Energy Price Policies and Food Prices: Empirical Evidence from Iran
Abstract
1. Introduction
2. Materials and Methods
2.1. Empirical Models
2.2. Data
3. Results
3.1. Unit Root and Co-Integration Tests
3.2. Panel ARDL Results
3.3. Robustness Analysis
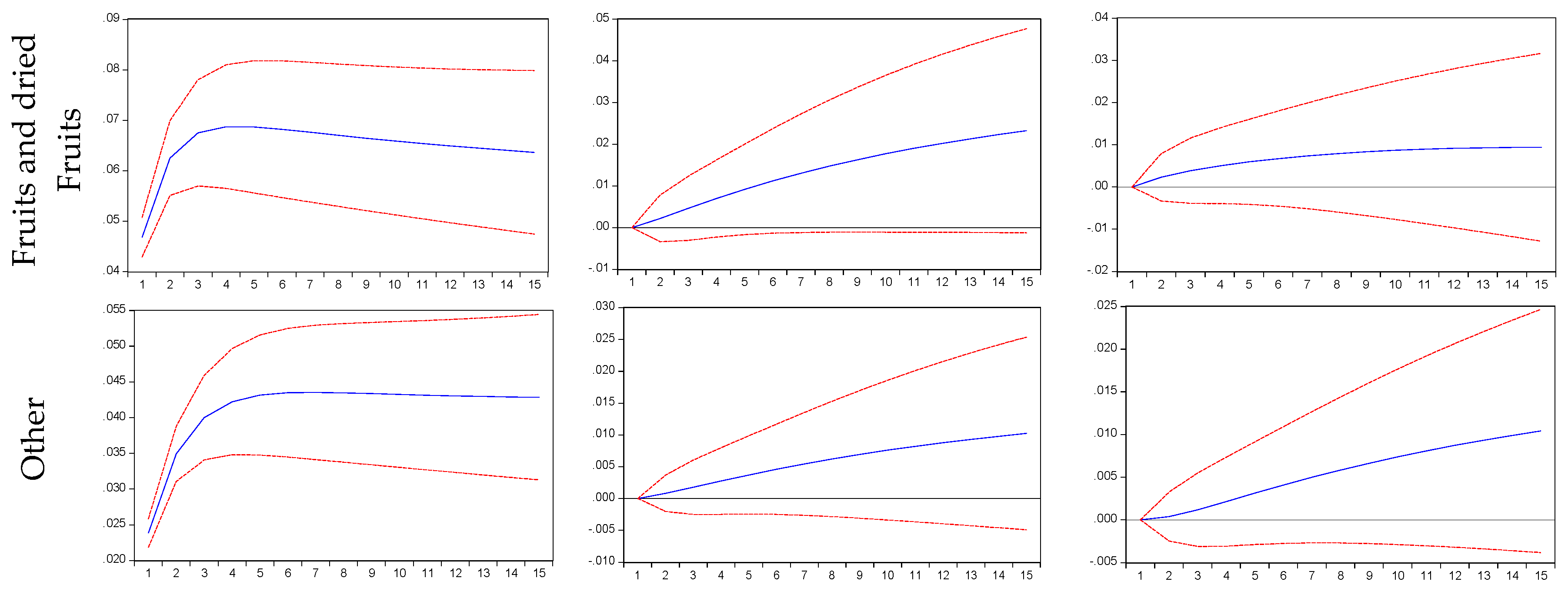
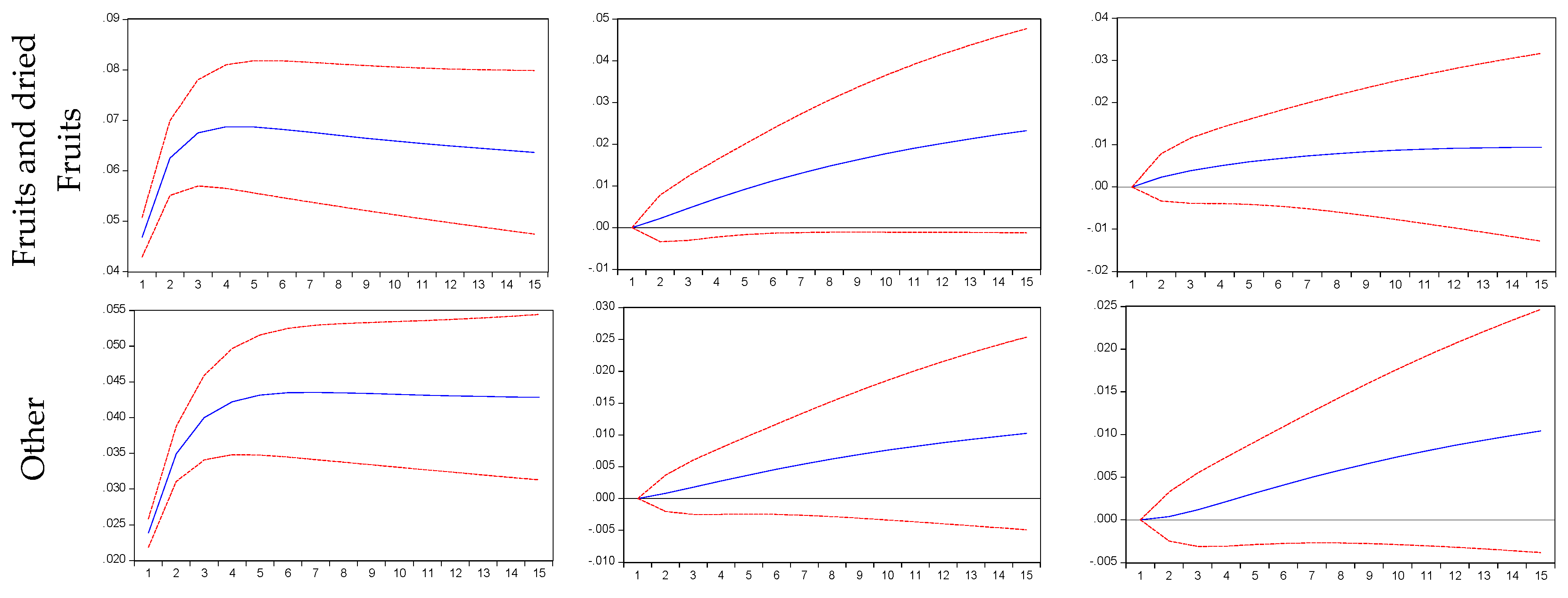
3.4. Impulse-Response Functions
3.5. Granger Causality
4. Discussion
5. Conclusions
Author Contributions
Funding
Conflicts of Interest
Appendix A


References
- Moshiri, S. Energy Price Reform and Energy Efficiency in Iran. IAEE Energy Forum 2013, 2013, 33–37. [Google Scholar]
- Moshiri, S. Consumer responses to gasoline price and non-price policies. Energy Policy 2020, 137, 111078. [Google Scholar]
- Salehi-Isfahani, D.; Stucki, B.W.; Deutschmann, J. The Reform of Energy Subsidies in Iran: The Role of Cash Transfers. Emerg. Mark. Finance Trade 2015, 51, 1144–1162. [Google Scholar] [CrossRef]
- Benson, T.; Mugarura, S.; Wanda, K. Impacts in Uganda of rising global food prices: The role of diversified staples and limited price transmission. Agric. Econ. 2008, 39, 513–524. [Google Scholar]
- Wodon, Q.; Zaman, H. Rising Food Prices in Sub-Saharan Africa: Poverty Impact And Policy Responses; World Bank Policy Research Working Paper; The World Bank: Washington, DC, USA, 2008. [Google Scholar]
- Green, R.; Cornelsen, L.; Dangour, A.D.; Turner, R.; Shankar, B.; Mazzocchi, M.; Smith, R.D. The effect of rising food prices on food consumption: Systematic review with meta-regression. BMJ 2013, 346, f3703. [Google Scholar]
- Zheng, Z.; Henneberry, S.R. Estimating the impacts of rising food prices on nutrient intake in urban China. China Econ. Rev. 2012, 23, 1090–1103. [Google Scholar]
- Gallet, C.A. The demand for fish: A meta-analysis of the own-price elasticity. Aquac. Econ. Manag. 2009, 13, 235–245. [Google Scholar]
- Reboredo, J.C. Do food and oil prices co-move? Energy Policy 2012, 49, 456–467. [Google Scholar]
- Ibrahim, M.H. Oil and food prices in Malaysia: A nonlinear ARDL analysis. Agric. Food Econ. 2015, 3, 190. [Google Scholar] [CrossRef]
- Radmehr, R.; Henneberry, S.R. The Impact of Prices of Oil, Currency, and Capital on Food Prices: An Empirical Evidence from the Panel VAR Analysis. In Proceedings of the Southern Agricultural Economics Association (SAEA) Annual Meeting, Birmingham, AL, USA, 2–5 February 2019. [Google Scholar]
- Nazlioglu, S.; Soytas, U. World oil prices and agricultural commodity prices: Evidence from an emerging market. Energy Econ. 2011, 33, 488–496. [Google Scholar]
- Chen, S.-T.; Kuo, H.-I.; Chen, C.-C. Modeling the relationship between the oil price and global food prices. Appl. Energy 2010, 87, 2517–2525. [Google Scholar]
- Saghaian, S.H. The impact of the oil sector on commodity prices: Correlation or causation? J. Agric. Appl. Econ. 2010, 42, 477–485. [Google Scholar]
- Hanson, K.; Robinson, S.; Schluter, G. Sectoral Effects of a World Oil Price Shock: Economywide Linkages to the Agricultural Sector. J. Agric. Appl. Econ. 1993, 18, 96–116. [Google Scholar]
- Dvoskin, D.; Heady, E.O. Commodity Prices and Resource Use Under Various Energy Alternatives in Agriculture. West. J. Agric. Econ. 1977, 2, 53–62. [Google Scholar]
- Abbott, P.C.; Hurt, C.; Tyner, W.E. What’s Driving Food Prices? Farm Foundation: Oak Brook, IL, USA, 2008. [Google Scholar]
- Harri, A.; Nalley, L.; Hudson, D. The relationship between oil, exchange rates, and commodity prices. J. Agric. Appl. Econ. 2009, 41, 501–510. [Google Scholar]
- Fowowe, B. Do oil prices drive agricultural commodity prices? Evidence from South Africa. Energy 2016, 104, 149–157. [Google Scholar]
- Zhang, Z.; Lohr, L.; Escalante, C.; Wetzstein, M. Food versus fuel: What do prices tell us? Energy Policy 2010, 38, 445–451. [Google Scholar]
- Nazlioglu, S.; Erdem, C.; Soytas, U. Volatility spillover between oil and agricultural commodity markets. Energy Econ. 2013, 36, 658–665. [Google Scholar]
- Nazlioglu, S.; Soytas, U. Oil price, agricultural commodity prices, and the dollar: A panel cointegration and causality analysis. Energy Econ. 2012, 34, 1098–1104. [Google Scholar]
- Hezareh, R.; Shnoushi, N.; Mohammadi, H.; Saghaian, S.M. Analysing the role of economic variables on food prices in the selected oil exporting and importing countries. Agric. Econ. 2015, 9, 75–96. [Google Scholar]
- Esmaeili, A.; Shokoohi, Z. Assessing the effect of oil price on world food prices: Application of principal component analysis. Energy Policy 2011, 39, 1022–1025. [Google Scholar]
- Alghalith, M. The interaction between food prices and oil prices. Energy Econ. 2010, 32, 1520–1522. [Google Scholar]
- Shaari, M.S.; Hussain, N.E.; Abdullah, H. The effects of oil price shocks and exchange rate volatility on inflation: Evidence from Malaysia. Int. Bus. Res. 2012, 5, 106–112. [Google Scholar]
- Henneberry, D.; Henneberry, S.; Tweeten, L. The strength of the dollar: An analysis of trade-weighted foreign exchange rate indices with implications for agricultural trade. Agribusiness 1987, 3, 189–206. [Google Scholar]
- Henneberry, D.; Drabenstott, M.; Henneberry, S. A weaker dollar and US farm exports: Coming rebound or empty promise? Econ. Rev. 1987, 72, 22–36. [Google Scholar]
- Pesaran, M.H.; Shin, Y.; Smith, R.P. Pooled mean group estimation of dynamic heterogeneous panels. J. Am. Stat. Assoc. 1999, 94, 621–634. [Google Scholar]
- Saint Akadiri, S.; Alola, A.A.; Akadiri, A.C.; Alola, U.V. Renewable energy consumption in EU-28 countries: Policy toward pollution mitigation and economic sustainability. Energy Policy 2019, 132, 803–810. [Google Scholar]
- Pedroni, P. Critical values for cointegration tests in heterogeneous panels with multiple regressors. Oxf. Bull. Econ. Stat. 1999, 61, 653–670. [Google Scholar]
- Kao, C. Spurious regression and residual-based tests for cointegration in panel data. J. Econom. 1999, 90, 1–44. [Google Scholar]
- Stock, J.H.; Watson, M.W. A simple estimator of cointegrating vectors in higher order integrated systems. Econom. J. Econom. Soc. 1993, 61, 783–820. [Google Scholar]
- Rehman, F.U.; Noman, A.A.; Ding, Y. Does infrastructure increase exports and reduce trade deficit? Evidence from selected South Asian countries using a new Global Infrastructure Index. J. Econ. Struct. 2020, 9, 10. [Google Scholar]
- Isaiah Zayone, T.; Henneberry, S.R.; Radmehr, R. Effects of Agricultural, Manufacturing, and Mineral Exports on Angola’s Economic Growth. Energies 2020, 13, 1494. [Google Scholar]
- Pedroni, P. Fully modified OLS for heterogeneous cointegrated panels and the case of purchasing power parity. Manuscr. Dep. Econ. Indiana Univ. 1996, 5, 1–45. [Google Scholar]
- Kao, C.; Chiang, M.-H. On the estimation and inference of a cointegrated regression in panel data. Available at SSRN 1807931. 1999. Available online: https://papers.ssrn.com/sol3/papers.cfm?abstract_id=1807931 (accessed on 5 August 2019).
- Alam, M.M.; Murad, M.W. The impacts of economic growth, trade openness and technological progress on renewable energy use in organization for economic co-operation and development countries. Renew. Energy 2020, 145, 382–390. [Google Scholar]
- Gözgör, G.; Kablamacı, B. The linkage between oil and agricultural commodity prices in the light of the perceived global risk. Agric. Econ. Zemed. Ekon. 2014, 60, 332–342. [Google Scholar]
- Rezitis, A.N. The relationship between agricultural commodity prices, crude oil prices and US dollar exchange rates: A panel VAR approach and causality analysis. Int. Rev. Appl. Econ. 2015, 29, 403–434. [Google Scholar]
- Shahnoushi, N.; Saghaian, S.; Hezareh, R.; Tirgari Seraji, M. Investigation of Relationship Between World Food Prices and Energy Price: A Panel SUR Approach. In Proceedings of the Southern Agricultural Economics Association (SAEA) Annual Meeting, Birmingham, AL, USA, 4–7 February 2017. [Google Scholar]
- Kohansal, M.R. Hezareh, The impacts of oil price shocks, exchange rate on food prices in urban areas of Iran. J. Agric. Econ. Res. 2017, 8, 171–190. [Google Scholar]
- Udoh, E.; Egwaikhide, F.O. Does international oil price volatility complement domestic food price instability in Nigeria? An empirical enquiry. Int. J. Econ. Financ. 2012, 4, 235–246. [Google Scholar]
- Coibion, O.; Gorodnichenko, Y.; Kumar, S.; Pedemonte, M. Inflation expectations as a policy tool? J. Int. Econ. 2020, 124, 103297. [Google Scholar] [CrossRef]
- Habibi, N. The Iranian economy in the shadow of economic sanctions. Middle East Brief 2008, 31, 1–8. [Google Scholar]
- Darbandi, E.; Radmehr, R.; Saghaian, S.H. The Impact of Consumer Beef Safety Awareness on US Beef Exports. Int. Trade J. 2020, 1–22. [Google Scholar]


| Variables | Mean | Standard Deviation | Minimum | Maximum |
|---|---|---|---|---|
| 8.418 | 0.286 | 7.918 | 8.939 | |
| 5.066 | 1.597 | 2.305 | 6.907 | |
| 2.901 | 1.273 | 0.073 | 5.540 | |
| 2.564 | 1.423 | 0.578 | 4.975 | |
| 3.025 | 1.174 | 1.009 | 5.110 | |
| 2.787 | 1.242 | 0.946 | 5.402 | |
| 3.126 | 1.024 | 1.617 | 5.277 | |
| 3.293 | 0.923 | 1.759 | 5.148 | |
| 2.556 | 1.541 | 0.135 | 5.267 | |
| 3.072 | 1.181 | 1.042 | 5.534 | |
| 3.107 | 1.056 | 1.640 | 5.166 | |
| 2.368 | 1.581 | 0.073 | 5.540 | |
| 3.116 | 1.073 | 1.514 | 5.428 |
| lnFP | lnEX | lnEP | |
|---|---|---|---|
| LLC test (level) | 0.086 | −1.2959 * | −3.7628 *** |
| LLC test (first difference) | −1.3873 * | - | - |
| Statistic | p-Value | Weighted Statistic | p-Value | |
|---|---|---|---|---|
| Pedroni co-integration test | ||||
| Panel v-statistic | 0.9345 | 0.1750 | 1.0036 | 0.1578 |
| Panel rho-statistic | −5.2606 *** | 0.0000 | −5.1776 *** | 0.0000 |
| Panel PP-statistic | −3.3788 *** | 0.0004 | −3.2999 *** | 0.0005 |
| Panel ADF-statistic | −2.8810 *** | 0.0020 | −2.7587 *** | 0.0029 |
| Group rho-statistic | −3.9149 *** | 0.0000 | ||
| Group PP-statistic | −2.9137 *** | 0.0018 | ||
| Group ADF-statistic | −2.2147 ** | 0.0134 | ||
| Kao co-integration test | ||||
| Statistic | p-value | |||
| ADF | −4.4378 *** | 0.0000 | ||
| Residual variance | 0.0013 | |||
| HAC variance | 0.0032 | |||
| PMG | MG | DFE | ||||
|---|---|---|---|---|---|---|
| D.V: lnFP | Long-Term | Short-Term | Long-Term | Short-Term | Long-Term | Short-Term |
| ECT | −0.005 *** (0.001) | −0.007 *** (0.002) | −0.006 *** (0.0009) | |||
| −0.008 (0.015) | −0.009 (0.108) | −0.009 (0.106) | ||||
| 0.012 ** (0.005) | 0.106 ** (0.004) | 0.011 ** (0.004) | ||||
| 2.874 *** (0.786) | 1.6889 (1.565) | 3.013 *** (0.503) | ||||
| 1.499 *** (0.219) | 0.816 (0.571) | 1.391 *** (0.128) | ||||
| Constant | −0.147 *** (0.038) | −0.181 *** (0.029) | −0.187 *** (0.029) | |||
| Hausman Test | 1.05 # | 0.01@ | ||||
| Hausman test p-value | 0.592 | 0.997 | ||||
| Observations | 2870 | 2870 | 2870 | |||
| DOLS | FMOLS | |||
|---|---|---|---|---|
| D.V: lnFP | Coef. | Std. Err | Coef. | Std. Err |
| 1.32 *** | 0.101 | 1.51 *** | 0.092 | |
| 0.91 *** | 0.018 | 0.93 *** | 0.016 | |
| Observations | 2870 | 2870 | ||
| Excluded | Chi-sq | df | p-Value |
|---|---|---|---|
| D.V: lnFP | |||
| 26.427 *** | 2 | 0.000 | |
| 11.372 *** | 2 | 0.003 | |
| All | 26.861 *** | 4 | 0.000 |
| D.V: lnEP | |||
| lnFP | 26.318 *** | 2 | 0.000 |
| 23.613 *** | 2 | 0.000 | |
| All | 37.455 *** | 4 | 0.000 |
| D.V: lnEX | |||
| lnFP | 11.527 *** | 2 | 0.003 |
| 7.996 ** | 2 | 0.018 | |
| All | 11.602 ** | 4 | 0.020 |
© 2020 by the authors. Licensee MDPI, Basel, Switzerland. This article is an open access article distributed under the terms and conditions of the Creative Commons Attribution (CC BY) license (http://creativecommons.org/licenses/by/4.0/).
Share and Cite
Radmehr, R.; Rastegari Henneberry, S. Energy Price Policies and Food Prices: Empirical Evidence from Iran. Energies 2020, 13, 4031. https://doi.org/10.3390/en13154031
Radmehr R, Rastegari Henneberry S. Energy Price Policies and Food Prices: Empirical Evidence from Iran. Energies. 2020; 13(15):4031. https://doi.org/10.3390/en13154031
Chicago/Turabian StyleRadmehr, Riza, and Shida Rastegari Henneberry. 2020. "Energy Price Policies and Food Prices: Empirical Evidence from Iran" Energies 13, no. 15: 4031. https://doi.org/10.3390/en13154031
APA StyleRadmehr, R., & Rastegari Henneberry, S. (2020). Energy Price Policies and Food Prices: Empirical Evidence from Iran. Energies, 13(15), 4031. https://doi.org/10.3390/en13154031

