Investigation of Pulverized Biomass and Coal Char Emissivity
Abstract
:1. Introduction
2. Materials and Setup
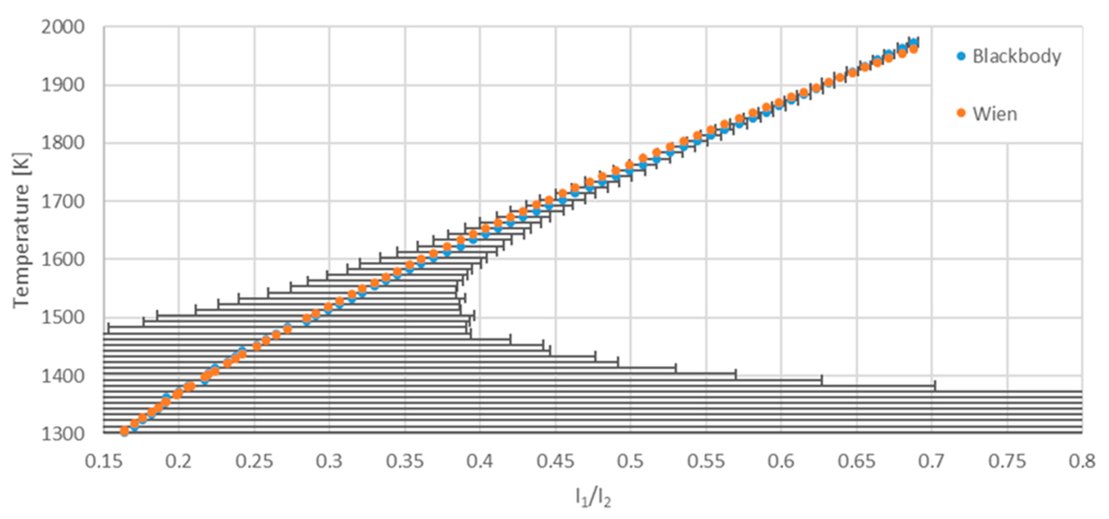
2.1. Particle Temperature Calculation
2.2. Particle Emissivity Calculation
3. Particle Measurements and Results
Temperature Dependent Emissivity Evaluation
4. Conclusions
Author Contributions
Funding
Acknowledgments
Conflicts of Interest
References
- Yin, C. On gas and particle radiation in pulverized fuel combustion furnaces. Appl. Energy 2015, 157, 554–561. [Google Scholar] [CrossRef]
- Johansson, R.; Leckner, B.; Andersson, K.; Johnsson, F. Influence of particle and gas radiation in oxy-fuel combustion. Int. J. Heat Mass Transf. 2013, 65, 143–152. [Google Scholar] [CrossRef]
- Chen, W.-H.; Cheng, W.-Y.; Lu, K.-M.; Huang, Y.-P. An evaluation on improvement of pulverized biomass property for solid fuel through torrefaction. Appl. Energy 2011, 88, 3636–3644. [Google Scholar] [CrossRef]
- Gronarz, T.; Schulze, J.; Laemmerhold, M.; Graeser, P.; Gorewoda, J.; Kez, V.; Habermehl, M.; Schiemann, M.; Ströhle, J.; Epple, B.; et al. Quantification of the influence of parameters determining radiative heat transfer in an oxy-fuel operated boiler. Fuel Process. Technol. 2017, 157, 76–89. [Google Scholar] [CrossRef]
- Murphy, J.J.; Shaddix, C.R. Combustion kinetics of coal chars in oxygen-enriched environments. Combust. Flame 2006, 144, 710–729. [Google Scholar] [CrossRef]
- Mitchell, R.E. Experimentally determined overall burning rates of coal chars. Combust. Sci. Technol. 1987, 53, 165–186. [Google Scholar] [CrossRef]
- Schiemann, M.; Geier, M.; Shaddix, C.R.; Vorobiev, N.; Scherer, V. Determination of char combustion kinetics parameters: Comparison of point detector and imaging-based particle-sizing pyrometry. Rev. Sci. Instrum. 2014, 85, 075114. [Google Scholar] [CrossRef] [PubMed]
- Meesri, C.; Moghtaderi, B. Experimental and numerical analysis of sawdust-char combustion reactivity in a drop tube reactor. Combust. Sci. Technol. 2003, 175, 793–823. [Google Scholar] [CrossRef]
- Tchapda, A.H.; Pisupati, S.V. Characterization of an entrained flow reactor for pyrolysis of coal and biomass at higher temperatures. Fuel 2015, 156, 254–266. [Google Scholar] [CrossRef]
- Graeser, P.; Schiemann, M. Emissivity of burning bituminous coal char particles—Burnout effects. Fuel 2017, 196, 336–343. [Google Scholar] [CrossRef]
- Graeser, P.; Schiemann, M. Investigations on the emissivity of burning coal char particles: Influence of particle temperature and composition of reaction atmosphere. Fuel 2020, 263, 116714. [Google Scholar] [CrossRef]
- Schiemann, M.; Gronarz, T.; Graeser, P.; Gorewoda, J.; Kneer, R.; Scherer, V. A correlation between char emissivity and temperature. Fuel 2019, 256, 115889. [Google Scholar] [CrossRef]
- Graeser, P.; Schiemann, M. Char particle emissivity of two coal chars in oxy-fuel atmospheres. Fuel 2016, 183, 405–413. [Google Scholar] [CrossRef]
- Panahi, A.; Vorobiev, N.; Schiemann, M.; Tarakcioglu, M.; Delichatsios, M.; Levendis, Y.A. Combustion details of raw and torrefied biomass fuel particles with individually-observed size, shape and mass. Combust. Flame 2019, 207, 327–341. [Google Scholar] [CrossRef]
- Khatami, R.; Levendis, Y.A.; Delichatsios, M.A. Soot loading, temperature and size of single coal particle envelope flames in conventional- and oxy-combustion conditions (O2/N2 and O2/CO2). Combust. Flame 2015, 162, 2508–2517. [Google Scholar] [CrossRef]
- Greffrath, F.; Gorewoda, J.; Schiemann, M.; Scherer, V. Influence of chemical composition and physical structure on normal radiant emittance characteristics of ash deposits. Fuel 2014, 134, 307–314. [Google Scholar] [CrossRef]
- Gorewoda, J.; Scherer, V. Influence of carbonate decomposition on normal spectral radiative emittance in the context of oxyfuel combustion. Energy Fuels 2016, 30, 9752–9760. [Google Scholar] [CrossRef]








| Proxymate analysis (wt%, Dry) | Coal | Nutshell |
| Volatile matter | 37.81 | 80.18 |
| Fix carbon | 56.52 | 18.7 |
| Ash | 5.67 | 1.12 |
| Ultimate analysis (wt%, dry) | ||
| Carbon | 68.4 | 46.7 |
| Hydrogen | 4.9 | 5.9 |
| Nitrogen | 1.52 | 0.178 |
© 2020 by the authors. Licensee MDPI, Basel, Switzerland. This article is an open access article distributed under the terms and conditions of the Creative Commons Attribution (CC BY) license (http://creativecommons.org/licenses/by/4.0/).
Share and Cite
Pörtner, L.; Gu, Y.; Schiemann, M. Investigation of Pulverized Biomass and Coal Char Emissivity. Energies 2020, 13, 4620. https://doi.org/10.3390/en13184620
Pörtner L, Gu Y, Schiemann M. Investigation of Pulverized Biomass and Coal Char Emissivity. Energies. 2020; 13(18):4620. https://doi.org/10.3390/en13184620
Chicago/Turabian StylePörtner, Lukas, Ying Gu, and Martin Schiemann. 2020. "Investigation of Pulverized Biomass and Coal Char Emissivity" Energies 13, no. 18: 4620. https://doi.org/10.3390/en13184620
APA StylePörtner, L., Gu, Y., & Schiemann, M. (2020). Investigation of Pulverized Biomass and Coal Char Emissivity. Energies, 13(18), 4620. https://doi.org/10.3390/en13184620

