A Numerical Study on the Development of Self-Similarity in a Wind Turbine Wake Using an Improved Pseudo-Spectral Large-Eddy Simulation Solver
Abstract
:1. Introduction
2. Numerical Methods
2.1. Large-Eddy Simulation of Turbulent Wind Field
2.2. Turbine Model
2.3. Treatment of Gibbs Phenomenon in Pseudo-Spectral Solver with Turbine Model
3. Numerical Experiment
4. Results and Discussion
4.1. Validation of the LES Coupled with the Actuator Line Model and Nacelle Model
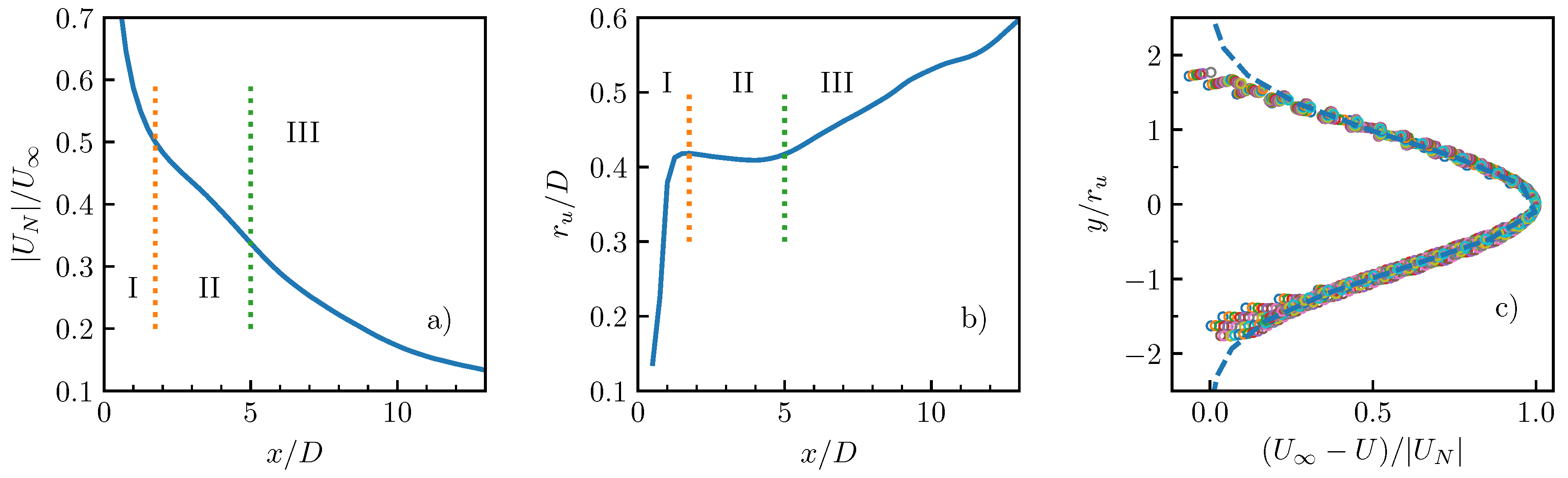
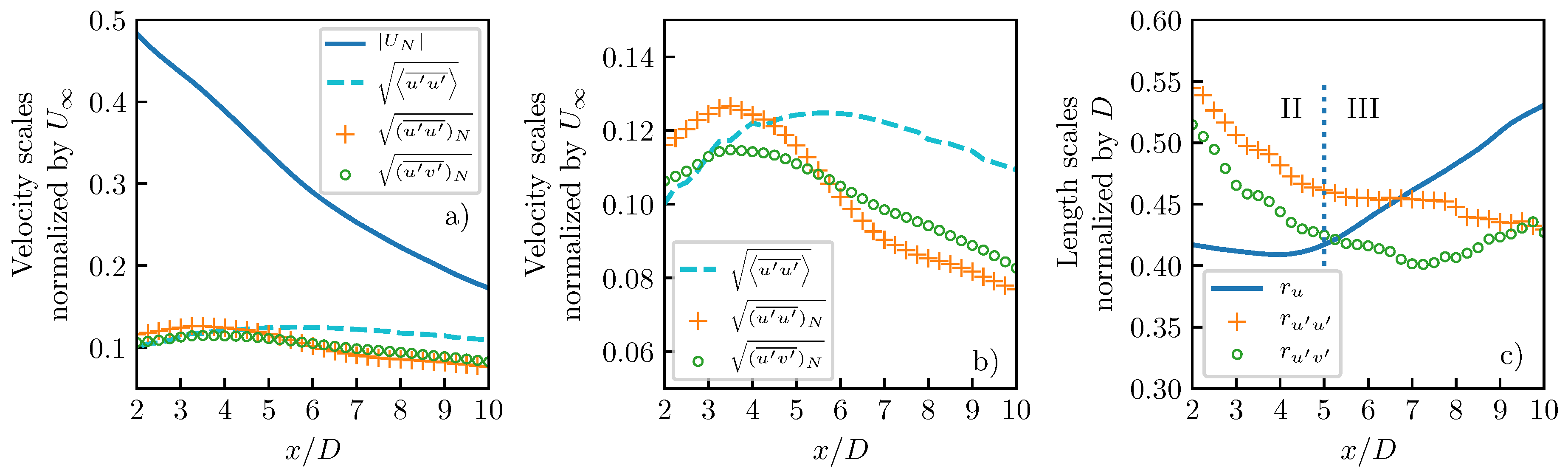
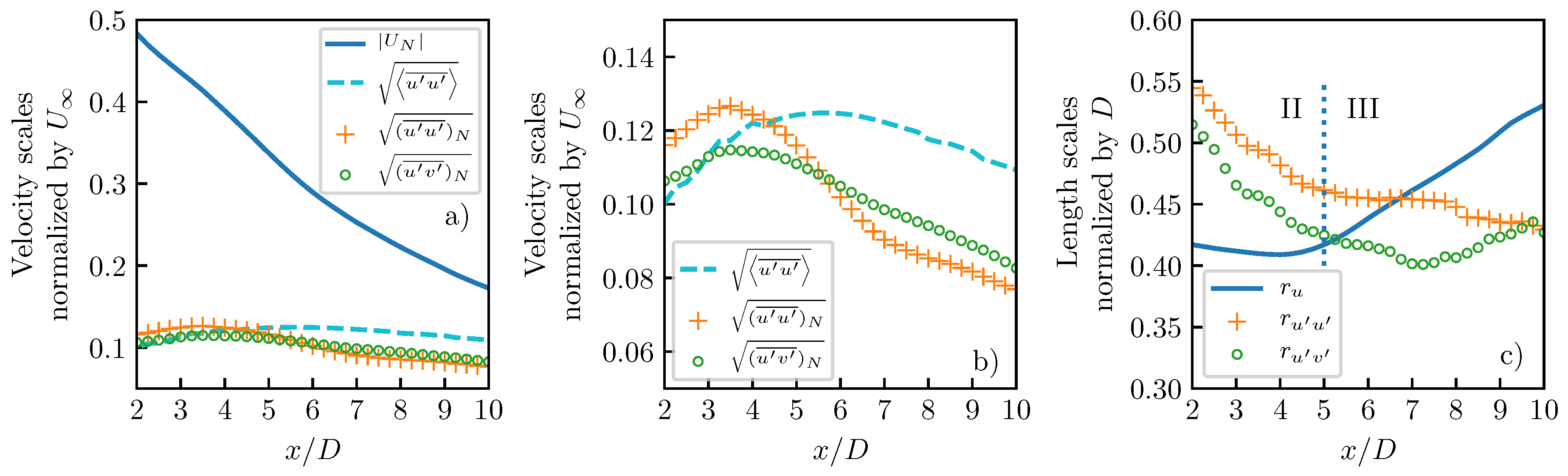
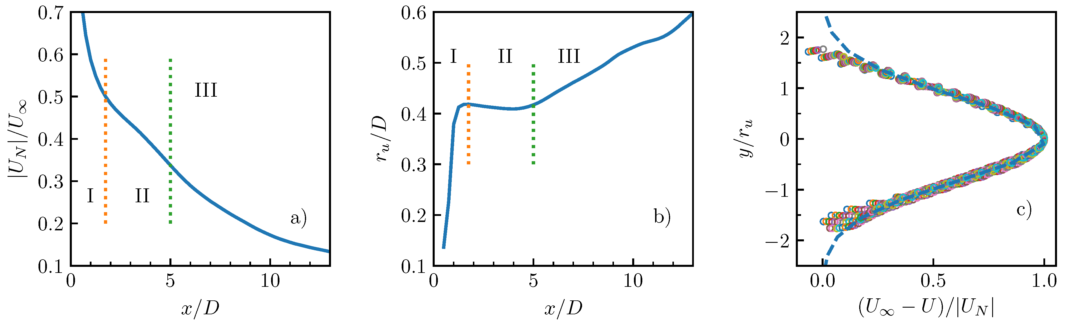
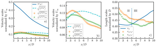
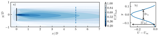
4.2. Self-Similarity in Mean Velocity
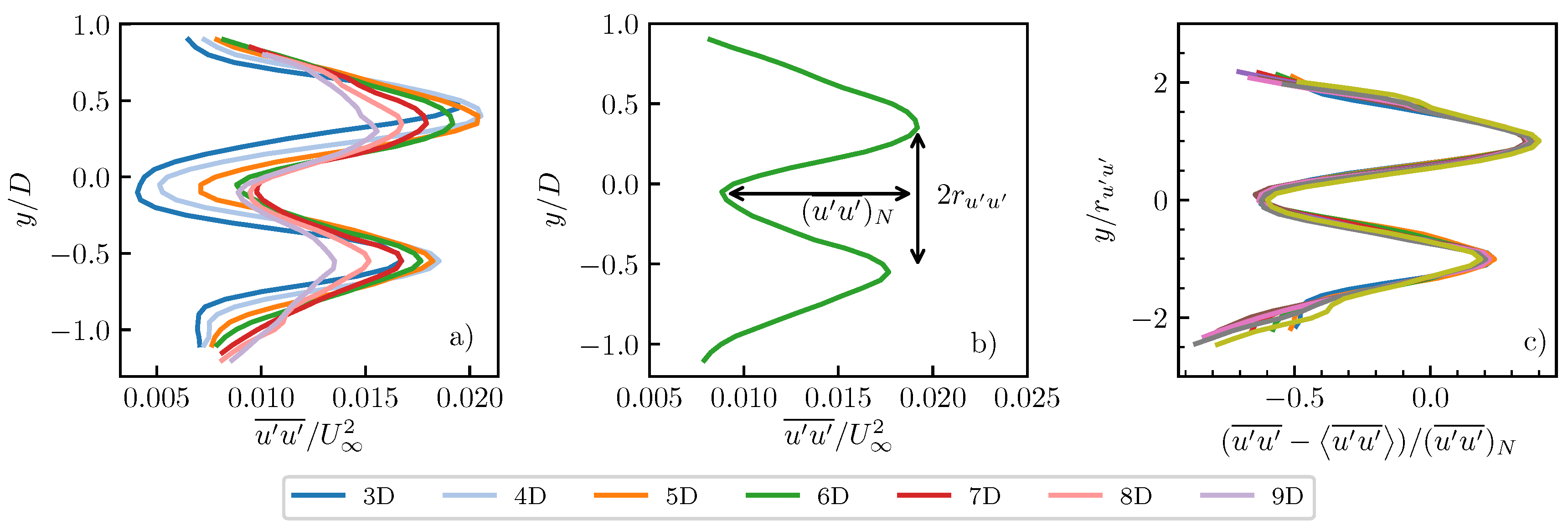
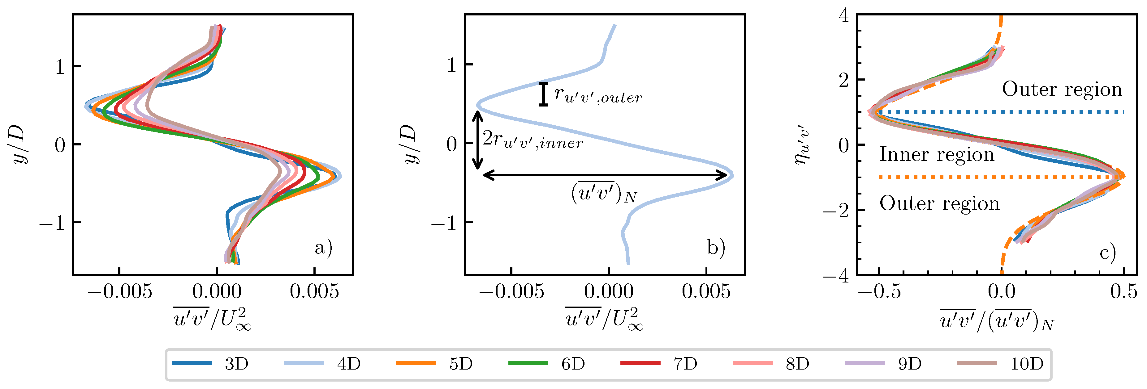
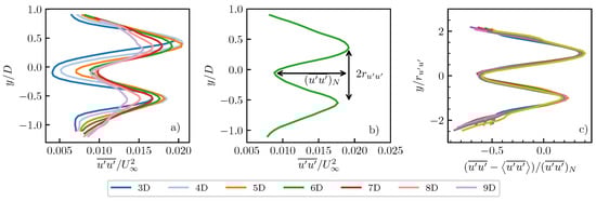
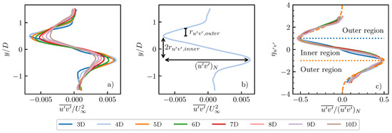
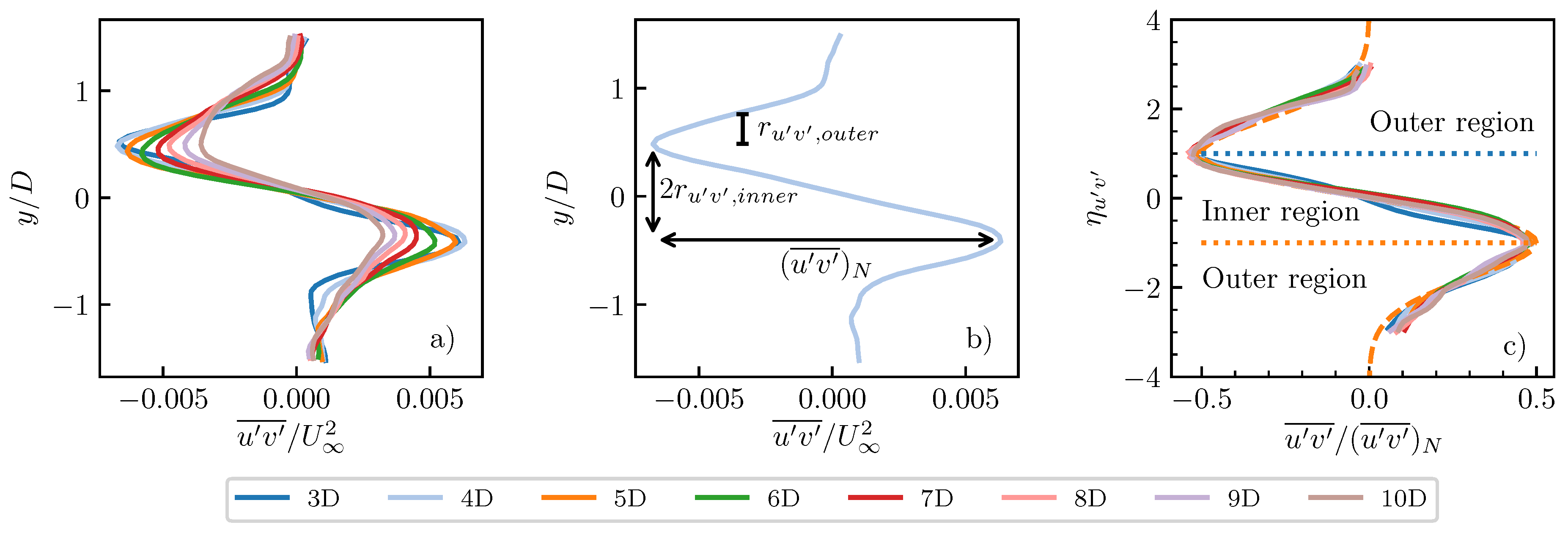
4.3. Self-Similarity in Reynolds Stress
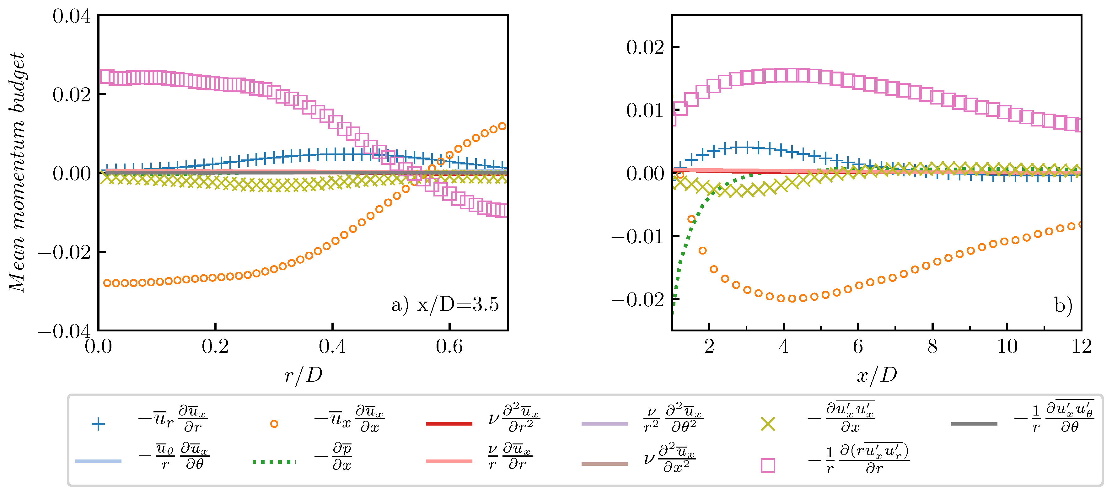
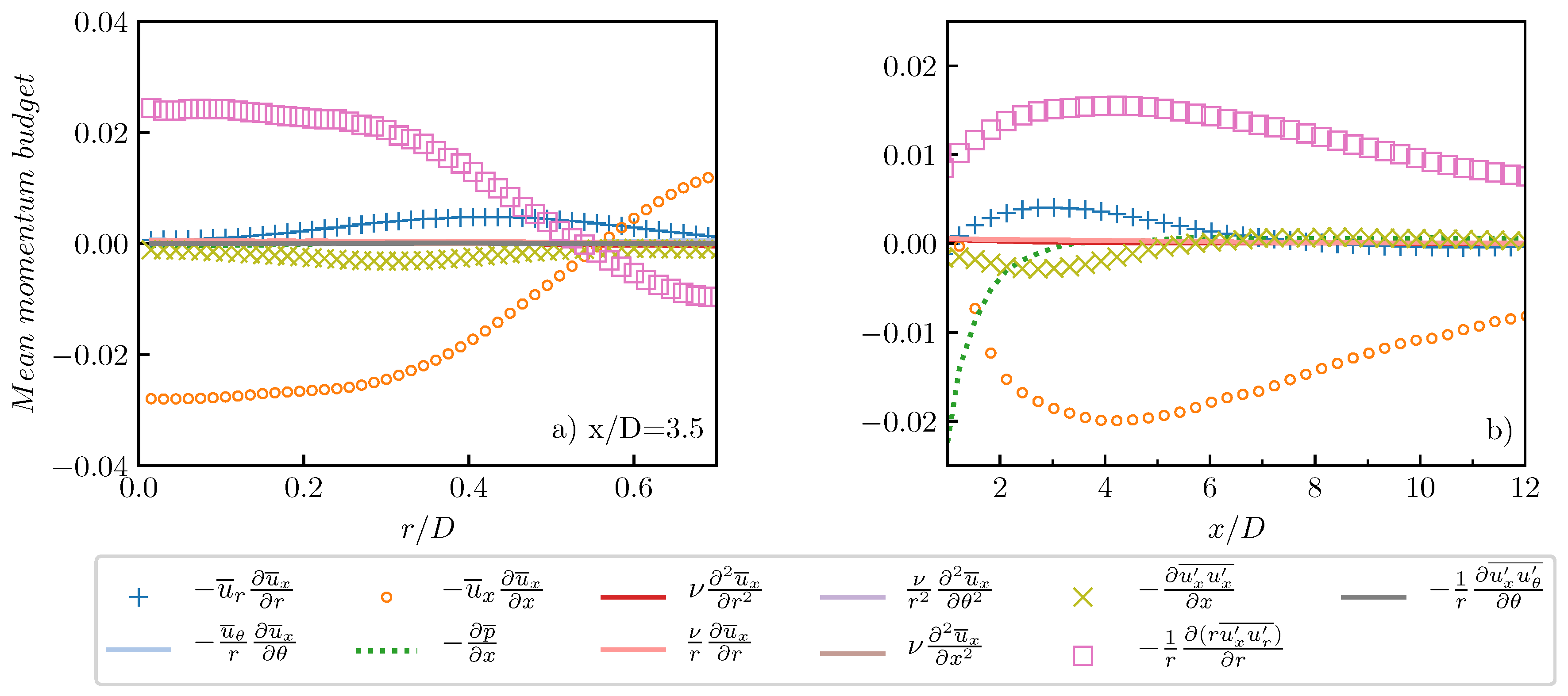
4.4. Mean Momentum Equation and Boundary-Layer Equation
4.5. The Collision Hypothesis of Wake Meandering and Tip Vortices
5. Conclusions
Author Contributions
Funding
Acknowledgments
Conflicts of Interest
Abbreviations
| AB2 | Second-order Adams-Bashforth scheme | 
| ADM | Actuator disk model | 
| ALM | Actuator line model | 
| BEMT | Blade element momentum theory | 
| FDM | Finite-difference method | 
| IBM | Immersed boundary method | 
| ISDC | Identification, smoothing, derivation, and correction | 
| LES | Large-eddy simulation | 
| LES-GR | Geometry-resolved LES | 
| LES-AL | LES with ALM | 
| PIV | Particle image velocimetry | 
| PSM | Pseudo-spectral method | 
| sPSM | PSM with a smoothed input | 
| sPSMFDM | The hybrid approach of sPSM and FDM for calculation of derivatives | 
| TKE | Turbulent kinetic energy | 
Appendix A. Numerical Test of Techniques for Gibbs Phenomenon Treatment
- (1)
- What scheme of FDM should be used in the correction step of sPSMFDM?
- (2)
- How is the effect of sPSMFDM compared to the classical pseudo-spectral method (PSM)?
- (3)
- How is the effect of Fourier smoothing compared to the classical two-third dealiasing rule?


References
- Wind Vision: A New Era for Wind Power in the United States; Technical Report; U.S. Department of Energy: Washington, DC, USA, 2015. Available online: https://www.energy.gov/eere/wind/wind-vision (accessed on 15 December 2018).
- Schlichting, H.; Gersten, K. Boundary-Layer Theory; Springer: Berlin, Germany, 2016. [Google Scholar]
- Hama, F.R.; Peterson, L.F. Axisymmetric Laminar Wake behind a Slender Body of Revolution. J. Fluid Mech. 1976, 76, 1–16. [Google Scholar] [CrossRef]
- Froude, R.E. On the Part Played in Propulsion by Differences of Fluid Pressure. Trans. Inst. Naval Arch. 1889, 30, 390–423. [Google Scholar]
- Sørensen, J.N. General Momentum Theory for Horizontal Axis Wind Turbines; Springer: Cham, Switzerland, 2016; Volume 4. [Google Scholar]
- Medici, D.; Alfredsson, P. Measurements on a Wind Turbine Wake: 3D Effects and Bluff Body Vortex Shedding. Wind Energy 2006, 9, 219–236. [Google Scholar] [CrossRef]
- Wu, Y.T.; Porté-Agel, F. Atmospheric Turbulence Effects on Wind-Turbine Wakes: An LES Study. Energies 2012, 5, 5340–5362. [Google Scholar] [CrossRef]
- Larsen, G.C. A Simple Wake Calculation Procedure; Number 2760 in Risø-M; Risø National Laboratory for Sustainable Energy, Technical University of Denmark: Lyngby, Denmark, 1988. [Google Scholar]
- Widnall, S.E. The Stability of a Helical Vortex Filament. J. Fluid Mech. 1972, 54, 641–663. [Google Scholar] [CrossRef]
- Felli, M.; Camussi, R.; Di Felice, F. Mechanisms of Evolution of the Propeller Wake in the Transition and Far Fields. J. Fluid Mech. 2011, 682, 5–53. [Google Scholar] [CrossRef]
- Sherry, M.; Nemes, A.; Lo Jacono, D.; Blackburn, H.M.; Sheridan, J. The Interaction of Helical Tip and Root Vortices in a Wind Turbine Wake. Phys. Fluids 2013, 25, 117102. [Google Scholar] [CrossRef]
- Howard, K.B.; Singh, A.; Sotiropoulos, F.; Guala, M. On the Statistics of Wind Turbine Wake Meandering: An Experimental Investigation. Phys. Fluids 2015, 27, 075103. [Google Scholar] [CrossRef]
- Foti, D.; Yang, X.; Sotiropoulos, F. Similarity of Wake Meandering for Different Wind Turbine Designs for Different Scales. J. Fluid Mech. 2018, 842, 5–25. [Google Scholar] [CrossRef]
- Sørensen, J.N.; Shen, W.Z. Numerical Modeling of Wind Turbine Wakes. J. Fluid Mech. 2002, 124, 393–399. [Google Scholar] [CrossRef]
- Calaf, M.; Meneveau, C.; Meyers, J. Large Eddy Simulation Study of Fully Developed Wind-Turbine Array Boundary Layers. Phys. Fluids 2010, 22, 015110. [Google Scholar] [CrossRef]
- Wu, Y.T.; Porté-Agel, F. Large-Eddy Simulation of Wind-Turbine Wakes: Evaluation of Turbine Parametrisations. Bound.-Layer Meteorol. 2011, 138, 345–366. [Google Scholar] [CrossRef]
- Porté-Agel, F.; Wu, Y.T.; Lu, H.; Conzemius, R.J. Large-Eddy Simulation of Atmospheric Boundary Layer Flow through Wind Turbines and Wind Farms. J. Wind Eng. Ind. Aerodyn. 2011, 99, 154–168. [Google Scholar] [CrossRef]
- Yang, D.; Meneveau, C.; Shen, L. Large-Eddy Simulation of Offshore Wind Farm. Phys. Fluids 2014, 26, 025101. [Google Scholar] [CrossRef]
- Kang, S.; Yang, X.; Sotiropoulos, F. On the Onset of Wake Meandering for an Axial Flow Turbine in a Turbulent Open Channel Flow. J. Fluid Mech. 2014, 744, 376–403. [Google Scholar] [CrossRef]
- Yang, X.; Sotiropoulos, F.; Conzemius, R.J.; Wachtler, J.N.; Strong, M.B. Large-Eddy Simulation of Turbulent Flow Past Wind Turbines/Farms: The Virtual Wind Simulator (VWiS). Wind Energy 2015, 18, 2025–2045. [Google Scholar] [CrossRef]
- Yang, D.; Meneveau, C.; Shen, L. Effect of Downwind Swells on Offshore Wind Energy Harvesting—A Large-Eddy Simulation Study. Renew. Energy 2014, 70, 11–23. [Google Scholar] [CrossRef]
- Sørensen, J.N.; Mikkelsen, R.F.; Henningson, D.S.; Ivanell, S.; Sarmast, S.; Andersen, S.J. Simulation of Wind Turbine Wakes Using the Actuator Line Technique. Philos. Trans. R. Soc. A 2015, 373, 20140071. [Google Scholar] [CrossRef]
- Wu, Y.T.; Porté-Agel, F. Modeling Turbine Wakes and Power Losses within a Wind Farm Using LES: An Application to the Horns Rev Offshore Wind Farm. Renew. Energy 2015, 75, 945–955. [Google Scholar] [CrossRef]
- Jonkman, J.M.; Annoni, J.; Hayman, G.; Jonkman, B.; Purkayastha, A. Development of FAST. Farm: A New Multi-Physics Engineering Tool for Wind-Farm Design and Analysis. In Proceedings of the 35th Wind Energy Symposium, Grapevine, TX, USA, 9–13 January 2017; p. 0454. [Google Scholar]
- Stevens, R.J.A.M.; Meneveau, C. Flow Structure and Turbulence in Wind Farms. Annu. Rev. Fluid Mech. 2017, 49, 311–339. [Google Scholar] [CrossRef]
- Stevens, R.J.; Martínez-Tossas, L.A.; Meneveau, C. Comparison of Wind Farm Large Eddy Simulations Using Actuator Disk and Actuator Line Models with Wind Tunnel Experiments. Renew. Energy 2018, 116, 470–478. [Google Scholar] [CrossRef]
- Bastankhah, M.; Porté-Agel, F. A New Analytical Model for Wind-Turbine Wakes. Renew. Energy 2014, 70, 116–123. [Google Scholar] [CrossRef]
- Jensen, N. A Note on Wind Generator Interaction; Number 2411 in Risø-M; Risø National Laboratory for Sustainable Energy, Technical University of Denmark: Lyngby, Denmark, 1983. [Google Scholar]
- Frandsen, S.; Barthelmie, R.; Pryor, S.; Rathmann, O.; Larsen, S.; Højstrup, J.; Thøgersen, M. Analytical Modelling of Wind Speed Deficit in Large Offshore Wind Farms. Wind Energy 2006, 9, 39–53. [Google Scholar] [CrossRef]
- Xie, S.; Archer, C. Self-Similarity and Turbulence Characteristics of Wind Turbine Wakes via Large-Eddy Simulation. Wind Energy 2015, 18, 1815–1838. [Google Scholar] [CrossRef]
- Foti, D.; Yang, X.; Guala, M.; Sotiropoulos, F. Wake Meandering Statistics of a Model Wind Turbine: Insights Gained by Large Eddy Simulations. Phys. Rev. Fluids 2016, 1, 044407. [Google Scholar] [CrossRef]
- Germano, M.; Piomelli, U.; Moin, P.; Cabot, W.H. A Dynamic Subgrid-Scale Eddy Viscosity Model. Phys. Fluids A Fluid Dyn. 1991, 3, 1760–1765. [Google Scholar] [CrossRef]
- Kim, J.; Moin, P. Application of a Fractional-Step Method to Incompressible Navier-Stokes Equations. J. Comput. Phys. 1985, 59, 308–323. [Google Scholar] [CrossRef]
- Moeng, C.H. A Large-Eddy-Simulation Model for the Study of Planetary Boundary-Layer Turbulence. J. Atmos. Sci. 1984, 41, 2052–2062. [Google Scholar] [CrossRef]
- Albertson, J.D.; Parlange, M.B. Surface Length Scales and Shear Stress: Implications for Land-Atmosphere Interaction over Complex Terrain. Water Resour. Res. 1999, 35, 2121–2132. [Google Scholar] [CrossRef]
- Yang, X.; Zhang, X.; Li, Z.; He, G.W. A Smoothing Technique for Discrete Delta Functions with Application to Immersed Boundary Method in Moving Boundary Simulations. J. Comput. Phys. 2009, 228, 7821–7836. [Google Scholar] [CrossRef]
- Martínez-Tossas, L.A.; Churchfield, M.J.; Meneveau, C. Optimal Smoothing Length Scale for Actuator Line Models of Wind Turbine Blades Based on Gaussian Body Force Distribution. Wind Energy 2017, 20, 1083–1096. [Google Scholar] [CrossRef]
- Yang, X.; Sotiropoulos, F. A New Class of Actuator Surface Models for Wind Turbines. Wind Energy 2018, 21, 285–302. [Google Scholar] [CrossRef]
- Li, Q.; Bou-Zeid, E.; Anderson, W. The Impact and Treatment of the Gibbs Phenomenon in Immersed Boundary Method Simulations of Momentum and Scalar Transport. J. Comput. Phys. 2016, 310, 237–251. [Google Scholar] [CrossRef]
- Hou, T.Y.; Li, R. Computing Nearly Singular Solutions Using Pseudo-Spectral Methods. J. Comput. Phys. 2007, 226, 379–397. [Google Scholar] [CrossRef]
- Yang, D.; Shen, L. Simulation of Viscous Flows with Undulatory Boundaries. Part I: Basic Solver. J. Comput. Phys. 2011, 230, 5488–5509. [Google Scholar] [CrossRef]
- Shen, L.; Zhang, X.; Yue, D.K.P.; Triantafyllou, M.S. Turbulent Flow over a Flexible Wall Undergoing a Streamwise Travelling Wave Motion. J. Fluid Mech. 2003, 484, 197–221. [Google Scholar] [CrossRef]
- Sotiropoulos, F.; Angelidis, D.; Calderer, A.; Ge, L.; Gilmanov, A.; Kang, S.; Khosronejad, A.; Le, T.; Yang, X. VFS-Wind, Virtual Flow Simulator. Available online: http://safl-cfd-lab.github.io/VFS-Wind/ (accessed on 20 September 2016).
- Chamorro, L.P.; Porté-Agel, F. Effects of Thermal Stability and Incoming Boundary-Layer Flow Characteristics on Wind-Turbine Wakes: A Wind-Tunnel Study. Bound.-Layer Meteorol. 2010, 136, 515–533. [Google Scholar] [CrossRef]
- Yang, X.; Sotiropoulos, F. On the Predictive Capabilities of LES-Actuator Disk Model in Simulating Turbulence Past Wind Turbines and Farms. In Proceedings of the 2013 American Control Conference, Washington, DC, USA, 17–19 June 2013; pp. 2878–2883. [Google Scholar]
- Tseng, Y.H.; Meneveau, C.; Parlange, M.B. Modeling Flow around Bluff Bodies and Predicting Urban Dispersion Using Large Eddy Simulation. Environ. Sci. Technol. 2006, 40, 2653–2662. [Google Scholar] [CrossRef]
- Sunada, S.; Sakaguchi, A.; Kawachi, K. Airfoil Section Characteristics at a Low Reynolds Number. J. Fluids Eng. 1997, 119, 129–135. [Google Scholar] [CrossRef]
- Jiang, H.B.; Li, Y.R.; Cheng, Z.Q. Relations of Lift and Drag Coefficients of Flow around Flat Plate. Appl. Mech. Mater. 2014, 518, 161–164. [Google Scholar] [CrossRef]
- Chamorro, L.P.; Porté-Agel, F. A Wind-Tunnel Investigation of Wind-Turbine Wakes: Boundary-Layer Turbulence Effects. Bound.-Layer Meteorol. 2009, 132, 129–149. [Google Scholar] [CrossRef]
- Johansson, P.B.V.; George, W.K. The Far Downstream Evolution of the High-Reynolds-Number Axisymmetric Wake behind a Disk. Part 1. Single-Point Statistics. J. Fluid Mech. 2006, 555, 363–385. [Google Scholar] [CrossRef]
- Uberoi, M.S.; Freymuth, P. Turbulent Energy Balance and Spectra of the Axisymmetric Wake. Phys. Fluids 1970, 13, 2205–2210. [Google Scholar] [CrossRef]
- Hu, H.; Yang, Z.; Sarkar, P. Dynamic Wind Loads and Wake Characteristics of a Wind Turbine Model in an Atmospheric Boundary Layer Wind. Exp. Fluids 2012, 52, 1277–1294. [Google Scholar] [CrossRef]
- Hoar, R.H.; Vogel, C.R. An Adaptive Stencil Finite Difference Method for First Order Linear Hyperbolic Systems. Ph.D. Thesis, Montana State University-Bozeman, College of Letters & Science, Bozeman, MT, USA, 1995. [Google Scholar]


















© 2019 by the authors. Licensee MDPI, Basel, Switzerland. This article is an open access article distributed under the terms and conditions of the Creative Commons Attribution (CC BY) license (http://creativecommons.org/licenses/by/4.0/).
Share and Cite
Lyu, P.; Chen, W.-L.; Li, H.; Shen, L. A Numerical Study on the Development of Self-Similarity in a Wind Turbine Wake Using an Improved Pseudo-Spectral Large-Eddy Simulation Solver. Energies 2019, 12, 643. https://doi.org/10.3390/en12040643
Lyu P, Chen W-L, Li H, Shen L. A Numerical Study on the Development of Self-Similarity in a Wind Turbine Wake Using an Improved Pseudo-Spectral Large-Eddy Simulation Solver. Energies. 2019; 12(4):643. https://doi.org/10.3390/en12040643
Chicago/Turabian StyleLyu, Pin, Wen-Li Chen, Hui Li, and Lian Shen. 2019. "A Numerical Study on the Development of Self-Similarity in a Wind Turbine Wake Using an Improved Pseudo-Spectral Large-Eddy Simulation Solver" Energies 12, no. 4: 643. https://doi.org/10.3390/en12040643
APA StyleLyu, P., Chen, W.-L., Li, H., & Shen, L. (2019). A Numerical Study on the Development of Self-Similarity in a Wind Turbine Wake Using an Improved Pseudo-Spectral Large-Eddy Simulation Solver. Energies, 12(4), 643. https://doi.org/10.3390/en12040643
 
        


