Effect of Tailing-Edge Thickness on Aerodynamic Noise for Wind Turbine Airfoil
Abstract
1. Introduction
2. Methodology
2.1. Numerical Conditions
2.1.1. Large Eddy Simulation
2.1.2. Transitional Shear Stress Transport (SST)
2.1.3. Detached Eddy Simulation
2.1.4. Mesh Setup
2.2. Acoustic Analogy
2.3. Test Cases
3. Results and Discussion
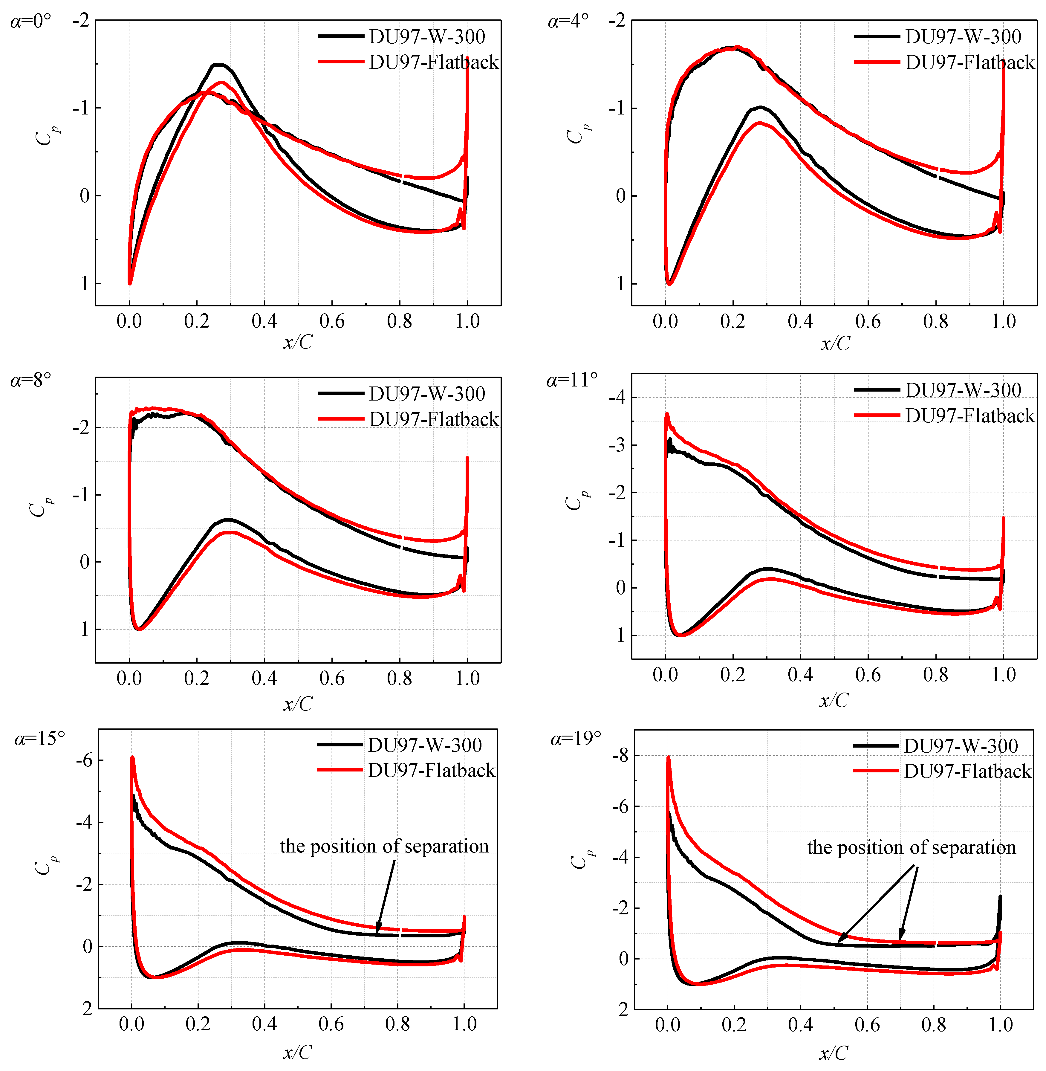
3.1. Validation of Aerodynamic and Aero-Acoustic Results
3.2. Noise Analysis of Blunt Trailing Edge Airfoils
4. Conclusions
Author Contributions
Funding
Conflicts of Interest
References
- Tian, W.; Ozbay, A.; Hu, H. An experimental investigation on the aeromechanics and wake interferences of wind turbines sited over complex terrain. J. Wind Eng. Ind. Aerodyn. 2018, 172, 379–394. [Google Scholar] [CrossRef]
- Liu, H.; Hayat, I.; Jin, Y.; Chamorro, L. On the Evolution of the Integral Time Scale within Wind Farms. Energies 2018, 11, 93. [Google Scholar] [CrossRef]
- Uchida, T. Numerical Investigation of Terrain-Induced Turbulence in Complex Terrain by Large-Eddy Simulation (LES) Technique. Energies 2018, 11, 2638. [Google Scholar] [CrossRef]
- Takayuki Kageyama, T.Y.; Sonoko, K.; Shinichi, S.; Hideki, T. Exposure-response relationship of wind turbine noise with self-reported symptoms of sleep and health problems A nationwide socioacoustic survey in Japan. Noise Health 2016, 18, 53–61. [Google Scholar] [CrossRef]
- Katinas, V.; Marčiukaitis, M.; Tamašauskienė, M. Analysis of the wind turbine noise emissions and impact on the environment. Renew. Sustain. Energy Rev. 2016, 58, 825–831. [Google Scholar] [CrossRef]
- Wang, S.; Wang, S. Impacts of wind energy on environment: A review. Renew. Sustain. Energy Rev. 2015, 49, 437–443. [Google Scholar] [CrossRef]
- Kaldellis, J.K.; Garakis, K.; Kapsali, M. Noise impact assessment on the basis of onsite acoustic noise immission measurements for a representative wind farm. Renew. Energy 2012, 41, 306–314. [Google Scholar] [CrossRef]
- Liu, W.Y. A review on wind turbine noise mechanism and de-noising techniques. Renew. Energy 2017, 108, 311–320. [Google Scholar] [CrossRef]
- Anicic, O.; Petković, D.; Cvetkovic, S. Evaluation of wind turbine noise by soft computing methodologies: A comparative study. Renew. Sustain. Energy Rev. 2016, 56, 1122–1128. [Google Scholar] [CrossRef]
- Onakpoya, I.J.; O’Sullivan, J.; Thompson, M.J.; Heneghan, C.J. The effect of wind turbine noise on sleep and quality of life: A systematic review and meta-analysis of observational studies. Environ. Int. 2015, 82, 1–9. [Google Scholar] [CrossRef]
- Taylor, J.; Eastwick, C.; Lawrence, C.; Wilson, R. Noise levels and noise perception from small and micro wind turbines. Renew. Energy 2013, 55, 120–127. [Google Scholar] [CrossRef]
- Wang, Z.; Tian, W.; Hu, H. A Comparative study on the aeromechanic performances of upwind and downwind horizontal-axis wind turbines. Energy Convers. Manag. 2018, 163, 100–110. [Google Scholar] [CrossRef]
- Lee, S.; Lee, S. Numerical and experimental study of aerodynamic noise by a small wind turbine. Renew. Energy 2014, 65, 108–112. [Google Scholar] [CrossRef]
- Xu, H.Y.; Dong, Q.L.; Qiao, C.L.; Ye, Z.Y. Flow Control over the Blunt Trailing Edge of Wind Turbine Airfoils Using Circulation Control. Energies 2018, 11, 619. [Google Scholar] [CrossRef]
- Lee, S.G.; Park, S.J.; Lee, K.S.; Chung, C. Performance prediction of NREL (National Renewable Energy Laboratory) Phase VI blade adopting blunt trailing edge airfoil. Energy 2012, 47, 47–61. [Google Scholar] [CrossRef]
- Wang, G.; Zhang, L.; Shen, W.Z. LES simulation and experimental validation of the unsteady aerodynamics of blunt wind turbine airfoils. Energy 2018, 158, 911–923. [Google Scholar] [CrossRef]
- Zhu, W.J.; Shen, W.Z.; Barlas, E.; Bertagnolio, F.; Sørensen, J.N. Wind turbine noise generation and propagation modeling at DTU Wind Energy: A review. Renew. Sustain. Energy Rev. 2018, 88, 133–150. [Google Scholar] [CrossRef]
- Paterson, R.W.; Vogt, P.G.; Fink, M.R.; Munch, C.L. Vortex noise of isolated airfoils. J. Aircr. 1973, 10, 296–302. [Google Scholar] [CrossRef]
- Brooks, T.F.; Hodgson, T.H. Trailing edge noise prediction from measured surface pressures. J. Sound Vib. 1981, 78, 69–117. [Google Scholar] [CrossRef]
- Lighthill, M. On sound generated aerodynamically: I. General theory. Proc. R. Soc. Lond. 1954, 222, 1–32. [Google Scholar] [CrossRef]
- Curle, N. The influence of solid boundaries upon aerodynamic sound. Proc. R. Soc. Lond. 1955, 231, 505–514. [Google Scholar] [CrossRef]
- Ffowcs-Williams, J.E.; Hawkings, D.L. Sound generation by turbulence and surfaces in arbitrary motion. Philos. Trans. R. Soc. Lond. 1969, 264, 321–342. [Google Scholar] [CrossRef]
- Francescantonio, P.D. A new boundary integral formulation for the prediction of sound radiation. J. Sound Vib. 1997, 202, 491–509. [Google Scholar] [CrossRef]
- Singer, B.A.; Brentner, K.S.; Lockard, D.P. Simulation of acoustics scatting from a trailing edge. J. Sound Vib. 2000, 230, 541–560. [Google Scholar] [CrossRef]
- Ewert, R.; Schröder, W. On the simulation of trailing edge noise with a hybrid LES/APE method. J. Sound Vib. 2004, 270, 509–524. [Google Scholar] [CrossRef]
- Shen, W.Z.; Michelsen, J.A.; Sørensen, J.N. A collocated grid finite volume method for aeroacoustic computations of low-speed flows. J. Comput. Phys. 2004, 196, 348–366. [Google Scholar] [CrossRef]
- Sandberg, R.D.; Jones, L.E. Direct numerical simulations of airfoil self-noise. Proc. Eng. 2010, 6, 274–282. [Google Scholar] [CrossRef]
- Ikeda, T.; Atobe, T.; Takagi, S. Direct simulations of trailing-edge noise generation from two-dimensional airfoils at low Reynolds numbers. J. Sound Vib. 2012, 331, 556–574. [Google Scholar] [CrossRef]
- Albarracin, C.A.; Marshallsay, P.; Brooks, L.A.; Cederholm, A.; Chen, L.; Doolan, C.J. Comparison of aeroacoustics predictions of turbulent trailing edge noise using three different flow solution. In Proceedings of the 18th Australasian Fluid Mechanics Conference, Launceston, Australia, 3–7 December 2012. [Google Scholar]
- Lummer, M.; Delfs, J.W.; Lauke, T. Simulation of sound generation by vortices passing the trailing edge of airfoils. In Proceedings of the 8th AIAA/CEAS Aeroacoustics Conference & Exhibit, AIAA 2002, Breckenridge, CO, USA, 17–19 June 2002; pp. 2002–2578. [Google Scholar]
- Jones, L.E.; Sandberg, R.D. Numerical analysis of tonal airfoil self-noise and acoustic feedback-loops. J. Sound Vib. 2011, 330, 6137–6152. [Google Scholar] [CrossRef]
- Shin, H.; Kim, H.; Kim, T.; Kim, S.H.; Lee, S.; Baik, Y.J.; Lee, G. Numerical Analysis of Flatback Trailing Edge Airfoil to Reduce Noise in Power Generation Cycle. Energies 2017, 10, 872. [Google Scholar] [CrossRef]
- Fleig, O.; Arakawa, C. Numerical simulation of wind turbine tip noise. AIAA Aerosp. Sci. Meet. Exhib. 2013. [Google Scholar] [CrossRef]
- Fleig, O.; Iida, M.; Arakawa, C. Wind Turbine Blade Tip Flow and Noise Prediction by Large-eddy Simulation. J. Sol. Energy Eng. 2004, 126, 1017. [Google Scholar] [CrossRef]
- Marsden, O.; Bogey, C.; Bailly, C. Noise radiated by a high-Reynolds-number 3-D airfoil. In Proceedings of the Applied Aerodynamics Conference AIAA Paper, Toronto, ON, Canada, 6–9 June 2005; pp. 2005–2817. [Google Scholar]
- Jiang, M.; Li, X.D.; Bai, B.H.; Lin, D.K. Numerical simulation on the NACA0018 airfoil self-noise generation. Theor. Appl. Mech. Lett. 2012, 2, 052004. [Google Scholar] [CrossRef]
- Jiang, M.; Li, X.D.; Lin, D.K. Numerical Simulation on the Airfoil Self-Noise at Low Mach Number Flows. In Proceedings of the AIAA Aerospace Sciences Meeting Including the New Horizons Forum & Aerospace Exposition, Grapevine, TX, USA, 7–10 January 2013. [Google Scholar] [CrossRef]
- Takagi, Y.; Fujisawa, N.; Nakano, T.; Nashimoto, A. Cylinder wake influence on the tonal noise and aerodynamic characteristics of a NACA0018 airfoil. J. Sound Vib. 2006, 297, 563–577. [Google Scholar] [CrossRef]
- Nakano, T.; Fujisawa, N.; Oguma, Y.; Takagi, Y.; Lee, S. Experimental study on flow and noise characteristics of NACA0018 airfoil. J. Wind Eng. Ind. Aerodyn. 2007, 95, 511–531. [Google Scholar] [CrossRef]
- Jacob, M.C.; Jérôme, B.; Casalino, D.; Michard, M. A rod-airfoil experiment as a benchmark for broadband noise modeling. Theor. Comput. Fluid Dyn. 2005, 19, 171–196. [Google Scholar] [CrossRef]
- Björn, G.; Thiele, F.; Jacob, M.C.; Casalino, D. Prediction of sound generated by a rod–airfoil configuration using EASM DES and the generalised Lighthill/FW-H analogy. Comput. Fluids 2008, 37, 402–413. [Google Scholar] [CrossRef]
- Giret, J.C.; Sengissen, A.; Moreau, S.; Jouhaud, J.C. Prediction of sound generated by a rod-airfoil configuration using a compressible unstructured LES solver and a FW-H analogy. In Proceedings of the 8th AIAA/CEAS Aeroacoustics Conference & Exhibit, AIAA 2002, Breckenridge, CO, USA, 17–19 June 2002; pp. 2012–2058. [Google Scholar]
- Smagorinsky, J. General Circulation Experiments with the Primitive Equations, Part 1, Basic Experiments. Mon. Weather Rev. 1963, 91, 99–164. [Google Scholar] [CrossRef]
- Menter, F.R. Two-equation eddy-viscosity turbulence models for engineering applications. AIAA J. 1994, 32, 1598–1605. [Google Scholar] [CrossRef]
- Langtry, R.B.; Menter, F.R. Transition Modeling for General CFD Applications in Aeronautics. AIAA Aerosp. Sci. Meet. Exhib. 2005. [Google Scholar] [CrossRef]
- Spalart, P.R.; Jou, W.H.; Strelets, M. Comments on the Feasibility of LES for Wings, and on a Hybrid RANS/LES Approach. In Proceedings of the 1st Air Force Office of Scientific Research International Conference on DNS/LES, Ruston, LA, USA, 4–8 August 1997; pp. 137–147. [Google Scholar]
- Barone, M.F.; Berg, D.E.; Devenport, W.J.; Burdisso, R. Aerodynamic and Aeroacoustic Tests of a Flatback Version of the DU97-W-300 Airfoil; SAND2009-4185, Sandia Report; Sandia National Laboratories: Albuquerque, NM, USA, 2009. [Google Scholar]
- John, C.V.; Edward, N.T.; Mori, M.; Ben, R. Summary of the fourth AIAA computational fluid dynamics drag prediction workshop. J. Aircr. 2014, 51, 1070–1089. [Google Scholar] [CrossRef]
- Qiang, Z. Aerodynamic Acoustic Basis; National Defense Industry Press: Beijing, China, 2012. [Google Scholar]





















| Mesh | Number of Circumferential | Number of Radial Directions | Number of Mesh Elements |
|---|---|---|---|
| Mesh 1 | 240 | 330 | 70,000 |
| Mesh 2 | 340 | 460 | 140,000 |
| Mesh 3 | 480 | 640 | 280,000 |
| Method | Mesh | Richardson Extrapolation (RE) | ||||
|---|---|---|---|---|---|---|
| Mesh 1 | Mesh 2 | Mesh 3 | RE | p | R | |
| URANS | 0.9195 | 0.9225 | 0.908 | -- | -- | −4.83 |
| DES | 0.9007 | 0.896 | 0.8952 | 0.8949 | 2.55 | 0.17 |
| LES | 0.9247 | 0.9121 | 0.7206 | -- | -- | 15.19 |
© 2019 by the authors. Licensee MDPI, Basel, Switzerland. This article is an open access article distributed under the terms and conditions of the Creative Commons Attribution (CC BY) license (http://creativecommons.org/licenses/by/4.0/).
Share and Cite
Li, X.; Yang, K.; Hu, H.; Wang, X.; Kang, S. Effect of Tailing-Edge Thickness on Aerodynamic Noise for Wind Turbine Airfoil. Energies 2019, 12, 270. https://doi.org/10.3390/en12020270
Li X, Yang K, Hu H, Wang X, Kang S. Effect of Tailing-Edge Thickness on Aerodynamic Noise for Wind Turbine Airfoil. Energies. 2019; 12(2):270. https://doi.org/10.3390/en12020270
Chicago/Turabian StyleLi, Xinkai, Ke Yang, Hao Hu, Xiaodong Wang, and Shun Kang. 2019. "Effect of Tailing-Edge Thickness on Aerodynamic Noise for Wind Turbine Airfoil" Energies 12, no. 2: 270. https://doi.org/10.3390/en12020270
APA StyleLi, X., Yang, K., Hu, H., Wang, X., & Kang, S. (2019). Effect of Tailing-Edge Thickness on Aerodynamic Noise for Wind Turbine Airfoil. Energies, 12(2), 270. https://doi.org/10.3390/en12020270

