Extraction of Nitrogen Compounds from Tobacco Waste via Thermal Treatment
Abstract
1. Introduction
2. Materials and Methods
2.1. Materials
2.2. Experimental and Analysis Methods
3. Results and Discussion
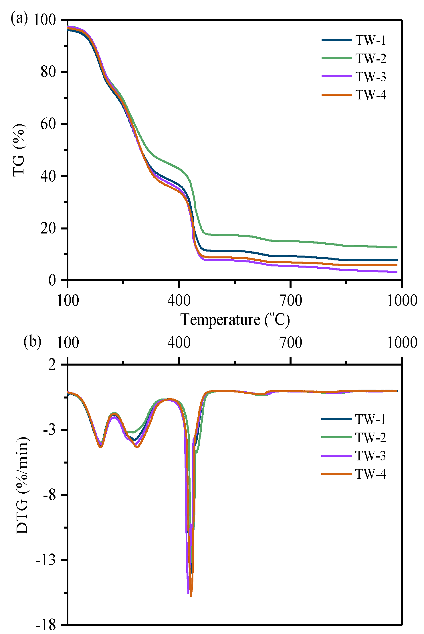
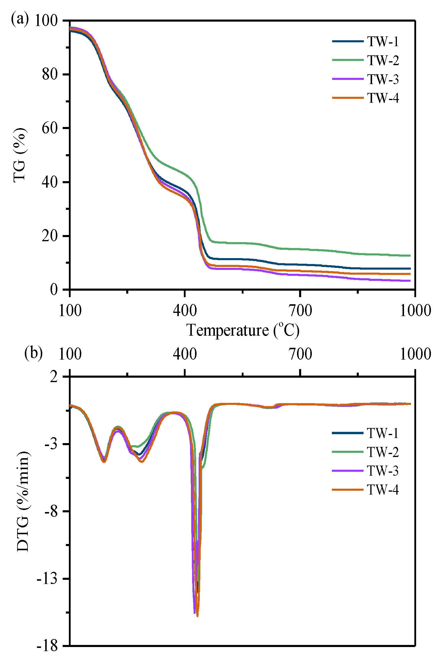
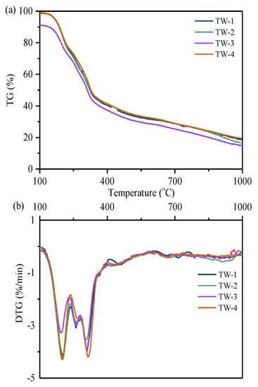
3.1. Components and Distribution Characteristics of Tobacco Waste
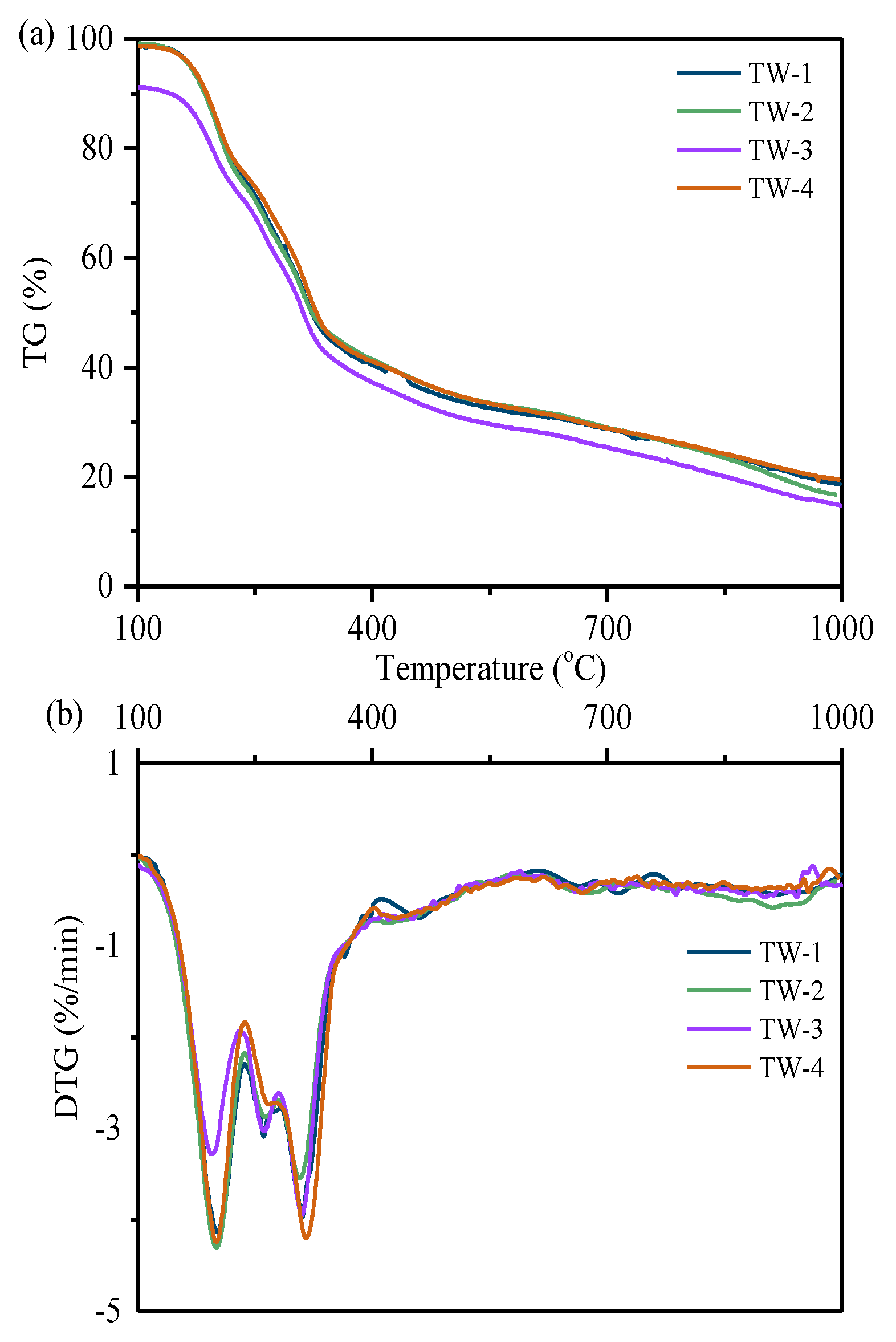
3.2. Conversion Behaviors of Nitrogen Compounds during Thermal Treatment
4. Conclusions
Supplementary Materials
Author Contributions
Funding
Acknowledgments
Conflicts of Interest
References
- Yang, Y.Q.; Chu, G.H. Rapid determination of the volatile components in tobacco by ultrasound-microwave synergistic extraction coupled to headspace solid-phase microextraction with gas chromatography-mass spectrometry. J. Sep. Sci. 2016, 39, 1173–1181. [Google Scholar] [CrossRef]
- Savareear, B.; Brokl, M. Thermal desorption comprehensive two-dimensional gas chromatography coupled to time of flight mass spectrometry for vapour phase mainstream tobacco smoke analysis. J. Chromatogr. A 2017, 1525, 126–137. [Google Scholar] [CrossRef]
- D’Asaro, J.A.; Telepchak, M.J. Determination of tobacco alkaloids using solid-phase extraction. Am. Lab. 2004, 36, 13–17. [Google Scholar]
- Herraiz, T.; Chaparro, C. Human monoamine oxidase is inhibited by tobacco smoke: β-carboline alkaloids act as potent and reversible inhibitors. Biochem. Biophys. Res. Commun. 2005, 326, 378–386. [Google Scholar] [CrossRef]
- Zhang, Y.; Zhang, X.Z. Extraction technology of tobacco absolute oil by compound Solvent. Acad. Period. Farm Prod. Process. 2012, 274, 55–59. [Google Scholar]
- An, T.Y.; Huang, R.Q. Alkaloids from Cynanchum komarovii with inhibitory activity against the tobacco mosaic virus. Phytochemistry 2001, 58, 1267–1269. [Google Scholar] [CrossRef]
- Jones, N.M.; Gabriela, B.G. Comparison of methods for extraction of tobacco alkaloids. J. AOAC Int. 2001, 84, 309–316. [Google Scholar] [CrossRef]
- Strezov, V.; Popovic, E. Assessment of the thermal processing behavior of tobacco waste. Energy Fuels 2012, 26, 5930–5935. [Google Scholar] [CrossRef]
- Chen, M.; Liu, S. Catalytic effects of several additives on co-pyrolysis of tobacco stalk and Waste Rubber Tire Powder. In Proceedings of the International Conference on Materials for Renewable Energy & Environment, Shanghai, China, 20–22 May 2011; pp. 322–326. [Google Scholar]
- Seredych, M.; Bandosz, T.J. Tobacco waste/industrial sludge based desulfurization adsorbents: Effect of phase interactions during pyrolysis on surface activity. Environ. Sci. Technol. 2007, 41, 3715–3721. [Google Scholar] [CrossRef] [PubMed]
- Onorevoli, B.; Pereira, D.S.M.G. Characterization of feedstock and biochar from energetic tobacco seed waste pyrolysis and potential application of biochar as an adsorbent. J. Environ. Chem. Eng. 2018, 6, 1279–1287. [Google Scholar] [CrossRef]
- Kim, D.; Yoshikawa, K. Characteristics of biochar obtained by hydrothermal carbonization of cellulose for renewable energy. Energies 2015, 8, 14040–14048. [Google Scholar] [CrossRef]
- Liang, J.Y.; Yu, Z.S. Microwave pretreatment power and duration time effects on the catalytic pyrolysis behaviors and kinetics of water hyacinth. Bioresour. Technol 2019, 286, 121369. [Google Scholar] [CrossRef] [PubMed]
- Mohammed, J.B.; Ashfaque, A.C. Pyrolysis of municipal green waste: A modelling, simulation and experimental analysis. Energies 2015, 8, 7522–7541. [Google Scholar]
- Schmeltz, I.; Hoffmann, D. Nitrogen-containing compounds in tobacco and tobacco smoke. Chem. Rev. 1977, 77, 295–311. [Google Scholar] [CrossRef]
- Hameed, S.; Yu, Y. A review on biomass pyrolysis models: Kinetic, network and mechanistic models. Biomass Bioenergy 2019, 123, 104–122. [Google Scholar] [CrossRef]
- Zhang, W.D.; Li, Y.P. Effects of Curing Condition on contents of three nitrogen compounds of flue-cured tobacco leaves. J. Anhui Agric. Sci. 2009, 37, 16325–16327. [Google Scholar]
- McGrath, T.E.; Brown, A.P. Phenolic compound formation from the low temperature pyrolysis of tobacco. J. Anal. Appl. Pyrolysis 2009, 84, 170–178. [Google Scholar] [CrossRef]
- Cui, Q.W.; Tian, L.L. Study on correlation between main nitrogen compounds and flue gas ammonia emission of flue-cured tobacco in baking process. Acta Agric. Jiangxi 2012, 24, 95–97. [Google Scholar]
- Yang, J.; Yang, S. Investigation of thermogravimetry and pyrolysis behavior of tobacco material in two heat-not-burn cigarette brands. Acta Table Sin. 2015, 21, 7–13. [Google Scholar]
- Mcgrath, T.E.; Wooten, J.B. Formation of polycyclic aromatic hydrocarbons from tobacco: The link between low temperature residual solid (char) and PAH formation. Food Chem. Toxicol. 2007, 45, 1039–1050. [Google Scholar] [CrossRef]
- Fraga, L.G.; Silva, J. Influence of Operating Conditions on the Thermal Behavior and Kinetics of Pine Wood Particles Using Thermogravimetric Analysis. Energies 2020, 13, 2756. [Google Scholar] [CrossRef]
- Nie, J.; Yu, G. Microwave-assisted deep eutectic solvent extraction coupled with headspace solid-phase microextraction followed by GC-MS for the analysis of volatile compounds from tobacco. Anal. Methods 2017, 9, 856–863. [Google Scholar] [CrossRef]
- Zheng, S.J.; Gu, W.B. Influence of cigarette smoking parameters on burning temperature and delivery levels of smoke constituents. Acta Table Sin. 2007, 13, 6–11. [Google Scholar]
- Torikai, K.; Yoshida, S. Effects of temperature, atmosphere and pH on the generation of smoke compounds during tobacco pyrolysis. Food Chem. Toxicol. 2004, 42, 1409–1417. [Google Scholar] [CrossRef]
- Liu, S.; Tang, P.P. Smoke release characteristics of tobacco leaves under heating. Tob. Sci. Technol. 2015, 48, 27–31. [Google Scholar]
- Nsaful, F.; Collard, F.X. Lignocellulose pyrolysis with condensable volatiles quantification by thermogravimetric analysis—Thermal desorption/gas chromatography–mass spectrometry method. J. Anal. Appl. Pyrolysis 2015, 116, 86–95. [Google Scholar] [CrossRef]
- Gunasee, S.; Carrier, M. Pyrolysis and combustion of municipal solid wastes: Evaluation of synergistic effects using TGA-MS. J. Anal. Appl. Pyrolysis 2016, 121, 50–61. [Google Scholar] [CrossRef]
- Yang, H.P.; Yan, R. Characteristics of Hemicellulose, Cellulose and Lignin Pyrolysis. Fuel 2007, 86, 1781–1788. [Google Scholar] [CrossRef]
- Wang, S.; Jiang, D. Study on the interaction effect of seaweed bio-coke and rice husk volatiles during co-pyrolysis. J. Anal. Appl. Pyrolysis 2018, 132, 111–122. [Google Scholar] [CrossRef]
- Taylor, M.J.; Michopoulos, A.K. Probing Synergies between Lignin-Rich and Cellulose Compounds for Gasification. Energies 2020, 13, 2590. [Google Scholar] [CrossRef]
- Kalogiannis, K.G.; Matsakas, L. Aromatics from Beechwood Organosolv Lignin through Thermal and Catalytic Pyrolysis. Energies 2019, 12, 1606. [Google Scholar] [CrossRef]
- Marcilla, A.; Beltran, M.I. Nicotine/mesoporous solids interactions at increasing temperatures under inert and air environments. J. Anal. Appl. Pyrolysis 2016, 116, 162–172. [Google Scholar] [CrossRef]
- Baker, R.R. A review of pyrolysis studies to unravel reaction steps in burning tobacco. J. Anal. Appl. Pyrolysis 1987, 11, 555–573. [Google Scholar] [CrossRef]
- Liu, Z.C.; Lu, S.M. Investigation of the Pyrolysis Products of Nicotine by PY/GC-MS. Fine Chem. 2009, 26, 480–484. [Google Scholar]
- Liu, B.Z.; Yao, W. Racemization of S-(−)-nicotine during smoking and its relationship with pyrolysis process. J. Anal. Appl. Pyrolusis 2008, 81, 157–161. [Google Scholar] [CrossRef]







| Samples | Proximate Analysis (%) a | Ultimate Analysis (%) a | ||||||
|---|---|---|---|---|---|---|---|---|
| Volatile | Ash | FC b | C | H | O c | N | S | |
| TW-1 | 59.38 | 11.57 | 28.95 | 36.74 | 4.92 | 41.18 | 5.32 | 0.27 |
| TW-2 | 54.43 | 15.44 | 30.13 | 39.65 | 4.01 | 35.88 | 4.71 | 0.31 |
| TW-3 | 62.17 | 10.84 | 26.99 | 34.43 | 5.23 | 44.66 | 4.37 | 0.47 |
| TW-4 | 63.29 | 9.55 | 27.16 | 30.81 | 5.71 | 50.55 | 3.19 | 0.19 |
| Sample | Residue at 1000 °C (%) | DTG Peak Temperature (°C) | DTG Max (%/min) | Mass-Loss of the First Two Peak (%) |
|---|---|---|---|---|
| TW-1 | 7.8 | 186, 284, 431 | −14.0 | 56.75 |
| TW-2 | 12.7 | 189, 277, 435 | −13.2 | 52.31 |
| TW-3 | 3.5 | 190, 283, 425 | −15.3 | 59.61 |
| TW-4 | 5.9 | 189, 291, 433 | −15.9 | 60.70 |
| Sample | Residue at 1000 °C (%) | DTG Peak Temperature (°C) | DTG Max (%/min) | Mass-Loss of the First Two Peak (%) |
|---|---|---|---|---|
| TW-1 | 18.7 | 202, 262, 311 | −4.1 | 37.05 |
| TW-2 | 16.6 | 199, 263, 308 | −4.3 | 36.55 |
| TW-3 | 14.8 | 196, 261, 310 | −3.9 | 31.37 |
| TW-4 | 19.5 | 201, 266, 312 | −4.2 | 34.36 |
© 2020 by the authors. Licensee MDPI, Basel, Switzerland. This article is an open access article distributed under the terms and conditions of the Creative Commons Attribution (CC BY) license (http://creativecommons.org/licenses/by/4.0/).
Share and Cite
Wei, M.; Yang, F.; Song, X.; Li, R.; Pan, X.; Gao, Q.; He, Y.; Ye, M.; Hu, H. Extraction of Nitrogen Compounds from Tobacco Waste via Thermal Treatment. Energies 2020, 13, 4619. https://doi.org/10.3390/en13184619
Wei M, Yang F, Song X, Li R, Pan X, Gao Q, He Y, Ye M, Hu H. Extraction of Nitrogen Compounds from Tobacco Waste via Thermal Treatment. Energies. 2020; 13(18):4619. https://doi.org/10.3390/en13184619
Chicago/Turabian StyleWei, Min, Fu Yang, Xuyan Song, Ran Li, Xi Pan, Qiang Gao, Yunlu He, Mingqiao Ye, and Hongyun Hu. 2020. "Extraction of Nitrogen Compounds from Tobacco Waste via Thermal Treatment" Energies 13, no. 18: 4619. https://doi.org/10.3390/en13184619
APA StyleWei, M., Yang, F., Song, X., Li, R., Pan, X., Gao, Q., He, Y., Ye, M., & Hu, H. (2020). Extraction of Nitrogen Compounds from Tobacco Waste via Thermal Treatment. Energies, 13(18), 4619. https://doi.org/10.3390/en13184619
