Comparative Thermogravimetric Assessment on the Combustion of Coal, Microalgae Biomass and Their Blend
Abstract
1. Introduction
2. Materials and Methods
2.1. Microalgae Culturing
2.2. Materials and Characterization
2.3. Thermal Analyses
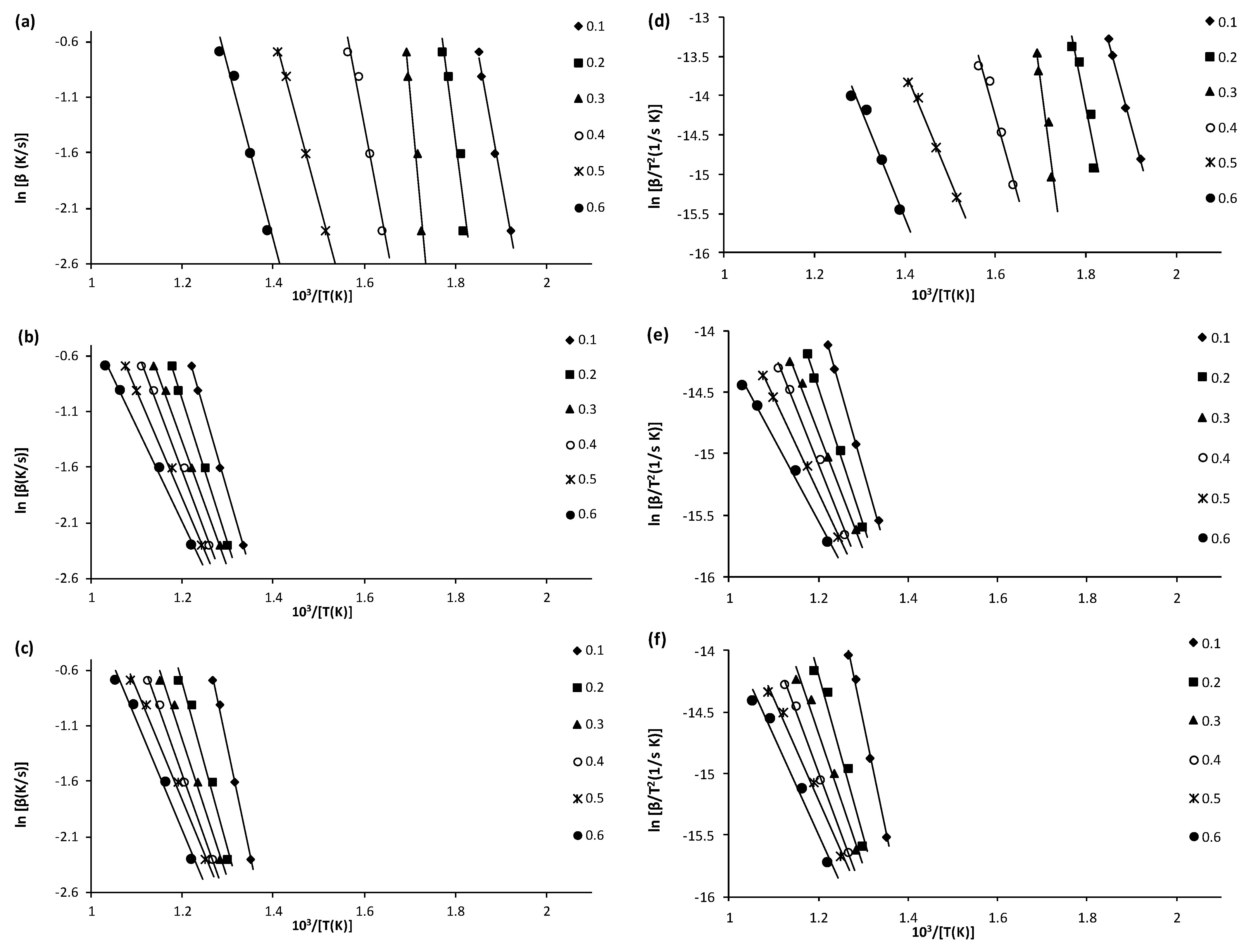
2.4. Non-Isothermal Kinetic Analysis
3. Results and Discussion
3.1. Materials Characterization
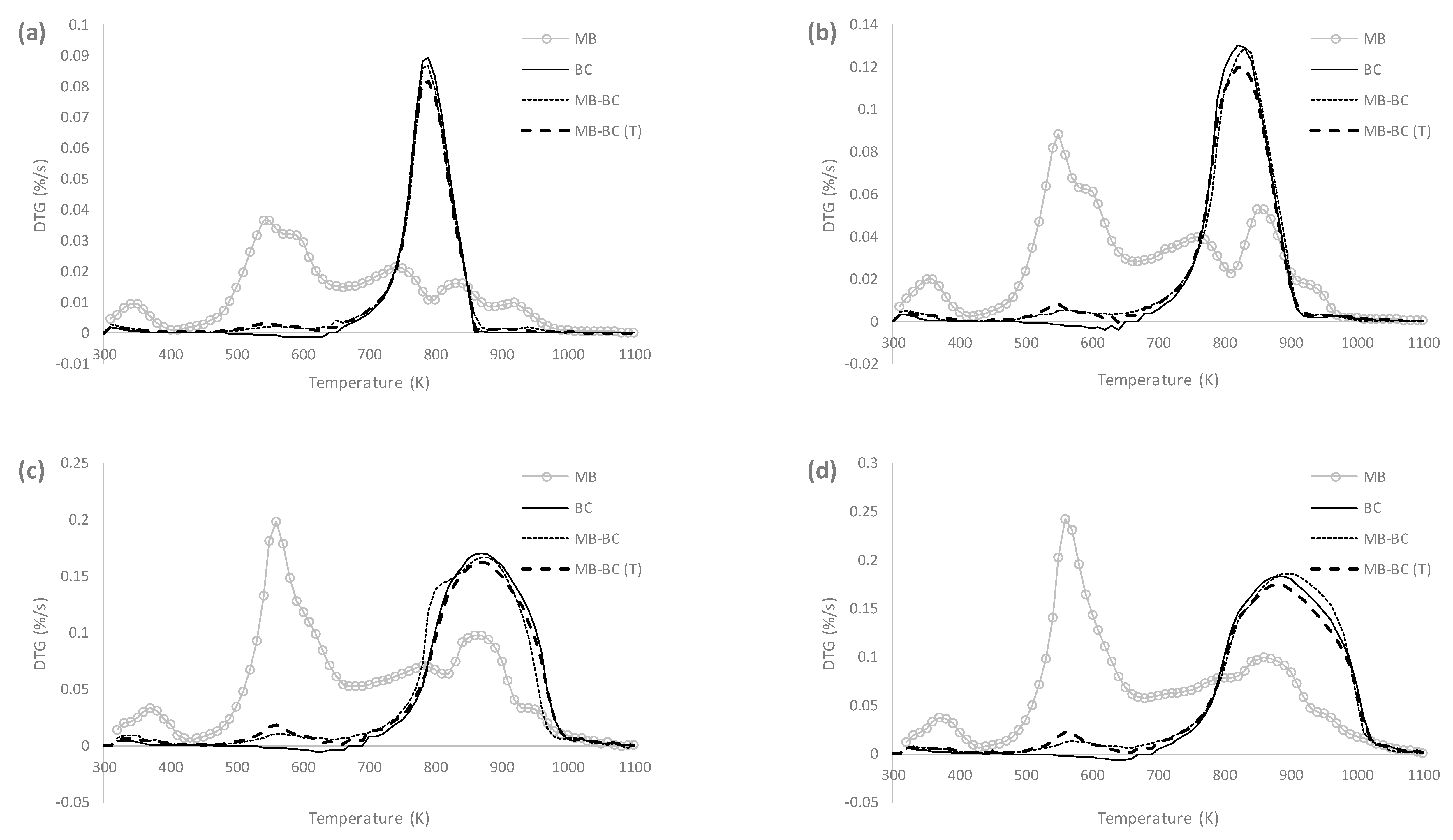
3.2. Thermal Analysis
3.3. Non-Isothermal Kinetic Analysis
4. Conclusions
Supplementary Materials
Author Contributions
Funding
Acknowledgments
Conflicts of Interest
References
- World Energy Resources; World Energy Council: London, UK, 2016; Available online: https://www.worldenergy.org/wp-content/uploads/2016/10/World-Energy-Resources_SummaryReport_2016.pdf (accessed on 5 July 2019).
- Assis, T.C.D.; Calijuri, M.L.; Assemany, P.P.; Pereira, A.S.A.D.P.; Martins, M.A. Using atmospheric emissions as CO2 source in the cultivation of microalgae: Productivity and economic viability. J. Clean. Prod. 2019, 215, 1160–1169. [Google Scholar] [CrossRef]
- Shuba, E.S.; Kifle, D. Microalgae to biofuels: ‘Promising’ alternative and renewable energy, review. Renew. Sustain. Energy Rev. 2018, 81, 743–755. [Google Scholar] [CrossRef]
- Chen, W.H.; Lin, B.J.; Huang, M.Y.; Chang, J.S. Thermochemical conversion of microalgal biomass into biofuels: A review. Bioresour. Technol. 2015, 184, 314–327. [Google Scholar] [CrossRef] [PubMed]
- Khan, M.I.; Shin, J.H.; Kim, J.D. The promising future of microalgae: Current status, challenges, and optimization of a sustainable and renewable industry for biofuels, feed, and other products. Microb. Cell Fact. 2018, 17, 36–57. [Google Scholar] [CrossRef] [PubMed]
- Saad, M.G.; Dosoky, N.S.; Zoromba, M.S.; Shafik, H.M. Algal Biofuels: Current Status and Key Challenges. Energies 2019, 12, 1920. [Google Scholar] [CrossRef]
- SundarRajan, P.; Gopinath, K.P.; Greetham, D.; Antonysamy, A.J. A review on cleaner production of biofuel feedstock from integrated CO2 sequestration and wastewater treatment system. J. Clean. Prod. 2019, 210, 445–458. [Google Scholar] [CrossRef]
- Kassim, M.A.; Meng, T.K. Carbon dioxide (CO2) biofixation by microalgae and its potential for biorefinery and biofuel production. Sci. Total Environ. 2017, 584–585, 1121–1129. [Google Scholar] [CrossRef]
- Delrue, F.; Álvarez-Díaz, P.D.; Fon-Sing, S.; Fleury, G.; Sassi, J.-F. The environmental biorefinery: Using microalgae to remediate wastewater, a win-win paradigm. Energies 2016, 9, 132. [Google Scholar] [CrossRef]
- Razzak, S.A.; Ali, S.A.M.; Hossain, M.M.; deLasa, H. Biological CO2 fixation with production of microalgae in wastewater—A review. Renew. Sustain. Energy Rev. 2017, 76, 379–390. [Google Scholar] [CrossRef]
- Jais, N.M.; Mohamed, R.M.S.R.; Al-Gheethi, A.A.; Hashim, M.K.A. The dual roles of phycoremediation of wet market wastewater for nutrients and heavy metals removal and microalgae biomass production. Clean Technol. Environ. Policy 2017, 19, 37–52. [Google Scholar] [CrossRef]
- Escapa, C.; Coimbra, R.N.; Paniagua, S.; Garcia, A.I.; Otero, M. Comparison of the culture and harvesting of Chlorella vulgaris and Tetradesmus obliquus for the removal of pharmaceuticals from water. J Appl. Phycol. 2017, 29, 1179–1193. [Google Scholar] [CrossRef]
- Escapa, C.; Torres, T.; Neuparth, T.; Coimbra, R.N.; García, A.I.; Santos, M.M.; Otero, M. Zebrafish embryo bioassays for a comprehensive evaluation of microalgae efficiency in the removal of diclofenac from water. Sci. Total Environ. 2018, 640–641, 1024–1033. [Google Scholar] [CrossRef]
- Coimbra, R.N.; Escapa, C.; Vázquez, N.C.; Noriega-Hevia, G.; Otero, M. Utilization of non-living microalgae biomass from two different strains for the adsorptive removal of diclofenac from water. Water 2018, 10, 1401. [Google Scholar] [CrossRef]
- Hwang, J.-H.; Church, J.; Lee, S.-J.; Park, J.; Lee, W.H. Use of microalgae for advanced wastewater treatment and sustainable bioenergy generation. Environ. Eng. Sci. 2016, 33, 882–897. [Google Scholar] [CrossRef]
- López-González, D.; Fernandez-Lopez, M.; Valverde, J.L.; Sanchez-Silva, L. Kinetic analysis and thermal characterization of the microalgae combustion process by thermal analysis coupled to mass spectrometry. Appl. Energy 2014, 114, 227–237. [Google Scholar] [CrossRef]
- Lane, D.; Ashman, P.J.; Zevenhoven, M.; Hupa, M.; van Eyk, P.; de Nys, R.; Karlströ, O.; Lewis, D.M. Combustion behavior of algal biomass: carbon release, nitrogen release, and char reactivity. Energy Fuels 2014, 28, 41–51. [Google Scholar] [CrossRef]
- Gai, C.; Liu, Z.; Han, G.; Peng, N.; Fan, A. Combustion behavior and kinetics of low-lipid microalgae via thermogravimetric analysis. Bioresour. Technol. 2015, 181, 148–154. [Google Scholar] [CrossRef]
- Saldarriaga, J.F.; Aguado, R.; Pablos, A.; Amutio, M.; Olazar, M.; Bilbao, J. Fast characterization of biomass fuels by thermogravimetric analysis (TGA). Fuel 2015, 140, 744–751. [Google Scholar] [CrossRef]
- Otero, M.; Calvo, L.F.; Gil, M.V.; García, A.I.; Morán, A. Co-combustion of different sewage sludge and coal: A non-isothermal thermogravimetric kinetic analysis. Bioresour. Technol. 2008, 99, 6311–6319. [Google Scholar] [CrossRef]
- Coimbra, R.N.; Paniagua, S.; Escapa, C.; Calvo, L.F.; Otero, M. Combustion of primary and secondary pulp mill sludge and their respective blends with coal: A thermogravimetric assessment. Renew. Energy 2015, 83, 1050–1058. [Google Scholar] [CrossRef]
- Chen, G.-B.; Chatelier, S.; Lin, H.-T.; Wu, F.-H.; Lin, T.-H. A Study of Sewage Sludge Co-Combustion with Australian Black Coal and Shiitake Substrate. Energies 2018, 11, 3436. [Google Scholar] [CrossRef]
- Coimbra, R.N.; Paniagua, S.; Escapa, C.; Calvo, L.F.; Otero, M. Thermal valorization of pulp mill sludge by co-processing with coal. Waste Biomass Valoriz. 2016, 7, 995–1006. [Google Scholar] [CrossRef]
- Escapa, C.; Coimbra, R.N.; Paniagua, S.; García, A.I.; Otero, M. Comparative assessment of diclofenac removal from water by different microalgae strains. Algal Res. 2016, 18, 127–134. [Google Scholar] [CrossRef]
- Gupta, S.K.; Ansari, F.A.; Shriwastav, A.; Sahoo, N.K.; Rawat, I.; Bux, F. Dual role of Chlorella sorokiniana and Scenedesmus obliquus for comprehensive wastewater treatment and biomass production for bio-fuels. J. Clean. Prod. 2016, 115, 255–264. [Google Scholar] [CrossRef]
- Mann, J.E.; Myers, J. On pigments growth and photosynthesis of Phaeodactylum tricornutum. J. Phycol. 1968, 4, 349–355. [Google Scholar] [CrossRef]
- Organisation for Economic Co-operation and Development (OECD). Test No. 303: Simulation Test—Aerobic Sewage Treatment—A: Activated Sludge Units; B: Biofilms. In OECD Guidelines for the Testing of Chemicals, Section 3; OECD Publishing: Paris, France, 2001. [Google Scholar] [CrossRef]
- ASTM D3172-13. Standard Practice for Proximate Analysis of Coal and Coke; ASTM International: West Conshohocken, PA, USA, 2013. [Google Scholar]
- ASTM D3173-11. Standard Test Method for Moisture in the Analysis Sample of Coal and Coke; ASTM International: West Conshohocken, PA, USA, 2011. [Google Scholar]
- ASTM D3174-12. Standard Test Method for Ash in the Analysis Sample of Coal and Coke from Coal; ASTM International: West Conshohocken, PA, USA, 2018. [Google Scholar]
- ASTM D3175-18. Standard Test Method for Volatile Matter in the Analysis Sample of Coal and Coke; ASTM International: West Conshohocken, PA, USA, 2018. [Google Scholar]
- ASTM D5373-08. Standard Test Methods for Instrumental Determination of Carbon, Hydrogen, and Nitrogen in Laboratory Samples of Coal; ASTM International: West Conshohocken, PA, USA, 2008. [Google Scholar]
- ASTM D4239-14. Standard Test Method for Sulfur in the Analysis Sample of Coal and Coke Using High-Temperature Tube Furnace Combustion; ASTM International: West Conshohocken, PA, USA, 2014. [Google Scholar]
- UNE-EN 14918. Solid Biofuels—Determination of Calorific Value; Spanish Association for Standardization and Certification: Madrid, Spain, 2011. [Google Scholar]
- Selvig, W.A.; Gibson, I.H. Calorific value of coal. In Chemistry of Coal Utilization; Lowry, H.H., Ed.; Wiley: Hoboken, NJ, USA, 1945; Volume 1, p. 139. [Google Scholar]
- Tillman, D.A. Wood as an Energy Resource; Academic Press: Cambridge, MA, USA, 1978. [Google Scholar]
- Abe, F. The thermochemical study of forest biomass. Bull. For. For. Prod. Res. Inst. 1988, 352, 1–95. [Google Scholar]
- Demirbas, A.; Gullu, D.; Caglar, A.; Akdeniz, F. Estimation of calorific values of fuels from lignocellulosics. Energy Sources 1997, 19, 765–770. [Google Scholar] [CrossRef]
- Sheng, C.; Azevedo, J.L.T. Estimating the higher heating value of biomass fuels from basic analysis data. Biomass Bioenergy 2005, 28, 499–507. [Google Scholar] [CrossRef]
- Yin, C.-Y. Prediction of higher heating values of biomass from proximate and ultimate analyses. Fuel 2011, 90, 1128–1132. [Google Scholar] [CrossRef]
- Jenkins, B.M.; Ebeling, J.M. Thermochemical properties of biomass fuels. Calif. Agric. 1985, 39, 14–16. [Google Scholar]
- Parikh, J.; Channiwala, S.A.; Ghosal, G.K. A correlation for calculating HHV from proximate analysis of solid fuels. Fuel 2005, 84, 487–494. [Google Scholar] [CrossRef]
- Majumder, A.K.; Jain, R.; Banerjee, P.; Barnwal, J.P. Development of a new proximate analysis based correlation to predict calorific value of coal. Fuel 2008, 87, 3077–3081. [Google Scholar] [CrossRef]
- Grabosky, M.; Bain, R. Properties of biomass relevant to gasification; Noyes Data Corporation: Park Ridge, NJ, USA, 1981. [Google Scholar]
- Bridgwater, A.V.; Double, J.M.; Earp, D.M. Technical and market assessment of biomass gasification in the United Kingdom. In ETSU Report; UKAEA: Harwell, UK, 1986. [Google Scholar]
- Channiwala, S.A.; Parikh, P.P. A unified correlation for estimating HHV of solid, liquid and gaseous fuels. Fuel 2002, 81, 1051–1063. [Google Scholar] [CrossRef]
- Sajdak, M.; Muzyka, R.; Hrabak, J.; Rózycki, G. Biomass, biochar and hard coal: Data mining application to elemental composition and high heating values prediction. J. Anal. Appl. Pyrol. 2013, 104, 153–160. [Google Scholar] [CrossRef]
- Vyazovkin, S.; Wight, C.A. Isothermal and non-isothermal kinetics of thermally stimulated reactions of solids. Int. Rev. Phys. Chem. 1998, 17, 407–433. [Google Scholar] [CrossRef]
- Zhao, M.; Raheem, A.; Memon, Z.M.; Vuppaladadiyam, A.K.; Ji, G. Iso-conversional kinetics of low-lipid micro-algae gasification by air. J. Clean. Prod. 2019, 207, 618–629. [Google Scholar] [CrossRef]
- Ozawa, T. A new method of analyzing thermogravimetric data. Bull. Chem. Soc. Jpn. 1965, 38, 1881–1886. [Google Scholar] [CrossRef]
- Flynn, J.H.; Wall, L.A. A quick, direct method for the determination of activation energy from thermogravimetric data. Polym. Lett. 1966, 4, 323–328. [Google Scholar] [CrossRef]
- Doyle, C.D. Estimating isothermal life from thermogravimetric data. J. Appl. Polym. Sci. 1962, 6, 639–642. [Google Scholar] [CrossRef]
- Kissinger, H.E. Reaction kinetics in differential thermal analysis. Anal. Chem. 1957, 29, 1702–1706. [Google Scholar] [CrossRef]
- Akahira, T.; Sunose, T. Joint convention of four electrical institutes. Research Report (Chiba Institute of Technology). Sci. Technol. 1971, 16, 22–31. [Google Scholar]
- Tsai, M.Y.; Wu, K.T.; Huang, C.C.; Lee, H.T. Co-firing of paper mill sludge and coal in an industrial circulating fluidized bed boiler. Waste Manag. 2002, 22, 439–442. [Google Scholar] [CrossRef]
- Gao, Y.; Tahmasebi, A.; Dou, J.; Yu, J. Combustion characteristics and air pollutant formation during oxy-fuel co-combustion of microalgae and lignite. Bioresour. Technol. 2016, 207, 276–284. [Google Scholar] [CrossRef]
- Chen, C.; Lu, Z.; Ma, X.; Long, J.; Peng, Y.; Hu, L.; Lu, Q. Oxy-fuel combustion characteristics and kinetics of microalgae Chlorella vulgaris by thermogravimetric analysis. Bioresour. Technol. 2013, 144, 563–571. [Google Scholar] [CrossRef]
- Zakariah, N.A.; Rahman, N.A.; Him, N.R.N. Effects of nitrogen supplementation in replete condition on the biomass yield and microalgae properties of Chlorella sorokiniana. ARPN J. Eng. Appl. Sci. 2017, 12, 3290–3298. [Google Scholar]
- Paniagua, S.; Calvo, L.F.; Escapa, C.; Coimbra, R.N.; Otero, M.; García, A.I. Chlorella sorokiniana thermogravimetric analysis and combustion characteristic indexes estimation. J. Therm. Anal. Calorim. 2018, 131, 3139–3149. [Google Scholar] [CrossRef]
- Babich, I.V.; Hulst, M.V.D.; Lefferts, L.; Moulijn, J.A.; O’Connor, P.; Seshan, K. Catalytic pyrolysis of microalgae to high-quality liquid bio-fuels. Biomass Bioenergy 2011, 35, 3199–3207. [Google Scholar] [CrossRef]
- Xu, L.; Wim Brilman, D.W.F.; Withag, J.A.M.; Brem, G.; Kersten, S. Assessment of a dry and a wet route for the production of biofuels from microalgae: energy balance analysis. Bioresour. Technol. 2011, 102, 5113–5122. [Google Scholar] [CrossRef]
- Wang, K.; Brown, R.C.; Homsy, S.; Martinez, L.; Sidhu, S.S. Fast pyrolysis of microalgae remnants in a fluidized bed reactor for bio-oil and biochar production. Bioresour. Technol. 2013, 127, 494–499. [Google Scholar] [CrossRef]
- Kebelmann, K.; Hornung, A.; Karsten, U.; Griffiths, G. Intermediate pyrolysis and product identification by TGA and Py-GC/MS of green microalgae and their extracted protein and lipid components. Biomass Bioenergy 2013, 49, 38–48. [Google Scholar] [CrossRef]
- Zou, S.; Wu, Y.; Yang, M.; Li, C.; Tong, J. Pyrolysis characteristics and kinetics of the marine microalgae Dunaliella tertiolecta using thermogravimetric analyzer. Bioresour. Technol. 2010, 101, 359–365. [Google Scholar]
- Chen, W.H.; Huang, M.Y.; Chang, J.S.; Chen, C.Y. Thermal decomposition dynamics and severity of microalgae residues in torrefaction. Bioresour. Technol. 2014, 169, 258–264. [Google Scholar] [CrossRef]
- Jena, U.; Das, K.C. Comparative evaluation of thermochemical liquefaction and pyrolysis for bio-oil production from microalgae. Energy Fuels 2011, 25, 5472–5482. [Google Scholar] [CrossRef]
- Wu, K.T.; Tsai, C.J.; Chen, C.S.; Chen, H.W. The characteristics of torrefied microalgae. Appl. Energy 2012, 100, 52–57. [Google Scholar] [CrossRef]
- Chen, W.H.; Wu, Z.Y.; Chang, J.S. Isothermal and non-isothermal torrefaction characteristics and kinetics of microalga Scenedesmus obliquus CNW-N. Bioresour. Technol. 2014, 155, 245–251. [Google Scholar] [CrossRef]
- Bui, H.-H.; Tran, K.-Q.; Chen, W.-H. Pyrolysis of microalgae residues—A Kinetic study. Bioresour. Technol. 2015, 199, 362–366. [Google Scholar] [CrossRef]
- Chen, C.; Ma, X.; Liu, K. Thermogravimetric analysis of microalgae combustion under different oxygen supply concentrations. Appl. Energy 2011, 88, 3189–3196. [Google Scholar] [CrossRef]
- Soria-Verdugo, A.; Goos, E.; García-Hernando, N.; Riedel, U. Analyzing the pyrolysis kinetics of several microalgae species by various differential and integral isoconversional kinetic methods and the Distributed Activation Energy Model. Algal Res. 2018, 32, 11–29. [Google Scholar] [CrossRef]
- López, R.; Fernández, C.; Gómez, X.; Martínez, O.; Sánchez, M.E. Thermogravimetric analysis of lignocellulosic and microalgae biomasses and their blends during combustion. J. Therm. Anal. Calorim. 2013, 114, 295–305. [Google Scholar] [CrossRef]
- Chen, C.; Ma, X.; He, Y. Co-pyrolysis characteristics of microalgae Chlorella vulgaris and coal through TGA. Bioresour. Technol. 2012, 117, 264–273. [Google Scholar] [CrossRef]
- Chen, C.; Chan, Q.N.; Medwell, P.R.; Heng Yeoh, G. Co-combustion characteristics and kinetics of microalgae Chlorella vulgaris and coal through TGA. Combust. Sci. Technol. in press. [CrossRef]
- Guo, F.H.; Zhong, Z.P. Optimization of the co-combustion of coal and composite biomass pellets. J. Clean. Prod. 2018, 185, 399–407. [Google Scholar] [CrossRef]
- Ondro, T.; Vitázek, I.; Húlan, T.; Lawson, M.K.; Csáki, Š. Non-isothermal kinetic analysis of the thermal decomposition of spruce wood in air atmosphere. Res. Agric. Eng. 2018, 64, 41–46. [Google Scholar]
- Zhao, Z.; Liu, P.; Wang, S.; Ma, S.; Cao, J. Combustion characteristics and kinetics of five tropic algal strains using thermogravimetric analysis. J. Therm. Anal. Calorim. 2018, 131, 1919–1931. [Google Scholar] [CrossRef]
- Giostri, A.; Binotti, M.; Macchi, E. Microalgae cofiring in coal power plants: Innovative system layout and energy analysis. Renew. Energy 2016, 95, 449–464. [Google Scholar] [CrossRef]





| No. | Reference | CORRELATION | Originally Targeted Fuel |
|---|---|---|---|
| Based on Elemental Analysis | |||
| 1 | Dulong [35] | Biomass of any type and/or origin | |
| 2 | Tillman [36] | Biomass | |
| 3 | Abe [37] | Biomass from florestal origin | |
| 4 | Demirbas et al. [38] | Lignocellulosic fuels | |
| 5 | Sheng and Azevedo [39] | Biomass | |
| 6 | Yin [40] | Lignocellulosic fuels (agricultural by-products and wood) | |
| Based on Proximate Analysis | |||
| 7 | Jenkins and Ebeling [41] | Biomass of any type and/or origin | |
| 8 | Parikh et al. [42] | Solid fuels | |
| 9 | Sheng and Azevedo [39] | Biomass | |
| 10 | Majumder et al. [43] | Coal | |
| 11 | Yin [40] | Lignocellulosic fuels (agricultural by-products and wood) | |
| Based on both Elemental and Proximate Analysis | |||
| 12 | Grabosky and Bain [44] | Biomass | |
| 13 | IGT [45] | Coal | |
| 14 | Channiwala and Parikh [46] | Solid, liquid and gaseous fuels | |
| 15 | Sajdak et al. [47] | Biomass, biochar and coal | |
| Properties | MB | BC |
|---|---|---|
| Proximate Analysis (wt. %) | ||
| Moisture | 10.1 | 0.8 |
| Volatiles (d.b.) | 78.2 | 8.2 |
| Ashes (d.b.) | 6.2 | 31.1 |
| FC* (d.b.) | 15.6 | 60.7 |
| Elemental Analysis (wt. %, d.b.) | ||
| C | 52.0 | 62.7 |
| H | 6.8 | 2.5 |
| N | 10.7 | 1.3 |
| S | 0.6 | 0.7 |
| O* | 29.8 | 1.7 |
| Calorific Analysis (MJ/kg, d.b.) | ||
| HHV | 22.9 | 24.3 |
| Chlorella | Chlorella vulgaris | Chlorella vulgaris | Chlorella vulgaris | Chlorella vulgaris | Chlorella vulgaris residue | Chlamydomonas reinhardtii | Chlamydomonas reinhardtii | Dunaliella tertiolecta | Nannocloropsis oceanica | Nannocloropsis oceanica residue | Spirulina platensis | Spirulina platensis | Scenedesmus obliquus | |
|---|---|---|---|---|---|---|---|---|---|---|---|---|---|---|
| References | Babich et al. [60] | Xu et al. [61] | Xu et al. [61] | Wang et al. [62] | Kebelmann et al. [63] | Wang et al. [62] | Kebelmann et al. [63] | Kebelmann et al. [63] | Zou et al. [64] | Chen et al. [65] | Chen et al. [65] | Jena and Das [66] | Wu et al. [67] | Chen et al. [68] |
| Elemental Analysis (wt. %, d.b.) | ||||||||||||||
| C | 50.2 | 45.8 | 53.8 | 42.51 | 43.9 | 45.04 | 52 | 50.2 | 39 | 50.06 | 45.24 | 46.16 | 45.7 | 37.37 |
| H | 7.3 | 5.6 | 7.72 | 6.77 | 6.2 | 6.88 | 7.4 | 7.3 | 5.37 | 7.46 | 6.55 | 7.14 | 7.71 | 5.8 |
| N | 9.3 | 4.6 | 1.1 | 6.64 | 6.7 | 9.79 | 10.7 | 11.1 | 1.99 | 7.54 | 11.07 | 10.56 | 11.26 | 6.82 |
| S | - | - | - | - | - | - | - | - | 0.62 | 0.47 | 0.56 | 0.74 | 0.75 | - |
| O | 33.2 | 38.7 | 37 | 27.95 | 43.3 | 29.42 | 29.8 | 31.4 | 53.2 | 34.47 | 36.58 | 35.44 | 25.69 | 50.02 |
| Calorific Analysis (MJ kg−1, d.b.) | ||||||||||||||
| HHV (measured) | 21.2 | 18.4 | 24.0 | 16.8 | 18.0 | 19.4 | 23.0 | 22.0 | 14.2 | 21.5 | 18.2 | 20.5 | 20.5 | 16.1 |
| HHV (No. 1) | 21.5 | 16.6 | 22.7 | 19.1 | 16.0 | 19.9 | 22.9 | 21.9 | 11.3 | 21.5 | 18.2 | 19.5 | 22.0 | 12.0 |
| HHV (No. 2) | 20.3 | 18.4 | 21.9 | 16.9 | 17.5 | 18.0 | 21.1 | 20.3 | 15.4 | 20.2 | 18.1 | 18.5 | 18.3 | 14.7 |
| HHV (No. 3) | 24.2 | 19.8 | 25.7 | 21.4 | 19.6 | 22.3 | 25.4 | 24.4 | 15.8 | 24.3 | 21.2 | 22.5 | 24.1 | 16.1 |
| HHV (No. 4) | 22.0 | 17.4 | 23.3 | 19.6 | 16.9 | 20.3 | 23.4 | 22.4 | 12.5 | 22.1 | 18.8 | 20.2 | 22.3 | 13.1 |
| HHV (No. 5) | 20.5 | 18.2 | 22.1 | 17.6 | 18.1 | 18.5 | 21.1 | 20.5 | 16.3 | 20.7 | 18.6 | 19.2 | 19.2 | 16.0 |
| HHV (No. 6) | 20.8 | 18.1 | 22.2 | 18.1 | 18.1 | 19.0 | 21.4 | 20.8 | 15.9 | 20.9 | 18.7 | 19.5 | 19.8 | 15.8 |
| Chlamydomonas | Chlorella sorokiniana | Chlorella sorokiniana | Chlorella vulgaris | Chlorella vulgaris | Isochrysis galbana | Nannochloropsis limnetica | Nannochloropsis gaditana | Phaeodactylum tricornutum | Spirulina platensis | Scenedesmus almeriensis | |
|---|---|---|---|---|---|---|---|---|---|---|---|
| References | Bui et al. [69] | Bui et al. [69] | Paniagua et al. [59] | Chen et al. [70] | Soria-Verdugo et al. [71] | Soria-Verdugo et al. [71] | Soria-Verdugo et al. [71] | Soria-Verdugo et al. [71] | Soria-Verdugo et al. [71] | Soria-Verdugo et al. [71] | López et al. [72] |
| Proximate Analysis (wt. %, d.b., except for moisture (wt. %)) | |||||||||||
| Moisture | 3.5 | 3.8 | 9.6 | - | - | - | - | - | - | - | 5.4 |
| Volatiles | 75.5 | 73.2 | 76.1 | 55.37 | 76.26 | 86.13 | 84.06 | 81.56 | 62.1 | 81.46 | 73.1 |
| Ashes | 5.2 | 7.9 | 7.83 | 10.28 | 13.11 | 8.31 | 10.52 | 9.16 | 25.46 | 6.4 | 20 |
| FC | 15.6 | 15.1 | 16.07 | 34.35 | 10.63 | 5.56 | 5.42 | 9.28 | 12.44 | 12.14 | 6.9 |
| Elemental Analysis (wt. %, d.b.) | |||||||||||
| C | 40.32 | 45.07 | 47.9 | 47.84 | 51.317 | 43.644 | 52.453 | 52.805 | 40.647 | 49.720 | 43.84 |
| H | 7.38 | 7.64 | 6.4 | 6.41 | 7.655 | 6.620 | 8.062 | 7.803 | 6.612 | 7.338 | 6.08 |
| N | 2.61 | 3.88 | 8.74 | 9.01 | 9.897 | 5.474 | 7.883 | 8.230 | 6.813 | 11.550 | 6.8 |
| S | . | . | 0.78 | 1.46 | 0.573 | 0.816 | 0.617 | 0.509 | 1.446 | 0.693 | 0.32 |
| O | 44.5 | 35.52 | 36.18 | 25 | 17.448 | 35.136 | 20.464 | 21.493 | 19.023 | 24.299 | 22.96 |
| Calorific Analysis (MJ kg−1, d.b.) | |||||||||||
| HHV (measured value) | 17.41 | 20.4 | 18.7 | 21.9 | 22.9 | 19.97 | 23.51 | 24.5 | 19.34 | 22.62 | 20.91 |
| HHV (No. 1) | 16.3 | 19.9 | 18.9 | 20.9 | 25.3 | 18.0 | 25.7 | 25.2 | 19.9 | 23.0 | 19.5 |
| HHV (No. 2) | 16.0 | 18.0 | 19.3 | 19.3 | 20.8 | 17.4 | 21.3 | 21.4 | 16.1 | 20.1 | 17.5 |
| HHV (No. 3) | 19.9 | 22.8 | 21.9 | 23.0 | 26.7 | 20.9 | 27.4 | 27.0 | 21.4 | 25.0 | 21.4 |
| HHV (No. 4) | 17.2 | 20.5 | 19.6 | 21.3 | 25.4 | 18.6 | 25.9 | 25.5 | 20.1 | 23.4 | 19.8 |
| HHV (No. 5) | 17.9 | 19.3 | 19.3 | 18.9 | 20.7 | 18.1 | 21.4 | 21.4 | 16.6 | 20.1 | 17.4 |
| HHV (No. 6) | 18.0 | 19.6 | 19.4 | 19.4 | 21.4 | 18.3 | 22.1 | 22.0 | 17.4 | 20.7 | 17.9 |
| HHV (No. 7) | 18.8 | 18.2 | 18.0 | 18.9 | 16.4 | 17.0 | 16.5 | 17.1 | 13.8 | 18.0 | 14.5 |
| HHV (No. 8) | 17.2 | 16.7 | 17.5 | 20.7 | 15.5 | 15.3 | 14.9 | 15.9 | 13.9 | 16.9 | 13.7 |
| HHV (No. 9) | 17.8 | 17.1 | 18.0 | 18.2 | 16.6 | 17.5 | 17.0 | 17.5 | 14.0 | 18.2 | 15.0 |
| HHV (No. 10) | 29.8 | 28.8 | 29.4 | 30.0 | 28.5 | 30.1 | 29.3 | 29.9 | 24.1 | 30.9 | 25.3 |
| HHV (No. 11) | 18.3 | 17.8 | 18.5 | 19.2 | 17.2 | 17.8 | 17.4 | 17.9 | 15.0 | 18.6 | 15.7 |
| HHV (No. 12) | - | - | 24.2 | 24.3 | 27.4 | 23.2 | 28.3 | 27.9 | 23.4 | 26.0 | 23.1 |
| HHV (No. 13) | - | - | 21.5 | 22.8 | 26.6 | 20.0 | 26.9 | 26.6 | 20.9 | 25.1 | 20.8 |
| HHV (No. 14) | - | - | 20.3 | 21.5 | 24.8 | 19.2 | 25.4 | 25.1 | 19.5 | 23.3 | 19.6 |
| HHV (No. 15) | - | - | 18.7 | 19.9 | 22.8 | 18.1 | 23.8 | 23.4 | 18.5 | 21.0 | 18.4 |
| B (K/s) | Tv (K) | Tm (K) | Tf (K) | DTGmax (%/s) | |
|---|---|---|---|---|---|
| MB | 0.1 | 400 | 542 | 1031 | 0.0363 |
| 0.2 | 410 | 543 | 1040 | 0.0839 | |
| 0.4 | 433 | 554 | 1100 | 0.1981 | |
| 0.5 | 440 | 557 | 1120 | 0.2457 | |
| BC | 0.1 | 640 | 782 | 874 | 0.0890 |
| 0.2 | 657 | 820 | 930 | 0.1295 | |
| 0.4 | 671 | 867 | 1035 | 0.1669 | |
| 0.5 | 675 | 875 | 1050 | 0.1820 | |
| MB-BC | 0.1 | 600 | 781 | 981 | 0.0873 |
| 0.2 | 631 | 823 | 993 | 0.1281 | |
| 0.4 | 646 | 870 | 1046 | 0.1645 | |
| 0.5 | 654 | 885 | 1080 | 0.1844 |
| β (K/s) | Ti (K) | Tmax (K) | Te (K) | ΔH (kJ/g) | |
|---|---|---|---|---|---|
| MB | 0.1 | 450 | 597 | 1000 | 11.62 |
| 0.2 | 460 | 857 | 1019 | 11.88 | |
| 0.4 | 470 | 876 | 1100 | 11.76 | |
| 0.5 | 475 | 879 | 1165 | 11.71 | |
| BC | 0.1 | 500 | 782 | 893 | 13.87 |
| 0.2 | 500 | 820 | 968 | 13.81 | |
| 0.4 | 500 | 880 | 1042 | 13.96 | |
| 0.5 | 500 | 959 | 1086 | 13.78 | |
| MB-BC | 0.1 | 461 | 782 | 950 | 14.16 |
| 0.2 | 470 | 825 | 980 | 14.12 | |
| 0.4 | 475 | 875 | 1046 | 14.15 | |
| 0.5 | 480 | 964 | 1080 | 14.11 |
| α | E (kJ/mol) FWO | R2 | E (kJ/mol) KAS | R2 | |
|---|---|---|---|---|---|
| MB | 0.1 | 177 | 0.9995 | 177 | 0.9954 |
| 0.2 | 243 | 0.9978 | 246 | 0.8958 | |
| 0.3 | 343 | 0.9882 | 351 | 0.9322 | |
| 0.4 | 171 | 0.9953 | 169 | 0.9587 | |
| 0.5 | 121 | 0.9864 | 116 | 0.9971 | |
| 0.6 | 123 | 0.9844 | 117 | 0.9588 | |
| 197* ± 85 | 196* ± 90 | ||||
| BC | 0.1 | 112 | 0.9995 | 105 | 0.9950 |
| 0.2 | 102 | 0.9978 | 94 | 0.9971 | |
| 0.3 | 89 | 0.9882 | 80 | 0.9973 | |
| 0.4 | 86 | 0.9953 | 77 | 0.9926 | |
| 0.5 | 76 | 0.9864 | 65 | 0.9974 | |
| 0.6 | 67 | 0.9844 | 56 | 0.9925 | |
| 89* ± 16 | 79* ± 18 | ||||
| MB-BC | 0.1 | 152 | 0.9995 | 147 | 0.9970 |
| 0.2 | 118 | 0.9978 | 111 | 0.9661 | |
| 0.3 | 98 | 0.9882 | 90 | 0.9784 | |
| 0.4 | 91 | 0.9953 | 82 | 0.9973 | |
| 0.5 | 80 | 0.9864 | 68 | 0.9896 | |
| 0.6 | 77 | 0.9844 | 67 | 0.9762 | |
| 103* ± 28 | 94* ± 30 |
© 2019 by the authors. Licensee MDPI, Basel, Switzerland. This article is an open access article distributed under the terms and conditions of the Creative Commons Attribution (CC BY) license (http://creativecommons.org/licenses/by/4.0/).
Share and Cite
Coimbra, R.N.; Escapa, C.; Otero, M. Comparative Thermogravimetric Assessment on the Combustion of Coal, Microalgae Biomass and Their Blend. Energies 2019, 12, 2962. https://doi.org/10.3390/en12152962
Coimbra RN, Escapa C, Otero M. Comparative Thermogravimetric Assessment on the Combustion of Coal, Microalgae Biomass and Their Blend. Energies. 2019; 12(15):2962. https://doi.org/10.3390/en12152962
Chicago/Turabian StyleCoimbra, Ricardo N., Carla Escapa, and Marta Otero. 2019. "Comparative Thermogravimetric Assessment on the Combustion of Coal, Microalgae Biomass and Their Blend" Energies 12, no. 15: 2962. https://doi.org/10.3390/en12152962
APA StyleCoimbra, R. N., Escapa, C., & Otero, M. (2019). Comparative Thermogravimetric Assessment on the Combustion of Coal, Microalgae Biomass and Their Blend. Energies, 12(15), 2962. https://doi.org/10.3390/en12152962

