Abstract
We propose a paper solar cell based on carbon nanotube (CNT)-composite papers. To fabricate this cell, we use dye-sensitized solar cells (DSCs) for generating power through the redox reaction of dyes in conjunction with CNT-composite papers, which are composite materials containing CNTs and pulp (raw paper material) that can be fabricated easily by using a method based on the Japanese washi papermaking technique. The demand for CNT applications is expected to increase due to their high conductivity and metallic or semiconducting characteristics. This CNT-composite paper can also have metallic or semiconducting characteristics based on the contained CNTs in the composite paper. We previously fabricated a DSC that generates electricity by using CNT-composite papers stacked in a typical DSC structure. However, the conversion efficiency of this DSC was just 0.188%, which is not practical. To overcome this low power generation issue, we tried improving the DSC structure by applying electrodes to the CNT-composite papers in grid patterns for efficient current collection and applying an optimally mixed dye for efficient electron excitation. Results showed that the conversion efficiency improved to 0.58%. Moreover, we demonstrated that using a mixed dye can improve the conversion efficiency of the paper DSC. We expect these types of CNT-composite papers to be used as material for new DSCs.
1. Introduction
Renewable energy has been attracting attention as a potential solution to environmental problems. Research on photovoltaic power generation, a renewable form of energy, is being studied, and solar cells that are capable of generating clean energy are attracting attention [1]. In the present study, we focus on a dye-sensitized solar cell (DSC), which is a type of solar cell [2]. A DSC generates electricity by using dyes that absorb light and emit electrons. Since a DSC can generate electricity without using rare metals and can use various natural dyes [3,4,5,6], it can be fabricated at a low cost and is easy to use [7]. Previously, we developed a unique DSC by using carbon nanotube (CNT) paint [8], i.e., a paint-type DSC.
CNTs are made of carbon and can be used in a wide variety of applications due to their excellent characteristics [9]. However, they are difficult to handle because they are a nano-scaled and generally come in a powdery state. Therefore, in this study, we compounded CNTs and pulp (raw paper material) to form CNT-composite papers (Figure 1) [10] that facilitate the application of CNTs to electrical devices such as transistors [11] and thermoelectric devices [12]. To generate power from DSCs [13], one first needs to prepare both semiconducting and metallic electrodes, as described in Section 2. CNTs are divided into those having metallic characteristics and those having semiconducting characteristics, depending on their structure [14]. Our concept is to selectively fabricate metallic and semiconducting CNT-composite papers and apply them to both electrodes of a DSC. Various flexible DSCs—e.g., a wire-shaped one [15], a type that uses a conductive mesh [16], and a type that uses CNTs only for a counter electrode [17]—have been proposed. Compared with them, our paper-based DSC is very unique because of its use of paper.
Figure 1.
Samples of carbon nanotube (CNT)-composite paper. Differences of color are caused by the volume of contained CNTs.
It is important to select a suitable semiconductor having a large surface area. To achieve high power-generation efficiency, one needs to adsorb dyes to the material used as a semiconducting electrode. Generally, TiO2 is used for this purpose. Since CNTs have higher surface areas than other materials, we believe they are suitable for such dye adsorption. In addition, CNTs have high electrical conductivity, so we can expect them to produce more electric power with less energy loss. Therefore, we argue that our CNT-composite papers are suitable for DSC electrodes. In this study, we apply our CNT-composite papers to the electrodes of a DSC in order to take advantage of these characteristics.
We previously developed a DSC by using CNT-composite papers; however, its conversion efficiency was only 0.188% [18]. As the conversion efficiency of general DSCs with, e.g., ruthenium dyes, is about 5–13% [19,20,21], our DSC had various problems that must be overcome before it could be put to practical use. One reason for the low conversion efficiency of this CNT-composite paper was the high resistance (about 4 kΩ) the electrons faced when flowing to an electrode. When fabricating our paper DSCs, electrodes were made of conductive paste and were only attached to a part of the semiconducting CNT-composite paper. Therefore, the distance that the excited electrons had to travel from the dye to the electrode was too long. Additionally, electrons did not flow efficiently because they recombined with the dye before flowing to the electrode. As a result, conversion efficiency was low. A second reason is related to the dye. To obtain highly efficient power generating DSCs, choosing a high-performance dye is key. However, such dyes are usually quite expensive. Moreover, individual dyes can absorb only limited light that has a narrow range of wavelength. Here, we consider the use of mixed dyes, where each dye can absorb a different light (different wavelength).
2. Dye-Sensitized Solar Cell
In this section, we describe the principle behind our DSC and the method for evaluating its conversion efficiency.
2.1. Principle of Dye-Sensitized Solar Cell
A DSC consists of one semiconducting electrode to which dyes are adsorbed and another that functions as a counter electrode. The DSC is filled with an electrolyte between the two electrodes. The general structure of a DSC is shown in Figure 2. When light is irradiated to the dyes that are adsorbed to the semiconductor, electrons inside the dyes are excited and transition to the semiconducting electrode. They then pass through the external circuit and arrive at the counter electrode. After that, electrons flow into the electrolytic solution and back inside the dyes. Power is generated by following the above process.
Figure 2.
Schematic of a dye-sensitized solar cell (DSC).
2.2. Evaluation Method for Dye-Sensitized Solar Cell
One measures the current while changing the bias voltage in our DSC. The current-voltage (I–V) curve can be obtained by plotting the obtained data. The performance of devices can be evaluated by calculating the conversion efficiency (η) and fill factor (FF) based on the I–V curves that are obtained from measuring various values of the solar cell, which are described in the following. Conversion efficiency is the ratio when irradiated light energy is converted into electric energy and is expressed as a percentage. The proportional factor Pin is the incident light energy, and Pmax is the maximum electric power generated by the DSC.
The short-circuit current (Isc) is the current when the voltage between both terminals of a DSC is 0, and the open-circuit voltage (Voc) is the voltage when no current flows through the DSC. FF is obtained by dividing the maximum output Pmax by the products of Voc and Isc. It represents the curvature of the I–V characteristics and takes a value from 0 to 1. An FF close to 1 indicates that the DSC has a high performance. It is an indicator of the I–V characteristic of the solar cell represented by the I–V curve.
η = (Pmax/Pin) × 100
FF = Pmax/(Voc × Isc)
3. Experimental Method and Results
We prepared CNT-composite papers and used them to fabricate our DSC. We then evaluated the electrical characteristics. In Section 3.1, we describe our method of preparing the CNT-composite papers, and in Section 3.2, we describe the fabrication method of our DSC and the previous experimental results. We discuss the fabrication method and evaluation results of our modified DSC in Section 3.3.
3.1. Method for Preparing Carbon Nanotube-Composite Papers
CNTs have a cylindrical structure [22,23,24] and are roughly divided into single-walled carbon nanotubes (SWNTs) that have a layer sheet and multi-walled carbon nanotubes (MWNTs) that have multi-layer sheets. When SWNTs have metallic characteristics, chirality (n, m) satisfies n − m = 3q (q is an integer), and SWNTs that have chirality that does not satisfy this characteristic have semiconducting characteristics [25]. Since MWNTs are mainly metal, we felt that they could be used for the metallic CNT-composite paper of our DSC. We used SWNTs for the semiconducting CNT-composite paper. CNT-composite papers are a composite material of CNTs and pulp, which makes them easy to handle. Moreover, because they also have the characteristics of paper, they are extremely flexible and easy to use, and their shape can be set or processed as users desire [10,26].
We prepared the CNT-composite papers by using our papermaking method that is based on the traditional Japanese washi process, as shown in Figure 3. To make a semiconducting CNT-composite paper, we mixed 4 mg of SWNTs and 36 mg of anthocyanin dyes (purple sweet potato color, Kiriyasu Red PSP, KIRIYASU Chemical Co., Ltd., Japan) in 30 mL of pure water. Then, we ultrasonically dispersed them for 90 min. Here, the dye was expected to be the dispersant for CNTs. It is known that the molecules that have benzene rings and hydroxy groups, such as catechin [27,28], have the ability to disperse CNTs in water. The benzene rings of molecules are drawn and adsorbed on the surface of CNTs by the synergy effects of π-π stacking interaction. Anthocyanin dye has the benzene rings and the hydroxy groups. Generally, CNTs cannot be dispersed in water by just ultrasonication. To disperse CNTs in water, in addition to the use of ultrasonication, a dispersant must be used. As a result of the preparation of the CNT dispersion with anthocyanin dye, CNTs keep dispersing in water for a long time. Therefore, we could consider the use of anthocyanin dye as the dispersant for CNTs. Simultaneously, we dispersed 1 g of pulp in 100 mL of pure water by using a stirrer for one hour to prepare the pulp dispersion. In addition, we mixed 36 mL of this pulp dispersion with the CNT dispersion. Next, we poured it on a fine mesh net and scooped up the net. The pulp fibers including CNTs remained on the net. We then shaped a wet sheet made by the pulp fibers and CNTs into a 6 cm square (6 × 6 cm2) by hot press and dried it. The thickness of the paper was about 0.2 mm. The sheet resistance of the fabricated semiconducting CNT-composite papers was about 4 kΩ.
Figure 3.
Schematic of papermaking method for the CNT-composite paper.
Similarly, to make a metallic CNT-composite paper, we mixed 48 mg of MWNTs and 70 mg of sodium dodecyl sulfate (SDS) as the dispersant (surfactant) in 36 mL of pure water, and then we ultrasonically dispersed them for 90 min. Next, we mixed 45 mL of the prepared pulp dispersion with the MWNTs solution. After that, we prepared the metallic CNT-composite paper from the mixed dispersion by using the same method described above. The thickness of the paper was about 0.2 mm, which was the same as the semiconducting CNT-composite paper. The sheet resistance of the fabricated metallic CNT-composite papers was about 10 Ω. Finally, the two types of CNT-composite paper were prepared, and the leads on each one were connected by using conductive paste. Each paper was prepared in 2 × 2 cm2 sheets for our DSC.
3.2. Method of Fabricating Original Dye-Sensitized Solar Cell and Its Evaluation
The method of fabricating our original DSC [18] that we prepared as the reference (Sample A) is as follows. First, we prepared the metallic and semiconducting CNT-composite papers by the above methods, an ordinal paper (0.2 mm of thickness) and an iodinated electrolyte solution (0.26 g of iodine and 1.66 g of potassium iodide in 20 mL of ethylene glycol). Then, we stacked the papers, as shown in Figure 4a. We could stack and fix the papers by a simple method based on technique to make a paper from a few papers for Japanese washi paper. The paper fibers fluff in the making process. When the fabricating (wet) paper, before drying with fluffed fibers on its surface, is stacked with another wet paper and pressed, the fibers of each paper entwine each other. As a result, the stacked papers are fixed easily after drying. We here assumed that the layers were uniformly stacked because we used a press machine. The thickness of the sample was about 0.5 mm. After preparing the stacked paper, we dropped 355 μL of the electrolyte onto the ordinal paper as an object that was capable of holding liquid. The permeability of the paper was almost same as conventional filter papers. After that, the electrolyte solution was held between two sheets of the CNT-composite papers to prepare a DSC sample. Anthocyanin dye then adsorbed to the semiconducting CNT-composite paper. This dye is excellent for absorbing near 500 nm of the solar spectrum [29,30,31,32,33]. Figure 4b shows a photograph of a fabricated sample.
Figure 4.
(a) Schematic of the paper DSC structure (cross section) and (b) photo of the fabricated DSC sample.
To measure and calculate the conversion efficiency and FF of the sample, we irradiated the semiconducting CNT-composite paper with artificial sunlight (1000 W/m2) and then measured the I–V characteristic for ten minutes with a semiconductor parameter analyzer (4200-SCS, Keithley). Figure 5 shows the I–V characteristic of this sample. As a result, the I–V characteristic showed an approximately linear line. Here, we searched for and chose a point of near Isc/2 and Voc/2 to calculate Pmax. Then, the conversion efficiency of this sample was calculated as 0.23%, and FF was calculated as 0.22.
Figure 5.
Current-voltage (I–V) characteristics of the sample with the original structure.
3.3. Approach to Improving Conversion Efficiency and Fill Factor of Our Paper Dye-Sensitized Solar Cell
We here describe two approaches to improve the performance of the paper DSC. First, we fabricated a DSC sample with a grid electrode by using conductive paste to connect the semiconducting CNT-composite paper with the lead wire, and we measured its I–V characteristics to evaluate its performance (Section 3.3.1). Second, focusing on the dye, we evaluated the absorption wavelength bands of the dye by using an absorption spectrophotometer [34] and developed a new dye that has a wide absorption wavelength band by mixing two kinds of dyes that have different absorption wavelength bands. After that, we applied the dye to the paper DSC and evaluated its performance (Section 3.3.2).
3.3.1. Changing Shape of Attached Electrodes
For electrical measurement and evaluation, electrodes for the leads were attached to the fabricated sample, and the sample was attached to a section of the CNT-composite paper by using conductive paste. As described above, this sample’s efficiency is low, presumably due to the excited electrons from the dyes not efficiently flowing to the semiconducting CNT-composite paper. Here, a conductive paste in the form of differently sized grids was attached to the semiconducting CNT-composite paper to improve conversion efficiency by increasing the short-circuit current. We prepared three samples with three different grid patterns to investigate how the short-circuit current changed by increasing the size of the grid pattern (Figure 6).
Figure 6.
Samples B, C, and D with three different electrode grid patterns for the semiconducting electrode (CNT-composite paper).
We conducted experiments on Sample A (the original) and on those with the three different grid patterns (B, C, and D) to evaluate conversion efficiency. Artificial sunlight (1000 W/m2) was irradiated on the semiconducting CNT-composite paper surface, and the I–V characteristics were measured every two minutes for ten minutes. Figure 7 shows the measured I–V characteristics six minutes after irradiation. Conversion efficiency was calculated by using Equation (1) and evaluated on the basis of these I–V characteristics. We found that the short-circuit current of Sample D (pattern 3) increased about twice as much as that of Sample A. We observed that the short-circuit current increased as the number of grids increased. This result demonstrates that we could increase the short-circuit current by attaching the electrode in a grid pattern. The conversion efficiency was improved to 0.24% for Sample B, to 0.46% for Sample C, and to 0.58% for Sample D. For calculation, we also searched for and chose a point of near Isc/2 and Voc/2, as described in the end of Section 3.2. Table 1 lists the short-circuit current and conversion efficiencies of Samples A, B, C, and D.
Figure 7.
Measured I–V characteristics of our DSC with three different electrode grid patterns.
3.3.2. Using More than Two Dyes
The solar spectrum includes a wide range of wavelengths from 300 to 3000 nm. The visible light whose wavelength is between 400 and 700 nm has the highest strength. The efficient absorption of the wide range wavelength of the solar spectrum, especially visible light, is very important to improve power generation efficiency. However, there is no dye that can follow and absorb all of the wavelength bands of sunlight; i.e., various dyes can absorb only a limited wavelength. Therefore, we could improve the power generation efficiency of the DSC by preparing a mixture of dyes that could compensate for the lower absorption of the others.
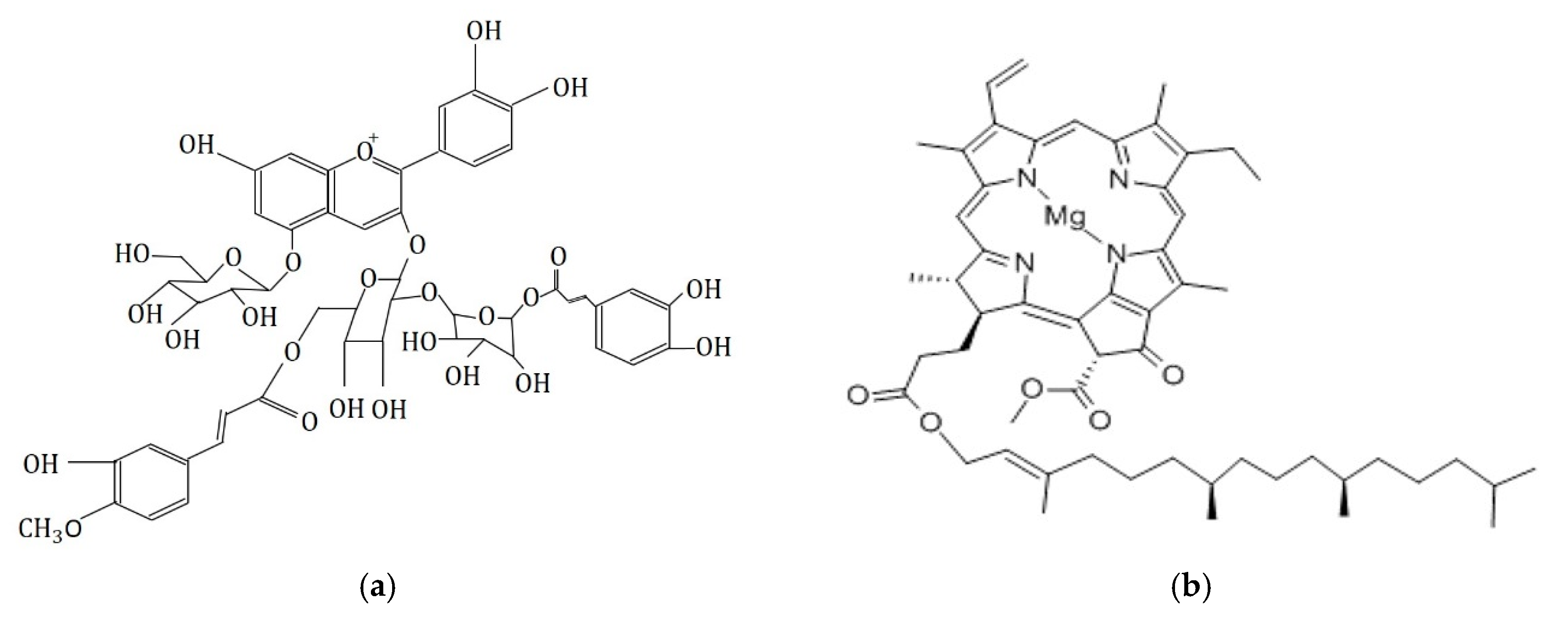
In this study, we mainly used an anthocyanin dye (Figure 8a), as described in Section 3.1. Before trying to improve the power generation efficiency through the above approach, we firstly measured the property of the mixture of the dyes. For the measurement, we used dye solutions, as described below. We dissolved the anthocyanin dye in water at the rate of 3 mg/mL as Solution I and then measured its absorption wavelength to evaluate how much spectrum it could absorb.
Figure 8.
Structural formula of (a) anthocyanin dye and (b) chlorophyll-a.
We also tried mixing chlorophyll-a (Figure 8b) [35] with the anthocyanin dye. We dissolved it in acetone at the rate of 0.1 mg/mL as Solution II and measured its absorption wavelength to evaluate how much spectrum it could absorb. Finally, we investigated which mix of dyes could best expand the absorbing wavelength bands. We mixed Solutions I and II at the rate of 1:4, 2:3, 3:2, and 4:1 and measured several absorbing wavelengths. After that, we calculated the absorption efficiency from the absorbing wavelength and the solar spectrum by:
where Ak describes the absorbance when the wavelength is k and rk is the spectral irradiance when the wavelength is k.
The results showed that the maximum absorption wavelength of the anthocyanin dye was 530 nm, and the maximum absorption wavelengths for chlorophyll-a were 430 nm and 660 nm, as shown in Figure 9.
Figure 9.
Measured absorption wavelength bands of (a) anthocyanin dye and (b) chlorophyll-a.
Figure 10 shows the measurement results of the absorption wavelength for the mixed dye solutions. Table 2 lists the total absorption efficiency obtained from the mixed dye solutions as a function of the mixture rate (I:II). For reference, each pure dye (Solutions I and II) is also listed. We found that the ratio of I:II = 3:2 was most suitable for our DSC. These results demonstrate that the mixed dye enabled a higher efficiency DSC than the single dye.
Figure 10.
Absorption wavelength bands of the mixed dye.
Table 2.
Total absorption efficiency obtained from the mixed dyes as a function of the mixture rate (I:II).
Then, we applied the mixed dye (solution, mixture rate: 3:2) to our paper DSC instead of only anthocyanin dye. Here, we slightly changed the making method for the semiconducting CNT-composite paper to apply the mixed dye. Firstly, we made the paper without the dye. For this, we used SDS to prepare the CNT dispersion in the making process. After that, we dropped the mixed dye solution and dried it. We here assumed that the greater part of the mixed dye was finally adsorbed on CNTs, although the adsorption speeds of the dyes may have been different because the CNT had a large surface area as, described in Section 1. Moreover, the CNT composite paper had a porous and network structure, as shown in Figure 11. Then, we dropped 0.2 mL of the electrolyte, irradiated 1000 W/m2 of artificial sunlight to the sample, and measured the I–V characteristics. We found that using the mixed dye increased the short-circuit current, as shown in Figure 12. This led to the improvement of the conversion efficiency.
Figure 11.
(a) SEM image of sample of CNT-composite paper and (b) enlargement image of (a).
Figure 12.
Measured I–V characteristics of our DSC with the mixed dye.
We should point out that, compared with the results in Figure 5, the obtained short-circuit current here was low. This is because we used less dye for this test. This low current could have also been caused by the changing of the making method for the semiconducting CNT-composite paper. For simplicity, we focused only on the effect of dyes. The important point of this result is that using the mixed dye was effective in improving the conversion efficiency.
4. Discussion
From the measured I–V characteristics of the three grid patterns (Samples B, C, and D), we found that Sample D had the highest conversion efficiency. From the measurement results of Samples B, C, and D, we confirmed that as the size of the grid pattern increased, the short-circuit current also increased. This may have been due to the following reasons. In Sample A, electrons excited from a dye moving in the device exhibited various resistances when flowing to the electrode. By increasing the size of the grid pattern, the distance to the electrode became shorter, so the electrons could flow efficiently to that electrode without much resistance. We thus conclude that the short-circuit current depends on the size of the grid pattern. For Sample D, the short-circuit current increased to 19.50 mA, and the conversion efficiency increased to 0.58%. This conversion efficiency was almost same value shown by our paint-type DSCs [8]. However, as compared with other flexible DSCs that use CNTs and anthocyanin dye [17], the value was not so high, although there are differences between our DSC and others, e.g., other studies used a TiO2-based semiconducting electrode. The efficiency of the other DSCs was from about 0.1% to about 3.2% [3]. For detailed evaluation, theoretical analysis and additional measurement, e.g., for mobility, must be conducted. Thus, detailed properties of the sample will be clarified in near future.
From the measured I–V characteristics of the sample with the mixed dye, we found that using the mixed dye was very effective in improving conversion efficiency. In this study, we only used two dyes. When a mixed dye containing three or more dyes with a suitable mixture rate is used for the paper DSC, we expect the conversion efficiency to be further improved. For detailed evaluation, the absorption wavelength of the contained dyes in the fabricated DSC must be measured. In this study, for simplicity and to find the suitable mixture rate, we only measured the dye solutions and calculated the value of the absorption efficiency as a first step of the approach before making our new DSC, as shown in Figure 10 and Table 2. When the dyes are contained in our DSC, their properties may be scattered. To improve the performance, such properties should also be evaluated by using, e.g., standard deviations. Though it has thus far been difficult to measure absorbance after constructing the DSC, we will try to develop a way to measure the value of our DSC in the near future.
For future work, we will investigate the utilization of a gel electrolyte, which is considered necessary to prevent the leakage and evaporation of the electrolytic solution [36,37,38] because our paper DSC was not packaged. Therefore, the lifetime of it was not very long (approximately one day). When the sample was irradiated with artificial sunlight, the electrolyte started to evaporate. Thus, the use of the gel electrolyte will be a strong candidate for improvement. Recently, the use of the cellulose-based gel electrolyte for conventional DSCs was reported [39]. Cellulose is a main ingredient of paper. Therefore, we consider that the gel electrolyte is also candidate to use for our paper DSC. A further improvement of conversion efficiency is expected by examining new dyes such as ruthenium dye, phthalocyanine dye [40,41,42], and various mixed dyes. In this study, the maximum value of the FF of our modified DSC was 0.22 (from Equation (2)). Since the FF of general DSCs is from 0.35 to 0.7 [3,39], this needs to be improved. We feel that the maximum power obtained from a DSC can be improved by lowering its series resistance or increasing its parallel resistance. Compared with the resistance of the negative electrode of a general DSC, which is about 250 Ω, the negative electrode of our DSC was as high as about 4 kΩ. However, the FF is still low. One solution is to mix metal-type CNTs with the negative electrode in order to reduce the resistance and improve FF.
5. Conclusions
In a previous work, we fabricated a “paper DSC” consisting of metallic- and semiconducting-CNT-composite papers that could generate power. However, its conversion efficiency was low, and there were problems regarding practical use. The main cause of the low conversion efficiency was that the excited electrons from the dyes did not efficiently flow to the electrodes (conductive pastes for lead wires) on the semiconducting CNT-composite paper. As a solution, in the present study, we attached electrodes to the semiconducting CNT-composite paper in grid patterns to improve conversion efficiency by increasing the short-circuit current. We found that this shortened the distance from electrons that were excited from the dyes to the electrodes, and the electrons were thus able to flow without much resistance. This led to an increased short-circuit current and a conversion efficiency that improved to about 2.5 times that of our original DSC sample. We also found that the short-circuit current could be increased by applying an optimized mixed dye for the semiconducting electrode, which in turn improved the conversion efficiency. We believe that DSCs that are fabricated by using CNT-composite papers will make it easier to generate cleaner electricity in the near future.
Author Contributions
All authors contributed equally. Conceptualization, Y.O., K.I., and T.O.; methodology, Y.O., K.I., and T.O.; validation, Y.O., K.I., and T.O.; formal analysis, Y.O. and K.I.; investigation, Y.O., K.I., and T.O.; resources, Y.O., K.I., and T.O.; data curation, Y.O. and K.I.; writing—original draft preparation, Y.O. and K.I.; writing—review and editing, T.O.; visualization, Y.O., K.I., and T.O.; supervision, T.O.; project administration, T.O.; funding acquisition, T.O. All authors have read and agreed to the published version of the manuscript.
Funding
This work was partly supported by JSPS KAKENHI Grant Number JP25110015.
Acknowledgments
We are grateful to the members of the Research and Development Laboratory at KJ Specialty Paper Co., Ltd., Japan and to Seiichi Sugiyama of Yokohama National University, Japan for their support. We are also grateful to all other contributors for providing us with the early data presented at the 5th International Conference on One dimensional Nanomaterials (ICON 2013) held in Annecy, France, at the 9th International Symposium on Atomic Level Characterizations for New Materials and Devices ‘13 (ALC ‘13) held in Hawaii, U.S.A., and at the 2016 MRS Fall Meeting & Exhibit held in Boston, U.S.A.
Conflicts of Interest
The authors declare no conflicts of interest.
References
- O’Regan, B.; Grätzel, M. A low-cost, high-efficiency solar cell based on dye-sensitized colloidal TiO2 films. Nature 1991, 353, 737–740. [Google Scholar] [CrossRef]
- Grätzel, M. Dye-sensitized solar cells. J. Photochem. Photobiol. Photochem. Rev. C 2003, 4, 145–153. [Google Scholar] [CrossRef]
- García-Salinas, M.J.; Ariza, M.J. Optimizing a simple natural dye production method for dye-sensitized solar cells: Examples for betalain (bougainvillea and beetroot extracts) and anthocyanin dyes. Appl. Sci. 2019, 9, 2515. [Google Scholar] [CrossRef]
- Cari, C.; Khairuddin; Septiawan, T.Y.; Suciatmoko, P.M.; Kurniawan, D.; Supriyanto, A. The preparation of natural dye for dye-sensitized solar cell (DSSC). AIP Conf. Proc. 2018, 2014, 020106. [Google Scholar] [CrossRef]
- Sathyajothi, S.; Jayavel, R.; Dhanemozhi, A.C. The fabrication of natural dye sensitized solar cell (Dssc) based on TiO2 using henna and beetroot dye extracts. Mater. Today Proc. 2017, 4, 668–676. [Google Scholar] [CrossRef]
- Tahir, D.; Satriani, W.; Gareso, P.L.; Abdullah, B. Dye sensitized solar cell (DSSC) with natural dyes extracted from Jatropha leaves and purple Chrysanthemum flowers as sensitizer. J. Phys. Conf. Ser. 2018, 979, 012056. [Google Scholar] [CrossRef]
- Xin, X.; He, M.; Han, W.; Jung, J.; Lin, Z. Low-cost Copper Zinc Tin Sulfide counter electrodes for high-efficiency dye-sensitized solar cells. Angew. Chem. Int. Ed. 2011, 50, 11739–11742. [Google Scholar] [CrossRef]
- Matsunaga, Y.; Oya, T. Development of paint-type dye-sensitized solar cell using carbon nanotube paint. J. Nanotechnol. 2019, 2019, 5081034. [Google Scholar] [CrossRef]
- Iijima, S. Helical microtubules of graphitic carbon. Nature 1991, 354, 56–58. [Google Scholar] [CrossRef]
- Oya, T.; Ogino, T. Production of electrically conductive paper by adding carbon nanotubes. Carbon 2008, 46, 169–171. [Google Scholar] [CrossRef]
- Iijima, R.; Oya, T. Aiming to improve gate controllability of paper transistors using carbon-nanotube-composite papers by using ionic liquid. In Proceedings of the 45th International Conference on Micro & Nano Engineering (MNE 2019), Rhodes, Greece, 23–26 September 2019. [Google Scholar]
- Kawata, K.; Oya, T. Development and evaluation of “thermoelectric power generating paper” using carbon nanotube-composite paper. Jpn. J. Appl. Phys. 2017, 56, 06GE10. [Google Scholar] [CrossRef]
- Abdou, E.M.; Hafez, H.S.; Bakir, E.; Abdel-Mottaleb, M.S.A. Photostability of low cost dye-sensitized solar cells based on natural and synthetic dyes. Spectrochim. Acta Part A Mol. Biomol. Spectrosc. 2013, 115, 202–207. [Google Scholar] [CrossRef] [PubMed]
- Romero, H.E.; Sumanasekera, G.U.; Mahan, G.D.; Eklund, P.C. Thermoelectric power of single-walled carbon nanotube films. Phys. Rev. B 2002, 65, 205410. [Google Scholar] [CrossRef]
- Fan, W.; Chu, Z.Z.; Wang, F.Z.; Zhang, C.; Chen, L.; Tang, Y.W.; Zou, D.C. Wire-shaped flexible dye-sensitized solar sells. Adv. Mater. 2008, 20, 592–595. [Google Scholar] [CrossRef]
- Fan, X.; Wang, F.; Chu, Z.; Chen, L.; Zhang, C.; Zou, D. Conduct. Mesh Based Flex. Dye Sensitized Sol. Cells. Appl. Phys. Lett. 2007, 90, 073501. [Google Scholar] [CrossRef]
- Chang, H.; Cho, K.-C.; Chen, T.-L.; Chu, K.-H.; Jiang, L.-J. Preparation and characterization of anthocyanin dye and counter electrode thin film with carbon nanotubes for dye-sensitized solar cells. Mater. Trans. 2011, 52, 1977–1982. [Google Scholar] [CrossRef]
- Iguchi, K.; Sugiyama, S.; Oya, T. Development of “paper dye sensitized solar cell” using carbon-nanotube-composite paper with mixed dyes. In Proceedings of the 9th International Symposium on Atomic Level Characterizations for New Materials and Devices 13 (ALC 13), Hawaii, HI, USA, 2–6 December 2013. [Google Scholar]
- Ito, S.; Murakami, T.; Comte, P.; Liska, P.; Grätzel, C.; Nazeeruddin, M.K.; Grätzel, M. Fabrication of thin film dye sensitized solar cells with solar to electric power conversion efficiency over 10%. Thin Solid Film 2008, 516, 4613–4619. [Google Scholar] [CrossRef]
- Chiba, Y.; Islam, A.; Watanabe, Y.; Komiya, R.; Koide, N.; Han, L. Dye-sensitized solar cells with conversion efficiency of 11.1%. Jpn. J. Appl. Phys. 2006, 45, L638–L640. [Google Scholar] [CrossRef]
- Mathew, S.; Yella, A.; Gao, P.; Humphry-Baker, R.; Curchod, B.F.E.; Ashari-Astani, N.; Tavernelli, I.; Rothlisberger, U.; Nazeeruddin, M.K.; Grätzel, M. Dye-sensitized solar cells with 13% efficiency achieved through the molecular engineering of porphyrin sensitizers. Nat. Chem. 2014, 6, 242–247. [Google Scholar] [CrossRef]
- Zheng, M.; Jagota, A.; Strano, M.S.; Santos, A.P.; Barone, P.; Chou, S.G.; Diner, B.A.; Dresselhaus, M.S.; Mclean, R.S.; Onoa, G.B.; et al. Structure-based carbon nanotube sorting by sequence-dependent DNA assembly. Science 2003, 302, 1545–1548. [Google Scholar] [CrossRef]
- Nihei, M.; Kawabata, A.; Kondo, D.; Horibe, M.; Sato, S.; Awano, Y. Electrical properties of carbon nanotube bundles for future via interconnects. Jpn. J. Appl. Phys. 2005, 44, 1626–1628. [Google Scholar] [CrossRef]
- Hung, N.T.; Nugraha, A.R.; Hasdeo, E.H.; Dresselhaus, M.S.; Saito, R. Diameter dependence of thermoelectric power of semiconducting carbon nanotubes. Phys. Rev. B 2015, 92, 165426. [Google Scholar] [CrossRef]
- Oshima, Y.; Kitamura, Y.; Maniwa, Y.; Yanagi, K. Fabrication of thermoelectric devices using precisely Fermi level-tuned semiconducting single-wall carbon nanotubes. Appl. Phys. Lett. 2015, 107, 043106. [Google Scholar] [CrossRef]
- Fugetsu, B.; Sano, E.; Sunada, M.; Sambongi, Y.; Shibuya, T.; Wang, X.; Hiraki, T. Electrical conductivity and electromagnetic interference shielding efficiency of carbon nanoube/cellulose composite paper. Carbon 2008, 46, 1256–1258. [Google Scholar] [CrossRef]
- Nakamura, G.; Narimatsu, K.; Niidome, T.; Nakashima, N. Green tea solution individually solubilizes single-walled carbon nanotubes. Chem. Lett. 2007, 36, 1140–1141. [Google Scholar] [CrossRef]
- Fujitsuka, Y.; Oya, T. Fabrication of Aligned-carbon-nanotube-composite paper with high and anisotropic conductivity. J. Nanotechnol. 2012, 2012, 819281. [Google Scholar] [CrossRef]
- Chang, H.; Lo, Y.J. Pomegranate leaves and mulberry fruit as natural sensitizers for dye-sensitized solar cells. Sol. Energy 2010, 84, 1833–1837. [Google Scholar] [CrossRef]
- Giusti, M.M.; Wrolstad, R.E. Characterization and measurement of Anthocyanins by UV-visible spectroscopy. In Current Protocols in Food Analytical Chemistry; Giusti, M.M., Wrolstad, R.E., Eds.; John Wiley and Sons: Hoboken, NJ, USA, 2001; pp. 1–13. [Google Scholar]
- Harborne, J.B. Spectral methods of characterizing anthocyanins. Biochem. J. 1958, 70, 22–28. [Google Scholar] [CrossRef]
- Khwanchit, W.; Meeyoo, V.; Chavadej, S. Dye-sensitized solar cell using natural dyes extracted from rosella and blue pea flowers. Sol. Energy Mater. Sol. Cells 2007, 91, 566–571. [Google Scholar] [CrossRef]
- Ozuomba, J.O.; Okoli, L.U.; Ekpunobi, A.J. The performance and stability of anthocyanin local dye as a photosensitizer for DSSCs. Adv. Appl. Sci. Res. 2013, 4, 60–69. [Google Scholar]
- Zhan, X.; Tan, A.; Domercq, B.; An, Z.; Zhang, X.; Barlow, S.; Li, Y.; Zhu, D.; Kippelen, B.; Marder, S.R. A high-mobility electron-transport polymer with broad absorption and its use in field-effect transistors and all-polymer solar cells. J. Am. Chem. Soc. 2007, 129, 7246–7247. [Google Scholar] [CrossRef] [PubMed]
- Goncalves, L.M.; de Bermudez, V.Z.; Ribeiro, H.A.; Mendes, A.M. Dye-sensitized solar cells: A safe bet for the future. Energy Environ. Sci. 2008, 1, 655–667. [Google Scholar] [CrossRef]
- Wang, P.; Zakeeruddin, S.M.; Moser, J.E.; Nazeeruddin, M.K.; Sekiguchi, T.; Grätzel, M. A stable quasi-solid-state dye-sensitized solar cell with an amphiphilic ruthenium sensitizer and polymer gel electrolyte. Nat. Mater. 2003, 2, 402–407. [Google Scholar] [CrossRef] [PubMed]
- Kubo, W.; Kambe, S.; Nakade, S.; Kitamura, T.; Hanabusa, K.; Wada, Y.; Yanagida, S. Photocurrent-determining processes in quasi-solid-state dye-sensitized solar cells using ionic gel electrolytes. J. Phys. Chem. B 2003, 107, 4374–4381. [Google Scholar] [CrossRef]
- Kubo, W.; Murakoshi, K.; Kitamura, T.; Yoshida, S.; Haruki, M.; Hanabusa, K.; Shirai, H.; Wada, Y.; Yanagida, S. Quasi-solid-state dye-sensitized TiO2 solar cells: effective charge transport in mesoporous space filled with gel electrolytes containing Iodide and Iodine. J. Phys. Chem. B 2001, 105, 12809–12815. [Google Scholar] [CrossRef]
- Salvador, G.P.; Pugliese, D.; Bella, F.; Chiappone, A.; Sacco, A.; Bianco, S.; Quaglio, M. New insights in long-term photovoltaic performance characterization of cellulose-based gel electrolytes for stable dye-sensitized solar cells. Electrochim. Acta 2014, 146, 44–51. [Google Scholar] [CrossRef]
- Ragoussi, M.-E.; Ince, M.; Torres, T. Recent advances in Phthalocyanine-based sensitizers for dye-sensitized solar cells. Eur. J. Org. Chem. 2013, 29, 6475–6489. [Google Scholar] [CrossRef]
- Wanga, Z.-S.; Kawauchi, H.; Kashima, T.; Arakawa, H. Significant influence of TiO2 photoelectrode morphology on the energy conversion efficiency of N719 dye-sensitized solar cell. Coord. Chem. Rev. 2004, 248, 1381–1389. [Google Scholar] [CrossRef]
- Chen, C.Y.; Wu, S.J.; Wu, C.G.; Chen, J.G.; Ho, K.C. A Ruthenium complex with superhigh light-harvesting capacity for dye-sensitized solar cells. Angew. Chem. 2006, 118, 5954–5957. [Google Scholar] [CrossRef]
© 2019 by the authors. Licensee MDPI, Basel, Switzerland. This article is an open access article distributed under the terms and conditions of the Creative Commons Attribution (CC BY) license (http://creativecommons.org/licenses/by/4.0/).











