Analysis, Control and Optimal Placement of Static Synchronous Compensator with/without Battery Energy Storage
Abstract
1. Introduction
1.1. Literature Review
1.2. Contributions
- Transiently, the installment of STATCOM will deviate the electrical power of SG. The deviated value is not equal to the active power of STATCOM. Instead, it is related to STATCOM’s current, placement and SG’s electrical states. However, in many previous researches, such as [23,24,25,26,27,28,29], the authors developed the control method by simply assuming that the active power of STATCOM with BES is fully added into SG’s electrical power.
- To maximally increase the system damping, the optimal placement for STATCOM with BES is at the terminal of SG. While for STATCOM without BES, it is at the electrical mid-point of the transmission line, which is consistent with the optimal location of conventional mid-point voltage regulation of STATCOM without BES [30].
1.3. Organization
2. System Model
2.1. SG Model
2.2. STATCOM with/without BES Model
3. Transient Analysis
4. Damping Control of STATCOM with/without BES
4.1. Reference Current of STATCOM with BES
4.2. Reference Current of STATCOM without BES
4.3. Damping Control Strategy of STATCOM with/without BES
5. Optimal Placement of STATCOM with/without BES
5.1. Optimal Placement of STATCOM with BES
5.2. Optimal Placement of STATCOM without BES
5.3. Comparison between STATCOM with and Without BES
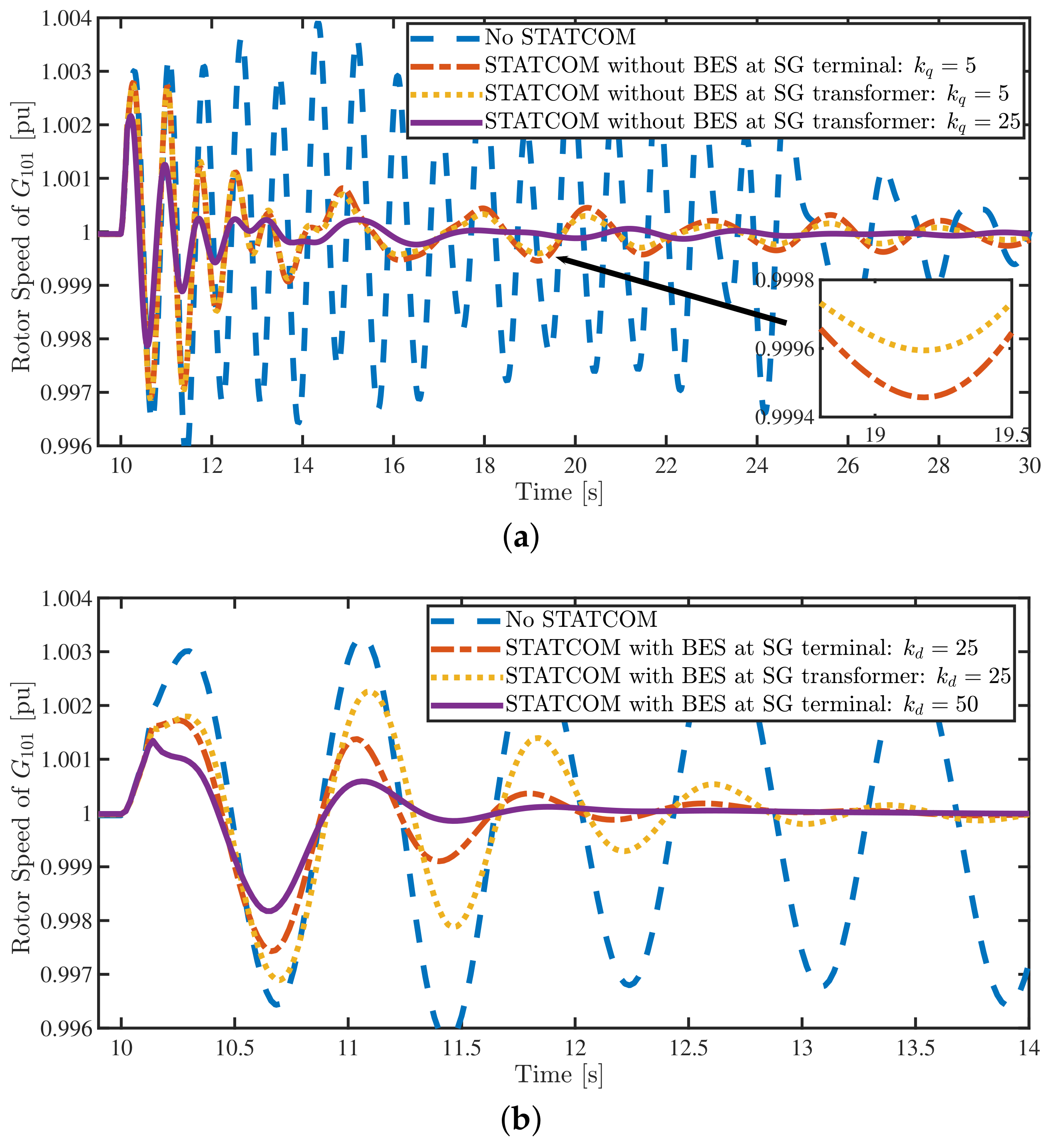
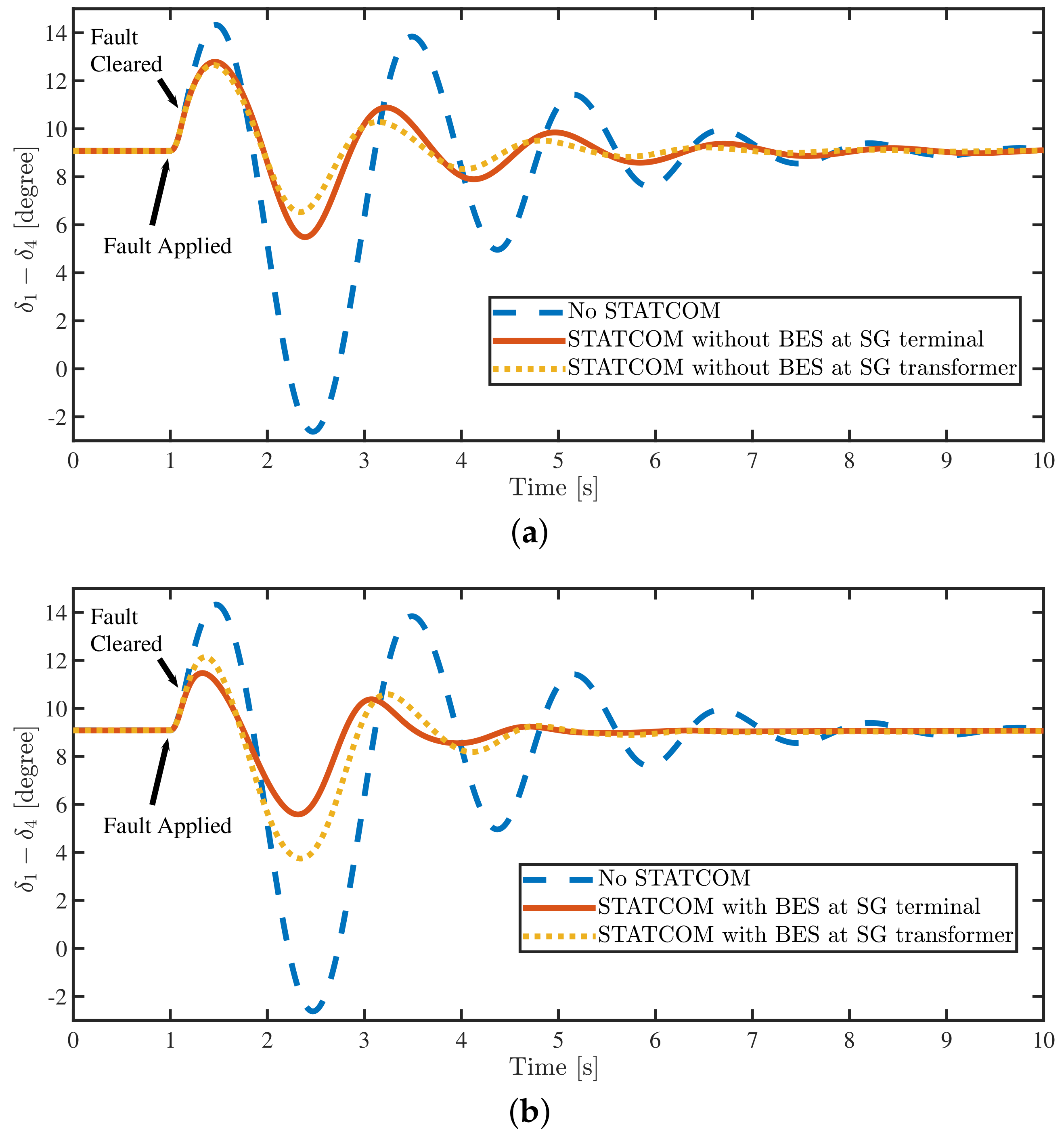
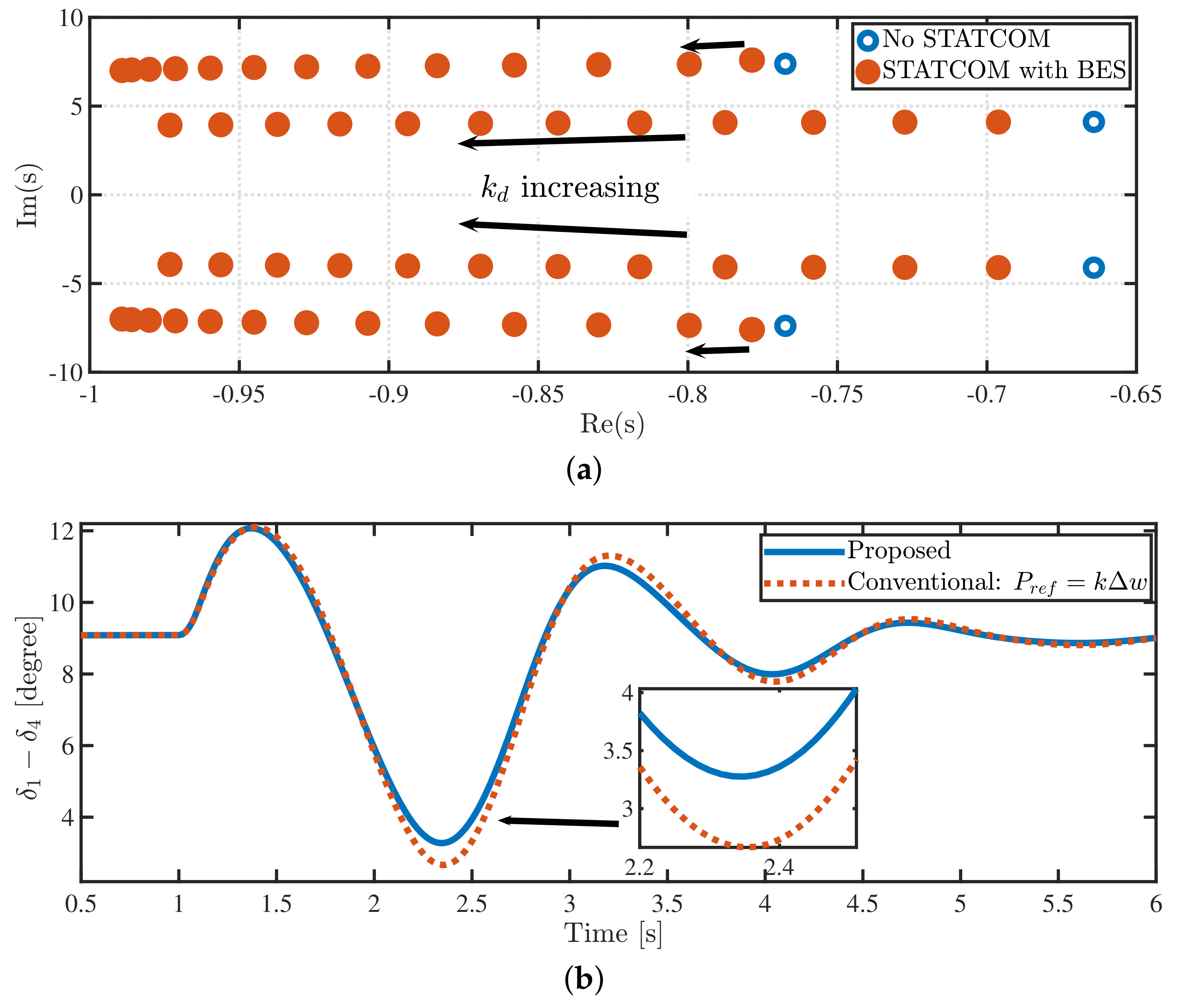
6. Case Study
- Due to the installment of STATCOM, the electrical power of SG is deviated. The deviated value () is not equal to STATCOM’s active power (P).
- In order to maximum increase SG’s damping, the optimal placement of STATCOM with BES is located at the terminal of SG, while for STATCOM without BES it should be placed at the electrical mid-point of transmission line.
6.1. Kundur’s SMIB System
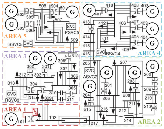
6.2. The 2-Area 4-Generator System
6.3. The Australian 14-Generator Equivalent System
7. Conclusions
Author Contributions
Funding
Acknowledgments
Conflicts of Interest
References
- Kundur, P.; Paserba, J.; Ajjarapu, V.; Andersson, G.; Bose, A.; Canizares, C.; Hatziargyriou, N.; Hill, D.; Stankovic, A.; Taylor, C.; et al. Definition and classification of power system stability. IEEE Trans. Power Syst. 2004, 19, 1387–1401. [Google Scholar]
- Pourbeik, P.; Kundur, P.; Taylor, C. The anatomy of a power grid blackout—Root causes and dynamics of recent major blackouts. IEEE Power Energy Mag. 2006, 4, 22–29. [Google Scholar] [CrossRef]
- Andersson, G.; Donalek, P.; Farmer, R.; Hatziargyriou, N.; Kamwa, I.; Kundur, P.; Martins, N.; Paserba, J.; Pourbeik, P.; Sanchez-Gasca, J.; et al. Causes of the 2003 major grid blackouts in North America and Europe, and recommended means to improve system dynamic performance. IEEE Trans. Power Syst. 2005, 20, 1922–1928. [Google Scholar] [CrossRef]
- Farahani, M. A multi-objective power system stabilizer. IEEE Trans. Power Syst. 2013, 28, 2700–2707. [Google Scholar] [CrossRef]
- De Sousa Neto, C.M.; Costa, F.B.; de Araujo Ribeiro, R.L.; Barreto, R.L.; de Oliveira Alves Rocha, T. Wavelet-based power system stabilizer. IEEE Trans. Ind. Electron. 2015, 62, 7360–7369. [Google Scholar] [CrossRef]
- Tu, G.; Li, Y.; Xiang, J.; Ma, J. Distributed Power System Stabilizer for Multimachine Power Systems. IET Gener. Transm. Distrib. 2019, 13, 603–612. [Google Scholar] [CrossRef]
- Wang, Y.; Meng, J.; Zhang, X.; Xu, L. Control of PMSG-Based Wind Turbines for System Inertial Response and Power Oscillation Damping. IEEE Trans. Sustain. Energy 2015, 6, 565–574. [Google Scholar] [CrossRef]
- Pipelzadeh, Y.; Chaudhuri, N.R.; Chaudhuri, B.; Green, T.C. Coordinated control of offshore wind farm and onshore HVDC converter for effective power oscillation damping. IEEE Trans. Power Syst. 2017, 32, 1860–1872. [Google Scholar] [CrossRef]
- Zhou, L.; Yu, X.; Li, B.; Zheng, C.; Liu, J.; Liu, Q.; Guo, K. Damping inter-area oscillations with large-scale pv plant by modified multiple-model adaptive control strategy. IEEE Trans. Sustain. Energy 2017, 8, 1629–1636. [Google Scholar] [CrossRef]
- Varma, R.K.; Akbari Kelishadi, M. Simultaneous Fast Frequency Control and Power Oscillation Damping by Utilizing PV Solar System as PV-STATCOM. IEEE Trans. Sustain. Energy 2019. [Google Scholar] [CrossRef]
- Del Rosso, A.D.; Canizares, C.A.; Dona, V.M. A study of TCSC controller design for power system stability improvement. IEEE Trans. Power Syst. 2003, 18, 1487–1496. [Google Scholar] [CrossRef]
- Zhao, Q.; Jiang, J. Robust SVC controller design for improving power system damping. IEEE Trans. Power Syst. 1995, 10, 1927–1932. [Google Scholar] [CrossRef]
- Patil, K.; Senthil, J.; Jiang, J.; Mathur, R. Application of STATCOM for damping torsional oscillations in series compensated AC systems. IEEE Trans. Energy Convers. 1998, 13, 237–243. [Google Scholar] [CrossRef]
- Abido, M. Analysis and assessment of STATCOM-based damping stabilizers for power system stability enhancement. Electr. Power Sys. Res. 2005, 73, 177–185. [Google Scholar] [CrossRef]
- Liu, C.H.; Hsu, Y.Y. Design of a self-tuning pi controller for a STATCOM using particle swarm optimization. IEEE Trans. Ind. Electron. 2010, 57, 702–715. [Google Scholar]
- Rao, P.; Crow, M.; Yang, Z. STATCOM control for power system voltage control applications. IEEE Trans. Power Del. 2000, 15, 1311–1317. [Google Scholar] [CrossRef]
- Abido, M.A. Design of PSS and STATCOM-based damping stabilizers using genetic algorithms. In Proceedings of the IEEE Power & Engineering Society General Meeting, Montreal, QC, Canada, 18–22 June 2006. [Google Scholar]
- Mithulananthan, N.; Canizares, C.A.; Reeve, J.; Rogers, G.J. Comparison of PSS, SVC, and STATCOM controllers for damping power system oscillations. IEEE Trans. Power Syst. 2003, 18, 786–792. [Google Scholar] [CrossRef]
- Wen, Y.; Guo, C.; Pandžić, H.; Kirschen, D.S. Enhanced security-constrained unit commitment with emerging utility-scale energy storage. IEEE Trans. Power Syst. 2016, 31, 652–662. [Google Scholar] [CrossRef]
- Nguyen, C.K.; Nguyen, T.T.; Yoo, H.J.; Kim, H.M. Consensus-based SOC balancing of battery energy storage systems in wind farm. Energies 2018, 11, 3507. [Google Scholar] [CrossRef]
- Lei, M.; Yang, Z.; Wang, Y.; Xu, H.; Meng, L.; Vasquez, J.C.; Guerrero, J.M. An MPC-Based ESS Control Method for PV Power Smoothing Applications. IEEE Trans. Power Electron. 2018, 33, 2136–2144. [Google Scholar] [CrossRef]
- Moon, H.J.; Kim, Y.J.; Chang, J.W.; Moon, S.I. Decentralised active power control strategy for real-time power balance in an isolated microgrid with an energy storage system and diesel generators. Energies 2019, 12, 511. [Google Scholar] [CrossRef]
- Farraj, A.; Hammad, E.; Kundur, D. A cyber-enabled stabilizing control scheme for resilient smart grid systems. IEEE Trans. Smart Grid 2016, 7, 1856–1865. [Google Scholar] [CrossRef]
- Trevizan, R.D.; Ayar, M.; Bretas, A.S.; Obuz, S. Cooperative Control of Energy Storage for Transient Stability Enhancement. In Proceedings of the IEEE Power & Energy Society General Meeting (PESGM), Portland, OR, USA, 5–9 August 2018; pp. 1–5. [Google Scholar]
- Farraj, A.; Hammad, E.; Kundur, D. On the use of energy storage systems and linear feedback optimal control for transient stability. IEEE Trans. Ind. Informat. 2017, 13, 1575–1585. [Google Scholar] [CrossRef]
- Ayar, M.; Obuz, S.; Trevizan, R.; Bretas, A.; Latchman, H. A distributed control approach for enhancing smart grid transient stability and resilience. IEEE Trans. Smart Grid 2017, 8, 3035–3044. [Google Scholar] [CrossRef]
- Farraj, A.; Hammad, E.; Kundur, D. On the impact of cyber attacks on data integrity in storage-based transient stability control. IEEE Trans. Ind. Informat. 2017, 13, 3322–3333. [Google Scholar] [CrossRef]
- Lucia, W.; Gheitasi, K.; Bagherzadeh, M. A Low Computationally Demanding Model Predictive Control Strategy for Robust Transient Stability in Smart Grid. In Proceedings of the IEEE Conference on Decision and Control (CDC), Miami Beach, FL, USA, 17–19 December 2018; pp. 6013–6018. [Google Scholar]
- Farraj, A.; Hammad, E.; Kundur, D. A Storage-Based Multiagent Regulation Framework for Smart Grid Resilience. IEEE Trans. Ind. Informat. 2018, 14, 3859–3869. [Google Scholar] [CrossRef]
- Shahnia, F.; Rajakaruna, S.; Ghosh, A. Static Compensators (STATCOMs) in Power Systems; Springer: Singapore, 2015. [Google Scholar]
- Lu, Q.; Sun, Y.; Mei, S. Nonlinear Control Systems and Power System Dynamics; Springer: New York, NY, USA, 2013; Volume 10. [Google Scholar]
- Demello, F.P.; Concordia, C. Concepts of synchronous machine stability as affected by excitation control. IEEE Trans. Power Appl. Syst. 1969, 88, 316–329. [Google Scholar] [CrossRef]
- Kundur, P.; Balu, N.J.; Lauby, M.G. Power System Stability and Control; McGraw-Hill: New York, NY, USA, 1994; Volume 7. [Google Scholar]
- Grigsby, L.L. Electric Power Generation, Transmission, and Distribution; CRC Press: Boca Raton, FL, USA, 2007. [Google Scholar]
- Kazmierkowski, M.P.; Malesani, L. Current control techniques for three-phase voltage-source PWM converters: A survey. IEEE Trans. Ind. Electron. 1998, 45, 691–703. [Google Scholar] [CrossRef]
- Kanchanaharuthai, A.; Chankong, V.; Loparo, K.A. Transient Stability and Voltage Regulation in Multimachine Power Systems Vis-à-Vis STATCOM and Battery Energy Storage. IEEE Trans. Power Syst. 2015, 30, 2404–2416. [Google Scholar] [CrossRef]
- Yazdani, A.; Iravani, R. Voltage-Sourced Converters in Power Systems; Wiley Online Library: Hoboken, NJ, USA, 2010; Volume 34. [Google Scholar]
- Yu, Y.N. Electric Power System Dynamics; Academic Press: New York, USA, 1983; Volume 2. [Google Scholar]
- Sui, X.; Tang, Y.; He, H.; Wen, J. Energy-storage-based low-frequency oscillation damping control using particle swarm optimization and heuristic dynamic programming. IEEE Trans. Power Syst. 2014, 29, 2539–2548. [Google Scholar] [CrossRef]
- Shi, L.; Lee, K.Y.; Wu, F. Robust ESS-based stabilizer design for damping inter-area oscillations in multimachine power systems. IEEE Trans. Power Syst. 2016, 31, 1395–1406. [Google Scholar] [CrossRef]
- Kumar, A. Power System Stabilizers Design for Multimachine Power Systems Using Local Measurements. IEEE Trans. Power Syst. 2016, 31, 2163–2171. [Google Scholar] [CrossRef]
- Canizares, C.; Fernandes, T.; Geraldi, E.; Gerin-Lajoie, L.; Gibbard, M.; Hiskens, I.; Kersulis, J.; Kuiava, R.; Lima, L.; DeMarco, F.; et al. Benchmark models for the analysis and control of small-signal oscillatory dynamics in power systems. IEEE Trans. Power Syst. 2017, 32, 715–722. [Google Scholar] [CrossRef]
- Zhu, Y.; Liu, C.; Sun, K.; Shi, D.; Wang, Z. Optimization of Battery Energy Storage to Improve Power System Oscillation Damping. IEEE Trans. Sustain. Energy 2019, 10, 1015–1024. [Google Scholar] [CrossRef]
- Moeini, A.; Kamwa, I.; Brunelle, P.; Sybille, G. Open data IEEE test systems implemented in SimPowerSystems for education and research in power grid dynamics and control. In Proceedings of the 50th International Universities Power Engineering Conference (UPEC), Stoke on Trent, UK, 1–4 September 2015; pp. 1–6. [Google Scholar]














| Case | Overshoot | Reduced Overshoot | |
|---|---|---|---|
| (Degree) | (Degree) | ||
| No STATCOM | 6.56 | ||
| STATCOM without BES | at SG Terminal | 5.69 | 13.26% |
| at Bus-2 | 5.51 | 16.01% | |
| STATCOM with BES | at Bus-2 | 4.58 | 30.18% |
| at SG Terminal | 4.20 | 35.98% | |
| Case | Overshoot | Reduced Overshoot | |
|---|---|---|---|
| (Degree) | (Degree) | ||
| No STATCOM | 5.25 | ||
| STATCOM without BES | at SG Terminal | 3.71 | 29.33% |
| at SG Transformer | 3.58 | 31.81% | |
| STATCOM with BES | at SG Transformer | 3.06 | 41.71% |
| at SG Terminal | 2.39 | 54.48% | |
© 2019 by the authors. Licensee MDPI, Basel, Switzerland. This article is an open access article distributed under the terms and conditions of the Creative Commons Attribution (CC BY) license (http://creativecommons.org/licenses/by/4.0/).
Share and Cite
Tu, G.; Li, Y.; Xiang, J. Analysis, Control and Optimal Placement of Static Synchronous Compensator with/without Battery Energy Storage. Energies 2019, 12, 4715. https://doi.org/10.3390/en12244715
Tu G, Li Y, Xiang J. Analysis, Control and Optimal Placement of Static Synchronous Compensator with/without Battery Energy Storage. Energies. 2019; 12(24):4715. https://doi.org/10.3390/en12244715
Chicago/Turabian StyleTu, Ganggang, Yanjun Li, and Ji Xiang. 2019. "Analysis, Control and Optimal Placement of Static Synchronous Compensator with/without Battery Energy Storage" Energies 12, no. 24: 4715. https://doi.org/10.3390/en12244715
APA StyleTu, G., Li, Y., & Xiang, J. (2019). Analysis, Control and Optimal Placement of Static Synchronous Compensator with/without Battery Energy Storage. Energies, 12(24), 4715. https://doi.org/10.3390/en12244715

