Effect of Synthesis Temperature on Structure and Electrochemical Performance of Spinel-Layered Li1.33MnTiO4+z in Li-Ion Batteries
Abstract
1. Introduction
2. Materials and Methods
2.1. Preparation of Cathode Materials
2.2. Structural, Physical, and Electrochemical Characterization
3. Results and Discussion
3.1. Structural Characterization of Cathodes
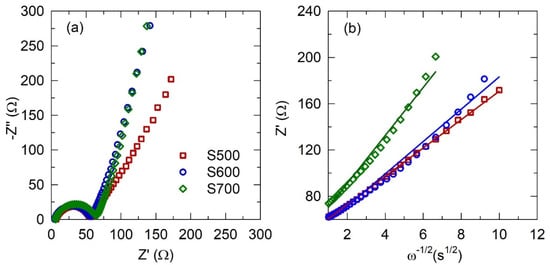
3.2. Electrochemical Properties
4. Conclusions
Supplementary Materials
Author Contributions
Funding
Conflicts of Interest
References
- Krins, N.; Hatert, F.; Traina, K.; Dusoulier, L.; Molenberg, I.; Fagnard, J.F.; Vanderbemden, P.; Rulmont, A.; Cloots, R.; Vertruyen, B. LiMn2−xTixO4 spinel-type compounds (x ≤ 1): Structural, electrical and magnetic properties. Solid State Ion. 2006, 177, 1033–1040. [Google Scholar] [CrossRef][Green Version]
- Lee, Y.-S.; Yoshio, M. Unique Aluminum Effect of LiAlxMn2−xO 4 Material in the 3 V Region. Electrochem. Solid-State Lett. 2001, 4, A85–A88. [Google Scholar] [CrossRef]
- Kim, J.H.; Myung, S.T.; Sun, Y.K. Molten salt synthesis of LiNi0.5Mn1.5O4 spinel for 5 V class cathode material of Li-ion secondary battery. Electrochim. Acta 2004, 49, 219–227. [Google Scholar] [CrossRef]
- Gao, Y.; Dahn, J.R. Synthesis and Characterization of Li1 + xMn2 − x O4 for Li-Ion Battery Applications. J. Electrochem. Soc. 1996, 143, 100–114. [Google Scholar] [CrossRef]
- Liu, Q.; Wang, S.; Tan, H.; Yang, Z.; Zeng, J. Preparation and Doping Mode of Doped LiMn2O4 for Li-Ion Batteries. Energies 2013, 6, 1718–1730. [Google Scholar] [CrossRef]
- Wang, S.; Yang, J.; Wu, X.; Li, Y.; Gong, Z.; Wen, W.; Lin, M.; Yang, J.; Yang, Y. Toward high capacity and stable manganese-spinel electrode materials: A case study of Ti-substituted system. J. Power Sources 2014, 245, 570–578. [Google Scholar] [CrossRef]
- Arillo, M.Á.; López, M.L.; Pico, C.; Veiga, M.L. Structural, thermal and magnetic properties of LiMnTiO4 spinel in different atmospheres. Solid State Sci. 2008, 10, 1612–1619. [Google Scholar] [CrossRef]
- Chen, R.; Knapp, M.; Yavuz, M.; Heinzmann, R.; Wang, D.; Ren, S.; Trouillet, V.; Lebedkin, S.; Doyle, S.; Hahn, H.; et al. Reversible Li+ Storage in a LiMnTiO4 Spinel and Its Structural Transition Mechanisms. J. Phys. Chem. C 2014, 118, 12608–12616. [Google Scholar] [CrossRef]
- Vu, N.H.; Arunkumar, P.; Im, W.B. High-performance spinel-rich Li1.5MnTiO4+δ ultralong nanofibers as cathode materials for Li-ion batteries. Sci. Rep. 2017, 7, 45579. [Google Scholar] [CrossRef]
- Vu, N.H.; Arunkumar, P.; Im, J.C.; Ngo, D.T.; Le, H.T.T.; Park, C.-J.; Im, W.B. Effect of synthesis temperature on the structural defects of integrated spinel-layered Li1.2Mn0.75Ni0.25O2+δ: A strategy to develop high-capacity cathode materials for Li-ion batteries. J. Mater. Chem. A 2017, 5, 15730–15742. [Google Scholar] [CrossRef]
- Vu, N.H.; Arunkumar, P.; Im, J.C.; Im, W.B. High capacity spinel@layered Li1.5MnTiO4+δ as thermally stable core-shell-driven cathode materials for lithium-ion batteries. J. Alloys Compd. 2017, 704, 459–468. [Google Scholar] [CrossRef]
- Vu, N.H.; Unithrattil, S.; Hoang, V.H.; Chun, S.; Im, W.B. Template-engaged synthesis of spinel-layered Li1.5MnTiO4+δ nanorods as a cathode material for Li-ion batteries. J. Power Sources 2017, 355, 134–139. [Google Scholar] [CrossRef]
- Zhang, X.; Yang, M.; Zhao, X.; Wang, Y.; Wang, M.; Ma, L. The spinel phase LiMnTiO4 as a potential cathode for rechargeable lithium ion batteries. J. Mater. Sci. Mater. Electron. 2015, 26, 6366–6372. [Google Scholar] [CrossRef]
- Larson, A.C.; Von Dreele, R.B. General Structure Analysis System (GSAS); Los Alamos National Laboratory Report LAUR; Los Almos National Laboratory: Los Almos, NM, USA, 1994; pp. 86–748. [Google Scholar]
- Sathiyaraj, K.; Bhuvaneswari, G.D.; Kalaiselvi, N.; Peter, A.J. H2O2-Aided One-Pot Hydrothermal Synthesis of Nanocrystalline LiMn2O4 Cathode for Lithium Batteries. IEEE Trans. Nanotechnol. 2012, 11, 314–320. [Google Scholar] [CrossRef]
- Fujimoto, D.; Lei, Y.; Huang, Z.-H.; Kang, F.; Kawamura, J. Synthesis and Electrochemical Performance of LiMnPO4 by Hydrothermal Method. Int. J. Electrochem. 2014, 2014, 768912. [Google Scholar] [CrossRef]
- Im, J.C.; Vu, N.H.; Tran Huu, H.; Lee, D.S.H.; Im, W.B. Effects of Fluorine Doping on Electrochemical Performance of Spinel-Layered Li3Mn3O7.5-xFx as Cathode Materials for Li-Ion Batteries. J. Electrochem. Soc. 2019, 166, A1568–A1573. [Google Scholar] [CrossRef]
- Song, D.; Ikuta, H.; Uchida, T.; Wakihara, M. The spinel phases LiAlyMn2−yO4 (y = 0, 1/12, 1/9, 1/6, 1/3) and Li(Al,M)1/6Mn11/6O4 (M = Cr, Co) as the cathode for rechargeable lithium batteries. Solid State Ion. 1999, 117, 151–156. [Google Scholar] [CrossRef]
- Fey, G.T.-K.; Lu, C.-Z.; Kumar, T.P. Preparation and electrochemical properties of high-voltage cathode materials, LiMyNi0.5−yMn1.5O4 (M = Fe, Cu, Al, Mg; y = 0.0–0.4). J. Power Sources 2003, 115, 332–345. [Google Scholar] [CrossRef]
- Xiao, L.; Zhao, Y.; Yang, Y.; Cao, Y.; Ai, X.; Yang, H. Enhanced electrochemical stability of Al-doped LiMn2O4 synthesized by a polymer-pyrolysis method. Electrochim. Acta 2008, 54, 545–550. [Google Scholar] [CrossRef]
- Xiong, L.; Xu, Y.; Tao, T.; Goodenough, J.B. Synthesis and electrochemical characterization of multi-cations doped spinel LiMn2O4 used for lithium ion batteries. J. Power Sources 2012, 199, 214–219. [Google Scholar] [CrossRef]
- Hu, J.-P.; Sheng, H.; Deng, Q.; Ma, Q.; Liu, J.; Wu, X.-W.; Liu, J.-J.; Wu, Y.-P. High-Rate Layered Cathode of Lithium-Ion Batteries through Regulating Three-Dimensional Agglomerated Structure. Energies 2020, 13, 1602. [Google Scholar] [CrossRef]
- Fu, C.; Li, G.; Luo, D.; Zheng, J.; Li, L. Gel-combustion synthesis of Li1.2Mn0.4Co0.4O2 composites with a high capacity and superior rate capability for lithium-ion batteries. J. Mater. Chem. A 2014, 2, 1471–1483. [Google Scholar] [CrossRef]
- He, X.; Xu, X.; Wang, L.; Du, C.; Cheng, X.; Zuo, P.; Ma, Y.; Yin, G. Enhanced Electrochemical Performance of LiNi0.8Co0.15Al0.05O2 Cathode Material via Li2TiO3 Nanoparticles Coating. J. Electrochem. Soc. 2019, 166, A143–A150. [Google Scholar] [CrossRef]
- Lee, J.; Seo, D.-H.; Balasubramanian, M.; Twu, N.; Li, X.; Ceder, G. A new class of high capacity cation-disordered oxides for rechargeable lithium batteries: Li-Ni-Ti-Mo oxides. Energy Environ. Sci. 2015, 8, 3255–3265. [Google Scholar] [CrossRef]
- Rozier, P.; Tarascon, J.M. Review—Li-Rich Layered Oxide Cathodes for Next-Generation Li-Ion Batteries: Chances and Challenges. J. Electrochem. Soc. 2015, 162, A2490–A2499. [Google Scholar] [CrossRef]
- Normakhmedov, O.O.; Brylev, O.A.; Petukhov, D.I.; Kurilenko, K.A.; Kulova, T.L.; Tuseeva, E.K.; Skundin, A.M. Cryochemically Processed Li1+yMn1.95Ni0.025Co0.025O4 (y = 0, 0.1) Cathode Materials for Li-Ion Batteries. Materials 2018, 11, 1162. [Google Scholar] [CrossRef]







| Sample | S500 | S600 | S700 | |
|---|---|---|---|---|
| Space Group | ||||
| Fd3m | Phase | Li1.15Mn1.05Ti0.8O4 | Li1.1Mn1.1Ti0.8O4 | LiMnTiO4 |
| Phase content (%) | 50 | 71 | 83 | |
| Lattice parameter (Å) | 8.212 | 8.247 | 8.264 | |
| C2/m (S500) or C2/c (S600 and S700) | Phase | Li2Mn0.9Ti0.1O3 | Li2Mn0.5Ti0.5O3 | Li2Mn0.5Ti0.5O3 |
| Phase content (%) | 32 | 24 | 17 | |
| Lattice parameter (Å) | a = 4.989 b = 8.647 c = 4.999 β = 109.49° | a = 4.850 b = 8.936 c = 9.776 β = 99.187° | a = 4.850 b = 8.936 c = 9.729 β = 99.187° | |
| I41/amd | Phase | TiO2 anatase | ||
| Phase content (%) | 10 | 0 | 0 | |
| Lattice parameter (Å) | a = b = 3.791 c = 9.466 | |||
| P42/mnm | Phase | TiO2 rutile | TiO2 rutile | |
| Phase content (%) | 8 | 5 | 0 | |
| Lattice parameter (Å) | a = b = 4.610 c = 3.126 | a = b = 4.629 c = 2.950 | ||
| Fitting quality | Rwp (%) Rp (%) χ2 (%) | 5.34 3.99 4.91 | 5.43 4.04 3.55 | 6.49 4.61 2.95 |
© 2020 by the authors. Licensee MDPI, Basel, Switzerland. This article is an open access article distributed under the terms and conditions of the Creative Commons Attribution (CC BY) license (http://creativecommons.org/licenses/by/4.0/).
Share and Cite
Vu, N.H.; Dao, V.-D.; Tran Huu, H.; Im, W.B. Effect of Synthesis Temperature on Structure and Electrochemical Performance of Spinel-Layered Li1.33MnTiO4+z in Li-Ion Batteries. Energies 2020, 13, 2962. https://doi.org/10.3390/en13112962
Vu NH, Dao V-D, Tran Huu H, Im WB. Effect of Synthesis Temperature on Structure and Electrochemical Performance of Spinel-Layered Li1.33MnTiO4+z in Li-Ion Batteries. Energies. 2020; 13(11):2962. https://doi.org/10.3390/en13112962
Chicago/Turabian StyleVu, Ngoc Hung, Van-Duong Dao, Ha Tran Huu, and Won Bin Im. 2020. "Effect of Synthesis Temperature on Structure and Electrochemical Performance of Spinel-Layered Li1.33MnTiO4+z in Li-Ion Batteries" Energies 13, no. 11: 2962. https://doi.org/10.3390/en13112962
APA StyleVu, N. H., Dao, V.-D., Tran Huu, H., & Im, W. B. (2020). Effect of Synthesis Temperature on Structure and Electrochemical Performance of Spinel-Layered Li1.33MnTiO4+z in Li-Ion Batteries. Energies, 13(11), 2962. https://doi.org/10.3390/en13112962

