Analysis of Different POD Processing Methods for SPIV-Measurements in Compressor Cascade Tip Leakage Flow
Abstract
1. Introduction
2. Apparatus and Techniques
2.1. Experimental Facility and Test Conditions
2.2. SPIV Technique
2.3. Discussion of Uncertainties
2.4. PODMethod
2.5. TLV Vortex Core Identification
3. Results
3.1. Tip Flow Characteristics
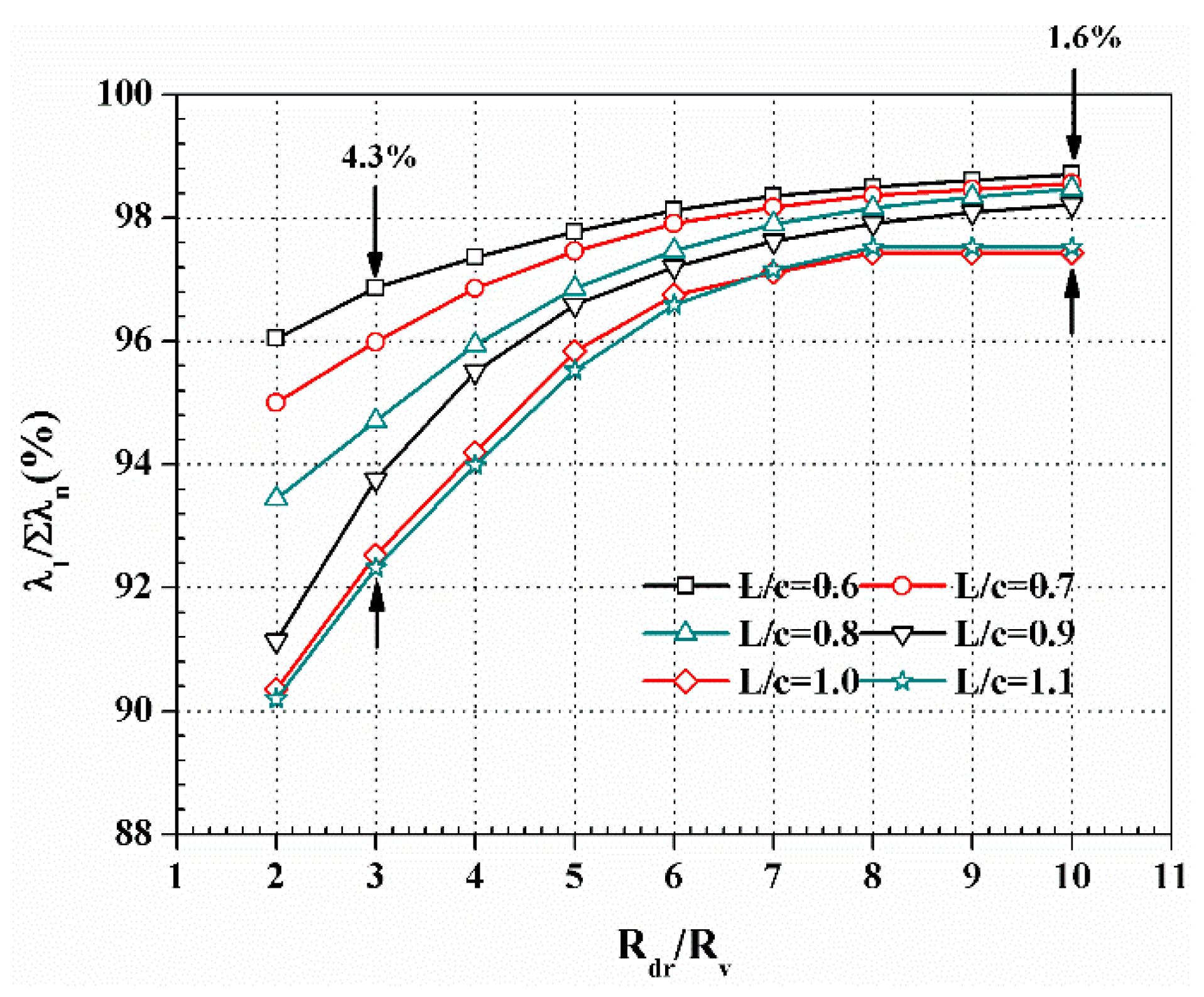
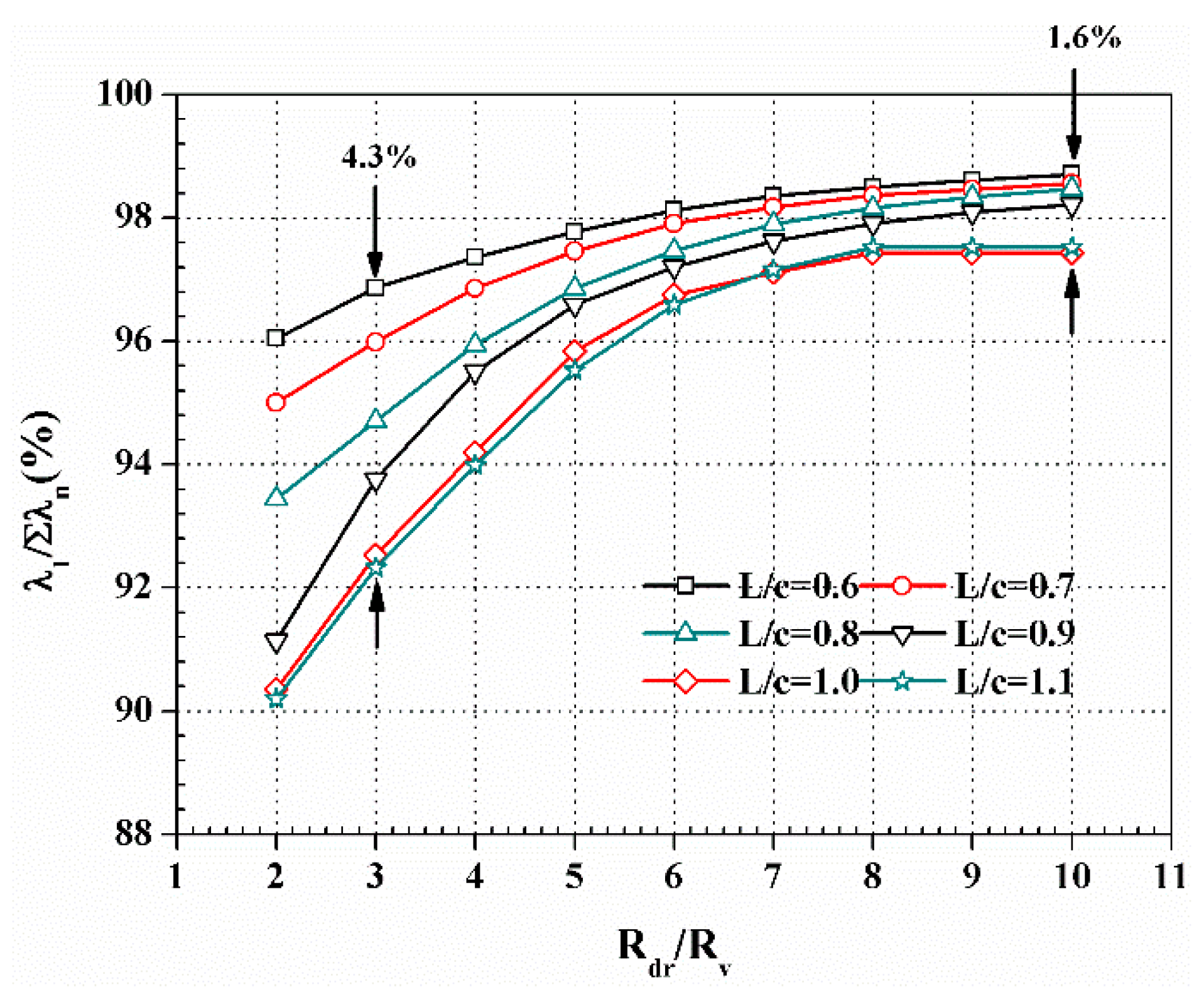
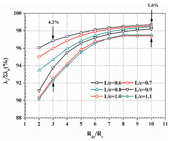
3.2. Effect of Decomposition Region on the Energy Fraction of Mode 1
3.3. Effect of Decompostion Dimensionalities on the Energy Fraction of Mode 1
3.4. Effect of Decomposition Dimensionalities on POD Modes
3.4.1. Mode 1 and Its Relationship with the Time-Averaged Flow Field
3.4.2. Higher-order Modes
3.5. Effect of Decomposition Dimensionalities on POD Reconstruction
3.5.1. Modes Required to Represent 95% Energy of the Original Flow Field
3.5.2. Effect of Decomposition Dimensionalities on the Vortex Distribution Characteristics
4. Conclusions
- (1)
- From L/c = 0.9 to L/c = 1.1, when the TLV is shedding from the blade suction side, wandering of the TLV core becomes significantly stronger and the TLV motions cover a much wider area. As the TLV propagates downstream, the energy fraction of mode 1 decreases.
- (2)
- The decomposition region sizes have marginal impact on POD decomposition of secondary flow velocity. The impact become considerable on the results associated with W component-wise velocity.
- (3)
- For POD decomposition, using different dimensionalities, energy distributions and modes higher than 2 would be totally different. The dominant POD modes, such as the 1st and 2nd POD modes, stay unaffected. Using POD without the W component, mode 1 energy fraction at L/c = 0.9 deviate from that at L/c = 1.1 by twice as much as the deviation from L/c = 0.6 to L/c = 0.9.
- (4)
- The reconstruction relying on the retained energy in the reconstructed flow field is sensitive to different decomposition dimensionalities. The reconstruction using a finite number of POD modes is unaffected.
- (5)
- UV global analysis is better for capturing the kinetic physics of the TLV. As the flow travels downstream, more high-order modes with higher energy fraction will be present in UV global analysis, which is corresponding to the kinetic physics of the TLV that the unsteadiness of vortex wandering and vortex shedding becomes stronger.
Author Contributions
Funding
Conflicts of Interest
Nomenclature
| i,j | The index of the grid points in the velocity distributions |
| k | Snapshot index |
| L | SPIV measurement cross section chordwise position |
| c | Chord length |
| H | Span |
| p | Pitch length |
| Re | Reynolds number of the inlet flow |
| s | The vertical distance of test points to the wall. |
| Г | Circulation |
| ave | Time-averaged value |
| Std | Standard deviation |
| KE | Whole kinetic energy |
| ke | Energy of specific mode |
| Rp | Relevance index |
| M1 | Velocity vector fields |
| Rdr | Radius of the decomposition region |
| Rv | Radius of the TLV core |
| POD eigenvalues | |
| Ux, Uy, Uz | The uncertainties of the x, y and z velocity components |
| Δ | Error bound |
| K | Converge factor |
| The uncertainties of the time-averaged velocity in u-, v- and w-component | |
| POD mode | |
| AD | Analysis dimensionalities |
| C | Correlation matrices |
References
- Denton, J.D. Loss Mechanisms in Turbomachines; ASME 1993 International Gas Turbine and Aeroengine Congress and Exposition, 1993; American Society of Mechanical Engineers: New York, NY, USA, 1993. [Google Scholar]
- Storer, J.; Cumpsty, N. An approximate analysis and prediction method for tip clearance loss in axial compressors. J. Turbomach. 1994, 116, 648–656. [Google Scholar] [CrossRef]
- Adamczyk, J.; Celestina, M.; Greitzer, E. The Role of Tip Clearance in High-Speed Fan Stall; ASME 1991 International Gas Turbine and Aeroengine Congress and Exposition, 1991; American Society of Mechanical Engineers: New York, NY, USA, 1991. [Google Scholar]
- Straka, W.A.; Farrell, K.J. The effect of spatial wandering on experimental laser velocimeter measurements of the end-wall vortices in an axial-flow pump. Exp. Fluids 1992, 13, 163–170. [Google Scholar] [CrossRef]
- Liu, B.; Yu, X.; Liu, H.; Jiang, H.; Yuan, H.; Xu, Y. Application of SPIV in turbomachinery. Exp. Fluids 2006, 40, 621–642. [Google Scholar] [CrossRef]
- Xianjun, Y.; Baojie, L.; Haokang, J. Characteristics of the tip leakage vortex in a low-speed axial compressor. AIAA J. 2007, 45, 870–878. [Google Scholar] [CrossRef]
- Furukawa, M.; Inoue, M.; Saiki, K.; Yamada, K. The Role of Tip Leakage Vortex Breakdown in Compressor Rotor Aerodynamics. J. Turbomach. 1999, 121, 469–480. [Google Scholar] [CrossRef]
- Brandstetter, C.; Jüngst, M.; Schiffer, H.-P. Measurements of Radial Vortices, Spill Forward, and Vortex Breakdown in a Transonic Compressor. J. Turbomach. 2018, 140, 061004. [Google Scholar] [CrossRef]
- Day, I. The Fundamentals of Stall and Surge; Lecture series-van Kareman Institute for fluid dynamics; Von Kareman Institute for fluid dynamics: Rhode-Saint-Genèse, Belgium, 1996; pp. B1–B27. [Google Scholar]
- Inoue, M.; Kuroumaru, M.; Tanino, T.; Yoshida, S.; Furukawa, M. Comparative studies on short and long length-scale stall cell propagating in an axial compressor rotor. J. Turbomach. 2001, 123, 24–30. [Google Scholar] [CrossRef]
- Mailach, R.; Lehmann, I.; Vogeler, K. Rotating instabilities in an axial compressor originating from the fluctuating blade tip vortex. J. Turbomach. 2001, 123, 453–460. [Google Scholar] [CrossRef]
- Zierke, W.; Farrell, K.; Straka, W. Measurements of the tip clearance flow for a high-reynolds-number axial-flow rotor. J. Turbomach. 1995, 117, 522–532. [Google Scholar] [CrossRef]
- Liu, B.; An, G.; Yu, X.; Zhang, Z. Quantitative Evaluation of the Unsteady Behaviors of the Tip Leakage Vortex in a Subsonic Axial Compressor Rotor. Exp. Therm. Fluid Sci. 2016, 79, 154–167. [Google Scholar] [CrossRef]
- Oweis, G.F.; Ceccio, S.L. Instantaneous and time-averaged flow fields of multiple vortices in the tip region of a ducted propulsor. Exp. Fluids 2005, 38, 615–636. [Google Scholar] [CrossRef]
- Wu, H.; Tan, D.; Miorini, R.L.; Katz, J. Three-dimensional flow structures and associated turbulence in the tip region of a waterjet pump rotor blade. Exp. Fluids 2011, 51, 1721–1737. [Google Scholar] [CrossRef]
- Reynolds, W.; Hussain, A. The mechanics of an organized wave in turbulent shear flow. Part 3. Theoretical models and comparisons with experiments. J. Fluid Mech. 1972, 54, 263–288. [Google Scholar] [CrossRef]
- Van der Wall, B.G.; Richard, H. Analysis methodology for 3C-PIV data of rotary wing vortices. Exp. Fluids 2006, 40, 798–812. [Google Scholar] [CrossRef]
- Cordier, L. Proper Orthogonal Decomposition: An Overview; Lecture series 2002-04, 2003-03 and 2008-01 on post-processing of experimental and numerical data; Von Karman Institute for Fluid Dynamics: Rhode-Saint-Genèse, Belgium, 2008. [Google Scholar]
- Taira, K.; Brunton, S.L.; Dawson, S.T.M.; Rowley, C.W.; Colonius, T.; McKeon, B.J.; Schmidt, O.T.; Gordeyev, S.; Theofilis, V.; Ukeiley, L.S. Modal Analysis of Fluid Flows: An Overview. AIAA J. 2017, 55, 4013–4041. [Google Scholar] [CrossRef]
- Guo, R.; Li, R.; Zhang, R. Reconstruction and Prediction of Flow Field Fluctuation Intensity and Flow-Induced Noise in Impeller Domain of Jet Centrifugal Pump Using Gappy POD Method. Energies 2018, 12, 111. [Google Scholar] [CrossRef]
- El-Adawy, M.; Heikal, M.; A Aziz, A.; Adam, I.; Ismael, M.; Babiker, M.; Baharom, M.; Firmansyah; Abidin, E. On the Application of Proper Orthogonal Decomposition (POD) for In-Cylinder Flow Analysis. Energies 2018, 11, 2261. [Google Scholar] [CrossRef]
- Bastine, D.; Witha, B.; Wächter, M.; Peinke, J. Towards a Simplified DynamicWake Model Using POD Analysis. Energies 2015, 8, 895. [Google Scholar] [CrossRef]
- Cadirci, S.; Gunes, H. Proper Orthogonal Decomposition Analysis of JaVA Flows for Cross-Flow Conditions; ASME 2011 International Mechanical Engineering Congress and Exposition, 2011; American Society of Mechanical Engineers: New York, NY, USA, 2011; pp. 871–878. [Google Scholar]
- Li, H.; Su, X.; Yuan, X. Entropy Analysis of the Flat Tip Leakage Flow with Delayed Detached Eddy Simulation. Entropy 2018, 21, 21. [Google Scholar] [CrossRef]
- Arányi, P.; Janiga, G.; Zähringer, K.; Thévenin, D. Analysis of different POD methods for PIV-measurements in complex unsteady flows. Int. J. Heat Fluid Flow 2013, 43, 204–211. [Google Scholar] [CrossRef]
- Lengani, D.; Simoni, D.; Ubaldi, M.; Zunino, P. POD analysis of the unsteady behavior of a laminar separation bubble. Exp. Therm. Fluid Sci. 2014, 58, 70–79. [Google Scholar] [CrossRef]
- Maurel1, S.; Borée, J.; Lumley, J.L. Extended Proper Orthogonal Decomposition: Application to Jet/Vortex Interaction. Flow Turbul. Combust. 2001, 67, 125–136. [Google Scholar] [CrossRef]
- Kostas, J.; Soria, J.; Chong, M.S. A comparison between snapshot POD analysis of PIV velocity and vorticity data. Exp. Fluids 2005, 38, 146–160. [Google Scholar] [CrossRef]
- Perret, L.; Braud, P.; Fourment, C.; David, L.; Delville, J. 3-Component acceleration field measurement by dual-time stereoscopic particle image velocimetry. Exp. Fluids 2006, 40, 813–824. [Google Scholar] [CrossRef]
- Raffel, M.; Willert, C.E.; Scarano, F.; Kähler, C.J.; Wereley, S.T.; Kompenhans, J. Particle Image Velocimetry: A Practical Guide; Springer: Berlin, Germnay, 2018. [Google Scholar]
- Keane, R.D.; Adrian, R.J. Optimization of particle image velocimeters. I. Double pulsed systems. Meas. Sci. Technol. 1990, 1, 1202. [Google Scholar] [CrossRef]
- Huang, H.; Dabiri, D.; Gharib, M. On errors of digital particle image velocimetry. Meas. Sci. Technol. 1997, 8, 1427. [Google Scholar] [CrossRef]
- Hain, R.; Kähler, C. Fundamentals of multiframe particle image velocimetry (PIV). Exp. Fluids 2007, 42, 575–587. [Google Scholar] [CrossRef]
- Westerweel, J. Theoretical analysis of the measurement precision in particle image velocimetry. Exp. Fluids 2000, 29, S003–S012. [Google Scholar] [CrossRef]
- Boillot, A.; Prasad, A. Optimization procedure for pulse separation in cross-correlation PIV. Exp. Fluids 1996, 21, 87–93. [Google Scholar] [CrossRef]
- Westerweel, J. Fundamentals of digital particle image velocimetry. Meas. Sci. Technol. 1997, 8, 1379. [Google Scholar] [CrossRef]
- Zang, W.; Prasad, A.K. Performance evaluation of a Scheimpflug stereocamera for particle image velocimetry. Appl. Opt. 1997, 36, 8738–8744. [Google Scholar] [CrossRef] [PubMed]
- Cantrell, C.D. Modern Mathematical Methods for Physicists and Engineers; Cambridge University Press: Cambridge, UK, 2000. [Google Scholar]
- Lumley, J. The Structure of Inhomogeneous Turbulence; Atmospheric Turbulence and Wave Propagation, Nauka: Moscow, Russia, 1967; pp. 166–178. [Google Scholar]
- El-Adawy, M.; Heikal, M.R.; A Aziz, A.R.; Siddiqui, M.I.; Munir, S. Characterization of the Inlet Port Flow under Steady-State Conditions Using PIV and POD. Energies 2017, 10, 1950. [Google Scholar] [CrossRef]
- Jeong, J.; Hussain, F. On the identification of a vortex. J. Fluid Mech. 2006, 285, 69–94. [Google Scholar] [CrossRef]
- Ma, H.; Wei, W.; Ottavy, X. Experimental investigation of flow field in a laboratory-scale compressor. Chin. J. Aeronaut. 2017, 30, 31–46. [Google Scholar] [CrossRef]
- Hao, C.; David, L.R.; Volker, S. On the use and interpretation of proper orthogonal decomposition of in-cylinder engine flows. Meas. Sci. Technol. 2012, 23, 085302. [Google Scholar]
- Liu, K.; Haworth, D.C. Development and Assessment of POD for Analysis of Turbulent Flow in Piston Engines; SAE International: Warrendale, PA, USA, 2011. [Google Scholar]
- Lengani, D.; Simoni, D.; Pichler, R.; Sandberg, R.; Michelassi, V.; Bertini, F. On the Identification and Decomposition of the Unsteady Losses in a Turbine Cascade; ASME Turbo Expo 2018: Turbomachinery Technical Conference and Exposition, 2018; American Society of Mechanical Engineers: New York, NY, USA, 2018; p. V02AT45A013. [Google Scholar]
- Hossain, M.S.; Bergstrom, D.J.; Chen, X.B. Visualisation and analysis of large-scale vortex structures in three-dimensional turbulent lid-driven cavity flow. J. Turbul. 2015, 16, 901–924. [Google Scholar] [CrossRef]
- Hellström, L.H.O.; Ganapathisubramani, B.; Smits, A.J. The evolution of large-scale motions in turbulent pipe flow. J. Fluid Mech. 2015, 779, 701–715. [Google Scholar] [CrossRef]
- Raiola, M.; Discetti, S.; Ianiro, A. On PIV random error minimization with optimal POD-based low-order reconstruction. Exp. Fluids 2015, 56, 75. [Google Scholar] [CrossRef]
- Chen, H.; Reuss, D.L.; Hung, D.L.S.; Sick, V. A practical guide for using proper orthogonal decomposition in engine research. Int. J. Engine Res. 2012, 14, 307–319. [Google Scholar] [CrossRef]


























| Items | Details |
|---|---|
| Number of blades, N | 7 |
| Chord length, c | 126.8 mm |
| Span, H | 120 mm |
| Pitch, p | 72 mm |
| Reynolds No., Re | 2.81 × 105 |
| Incidence angle | 0 degree |
| Tip clearance/c | 5% |
| Processing Methods | Global Analysis | Component-Wise Analysis | |||
|---|---|---|---|---|---|
| AD | UVW-simultaneously | UV-simultaneously | U | V | W |
| C | |||||
© 2019 by the authors. Licensee MDPI, Basel, Switzerland. This article is an open access article distributed under the terms and conditions of the Creative Commons Attribution (CC BY) license (http://creativecommons.org/licenses/by/4.0/).
Share and Cite
Shi, L.; Ma, H.; Wang, L. Analysis of Different POD Processing Methods for SPIV-Measurements in Compressor Cascade Tip Leakage Flow. Energies 2019, 12, 1021. https://doi.org/10.3390/en12061021
Shi L, Ma H, Wang L. Analysis of Different POD Processing Methods for SPIV-Measurements in Compressor Cascade Tip Leakage Flow. Energies. 2019; 12(6):1021. https://doi.org/10.3390/en12061021
Chicago/Turabian StyleShi, Lei, Hongwei Ma, and Lixiang Wang. 2019. "Analysis of Different POD Processing Methods for SPIV-Measurements in Compressor Cascade Tip Leakage Flow" Energies 12, no. 6: 1021. https://doi.org/10.3390/en12061021
APA StyleShi, L., Ma, H., & Wang, L. (2019). Analysis of Different POD Processing Methods for SPIV-Measurements in Compressor Cascade Tip Leakage Flow. Energies, 12(6), 1021. https://doi.org/10.3390/en12061021

