Abstract
Air pollution has become an increasingly serious environmental problem in China. Especially in winter, the air pollution in northern China becomes even worse due to winter heating. The “coal to gas” policy, which uses natural gas to replace coal in the heating system in winter, was implemented in Beijing in the year 2013. However, the effects of this policy reform have not been examined. Using a panel dataset of 16 districts in Beijing, this paper employs a first difference model to examine the impact of the “coal to gas” policy on air quality. Strong evidence shows that the “coal to gas” policy has significantly improved the air quality in Beijing. On average, the “coal to gas” policy reduced sulfur dioxide (), nitrogen dioxide (), particulate matter smaller than 10 µm (PM10), particulate matter smaller than 2.5 µm (PM2.5) and carbon monoxide (CO) by 12.08%, 4.89%, 13.07%, 11.94% and 11.10% per year, respectively. We find that the “coal to gas” policy is more effective in areas with less energy use efficiency. The finding of this paper suggests that the government should continue to implement the “coal to gas” policy, so as to alleviate the air pollution in Beijing, China.
1. Introduction
Air pollution has become a severe global environmental problem [1,2,3]. According to the World Health Organization (WHO) air quality model, 92% of the world’s population lives in areas where air quality levels exceed the WHO limit [4]. Nearly 90% of air pollution related deaths occur in low and middle-income countries that are mainly concentrated in Southeast Asia and the Western Pacific region [4]. Air pollution mainly originates from industrial production, the emission of transportation vehicles, coal combustion and waste incineration [4]. The technological and economic development calss for progress towards cleaner energy and environment [5,6,7,8,9,10]. Air pollution can lead to significant increases in the risks of asthma, myocardial infarction and stroke, and badly affects the cognitive abilities and mental states of humans [11,12,13]. Long-term exposure to air pollution can also impede cognitive performance and reduce life expectancy [14,15,16]. In addition, air pollution could significantly reduce happiness levels, thus greatly increasing the incidence of depression symptoms [17].
The air quality in China has worsened in recent decades. From 1960 to 1979, the number of fog and haze days during winter in China showed a gradual upward trend. Although it was generally stable after 20 years, it grew rapidly since 2000 [18]. By 2013, the average annual concentrations of particulate matter smaller than 2.5 µm (PM2.5) and particulate matter smaller than 10 µm (PM10) in 31 major cities of China were largely above the China’s ambient air quality standard, which are 15 for PM2.5 and 40 for PM10 [19]. Previous studies showed that air pollution contributed to the death of 1.6 million Chinese every year, accounting for about 17% of the whole country’s annual deaths [20]. Compared with cities in the southern part of China, the air quality in the northern part of China was even worse in winter because of the coal-fired heating systems used in the north. Many northern cities were once shrouded in smoke due to the previous use of the coal-fired heating system [21]. Although the air quality has been improved recently, there is still no significant improvement in the air pollution in winter [22].
Policies were issued to address the air pollution problem in China, especially in the northern region during winter. In September 2013, the Beijing Clean Air Action Plan was officially released, focusing on emission reduction through energy structure adjustment in the following five years. One main part of this plan was the “coal to gas” policy. The plan claimed that coal combustion in central urban areas would be gradually prohibited, and the government would assist rural areas in reducing their coal combustion by using natural gas as a substitute. The four main thermal power centers which used coal, including the main fuel source used in Beijing, would also be shut down [23].
However, what are the environmental effects of the “coal to gas” policy? Does the effect of this policy differ in the urban and sub-urban regions? Are there any other factors, such as vehicle exhaust emissions, which contribute to air pollution? These issues have not been examined in the literature. In order to answer the above questions, we use a panel dataset of 16 districts in Beijing from 2014 to 2018, and employed the first difference model to determine the effects of the “coal to gas” policy on air quality index (AQI), sulfur dioxide (), nitrogen dioxide (), PM10, PM2.5 and carbon monoxide (CO).
The rest of the paper is organized as follows: Section 2 presents the literature review. Section 3 presents the data and methodology. Section 4 presents the descriptive analysis and summary statistics. In Section 5, the empirical models and results are discussed. Section 6 provides conclusions and policy implications.
2. Literature Review
2.1. Heating Transition and Air Pollution
In theory, the heating transition from “coal to gas” can significantly reduce the emission of air pollutants. “Coal to gas” is to use natural gas (including conventional and unconventional gas, coal gasification, etc.) as a substitute for coal in industry production. Taking a thermal power plant in Beijing as an example, the , NOx and soot that a gas-fired thermal power boiler generates are about 97.5%, 50% and 75% lower, respectively, than those of coal-fired one [24].
As for empirical research, Zhao et al. used variance analysis to test the effectiveness of the “coal to gas” transition in reducing sulfur dioxide emissions. They used the data of concentrations in the south, middle and north of Urumqi from 2009 to 2013 and found that the “coal to gas” policy played a significant role in the reduction of concentrations [25]. Luo and Li used the panel data of 258 cities in China from 2013 to 2015 and a difference in differences (DID) specification found that the implementation of heating transition policy significantly alleviated the air pollution in winter of northern cities [26]. Based on the DID model and the PSM-DID model, Shi and Li found that the heating transition policy significantly reduced the emission of industrial smoke (powder) and dust [27]. Li and Chen used the panel data of 41 cities in China from 2003 to 2015 and found that the “coal to gas” policies had no significant impact on the reduction of sulfur dioxide emissions, energy consumption and domestic electrical power consumption, but it did significantly reduce industrial smoke and dust emissions [28].
2.2. Winter Heating and Air Pollution
Almound et al. used the regression discontinuity (RD) design to study the impact of winter heating on air pollution. They found that winter heating increased the average concentration of suspended particles by 300 . They also found that heating had no significant impact on the concentrations of and NOx [29]. Based on the data of 90 cities in China from 1981 to 2000, Chen et al. also used the RD design and found that, due to the winter heating, the average concentration of suspended particles was 184 , or 55% higher in northern China. They also found that air pollution made people more likely to suffer from heart and lung diseases and made the residents’ life expectancies about 5.5 years lower [15]. Wang et al. collected the daily air pollution data of 76 cities in China from 2014 to 2016, and found that, due to the start of winter heating, the AQI index in northern China increased by 10.4%, and the concentrations of PM2.5 increased by 17.25%, CO by 9.84%, by 5.23%, and by 17.1% [30]. Li and Cao reached the same conclusion by investigating the concentrations of PM2.5, CO, and in the northern region during heating period, and they found these air pollution indicators were 26.79%, 20.85%, 30.45% and 74.10% higher, respectively, than those in southern region [31].
2.3. Transportation Policy and Air Pollution
Many scholars have studied the effects of transportation policies on air pollution, and the driving restriction policy is the most controversial one. Viard and Fu used the RD model to study the effectiveness of Beijing’s motor vehicle restriction policy on air pollution [32]. Their results indicated that the every-other-day and one-day-a-week driving restrictions were both beneficial for the air condition and could reduce the concentrations of particulate by 18% and 21%, respectively [32]. Zhang et al. established two RD models to compare the concentrations of air pollutants between Beijing and Tianjin in 2014–2018 [33]. Their results showed that although the driving restriction policy improved the air quality of Beijing, it did not have a significant positive effect in Tianjin, and the policy could not reduce the concentrations of particulate matter and nitrogen oxides [32]. Based on the data in Lanzhou from 2013 to 2014, Huang et al. discovered that restriction policy was only effective in the short term and its effect was also heteroskedastic [34]. Zhang et al. found that some residents may purchase a second vehicle to avoid traffic restriction policy, leading to an increase in air pollutants [35]. They also found that driving restriction would only significantly reduce the concentration of NO, but the concentrations of and remain unaffected [35].
In the exiting studies, many scholars only set a dummy variable of whether there was a “coal to gas” policy, ignoring the actual “coal to gas” transformation area which could bias the results. Furthermore, there were few studies which presented the effect of each million square “coal to gas” transformation on air pollution reduction. Most of the studies used the air quality index as the dependent variable, and this could only reflect the concentration of the most important air pollutants on the day, leaving the impact of the “coal to gas” policy on the concentrations of various pollutants in the atmosphere without study. In this paper, we collected the non-public data of the actual “coal to gas” transformation area to provide the impact estimation of each million square “coal to gas” transformation on air pollution. Furthermore, we used the data of concentrations of , , PM2.5, PM10, CO and AQI as dependent variables to reflect the impact of the “coal to gas” policy on different pollutants. In addition, we also use the first difference model to solve the endogeneity problem that could be caused by time-constant missing variables.
3. Data and Methodology
3.1. Data Sources
In this study, we used a panel dataset of 16 districts in Beijing from 2014 to 2018. The research range began in 2014 because the air pollutant data are incomplete before 2014. Furthermore, the Beijing Municipal Commission of Planning and Nature Resources did not record the heating transition area until the Beijing Clean Air Action Plan was released. Data on AQI, , , PM10, PM2.5 and CO were obtained from the China National Environmental Monitoring Station. Data on the coal to gas heating transition area were taken from Beijing Municipal Commission of Planning and Nature Resources. The remaining data were collected from the Beijing regional statistical yearbook, published by the Beijing Municipal Bureau Statistics.
We used the concentrations of AQI, , , PM10, PM2.5 and CO as measures of air quality. The AQI is the reflection of the most important pollutants on a given day. Except that the unit used for CO concentration was , the unit used for the other air quality measurement variables was . The heating season in Beijing is from November 15 to March 15 (starting from the following year). Thus, we only collected the air pollutant concentration data during this period each year.
3.2. Theoretical Framework
The air quality of each county is inevitably affected by its geographical location, natural conditions and historical factors. Because we are using panel data of various districts between 2014 and 2018 and the geographical locations, natural conditions and historical factors of these districts do not change over time, we used the first-order difference model to eliminate the effects of these factors. Similarly, in order to eliminate the potential autocorrelation or heterogeneity issues, all the regressions were conducted with robust standard errors and cluster at county level. The impact of the “coal to gas” policy on air pollution was estimated using the following specification:
where Δ denotes the first difference of each variable; the subscript i is the i-th county and t is the t-th year; Y is a measurement of air pollution, which includes AQI, the concentrations of , , PM10, PM2.5 and CO; is a constant term; is the newly increased “coal to gas” heating transition area for the i-th county in year t; the variable refers to the energy consumption reduction rate for the i-th county in year t; and the variable is a dummy variable, for which six urban districts in Beijing equal 1, and otherwise, this equals 0. Because the effect of the “coal to gas” transformation may differ in areas with different energy consumption reduction rates, we included the cross term of the “coal to gas” heating transition area and the reduction rate of energy consumption to measure this effect. Similarly, we included the cross term of the “coal to gas” heating transition area and the dummy variable of “urban” to detect whether the effect of the “coal to gas” policy differed between urban and sub-urban areas. Δu is the random error term.
X is a vector of control variables. Based on previous studies, we used the growth rate of cars, the tree greening rate, the growth rate of resident population, the proportions of the second and third industries in GDP, the energy use efficiency, the proportion of residential electricity consumption in total regional electricity consumption and the number of waste treatment plants as the control variables. The growth rate of car is a measure of the impact of motor vehicles on air pollution. Meanwhile, the greening rate of trees examines the effect of trees on air purification. The growth rate of permanent residents controls the impact of population activities. Furthermore, the proportions of the second and third industries to GDP denote the impact of the industrial structure to air quality. The energy use efficiency is the decline of the rate of energy consumption, measuring the efforts of each county in energy conservation and emission reduction. The proportion of residential electricity consumption in the total electricity consumption reflects residents’ energy consumption behaviors and habits. The number of waste treatment plants is an indicator of the air pollution caused by incineration or landfill waste in each region. Table 1 presents the details of variables settings.
Table 1.
Major variables and calculations.
4. Descriptive Analysis and Summary Statistics
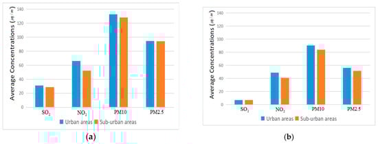
We separated the 16 districts in Beijing into two groups based on their urbanization. Because the air quality data of each district before 2014 was incomplete, we used the year 2014, the most adjacent year’s data to substitute the situation before the start of the “coal to gas” policy. From Figure 1a, we can find that the concentrations of each air pollutant were relatively high. Among them, the concentrations of PM10 and PM2.5 were higher than 120 and 90 , respectively. In 2018, six years after the implementation of the “coal to gas” policy, the average concentrations of each air pollutant decreased significantly, suggesting that the “coal to gas” policy may play an important role in reducing the air pollutants (Figure 1b). Similarly, the concentration of CO also kept the same trend (Figure 2). In addition, we conducted a t-test for the air pollutants between urban and sub-urban areas (Table A1), and the results indicated that only the concentration of showed a significant difference between urban and sub-urban areas.
Figure 1.
Average air pollution levels between urban and sub-urban areas in 2014 and 2018. (a) Average air pollution levels between urban and sub-urban areas in 2014, (b) Average air pollution levels between urban and sub-urban areas in 2018.
Figure 2.
Average concentrations of CO between urban and sub-urban areas in 2014 and 2018.
Table 2 shows the summary statistics of the main variables used in the model. All variables have 80 observations. In 2014–2018, the average value of air quality index was 98.55, and the average concentrations of , and CO were 16.34 , 51.75 and 1.502 , respectively. From the aspect of particles, the mean value of the PM10 concentration was 106.4 , with a minimum value of 55.86 (Huairou District in 2017) and a maximum value of 168 (Tongzhou District in 2014). On average, the concentration of PM2.5 was 78.38 , with a minimum value of 39.88 (Fengtai District in 2013) and a maximum value of 132.5 (Daxing District in 2015). The above analysis shows that most districts in Beijing exhibited a high index of air pollution, but there were also significant differences among regions.
Table 2.
Summary statistic of variables in the model.
Within the selected time range, 16 districts in Beijing implemented the “coal to gas” policy and recorded the alternative heating areas. On average, 4.27 million square meters of each region changed from burning coal to natural gas every year. In 2006, the maximum area of “coal to gas” conversion in Daxing District reached 26.01 million square meters. Apart from that, the average annual growth rate of cars was 2.15% and the average energy usage efficiency was 5.795%. Furthermore, 47.94% of the city was covered by green plants and the number of permanent residents grew by 0.82% annually. These results implied that the number of motor vehicles and population scale were strictly controlled by the government of Beijing so as to reduce the impact of automobile exhaust emissions and residents’ activities regarding the atmospheric environment.
Beijing was dominated by the third industry, which accounted for 63.8% of the total GDP and the second industry accounted for only 33.5%. Other cities in China generally paid attention to the development of the second industry of the city. Compared with this, these data showed the uniqueness of the industrial structure in Beijing. The average electricity consumption of the residents accounted for 23% of the total regional power consumption. Furthermore, there were about 1.613 waste treatment plants in each district, among which there were no waste treatment plants in Dongcheng, Xicheng and Shijingshan districts, while there were at most three waste treatment plants in the other eight regions in Beijing.
Based on the description of all the variables in this model, it was discovered that there were significant differences among the 16 districts of Beijing in terms of heating transition area, energy use efficiency, growth rate of cars, afforestation rate of trees, growth rate of permanent population, proportion of the second and third industry to GDP and number of waste treatment plants. Therefore, the first-order difference model can effectively eliminate the influence of the natural environment and some of the inherent characteristics on the concentrations of air pollutants, so as to make the research results more accurate.
5. Results
Table 3 shows the impact of the “coal to gas” heating transition on the concentrations of air pollutants under the control of other variables. The concentrations of air pollutants in this paper were measured by AQI and the concentrations of , , PM10, PM2.5 and CO. Thus, the explained variables of model (1)–(6) are the first differences of AQI, , , PM10, PM2.5 and CO.
Table 3.
Estimated impact of “coal to gas” policy on air quality.
The results in Table 3 show that the “coal to gas” policy significantly reduced the concentrations of all air pollutants. One million square meters of “coal to gas” transition would reduce the AQI by 2.488, suggesting that the “coal to gas” transition can significantly improve air quality. More specifically, one million square meters of “coal to gas” transition can reduce the concentrations of by 0.462 , by 0.592 , PM10 by 2.398 , PM2.5 by 2.19 and CO by 0.039 . On average, 4.273 million square meters were transformed from coal to gas power in the winter heating period of each district in Beijing each year (Table 2). Thus, due to the “coal to gas” policy, the air quality index would be reduced by 10.79% (4.273 × 2.488/98.55), and the concentrations of , and CO would be significantly reduced by 12.08% (4.273 × 0.462/16.34), 4.89% (4.273 × 0.592/51.75) and 11.10% (4.273 × 0.039/1.502), respectively. Similarly, the concentrations of PM2.5 and PM10 would be significantly decreased by 11.94% (4.273 × 2.190/78.38) and 13.07% (4.273 × 2.398/78.38), which clearly suggests that heating transition policy is an effective measure to improve air quality.
The coefficient of the cross-term of the “coal to gas” heating transition area and the energy use efficiency was also significant in all the models, which implies that the effect of the “coal to gas” transformation differed in areas with different energy use efficiencies. The results in Table 3 show that in the areas which use energy resources less efficiently—in other words, areas with lower energy conservation and emission reduction rate—the effect of the “coal to gas” transition was larger. This may be because the effect of the “coal to gas” transition could be showed in places with high air pollution generated by low energy use efficiency.
It is interesting that the effect of the “coal to gas” policy in sub-urban areas is the almost the same as that in central urban areas. The coefficient of the cross-term of the “coal to gas” heating transition area and the dummy variable of “urban” is not significant in any of the models, except for the model of . This suggests that, except for the concentration of , the effect of the “coal to gas” policy does not differ between urban and sub-urban areas in reducing the concentrations of pollutants. Furthermore, it implies that the effect of the “coal to gas” policy is largely the same between central urban areas and sub-urban areas, suggesting that the “coal to gas” policy should not only be implemented in the central urban area, but also in the sub-urban areas. We should also notice that the “coal to gas” policy is more efficient in central urban areas for reducing the concentration of . Compared with the sub-urban districts, on average, the concentration of in central urban areas will further decrease by 3.48% (4.273 × 0.422/51.75). This may because the concentrations of were significantly higher in urban areas before the start of the “coal to gas” policy and the effect of the policy could be more easily showed in places with higher air pollutants.
The results in Table 3 suggest that vehicle exhaust emissions have a positive effect on air pollution, though the effect is not significant in some of the models. An increase of vehicles will increase the concentrations of various air pollutants, in which and will be significantly affected. When the growth rate of cars is 1% higher than that of previous years, the concentration of will increase by about 4.49 times (73.38/16.34), and the concentration of will increase by nearly 2.94 times (152.3/51.75). Besides, the construction of waste treatment plants will generally increase the concentrations of air pollutants, although its effect is not significant.
From the coefficients of energy use efficiency, we can see that making efforts for energy conservation and emission reduction can effectively reduce the concentrations of all air pollutants, although the effects on and PM10 are not statistically significant. If the energy use efficiency is increased by 1%—in other words, when the energy consumption reduction rate of the region is increased by 1%—the concentrations of will be reduced by 0.810 , PM2.5 will be reduced by 3.151 and CO will be reduced by 0.068 , accounting for 21.18%, 17.18% and 19.35%, respectively, of each average concentration. Our findings suggest that developing new techniques to increase energy use efficiency is an effective way to reduce the concentrations of all air pollutants.
6. Conclusions and Policy Implications
Air pollution is a global environmental problem, especially in developing countries. How to find working solutions has become a common concern of governments. Using a unique panel dataset and the first difference model, this paper examines the impact of the “coal to gas” policy on air pollution reduction in Beijing. We find strong evidence that the “coal to gas” policy does contribute to the improvement of air quality. On average, the “coal to gas” policy significantly reduced the AQI by 10.79%, the concentrations of by 12.08%, by 4.89%, PM10 by 13.07%, PM2.5 by 11.94% and CO by 11.10%, annually. Specifically, the policy is more effective in the areas with lower energy use efficiency. Furthermore, compared with the sub-urban districts, on average, the concentration of in urban areas will further decrease by 3.48%. However, for other pollutants, the effectiveness of the “coal to gas” policy is the same between urban and sub-urban areas.
In this paper, we also confirm that vehicle exhaust is an important source of air pollution. The increase of vehicles will increase the concentration of all air pollutants, especially the concentrations of and . Besides, the construction of waste treatment plants will also increase the concentration of air pollutants, although its effect is not significant. We also find that enhancing energy usage efficiency can effectively reduce the concentrations of all air pollutants, although the effects on and PM10 are not statistically significant. This finding implies that developing new techniques to increase energy usage efficiency is an effective way to reduce the concentrations of all air pollutants.
Based on the conclusions above, several policy implications are generated. First of all, cities with winter heating in China should start or continue to implement the policy of heating transition from “coal to gas”, and try their best to use clean energy to provide winter heating for residents. Secondly, because the effect of the “coal to gas” transition in the sub-urban areas is almost the same as the urban areas, the “coal to gas” policy should not only be implemented in the central urban areas, but also in the sub-urban areas. Thirdly, because improving energy use efficiency can significantly reduce the negative effects of air pollution on economic development, new techniques should be developed to increase energy use efficiency, so as to reduce the concentrations of air pollutants. Fourthly, in order to reduce the air pollution, especially the emissions of and , regulations should be made to control the growth rate of motor vehicles.
Author Contributions
Conceptualization, J.C. and Y.L.; data curation, Z.L. and Y.L.; funding acquisition, J.C.; methodology, J.C.; resources, Y.L.; supervision, J.C.; writing—original draft, Z.L. and J.C.; writing—review and editing, Z.L., X.C., J.C. and T.B. All authors have read and agreed to the published version of the manuscript.
Funding
This study was supported by the National Natural Science Foundation of China (No. 71973011), the Ministry of Science and Technology of China (2016YFD0201301), and the Joint Development Program of Beijing Municipal Commission of Education.
Conflicts of Interest
The authors declare no conflict of interest.
Appendix A
Table A1.
Comparison of air pollutants between urban and sub-urban areas in 2014.
Table A1.
Comparison of air pollutants between urban and sub-urban areas in 2014.
| Characteristics | Mean ± St.Dev. | p-Value | |
|---|---|---|---|
| Urban Area | Sub-Urban Area | ||
| AQI | 119.17 ± 8.30 | 177.90 ± 26.95 | 0.91 |
| () | 30.89 ± 2.90 | 28.63 ± 8.33 | 0.54 |
| () | 65.97 ± 5.46 | 52.16 ± 11.36 | 0.02 |
| CO () | 1.92 ± 0.26 | 1.73 ± 0.39 | 0.32 |
| PM10 () | 132.69 ± 11.44 | 128.05 ± 27.07 | 0.70 |
| PM2.5 () | 94.74 ± 7.30 | 94.16 ± 24.23 | 0.96 |
| Observations | 6 | 10 | |
Source: authors’ own survey.
References
- Chen, J.; Xu, C.; Song, M. Determinants for decoupling economic growth from carbon dioxide emissions in China. Reg. Environ. Chang. 2020, 20, 11. [Google Scholar] [CrossRef]
- Zhang, D.; Li, M.; Ji, X.; Wu, J.; Dong, Y. Revealing potential of energy-saving behind emission reduction. Manag. Environ. Qual. 2019, 30, 714–730. [Google Scholar] [CrossRef]
- He, L.Y.; Zhang, L.; Liu, R.Y. Energy consumption, air quality, and air pollution spatial spillover effects: Evidence from the Yangtze River Delta of China. Chin. J. Pop. Res. Environ. 2019, 17, 329–340. [Google Scholar] [CrossRef]
- WHO. National Estimates of Air Pollution Exposure and Health Effects. 2016. Available online: https://www.who.int/zh/news-room/detail/27-09-2016-who-releases-country-estimates-on-air-pollution-exposure-and-health-impact (accessed on 20 April 2020).
- Genç, T.; Kabak, M.; Özceylan, E.; Çetinkaya, C. Evaluation of natural gas strategies of Turkey in East Mediterranean region: A strengths-weaknesses-opportunities-threats and analytic network process approach. Technol. Econ. Dev. Econ. 2018, 24, 1041–1062. [Google Scholar] [CrossRef]
- Chen, J.; Cheng, S.; Nikic, V.; Song, M. Quo Vadis? Major Players in Global Coal Consumption and Emissions Reduction. Transform. Bus. Econ. 2018, 17, 112–133. [Google Scholar]
- Postelnicu, C.; Câlea, C. The Fourth Industrial Revolution. Global Risks, Local Challenges for Employment. Montenegrin J. Econ. 2019, 15, 195–206. [Google Scholar]
- Zhang, R.; Jing, J.; Tao, J.; Hsu, S.-C.; Wang, G.; Cao, J.; Shen, Z. Chemical characterization and source apportionment of PM2.5 in Beijing: Seasonal perspective. Atmos. Chem. Phys. 2013, 13, 7053–7074. [Google Scholar] [CrossRef]
- Viana, M.; Hammingh, P.; Colette, A.; Querol, X.; Degraeuwe, B.; De Vlieger, I.; van Aardenne, J. Impact of maritime transport emissions on coastal air quality in Europe. Atmos. Environ. 2014, 90, 96–105. [Google Scholar] [CrossRef]
- Tao, J.; Gao, J.; Zhang, L.; Zhang, R.; Che, H.; Zhang, Z.; Hsu, S.-C. PM2.5 pollution in a megacity of southwest China: Source apportionment and implication. Atmos. Chem. Phys. 2014, 14, 8679–8699. [Google Scholar] [CrossRef]
- Guarnieri, M.; Balmes, J.R. Outdoor air pollution and asthma. Lancet 2014, 383, 1581–1592. [Google Scholar] [CrossRef]
- Mustafić, H.; Jabre, P.; Caussin, C.; Murad, M.H.; Escolano, S.; Tafflet, M.; Jouven, X. Main Air Pollutants and Myocardial Infarction a Systematic Review and Meta-analysis. JAMA 2012, 307, 713–721. [Google Scholar] [CrossRef]
- Shah, A.S.V.; Lee, K.K.; McAllister, D.A.; Hunter, A.; Nair, H.; Whiteley, W.; Mills, N.L. Short term exposure to air pollution and stroke: Systematic review and meta-analysis. Br. Med. J. 2015, 350, h1295. [Google Scholar] [CrossRef] [PubMed]
- Zhang, X.; Chen, X.; Zhang, X. The impact of exposure to air pollution on cognitive performance. Proc. Natl. Acad. Sci. USA 2018, 115, 9193–9197. [Google Scholar] [CrossRef] [PubMed]
- Chen, Y.; Ebenstein, A.; Greenstone, M.; Li, H. Evidence on the impact of sustained exposure to air pollution on life expectancy from China’s Huai River policy. Proc. Natl. Acad. Sci. USA 2013, 110, 12936–12941. [Google Scholar] [CrossRef]
- Boussemart, J.P.; Leleu, H.; Shen, Z.; Valdmanis, V. Performance analysis for three pillars of sustainability. J. Product. Anal. 2020, 53, 305–320. [Google Scholar] [CrossRef]
- Zhang, X.; Zhang, X.; Chen, X. Happiness in the air: How does a dirty sky affect mental health and subjective well-being? J. Environ. Econ. Manag. 2017, 85, 81–94. [Google Scholar]
- Wang, H.-J.; Chen, H.-P. Understanding the recent trend of haze pollution in eastern China: Roles of climate change. Atmos. Chem. Phys. 2016, 16, 4205–4211. [Google Scholar] [CrossRef]
- Wang, Y.; Ying, Q.; Hu, J.; Zhang, H. Spatial and temporal variations of six criteria air pollutants in 31 provincial capital cities in China during 2013–2014. Environ. Int. 2014, 73, 413–422. [Google Scholar] [CrossRef]
- Rohde, R.A.; Muller, R.A. Air Pollution in China: Mapping of Concentrations and Sources. PLoS ONE 2015, 10, e0135749. [Google Scholar] [CrossRef]
- Fan, M.; He, G.; Zhou, M. The winter choke: Coal-Fired heating, air pollution, and mortality in China. J. Health Econ. 2020, 71, 102316. [Google Scholar] [CrossRef]
- Song, C.; Wu, L.; Xie, Y.; He, J.; Chen, X.; Wang, T.; Mao, H. Air pollution in China: Status and spatiotemporal variations. Environ. Pollut. 2017, 227, 334–347. [Google Scholar] [CrossRef] [PubMed]
- Beijing Clean Air Action Plan from 2013 to 2017. 2013. Available online: http://www.beijing.gov.cn/zhengce/zfwj/zfwj/szfwj/201905/t20190523_72673.html,2013-09-12 (accessed on 20 April 2020).
- Meng, Y.; Sun, H. Discussion on the development of “coal to gas” in Beijing, Tianjin and Hebei region. Int. Pet. Econ. 2014, 22, 84–90. [Google Scholar]
- Zhao, L.; Wei, J.; Chen, X.; Chen, Y. The influence of “coal to gas” in Urumqi on the spatial variation of SO2 concentration. Arid Land Geogr. 2014, 7, 744–749. [Google Scholar]
- Luo, Z.; Li, H. The impact of the implementation of the ten atmospheric controlling policies on air quality. China Ind. Econ. 2018, 9, 136–154. [Google Scholar]
- Shi, D.; Li, S. Research on the effect of green coordinated development in Beijing, Tianjin and Hebei—Based on the experiment of “coal to gas” and electricity policy implementation. Res. Econ. Manag. 2018, 39, 64–77. [Google Scholar]
- Li, S.; Chen, M. Research on the influence of the policy of “coal to gas” and coal to electricity on the green development. Res. Financ. Econ. Issues 2019, 7, 49–56. [Google Scholar]
- Almond, D.; Chen, Y.; Greenstone, M.; Li, H. Winter Heating or Clean Air? Unintended Impacts of China’s Huai River Policy. Am. Econ. Rev. 2009, 99, 184–190. [Google Scholar] [CrossRef]
- Wang, S.; Li, Y.; Haque, M. Evidence on the Impact of Winter Heating Policy on Air Pollution and Its Dynamic Changes in North China. Sustainability 2019, 11, 2728. [Google Scholar] [CrossRef]
- Li, J.; Cao, J. Empirical analysis of the effect of central heating on air pollution in China. China J. Econ. 2017, 4, 138–150. [Google Scholar]
- Viard, V.B.; Fu, S. The effect of Beijing’s driving restrictions on pollution and economic activity. J. Public Econ. 2015, 125, 98–115. [Google Scholar] [CrossRef]
- Zhang, M.; Shan, C.; Wang, W.; Pang, J.; Guo, S. Do driving restrictions improve air quality: Take Beijing-Tianjin for example? Sci. Total Environ. 2020, 712, 136408. [Google Scholar] [CrossRef] [PubMed]
- Huang, H.; Fu, D.; Qi, W. Effect of driving restrictions on air quality in Lanzhou, China: Analysis integrated with internet data source. J. Clean. Prod. 2017, 142, 1013–1020. [Google Scholar] [CrossRef]
- Zhang, W.; Lin Lawell, C.-Y.C.; Umanskaya, V.I. The effects of license plate-based driving restrictions on air quality: Theory and empirical evidence. J. Environ. Econ. Manag. 2017, 82, 181–220. [Google Scholar]
© 2020 by the authors. Licensee MDPI, Basel, Switzerland. This article is an open access article distributed under the terms and conditions of the Creative Commons Attribution (CC BY) license (http://creativecommons.org/licenses/by/4.0/).

