electr. Eng. 2014, 186, 9. [Google Scholar] [CrossRef]
- Rong, M.; Yang, F.; Wu, Y.; Murphy, A.B.; Wang, W.; Guo, J. Simulation of Arc Characteristics in Miniature Circuit Breaker. IEEE Trans. Plasma Sci. 2010, 38, 2306–2311. [Google Scholar] [CrossRef]
- Kadivar, A.; Niayesh, K. Simulation of free burning arcs and arcs Inside Cylindrical Tubes initiated by exploding wires. In Proceedings of the 5th International Conference on Electric Power Equipment-Switching Technology (ICEPE-ST), Kitakyushu, Japan, 13–16 October 2019. [Google Scholar]
- Kadivar, A.; Niayesh, K. Dielectric Recovery of Ultrafast-Commutating Switches used for HVDC and Fault Current Limiting Applications. In Proceedings of the 5th International Conference on Electric Power Equipment-Switching Technology (ICEPE-ST), Kitakyushu, Japan, 13–16 October 2019. [Google Scholar]
- Liu, K.; Ashwin, T.R.; Hu, X.; Lucu, M.; Widanage, W.D. An evaluation study of different modelling techniques for calendar ageing prediction of lithium-ion batteries. Renew. Sustain. Energy Rev. 2020, 131, 110017. [Google Scholar] [CrossRef]
- Liu, K.; Hu, X.; Wei, Z.; Li, Y.; Jiang, Y. Modified Gaussian Process Regression Models for Cyclic Capacity Prediction of Lithium-Ion Batteries. IEEE Trans. Transp. Electrif. 2019, 5, 1225–1236. [Google Scholar] [CrossRef]
- Jong-Chul, L.; Kim, Y.J. Calculation of the interruption Process of a self-blast circuit breaker. IEEE Trans. Magn. 2005, 41, 1592–1595. [Google Scholar] [CrossRef]
- Barbu, B.; Berger, F. Sheath layer modeling for switching arcs. In Proceedings of the ICEC 2014 the 27th International Conference on Electrical Contacts, Dresden, Germany, 22–26 June 2014; pp. 1–6. [Google Scholar]
- González, D.; Berger, F. Arc running behaviour between parallel rails of different metals and compounds used in miniature circuit breakers. In Proceedings of the 2013 48th International Universities’ Power Engineering Conference (UPEC), Dublin, Ireland, 2–5 September 2013; pp. 1–6. [Google Scholar]

















| Property | PMMA | Al | Cu | Unit |
| CP | 1420 | 900 | 385 | J/(kg·K) |
| κ | 0.19 | 238 | 400 | W/(m·K) |
| σ | 1 × 1012 | 3.774 × 107 | 5.998 × 107 | S/m |
| ρ | 1190 | 2700 | 8700 | kg/m³ |
© 2020 by the authors. Licensee MDPI, Basel, Switzerland. This article is an open access article distributed under the terms and conditions of the Creative Commons Attribution (CC BY) license (http://creativecommons.org/licenses/by/4.0/).
Share and Cite
Kadivar, A.; Niayesh, K. Effects of Fast Elongation on Switching Arcs Characteristics in Fast Air Switches. Energies 2020, 13, 4846. https://doi.org/10.3390/en13184846
Kadivar A, Niayesh K. Effects of Fast Elongation on Switching Arcs Characteristics in Fast Air Switches. Energies. 2020; 13(18):4846. https://doi.org/10.3390/en13184846
Chicago/Turabian StyleKadivar, Ali, and Kaveh Niayesh. 2020. "Effects of Fast Elongation on Switching Arcs Characteristics in Fast Air Switches" Energies 13, no. 18: 4846. https://doi.org/10.3390/en13184846
APA StyleKadivar, A., & Niayesh, K. (2020). Effects of Fast Elongation on Switching Arcs Characteristics in Fast Air Switches. Energies, 13(18), 4846. https://doi.org/10.3390/en13184846

